A New NT4 Peptide-Based Drug Delivery System for Cancer Treatment
Abstract
1. Introduction
2. Results
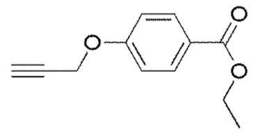
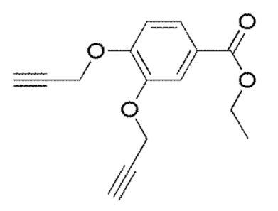
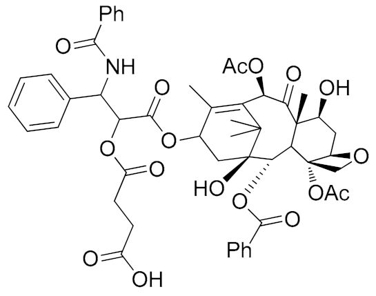
2.1. Paclitaxel for NT4 Multidrug Delivery
2.2. Conjugation of Mono, Bis, and Tris-PTX to NT4
2.3. Cytotoxicity Assay
2.4. Quantum Dot Decoration
2.5. Paclitaxel for QDs
2.6. Cell Binding of NT4-QD-PTX
2.7. Cytotoxicity Assays
3. Discussion
4. Materials and Methods
4.1. Mono, Bis, and Tris-PTX Maleimide Construction













4.2. Peptide Synthesis
4.3. NT4-mono PTX, NT4-bis PTX, and NT4-tris PTX construction


4.4. NT4-QD-PTX Construction
4.5. NMR Measurements
4.6. Cell Cultures
4.7. In Vitro Cytotoxicity Assay
4.8. NT4-QD-PTX Binding by Flow Cytometry
4.9. NT4-QD-PTX Binding by Immunofluorescence
Supplementary Materials
Author Contributions
Funding
Conflicts of Interest
References
- Galdiero, S.; Gomes, P.A.C. Peptide-Based Drugs and Drug Delivery Systems. Molecules 2017, 22, E2185. [Google Scholar] [CrossRef] [PubMed]
- Tesauro, D.; Accardo, A.; Diaferia, C.; Milano, V.; Guillon, J.; Ronga, L.; Rossi, F. Peptide-Based Drug-Delivery Systems in Biotechnological Applications: Recent Advances and Perspectives. Molecules 2019, 24, E351. [Google Scholar] [CrossRef] [PubMed]
- Koutsopoulos, S. Peptide Applications in Biomedicine, Biotechnology and Bioengineering, 1st ed.; Woodhead Publishing: Cambridge, UK, 2018; pp. 409–429. [Google Scholar]
- Brunetti, J.; Falciani, C.; Bracci, L.; Pini, A. Branched peptides as bioactive molecules for drug design. Pept. Sci. 2018, 110, e24089. [Google Scholar] [CrossRef]
- Bracci, L.; Falciani, C.; Lelli, B.; Lozzi, L.; Runci, Y.; Pini, A.; De Montis, M.G.; Tagliamonte, A.; Neri, P. Synthetic peptides in the form of dendrimers become resistant to protease activity. J. Biol. Chem. 2003, 278, 46590–46595. [Google Scholar] [CrossRef] [PubMed]
- Jeong, W.J.; Bu, J.; Kubiatowicz, L.J.; Chen, S.S.; Kim, Y.; Hong, S. Peptide-nanoparticle conjugates: A next generation of diagnostic and therapeutic platforms? Nano Converg. 2018, 5, 38. [Google Scholar] [CrossRef] [PubMed]
- Din, F.U.; Aman, W.; Ullah, I.; Qureshi, O.S.; Mustapha, O.; Shafique, S.; Zeb, A. Effective use of nanocarriers as drug delivery systems for the treatment of selected tumors. Int. J. Nanomed. 2017, 12, 7291–7309. [Google Scholar] [CrossRef]
- El-Zahaby, S.A.; Elnaggar, Y.S.R.; Abdallah, O.Y. Reviewing two decades of nanomedicine implementations in targeted treatment and diagnosis of pancreatic cancer: An emphasis on state of art. J. Control. Release 2018, 293, 21–35. [Google Scholar] [CrossRef]
- Ma, P.; Mumper, R.J. Paclitaxel nano-delivery systems: A comprehensive review. J. Nanomed. Nanotechnol. 2013, 4, 1000164. [Google Scholar] [CrossRef]
- Brunetti, J.; Depau, L.; Falciani, C.; Gentile, M.; Mandarini, E.; Riolo, G.; Lupetti, P.; Pini, A.; Bracci, L. Insights into the role of sulfated glycans in cancer cell adhesion and migration through use of branched peptide probe. Sci. Rep. 2016, 6, 27174. [Google Scholar] [CrossRef]
- Brunetti, J.; Pillozzi, S.; Falciani, C.; Depau, L.; Tenori, E.; Scali, S.; Lozzi, L.; Pini, A.; Arcangeli, A.; Menichetti, S.; et al. Tumor-selective peptide-carrier delivery of Paclitaxel increases in vivo activity of the drug. Sci. Rep. 2015, 5, 17736. [Google Scholar] [CrossRef][Green Version]
- Falciani, C.; Brunetti, J.; Lelli, B.; Ravenni, N.; Lozzi, L.; Depau, L.; Scali, S.; Bernini, A.; Pini, A.; Bracci, L. Cancer selectivity of tetrabranched neurotensin peptides is generated by simultaneous binding to sulfated glycosaminoglycans and protein receptors. J. Med. Chem. 2013, 56, 5009–5018. [Google Scholar] [CrossRef] [PubMed]
- Falciani, C.; Fabbrini, M.; Pini, A.; Lozzi, L.; Lelli, B.; Pileri, S.; Brunetti, J.; Bindi, S.; Scali, S.; Bracci, L. Synthesis and biological activity of stable branched neurotensin peptides for tumor targeting. Mol. Cancer Ther. 2007, 6, 2441–2448. [Google Scholar] [CrossRef]
- Falciani, C.; Brunetti, J.; Pagliuca, C.; Menichetti, S.; Vitellozzi, L.; Lelli, B.; Pini, A.; Bracci, L. Design and in vitro evaluation of branched peptide conjugates: Turning nonspecific cytotoxic drugs into tumor-selective agents. ChemMedChem 2010, 5, 567–574. [Google Scholar] [CrossRef] [PubMed]
- Brunetti, J.; Riolo, G.; Gentile, M.; Bernini, A.; Paccagnini, E.; Falciani, C.; Lozzi, L.; Scali, S.; Depau, L.; Pini, A.; et al. Near-infrared quantum dots labelled with a tumor selective tetrabranched peptide for in vivo imaging. J. Nanobiotechnol. 2018, 16, 21. [Google Scholar] [CrossRef] [PubMed]
- Hascicek, C.; Gun, O. Nano drug delivery systems for ovarian cancer therapy. Integr. Cancer Sci. Ther. 2017, 4, 1–4. [Google Scholar] [CrossRef]
- Mohammadi, R.; Shokri, B.; Shamshirian, D.; Zarghi, A.; Shahhosseini, S. Synthesis and biological evaluation of RGD conjugated with Ketoprofen/Naproxen and radiolabeled with [99mTc] via N4(GGAG) for αVβ3 integrin-targeted drug delivery. DARU J. Pharm. Sci. 2019, 1–10. [Google Scholar] [CrossRef]
- Zhan, H.; Zhao, H.; Muhammad, N.; Li, T.; Liu, Y.; Wang, J. Lytic peptide-grafted beta-cyclodextrin polymer based nano-scaled drug delivery system with enhanced camptothecin anti-cancer efficacy. Nanotechnology 2020, 31, 075101. [Google Scholar] [CrossRef]
- Panikar, S.S.; Ramírez-García, G.; Vallejo-Cardona, A.A.; Banu, N.; Patrón-Soberano, O.A.; Cialla-May, D.; Camacho-Villegas, T.A.; de la Rosa, E. Novel anti-HER2 peptide-conjugated theranostic nanoliposomes combining NaYF4:Yb,Er nanoparticles for NIR-activated bioimaging and chemo-photodynamic therapy against breast cancer. Nanoscale 2019, 11, 20598–20613. [Google Scholar] [CrossRef]
- Brunetti, J.; Falciani, C.; Lelli, B.; Minervini, A.; Ravenni, N.; Depau, L.; Siena, G.; Tenori, E.; Menichetti, S.; Pini, A.; et al. Neurotensin branched peptide as a tumor-targeting agent for human bladder cancer. Biomed. Res. Int. 2015, 2015, 173507. [Google Scholar] [CrossRef]
- Falciani, C.; Lelli, B.; Brunetti, J.; Pileri, S.; Cappelli, A.; Pini, A.; Pagliuca, C.; Ravenni, N.; Bencini, L.; Menichetti, S.; et al. Modular branched neurotensin peptides for tumor target tracing and receptor-mediated therapy: A proof-of-concept. Curr. Cancer Drug Targets 2010, 10, 695–704. [Google Scholar] [CrossRef]
- Zhang, S.; Zou, J.; Elsabahy, M.; Karwa, A.; Li, A.; Moore, D.A.; Dorshow, R.B.; Wooley, K.L. Poly(ethylene oxide)-block-polyphosphester-based Paclitaxel Conjugates as a Platform for Ultra-high Paclitaxel-loaded Multifunctional Nanoparticles. Chem. Sci. 2013, 4, 2122–2126. [Google Scholar] [CrossRef] [PubMed]
- Gheorghe, A.; Chinnusamy, T.; Cuevas-Yañez, E.; Hilgers, P.; Reiser, O. Combination of perfluoroalkyl and triazole moieties: A new recovery strategy for TEMPO. Org. Lett. 2008, 10, 4171–4174. [Google Scholar] [CrossRef] [PubMed]
- Deschamps, J.; Langlois, A.; Martin, G.; Bucher, L.; Desbois, N.; Gros, C.P.; Harvey, P.D. Cyclotriveratrylene-Containing Porphyrins. Inorg. Chem. 2016, 55, 9230–9239. [Google Scholar] [CrossRef] [PubMed]
- Liu, D.-Z.; Sinchaikul, S.; Vasu, P.; Reddy, G.; Chang, M.-Y.; Chen, S.-T. Synthesis of 2’-paclitaxel methyl 2-glucopyranosyl succinate for specific targeted delivery to cancer cells. Bioorganic Med. Chem. Lett. 2007, 17, 617–620. [Google Scholar] [CrossRef] [PubMed]
- Lim, J.; Simanek, E.E. Synthesis of water-soluble dendrimers based on melamine bearing 16 paclitaxel groups. Org. Lett. 2008, 10, 201–204. [Google Scholar] [CrossRef] [PubMed]
Sample Availability: Samples of the compounds are not available from the authors. |







© 2020 by the authors. Licensee MDPI, Basel, Switzerland. This article is an open access article distributed under the terms and conditions of the Creative Commons Attribution (CC BY) license (http://creativecommons.org/licenses/by/4.0/).
Share and Cite
Brunetti, J.; Piantini, S.; Fragai, M.; Scali, S.; Cipriani, G.; Depau, L.; Pini, A.; Falciani, C.; Menichetti, S.; Bracci, L. A New NT4 Peptide-Based Drug Delivery System for Cancer Treatment. Molecules 2020, 25, 1088. https://doi.org/10.3390/molecules25051088
Brunetti J, Piantini S, Fragai M, Scali S, Cipriani G, Depau L, Pini A, Falciani C, Menichetti S, Bracci L. A New NT4 Peptide-Based Drug Delivery System for Cancer Treatment. Molecules. 2020; 25(5):1088. https://doi.org/10.3390/molecules25051088
Chicago/Turabian StyleBrunetti, Jlenia, Sara Piantini, Marco Fragai, Silvia Scali, Giulia Cipriani, Lorenzo Depau, Alessandro Pini, Chiara Falciani, Stefano Menichetti, and Luisa Bracci. 2020. "A New NT4 Peptide-Based Drug Delivery System for Cancer Treatment" Molecules 25, no. 5: 1088. https://doi.org/10.3390/molecules25051088
APA StyleBrunetti, J., Piantini, S., Fragai, M., Scali, S., Cipriani, G., Depau, L., Pini, A., Falciani, C., Menichetti, S., & Bracci, L. (2020). A New NT4 Peptide-Based Drug Delivery System for Cancer Treatment. Molecules, 25(5), 1088. https://doi.org/10.3390/molecules25051088

