Experimental Comparative Study of Dynamic Behavior in Solution Phase of C-Tetra(phenyl)resorcin[4]arene and C-Tetra(phenyl)pyrogallol[4]arene
Abstract
1. Introduction
2. Results and Discussion
2.1. Synthesis and Separation of Conformers
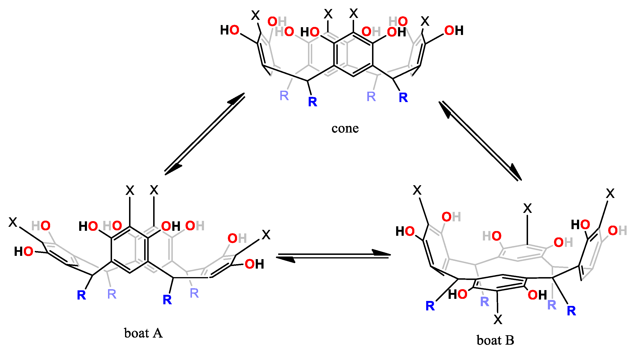
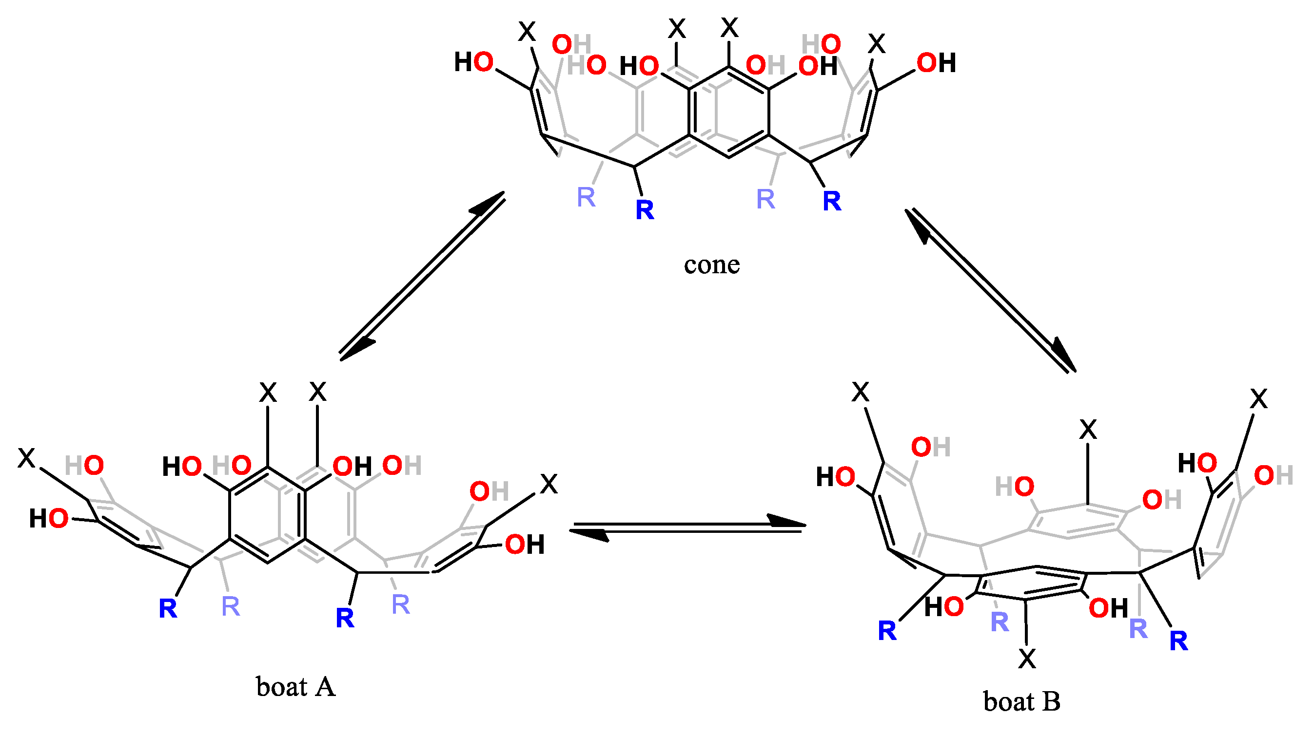
2.2. Dynamic 1H-NMR Studies
3. Materials and Methods
3.1. Synthesis of Tetra(phenyl)-pyrogallol[4]arene and Resorcin[4]arene
3.2. Dynamic Studies
4. Conclusions
Supplementary Materials
Author Contributions
Funding
Acknowledgments
Conflicts of Interest
References
- Scott, M.; Sherburn, M. Resorcinarenes and Pyrogallolarenes. In Comprehensive Supramolecular Chemistry II; Elsevier: Amsterdam, The Netherlands, 2017; pp. 337–374. [Google Scholar] [CrossRef]
- Han, J.; Song, X.; Liu, L.; Yan, C. Synthesis, crystal structure and configuration of acetylated aryl Pyrogallol[4]arenes. J. Incl. Phenom. Macrocycl. Chem. 2007, 59, 257–263. [Google Scholar] [CrossRef]
- Yasmin, L.; Coyle, T.; Stubbs, K.A.; Raston, C.L. Stereospecific synthesis of resorcin[4]arenes and pyrogallol[4]arenes in dynamic thin films. Chem. Commun. 2013, 49, 10932. [Google Scholar] [CrossRef] [PubMed]
- Pfeiffer, C.; Feaster, K.A.; Dalgarno, S.J.; Atwood, J. Syntheses and characterization of aryl-substituted pyrogallol[4]arenes and resorcin[4]arenes. CrystEngComm 2016, 18, 222–229. [Google Scholar] [CrossRef]
- Jain, V.K.; Kanaiya, P.H. Chemistry of calix[4]resorcinarenes. Russ. Chem. Rev. 2011, 80, 75–102. [Google Scholar] [CrossRef]
- Patil, R.S.; Zhang, C.; Atwood, J. Process development for separation of conformers from derivatives of resorcin[4]arenes and pyrogallol[4]arenes. Chem. Eur. J. 2016, 22, 15202–15207. [Google Scholar] [CrossRef]
- Tunstad, L.M.; Tucker, J.A.; Dalcanale, E.; Weiser, J.; Bryant, J.A.; Sherman, J.C.; Helgeson, R.C.; Knobler, C.B.; Cram, D.J. Host-guest complexation. 48. Octol building blocks for cavitands and carcerands. J. Org. Chem. 1989, 54, 1305–1312. [Google Scholar] [CrossRef]
- Hoegberg, A.G.S. Two stereoisomeric macrocyclic resorcinol-acetaldehyde condensation products. J. Org. Chem. 1980, 45, 4498–4500. [Google Scholar] [CrossRef]
- Hoegberg, A.G.S. Cyclooligomeric phenol-aldehyde condensation products. 2. Stereoselective synthesis and DNMR study of two 1,8,15,22-tetraphenyl[14]metacyclophan-3,5,10,12,17,19,24,26-octols. J. Am. Chem. Soc. 1980, 102, 6046–6050. [Google Scholar] [CrossRef]
- Yan, C.-G.; Chen, W.; Chen, J.; Jiang, T.; Yao, Y. Microwave irradiation assisted synthesis, alkylation reaction and configuration analysis of aryl pyrogallol[4]arenes. Tetrahedron 2007, 63, 9614–9620. [Google Scholar] [CrossRef]
- Chen, J.; Chen, W.; Yan, C. Microwave Assisted Efficient Synthesis and Crystal Structures ofO-Hexadecalkylated Pyrogallol[4]arenes. Chin. J. Chem. 2009, 27, 1703–1706. [Google Scholar] [CrossRef]
- Casas-Hinestroza, J.L.; Villamil, M.M. Conformational Aspects of the O-acetylation of C-tetra(phenyl)calixpyrogallol[4]arene. Molecules 2018, 23, 1225. [Google Scholar] [CrossRef] [PubMed]
- Timmerman, P.; Verboom, W.; Reinhoudt, D.N. Resorcinarenes. Tetrahedron 1996, 52, 2663–2704. [Google Scholar] [CrossRef]
- Morales-Morales, D.; Gómez-Benítez, V.; Toscano, R.A. Quasi-Complete Solvation of C-Phenylcalix[4]resorcinarene in the Crystalline State. Single Crystal X-ray Diffraction Study. J. Incl. Phenom. Macrocycl. Chem. 2004, 50, 199–202. [Google Scholar] [CrossRef]
- Kumari, H.; Mossine, A.V.; Kline, S.R.; Dennis, C.L.; Fowler, D.A.; Teat, S.J.; Barnes, C.L.; Deakyne, C.A.; Atwood, J. Controlling the Self-Assembly of Metal-Seamed Organic Nanocapsules. Angew. Chem. Int. Ed. 2012, 51, 1452–1454. [Google Scholar] [CrossRef]
- Fowler, D.A.; Mossine, A.V.; Beavers, C.M.; Teat, S.J.; Dalgarno, S.J.; Atwood, J.L. Coordination Polymer Chains of Dimeric Pyrogallol[4]arene Capsules. J. Am. Chem. Soc. 2011, 133, 11069–11071. [Google Scholar] [CrossRef]
- Beyeh, N.K.; Valkonen, A.; Rissanen, K. Piperazine Bridged Resorcinarene Cages. Org. Lett. 2010, 12, 1392–1395. [Google Scholar] [CrossRef]
- Makeiff, D.; Sherman, J.C. A Six-Bowl Carceplex That Entraps Seven Guest Molecules. J. Am. Chem. Soc. 2005, 127, 12363–12367. [Google Scholar] [CrossRef]
- Kazakova, E.K.; Ziganshina, A.Y.; Muslinkina, L.A.; Morozova, J.E.; Makarova, N.A.; Mustafina, A.R.; Habicher, W. The Complexation Properties of the Water-Soluble Tetrasulfonatomethylcalix[4]resorcinarene toward α-Aminoacids. J. Incl. Phenom. Macrocycl. Chem. 2002, 43, 65–69. [Google Scholar] [CrossRef]
- Waidely, E.; Pumilia, C.; Malagon, A.; Vargas, E.F.; Li, S.; Leblanc, R.M. Host–Guest Complexation of a Pyrogallol[4]arene Derivative at the Air–Water Interface. Langmuir 2015, 31, 1368–1375. [Google Scholar] [CrossRef]
- Hong, M.; Zhang, Y.-M.; Liu, Y. Selective Binding Affinity between Quaternary Ammonium Cations and Water-Soluble Calix[4]resorcinarene. J. Org. Chem. 2015, 80, 1849–1855. [Google Scholar] [CrossRef] [PubMed]
- Ballester, P.; Biros, S.M. CH-π and π-π Interactions as Contributors to the Guest Binding in Reversible Inclusion and Encapsulation Complexes. In The Importance of Pi-Interactions in Crystal Engineering; John Wiley & Sons, Ltd.: Chichester, West Sussex, UK, 2012; pp. 79–107. [Google Scholar]
- Puttreddy, R.; Beyeh, N.K.; Taimoory, S.M.; Meister, D.; Trant, J.F.; Rissanen, K. Host–guest complexes of conformationally flexible C-hexyl-2-bromoresorcinarene and aromatic N-oxides: Solid-state, solution and computational studies. Beilstein J. Org. Chem. 2018, 14, 1723–1733. [Google Scholar] [CrossRef] [PubMed]
- Al’Tshuler, G.N.; Fedyaeva, O.N.; Ostapova, E. The reaction ofC-phenylcalix[4]resorcinarene-based polymer with quaternary ammonium and potassium cations. Russ. Chem. Bull. 2000, 49, 1468–1470. [Google Scholar] [CrossRef]
- Kumar, S.; Chawla, S.; Zou, M.C. Calixarenes based materials for gas sensing applications: A review. J. Incl. Phenom. Macrocycl. Chem. 2017, 88, 129–158. [Google Scholar] [CrossRef]
- Catti, L.; Tiefenbacher, K.; Pöthig, A. Host-Catalyzed Cyclodehydration-Rearrangement Cascade Reaction of Unsaturated Tertiary Alcohols. Adv. Synth. Catal. 2017, 359, 1331–1338. [Google Scholar] [CrossRef]
- Zhang, Q.; Catti, L.; Kaila, V.R.I.; Tiefenbacher, K. To catalyze or not to catalyze: Elucidation of the subtle differences between the hexameric capsules of pyrogallolarene and resorcinarene. Chem. Sci. 2016, 8, 1653–1657. [Google Scholar] [CrossRef] [PubMed]
- Eisler, D.J.; Puddephatt, R.J. Structure and Dynamics of Tetrakis(thiophosphinato)resorcinarene Complexes of Silver(I), Gold(I) and Palladium(II). Inorg. Chem. 2006, 45, 7295–7305. [Google Scholar] [CrossRef]
- Ngurah, B.I.G.M.; Jumina; Anwar, C. Synthesis and Application of C-Phenylcalix[4]resorcinarene in Adsorption of Cr(III) and Pb(II). J. Appl. Chem. Sci. 2016, 3, 289–298. [Google Scholar] [CrossRef]
- Al-Trawneh, S.A. Studies on Adsorptive Removal of Some Heavy Metal Ions by Calix[4]Resorcine. Jordan J. Earth Environ. Sci. 2015, 7, 1–9. [Google Scholar]
- Li, N.; Harrison, R.G.; Lamb, J.D. Application of resorcinarene derivatives in chemical separations. J. Incl. Phenom. Macrocycl. Chem. 2013, 78, 39–60. [Google Scholar] [CrossRef]
- Pietraszkiewicz, O.; Pietraszkiewicz, M. Separation of Pyrimidine Bases on a HPLC Stationary RP-18 Phase Coated with Calix[4]resorcinarene. J. Incl. Phenom. Macrocycl. Chem. 1999, 35, 261–270. [Google Scholar] [CrossRef]
- Velásquez-Silva, B.A.; Aguirre, A.A.C.; Rivera-Monroy, Z.J.; Villamil, M.M. Aminomethylated Calix[4]resorcinarenes as Modifying Agents for Glycidyl Methacrylate (GMA) Rigid Copolymers Surface. Polymers 2019, 11, 1147. [Google Scholar] [CrossRef]
- Zhang, H.; Dai, R.; Ling, Y.; Wen, Y.; Zhang, S.; Fu, R.; Gu, J. Resorcarene derivative used as a new stationary phase for capillary gas chromatography. J. Chromatogr. A 1997, 787, 161–169. [Google Scholar] [CrossRef]
- Thondorf, I.; Brenn, J.; Böhmer, V. Conformational properties of methylene bridged resorcarenes. Tetrahedron 1998, 54, 12823–12828. [Google Scholar] [CrossRef]
- Rumboldt, G.; Böhmer, V.; Botta, B.; Paulus, E.F. Rational Synthesis of Resorcarenes with Alternating Substituents at Their Bridging Methine Carbons. J. Org. Chem. 1998, 63, 9618–9619. [Google Scholar] [CrossRef]
- Abis, L.; Dalcanale, E.; Du Vosel, A.; Spera, S. Nuclear magnetic resonance elucidation of ring-inversion processes in macrocyclic octaols. J. Chem. Soc. Perkin Trans. 2 1990, 2075–2080. [Google Scholar] [CrossRef]
- Konishi, H.; Morikawa, O. Conformational properties of octahydroxy[1.4]metacyclophanes with unsubstituted methylene bridges. J. Chem. Soc. Chem. Commun. 1993, 34–35. [Google Scholar] [CrossRef]
- Knyazeva, I.R.; Sokolova, V.I.; Gruner, M.; Habicher, W.D.; Syakaev, V.V.; Khrizanforova, V.; Gabidullin, B.M.; Gubaidullin, A.T.; Budnikova, Y.; Burilov, A.R.; et al. One-step synthesis of rccc- and rctt-diastereomers of novel calix[4]resorcinols based on a para-thiophosphorylated derivative of benzaldehyde. Tetrahedron Lett. 2013, 54, 3538–3542. [Google Scholar] [CrossRef]
- Velásquez-Silva, A.; Cortés, B.; Rivera-Monroy, Z.J.; Pérez-Redondo, A.; Villamil, M.M. Crystal structure and dynamic NMR studies of octaacetyl-tetra(propyl)calix[4]resorcinarene. J. Mol. Struct. 2017, 1137, 380–386. [Google Scholar] [CrossRef]
- Aguirre, A.A.C.; Rivera-Monroy, Z.J.; Villamil, M.M. Selective O-Alkylation of the Crown Conformer of Tetra(4-hydroxyphenyl)calix[4]resorcinarene to the Corresponding Tetraalkyl Ether. Molecules 2017, 22, 1660. [Google Scholar] [CrossRef]
- Gareth, W.V. CaveCurrent address: School of Biom; Ferrarelli, M.C.; Atwood, J.L.; Cave, G.W.V. Nano-dimensions for the pyrogallol[4]arene cavity. Chem. Commun. 2005, 2787–2789. [Google Scholar] [CrossRef]
- Kulikov, O.V.; Negin, S.; Rath, N.P.; Gokel, G.W. Morphologies of branched-chain pyrogallol[4]arenes in the solid state. Supramol. Chem. 2014, 26, 506–516. [Google Scholar] [CrossRef]
- Fagnani, D.; Sotuyo, A.; Castellano, R. π–π Interactions. In Comprehensive Supramolecular Chemistry II; Elsevier BV: Oxford, UK, 2017; Volume 1, pp. 121–148. [Google Scholar]
- Mahadevi, A.S.; Sastry, G.N. Cooperativity in Noncovalent Interactions. Chem. Rev. 2016, 116, 2775–2825. [Google Scholar] [CrossRef] [PubMed]
Sample Availability: Samples of the compounds 1a, 2a, 1b and 2b are available from the authors. |






© 2020 by the authors. Licensee MDPI, Basel, Switzerland. This article is an open access article distributed under the terms and conditions of the Creative Commons Attribution (CC BY) license (http://creativecommons.org/licenses/by/4.0/).
Share and Cite
Casas-Hinestroza, J.L.; Vela Suazo, M.Á.; Maldonado Villamil, M. Experimental Comparative Study of Dynamic Behavior in Solution Phase of C-Tetra(phenyl)resorcin[4]arene and C-Tetra(phenyl)pyrogallol[4]arene. Molecules 2020, 25, 2275. https://doi.org/10.3390/molecules25102275
Casas-Hinestroza JL, Vela Suazo MÁ, Maldonado Villamil M. Experimental Comparative Study of Dynamic Behavior in Solution Phase of C-Tetra(phenyl)resorcin[4]arene and C-Tetra(phenyl)pyrogallol[4]arene. Molecules. 2020; 25(10):2275. https://doi.org/10.3390/molecules25102275
Chicago/Turabian StyleCasas-Hinestroza, José Luis, Miguel Ángel Vela Suazo, and Mauricio Maldonado Villamil. 2020. "Experimental Comparative Study of Dynamic Behavior in Solution Phase of C-Tetra(phenyl)resorcin[4]arene and C-Tetra(phenyl)pyrogallol[4]arene" Molecules 25, no. 10: 2275. https://doi.org/10.3390/molecules25102275
APA StyleCasas-Hinestroza, J. L., Vela Suazo, M. Á., & Maldonado Villamil, M. (2020). Experimental Comparative Study of Dynamic Behavior in Solution Phase of C-Tetra(phenyl)resorcin[4]arene and C-Tetra(phenyl)pyrogallol[4]arene. Molecules, 25(10), 2275. https://doi.org/10.3390/molecules25102275
