Isolation of Unstable Isomers of Lucilactaene and Evaluation of Anti-Inflammatory Activity of Secondary Metabolites Produced by the Endophytic Fungus Fusarium sp. QF001 from the Roots of Scutellaria baicalensis
Abstract
1. Introduction
2. Results and Discussions
2.1. Isolation and Identification of Fusarium
2.2. Isolation of Secondary Metabolites from the Fermentation Broth of Fusarium sp. QF001
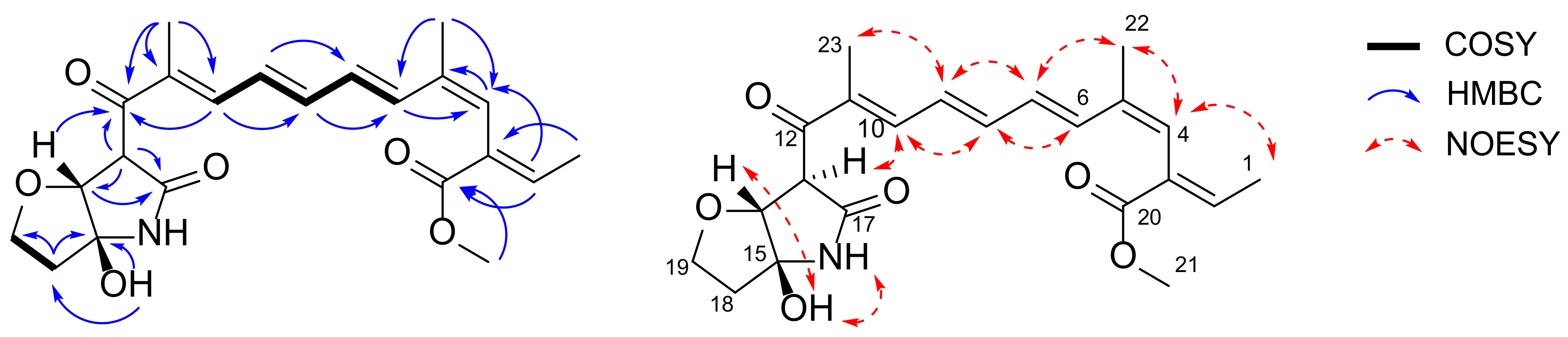
2.3. Planar Structure Elucidation of 2 and 3
2.4. Configuration Analysis of 2, 3, 4, and 6
2.5. Biological Activities of Isolated Compounds
3. Materials and Methods
3.1. Materials
3.2. Fungus Isolation and Identification
3.3. Extraction and Isolation of 1–4
3.4. Time Dependent Analysis on Conversion of C2 and C6
3.5. Isolation Strategy and Purification of Photosensitive Polyenes 5–9
3.6. Characterization of Isolated Compounds
3.7. Energy Minimization of Four Possible Stereoisomers of Furanopyrrolidones
3.8. Computer-Assisted Calculation of Specific Rotation of 4
3.9. Cell Culture and Cell Growth Analysis
3.10. Measurement of NO, TNF-α, and IL-6
3.11. Statistical Analysis
4. Conclusions
Supplementary Materials
Author Contributions
Funding
Conflicts of Interest
References
- Subbulakshmi, G.K.; Thalavaipandian, A.; Ramesh, V.; Bagyalakshmi, R.V.; Rajendran, A. Bioactive endophytic fungal isolates of Biota orientalis (L) Endl., Pinus excelsa Wall. and Thuja occidentalis L. Int. J. Adv. Lif. Sci. 2012, 4, 9–15. [Google Scholar]
- Wilson, D. Endophyte-the evolution of a term, and clarificationf its use and definition. Oikos 1995, 73, 274–276. [Google Scholar] [CrossRef]
- Sturz, A.V.; Christie, B.R.; Nowak, J. Bacterial endophytes: Potential role in developing sustainable systems of crop production. Critic. Rev. Plan. Sci. 2000, 19, 1–30. [Google Scholar] [CrossRef]
- Carroll, G. Fungal endophytes in stems and leaves: From latent pathogen to mutualistic symbiont. Ecology 1988, 69, 2–9. [Google Scholar] [CrossRef]
- Hata, K.; Futai, K.; Tsuda, M. Seasonal and needle age-dependent changes of the endophytic mycobiota in Pinus thunbergii and Pinus densiflora needles. Can. J. Bot. 1998, 76, 245–250. [Google Scholar] [CrossRef]
- Li, S. In Compendium of Materia Medica (Bencao Gangmu); Huaxia Press: Beijing, China, 2012; 1593 republished in 2012. [Google Scholar]
- Ikemoto, S.; Sugimura, K.; Yoshida, N.; Yasumoto, R.; Wada, S.; Yamamoto, K.; Kishimoto, T. Antitumor effects of Scutellariae radix and its components baicalein, baicalin, and wogonin on bladder cancer cell lines. Urology 2000, 55, 951–955. [Google Scholar] [CrossRef]
- Blach-Olszewska, B.Z.; Lamer-Zarawska, L.E. Come back to root—Therapeutic activities of Scutellaria baicalensis root in aspect of innate immunity regulation-part I. Adv. Clin. Exp. Med. 2008, 17, 337–345. [Google Scholar]
- Nelson, P.E.; Dignani, M.C.; Anaissie, E.J. Taxonomy, biology, and clinical aspects of Fusarium species. Clin. Microbiol. Rev. 1994, 7, 479–504. [Google Scholar] [CrossRef]
- Ma, L.J.; Geiser, D.M.; Proctor, R.H.; Rooney, A.P.; O’Donnell, K.; Trail, F.; Gardiner, D.M.; Manners, J.M.; Kazan, K. Fusarium pathogenomics. Annu. Rev. Microbio. 2013, 67, 399–416. [Google Scholar] [CrossRef]
- Okungbowa, F.I.; Shittu, H.O. Fusarium wilts: An overview. Environ. Res. 2014, 6, 83–102. [Google Scholar]
- Kornsakulkarn, J.; Dolsophon, K.; Boonyuen, N.; Boonruangprapa, T.; Rachtawee, P.; Prabpai, S.; Kongsaeree, P.; Thongpanchang, C. Dihydronaphthalenones from endophytic fungus Fusarium sp. BCC14842. Tetrahedron 2011, 67, 7540–7547. [Google Scholar] [CrossRef]
- Chowdhury, N.S.; Sohrab, M.H.; Rana, M.S.; Hasan, C.M.; Jamshidi, S.; Rahman, K.M. Cytotoxic naphthoquinone and azaanthraquinone derivatives from an endophytic Fusarium solani. J. Nat. Prod. 2017, 80, 1173–1177. [Google Scholar] [CrossRef] [PubMed]
- Cirigliano, A.M.; Rodriguez, M.A.; Gagliano, M.L.; Bertinetti, B.V.; Godeas, A.M.; Cabrera, G.M. Liquid chromatography coupled to different atmospheric pressure ionization sources-quadrupole-time-of-flight mass spectrometry and post-column addition of metal salt solutions as a powerful tool for the metabolic profiling of Fusarium oxysporum. J. Chromatogr. A 2016, 1439, 97–111. [Google Scholar] [CrossRef] [PubMed]
- Rathnayake, G.R.N.; Kumar, N.S.; Jayasinghe, L.; Araya, H.; Fujimoto, Y. Chemical investigation of metabolites produced by an endophytic fungi Phialemonium curvatum from the leaves of Passiflora edulis. Nat. Prod. Res. 2017, 1–4. [Google Scholar] [CrossRef]
- Arsenault, G.P. Fungal metabolites-III, Quinones from Fusarium solani D2 purple and structure of (+)-solaniol. Tetrahedron 1968, 24, 4745–4749. [Google Scholar] [CrossRef]
- Kakeya, H.; Kageyama, S.; Nie, L.; Onose, R.; Okada, G.; Beppu, T.; Norbury, C.J.; Osada, H. Lucilactaene, a new cell cycle inhibitor in p53-transfected cancer cells, produced by a Fusarium sp. J. Antibiot. (Tokyo) 2001, 54, 850–854. [Google Scholar] [CrossRef][Green Version]
- Krasnoff, S.B.; Sommers, C.H.; Moon, Y.S.; Donzelli, B.G.; Vandenberg, J.D.; Churchill, A.C.; Gibson, D.M. Production of mutagenic metabolites by Metarhizium anisopliae. J. Agric. Food. Chem. 2006, 54, 7083–7088. [Google Scholar] [CrossRef]
- Kimura, Y.; Shimada, A.; Nakajima, H.; Hamasaki, T. Structures of naphthoquinones produced by the fungus, Fusarium sp., and their biological activity toward pollen germination. Agric. Biol. Chem. 1988, 52, 1253–1259. [Google Scholar] [CrossRef]
- Baker, R.A.; Tatum, J.H.; Nemec, S.J. Toxin production by Fusarium solani from fibrous roots of blight-diseased citrus. Phytopathology 1981, 71, 951–954. [Google Scholar] [CrossRef]
- Trisuwan, K.; Khamthong, N.; Rukachaisirikul, V.; Phongpaichit, S.; Preedanon, S.; Sakayaroj, J. Anthraquinone, cyclopentanone, and naphthoquinone derivatives from the sea fan-derived fungi Fusarium spp. PSU-F14 and PSU-F135. J. Nat. Prod. 2010, 73, 1507–1511. [Google Scholar] [CrossRef]
- King, J.B.; Carter, A.C.; Dai, W.; Lee, J.W.; Kil, Y.S.; Du, L.; Helff, S.K.; Cai, S.; Huddle, B.C.; Cichewicz, R.H. Design and application of a high-throughput, high-content screening system for natural product inhibitors of the human parasite Trichomonas vaginalis. ACS Infect. Dis. 2019, 5, 1456–1470. [Google Scholar] [CrossRef] [PubMed]
- Shah, A.; Rather, M.A.; Hassan, Q.P.; Aga, M.A.; Mushtaq, S.; Shah, A.M.; Hussain, A.; Baba, S.A.; Ahmad, Z. Discovery of anti-microbial and anti-tubercular molecules from Fusarium solani: An endophyte of Glycyrrhiza glabra. J. Appl. Microbiol. 2017, 122, 1168–1176. [Google Scholar] [CrossRef] [PubMed]
- Hashimoto, J.; Motohashi, K.; Sakamoto, K.; Hashimoto, S.; Yamanouchi, M.; Tanaka, H.; Takahashi, T.; Takagi, M.; Shin-ya, K. Screening and evaluation of new inhibitors of hepatic glucose production. J. Antibiot. 2009, 62, 625–629. [Google Scholar] [CrossRef] [PubMed]
- Takemoto, K.; Kamisuki, S.; Chia, P.T.; Kuriyama, I.; Mizushina, Y.; Sugawara, F. Bioactive dihydronaphthoquinone derivatives from Fusarium solani. J. Nat. Prod. 2014, 77, 1992–1996. [Google Scholar] [CrossRef] [PubMed]
- Kharwar, R.N.; Verma, V.C.; Kumar, A.; Gond, S.K.; Harper, J.K.; Hess, W.M.; Lobkovosky, E.; Ma, C.; Ren, Y.; Strobel, G.A. Javanicin, an antibacterial naphthaquinone from an endophytic fungus of neem, Chloridium sp. Curr. Microbiol. 2009, 58, 233–238. [Google Scholar] [CrossRef]
- Fukuda, T.; Uchida, R.; Inoue, H.; Ohte, S.; Yamazaki, H.; Matsuda, D.; Katagiri, T.; Tomoda, H. Fungal pyrrolidine-containing metabolites inhibit alkaline phosphatase activity in bone morphogenetic protein-stimulated myoblastoma cells. Acta Pharm. Sin. 2012, 2, 23–27. [Google Scholar] [CrossRef]
Sample Availability: Samples of the isolated compounds are not available from the authors. |






| No. | Compound 2 a,b | Compound 3 a,b | Compound 6 c | |||
|---|---|---|---|---|---|---|
| δH (Multiplicity, J Hz) | δC, Type | δH (Multiplicity, J Hz) | δC, Type | δH (Multiplicity, J Hz) | δC, Type | |
| 1 | 1.75 (dd, 7.2, 1.3) | 16.2, CH3 | 1.72 (dd, 7.2, 1.4) | 16.1, CH3 | 1.75 (dd, 7.2, 1.2) | 16.1, CH3 |
| 2 | 7.00 (qd, 7.2, 0.6) | 140.8, CH | 7.06 (qd, 7.2, 1.0) | 141.2, CH | 7.00 (q, 7.2) | 140.7, CH |
| 3 | 130.4, C | 130.0, C | 130.5, C | |||
| 4 | 6.24 (br s) | 128.3, CH | 6.10 (br s) | 126.5, CH | 6.24 (s) | 128.3, CH |
| 5 | 138.4, C | 136.5, C | 138.1, C | |||
| 6 | 6.64 (d, 15.1) | 143.0, CH | 6.45 (d, 15.3) | 136.8, CH | 6.65 (d, 15.0) | 142.5, CH |
| 7 | 6.95 (dd, 15.1, 11.7) | 123.6, CH | 6.51 (dd, 15.3, 10.4) | 129.9, CH | 6.47 (dd 15.0, 10.6) | 128.5, CH |
| 8 | 6.58 (t, 11.4) | 139.8, CH | 6.78 (dd, 14.6, 10.4) | 143.9, CH | 6.85 (dd, 14.6, 10.6) | 143.8, CH |
| 9 | 6.40 (t, 11.4) | 124.1, CH | 6.68 (dd, 14.6, 11.5) | 128.6, CH | 6.67 (dd, 14.6, 11.0) | 128.2, CH |
| 10 | 7.97 (d, 11.6) | 139.8, CH | 7.44 (d, 11.5) | 145.5, CH | 7.48 (d, 11.0) | 145.7, CH |
| 11 | 134.8, C | 134.6, C | 134.3, C | |||
| 12 | 197.4, C | 197.1, C | 197.2, C | |||
| 13 | 4.38 (br s) | 57.3, CH | 4.33 (br s) | 56.8, CH | 4.36 (br s) | 56.8, CH |
| 14 | 4.29 (d, 0.6) | 85.8, CH | 4.25 (d, 0.7) | 85.8, CH | 4.25 (s) | 85.9, CH |
| 15 | 94.5, C | 94.6, C | 94.7, C | |||
| 15-OH | 5.00 (s) | 4.97 (s) | 5.04 (s) | |||
| 16-NH | 6.18 (br s) | 6.06 (br s) | 6.11 (s) | |||
| 17 | 170.4, C | 170.6, C | 170.9, C | |||
| 18a | 2.28 (ddd, 12.7, 6.5, 3.6) | 37.6, CH2 | 2.27 (m) | 37.6, CH2 | 2.28 (m) | 37.6, CH2 |
| 18b | 2.45 (dt, 12.7, 8.8) | 2.43 (dt, 12.7, 8.8) | 2.43 (m) | |||
| 19a | 4.05 (td, 8.8, 6.5) | 68.7, CH2 | 4.03 (td, 8.8, 6.4) | 68.7, CH2 | 4.02 (td, 8.8, 6.5) | 68.7, CH2 |
| 19b | 4.14 (td, 8.8, 3.6) | 4.13 (td, 8.8, 3.8) | 4.13 (td, 8.8, 3.3) | |||
| 20 | 167.7, C | 167.6, C | 167.6, C | |||
| 21 | 3.75 (s) | 52.1, CH3 | 3.76 (s) | 52.1, CH3 | 3.75 (s) | 52.1, CH3 |
| 22 | 1.79 (d, 1.0) | 14.7, CH3 | 2.03 (d, 1.3) | 20.0, CH3 | 1.72 (d, 1.0) | 14.4, CH3 |
| 23 | 1.96 (d, 0.5) | 11.5, CH3 | 1.95 (d, 0.8) | 11.7, CH3 | 1.95 (s) | 11.7, CH3 |
© 2020 by the authors. Licensee MDPI, Basel, Switzerland. This article is an open access article distributed under the terms and conditions of the Creative Commons Attribution (CC BY) license (http://creativecommons.org/licenses/by/4.0/).
Share and Cite
Maharjan, S.; Lee, S.B.; Kim, G.J.; Cho, S.J.; Nam, J.-W.; Chin, J.; Choi, H. Isolation of Unstable Isomers of Lucilactaene and Evaluation of Anti-Inflammatory Activity of Secondary Metabolites Produced by the Endophytic Fungus Fusarium sp. QF001 from the Roots of Scutellaria baicalensis. Molecules 2020, 25, 923. https://doi.org/10.3390/molecules25040923
Maharjan S, Lee SB, Kim GJ, Cho SJ, Nam J-W, Chin J, Choi H. Isolation of Unstable Isomers of Lucilactaene and Evaluation of Anti-Inflammatory Activity of Secondary Metabolites Produced by the Endophytic Fungus Fusarium sp. QF001 from the Roots of Scutellaria baicalensis. Molecules. 2020; 25(4):923. https://doi.org/10.3390/molecules25040923
Chicago/Turabian StyleMaharjan, Sailesh, Sang Bong Lee, Geum Jin Kim, Sung Jin Cho, Joo-Won Nam, Jungwook Chin, and Hyukjae Choi. 2020. "Isolation of Unstable Isomers of Lucilactaene and Evaluation of Anti-Inflammatory Activity of Secondary Metabolites Produced by the Endophytic Fungus Fusarium sp. QF001 from the Roots of Scutellaria baicalensis" Molecules 25, no. 4: 923. https://doi.org/10.3390/molecules25040923
APA StyleMaharjan, S., Lee, S. B., Kim, G. J., Cho, S. J., Nam, J.-W., Chin, J., & Choi, H. (2020). Isolation of Unstable Isomers of Lucilactaene and Evaluation of Anti-Inflammatory Activity of Secondary Metabolites Produced by the Endophytic Fungus Fusarium sp. QF001 from the Roots of Scutellaria baicalensis. Molecules, 25(4), 923. https://doi.org/10.3390/molecules25040923

