Tracking Sensory Characteristics of Virgin Olive Oils During Storage: Interpretation of Their Changes from a Multiparametric Perspective
Abstract
1. Introduction
2. Results and Discussion
2.1. Characterization of Fresh VOOs
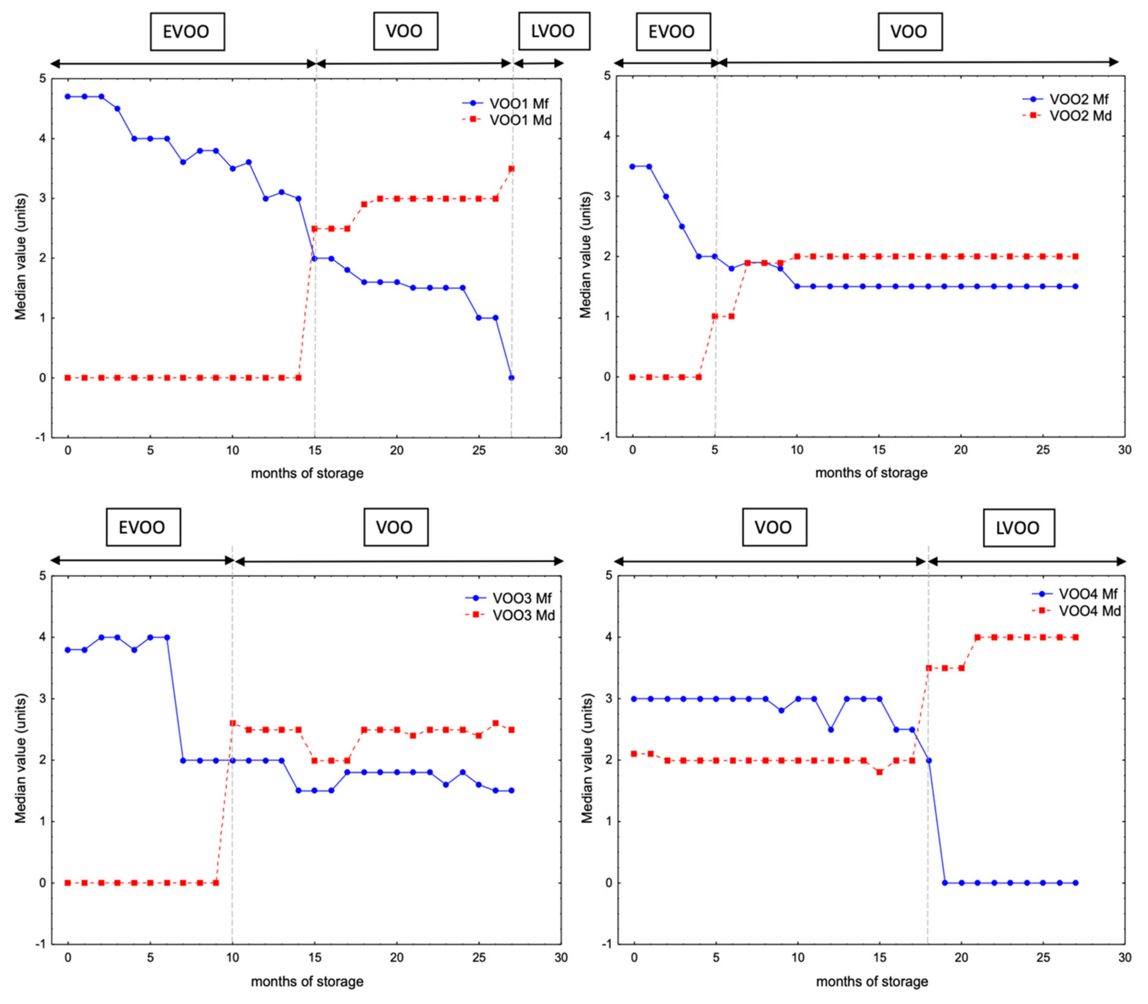
2.2. Chemical Changes during the Storage Experiment
3. Materials and Methods
3.1. Samples
3.2. Quality Parameters
3.3. Oil Stability Index (OSI)
3.4. Mesh Cell-FTIR Analysis
3.5. Determination of Volatile Compounds
3.6. Sensory Assessment
3.7. Determination of Phenol Content
3.8. Statistical Analysis
4. Conclusions
Supplementary Materials
Author Contributions
Funding
Acknowledgments
Conflicts of Interest
References
- Morales, M.T.; Aparicio-Ruiz, R.; Aparicio, R. Chromatographic methodologies: Compounds for olive oil odor issues. In Handbook of Olive Oil: Analysis and Properties; Aparicio, R., Harwood, J., Eds.; Springer US: Boston, MA, USA, 2013; pp. 261–309. [Google Scholar]
- Tena, N.; Aparicio, R.; García-González, D.L. Chemical changes of thermoxidized virgin olive oil determined by excitation-emission fluorescence spectroscopy (EEFS). Food Res. Int. 2012, 45, 103–108. [Google Scholar] [CrossRef]
- Morales, M.T.; Ríos, J.J.; Aparicio, R. Changes in the volatile composition of virgin olive oil during oxidation: Flavors and off-flavors. J. Agric. Food Chem. 1997, 45, 2666–2673. [Google Scholar] [CrossRef]
- Sikorska, E.; Khmelinskii, I.V.; Sikorski, M.; Caponio, F.; Bilancia, M.T.; Pasqualone, A.; Gomes, T. Fluorescence spectroscopy in monitoring of extra virgin olive oil during storage. Int. J. Food Sci. Technol. 2008, 43, 52–61. [Google Scholar] [CrossRef]
- Méndez, A.I.; Falqué, E. Effect of storage time and container type on the quality of extra-virgin olive oil. Food Control 2007, 18, 521–529. [Google Scholar] [CrossRef]
- Tena, N.; Aparicio, R.; García-González, D.L. Virgin olive oil stability study by mesh cell-FTIR spectroscopy. Talanta 2017, 167, 453–461. [Google Scholar] [CrossRef]
- Tena, N.; Aparicio, R.; García-González, D.L. Photooxidation effect in liquid lipid matrices: Answers from an innovative FTIR spectroscopy strategy with “mesh Cell” incubation. J. Agric. Food Chem. 2018, 66, 3541–3549. [Google Scholar] [CrossRef]
- Genovese, A.; Caporaso, N.; Sacchi, R. Temporal changes of virgin olive oil volatile compounds in a model system simulating domestic consumption: The role of biophenols. Food Res. Int. 2015, 77, 670–674. [Google Scholar] [CrossRef]
- Hernández-Sánchez, N.; Lleó, L.; Ammari, F.; Cuadrado, T.R.; Roger, J.M. Fast fluorescence spectroscopy methodology to monitor the evolution of extra virgin olive oils under illumination. Food Bioprocess Technol. 2017, 10, 949–961. [Google Scholar] [CrossRef]
- Iqdiam, B.M.; Welt, B.A.; Goodrich-Schneider, R.; Sims, C.A.; Baker, G.L.; Marshall, M.R. Influence of headspace oxygen on quality and shelf life of extra virgin olive oil during storage. Food Packag. Shelf Life 2020, 23, 100433. [Google Scholar] [CrossRef]
- Esposto, S.; Selvaggini, R.; Taticchi, A.; Veneziani, G.; Sordini, B.; Servili, M. Quality evolution of extra-virgin olive oils according to their chemical composition during 22 months of storage under dark conditions. Food Chem. 2020, 311, 126044. [Google Scholar] [CrossRef]
- International Olive Council. Trade Standard Applying to Olive Oils and Olive-Pomace Oils. COI/T.15/Nc No 3/Rev. 14 2019, Madrid, Spain. 2019. Available online: https://www.internationaloliveoil.org/wp-content/uploads/2019/12/trade-standard-REV-14-Eng.pdf (accessed on 6 April 2020).
- European Commission. Commission regulation (EEC) No 2568/91 of 11 July 1991 on the characteristics of olive oil and olive-residue oil and on the relevant methods of analysis (and updates). 1991. Available online: https://eur-lex.europa.eu/legal-content/EN/TXT/PDF/?uri=CELEX:01991R2568-20191020&qid=1586170284196&from=ES (accessed on 6 April 2020).
- International Olive Council. Best Practice Quidelines for the Storage of Olive Oils and Olive-Pomace Oils for Human Consumption. COI/Bps/Doc. No1 2018, Madrid, Spain. 2018. Available online: https://www.internationaloliveoil.org/wp-content/uploads/2019/11/COI-BPS-Doc.-No-1-2018-Eng.pdf (accessed on 6 April 2020).
- Izquierdo, M.; Lastra-Mejías, M.; González-Flores, E.; Cancilla, J.C.; Aroca-Santos, R.; Torrecilla, J.S. Deep thermal imaging to compute the adulteration state of extra virgin olive oil. Comput. Electron. Agric. 2020, 171, 105290. [Google Scholar] [CrossRef]
- Maszewska, M.; Florowska, A.; Dłużewska, E.; Wroniak, M.; Marciniak-Lukasiak, K.; Żbikowska, A. Oxidative stability of selected edible oils. Molecules 2018, 23, 15–17. [Google Scholar] [CrossRef]
- Velasco, J.; Andersen, M.L.; Skibsted, L.H. Evaluation of oxidative stability of vegetable oils by monitoring the tendency to radical formation. A comparison of electron spin resonance spectroscopy with the Rancimat method and differential scanning calorimetry. Food Chem. 2004, 85, 623–632. [Google Scholar] [CrossRef]
- Jiang, S.; Xie, Y.; Li, M.; Guo, Y.; Cheng, Y.; Qian, H.; Yao, W. Evaluation on the oxidative stability of edible oil by electron spin resonance spectroscopy. Food Chem. 2020, 309, 125714. [Google Scholar] [CrossRef]
- Qi, B.; Zhang, Q.; Sui, X.; Wang, Z.; Li, Y.; Jiang, L. Differential scanning calorimetry study - Assessing the influence of composition of vegetable oils on oxidation. Food Chem. 2016, 194, 601–607. [Google Scholar] [CrossRef]
- Trypidis, D.; García-González, D.L.; Lobo-Prieto, A.; Nenadis, N.; Tsimidou, M.Z.; Tena, N. Real time monitoring of the combined effect of chlorophyll content and light filtering packaging on virgin olive oil photo-stability using mesh cell-FTIR spectroscopy. Food Chem. 2019, 295, 94–100. [Google Scholar] [CrossRef]
- Mishra, P.; Lleó, L.; Cuadrado, T.; Ruiz-Altisent, M.; Hernández-Sánchez, N. Monitoring oxidation changes in commercial extra virgin olive oils with fluorescence spectroscopy-based prototype. Eur. Food Res. Technol. 2018, 244, 565–575. [Google Scholar] [CrossRef]
- Di Stefano, V.; Melilli, M.G. Effect of storage on quality parameters and phenolic content of Italian extra-virgin olive oils. Nat. Prod. Res. 2020, 34, 78–86. [Google Scholar] [CrossRef]
- Gómez-Alonso, S.; Mancebo-Campos, V.; Salvador, M.D.; Fregapane, G. Evolution of major and minor components and oxidation indices of virgin olive oil during 21 months storage at room temperature. Food Chem. 2007, 100, 36–42. [Google Scholar] [CrossRef]
- Krichene, D.; Salvador, M.D.; Fregapane, G. Stability of virgin olive oil phenolic compounds during long-term storage (18 months) at temperatures of 5–50 °C. J. Agric. Food Chem. 2015, 63, 6779–6786. [Google Scholar] [CrossRef]
- Vichi, S.; Pizzale, L.; Conte, L.S.; Buxaderas, S.; López-Tamames, E. Solid-phase microextraction in the analysis of virgin olive oil volatile fraction: Modifications induced by oxidation and suitable markers of oxidative status. J. Agric. Food Chem. 2003, 51, 6564–6571. [Google Scholar] [CrossRef]
- Kotsiou, K.; Tasioula-Margari, M. Changes occurring in the volatile composition of Greek virgin olive oils during storage: Oil variety influences stability. Eur. J. Lipid Sci. Technol. 2015, 117, 514–522. [Google Scholar] [CrossRef]
- Taticchi, A.; Esposto, S.; Servili, M. The basis of the sensory properties of virgin olive oil. In Olive Oil Sensory Science; Monteleone, E., Langstaff, S., Eds.; John Wiley and sons, Ltd.: Chichester, UK, 2014; pp. 33–54. [Google Scholar]
- Uceda, M.; Aguilera, M.; De la, P.; Jiménez, A.; Beltrán, G. Variedades de olivo y aceituna. Tipos de aceites. In El Aceite de Oliva Virgen: Tesoro de Andalucía; Fernández Gutiérrez, A., Segura Carretero, A., Eds.; Fundación Unicaja: Málaga, Spain, 2009; pp. 109–137. [Google Scholar]
- Luna, G.; Morales, M.T.; Aparicio, R. Characterisation of 39 varietal virgin olive oils by their volatile compositions. Food Chem. 2006, 98, 243–252. [Google Scholar] [CrossRef]
- Quintanilla-Casas, B.; Bustamante, J.; Guardiola, F.; García-González, D.L.; Barbieri, S.; Bendini, A.; Toschi, T.G.; Vichi, S.; Tres, A. Virgin olive oil volatile fingerprint and chemometrics: Towards an instrumental screening tool to grade the sensory quality. LWT 2020, 121, 108936. [Google Scholar] [CrossRef]
- Morales, M.T.; Luna, G.; Aparicio, R. Comparative study of virgin olive oil sensory defects. Food Chem. 2005, 91, 293–301. [Google Scholar] [CrossRef]
- Angerosa, F.; Servili, M.; Selvaggini, R.; Taticchi, A.; Esposto, S.; Montedoro, G. Volatile compounds in virgin olive oil: Occurrence and their relationship with the quality. J. Chromatogr. A 2004, 1054, 17–31. [Google Scholar] [CrossRef]
- Salas, J.J.; García-González, D.L.; Aparicio, R. Volatile compound biosynthesis by green leaves from an Arabidopsis thaliana hydroperoxide lyase knockout mutant. J. Agric. Food Chem. 2006, 54, 8199–8205. [Google Scholar] [CrossRef]
- García-González, D.L.; Aparicio, R. Detection of vinegary defect in virgin olive oils by metal oxide sensors. J. Agric. Food Chem. 2002, 50, 1809–1814. [Google Scholar] [CrossRef]
- Cecchi, L.; Migliorini, M.; Giambanelli, E.; Rossetti, A.; Cane, A.; Melani, F.; Mulinacci, N. Headspace solid-phase microextraction–gas chromatography–mass spectrometry quantification of the volatile profile of more than 1200 virgin olive oils for supporting the panel test in their classification: Comparison of different chemometric approaches. J. Agric. Food Chem. 2019, 67, 9112–9120. [Google Scholar] [CrossRef]
- Aparicio, R.; Morales, M.T.; García-González, D.L. Towards new analyses of aroma and volatiles to understand sensory perception of olive oil. Eur. J. Lipid Sci. Technol. 2012, 114, 1114–1125. [Google Scholar] [CrossRef]
- Grosch, W. Determination of potent odourants in foods by aroma extract dilution analysis (AEDA) and calculation of odour activity values (OAVs). Flavour Fragr. J. 1994, 9, 147–158. [Google Scholar] [CrossRef]
- Romero, I.; García-González, D.L.; Aparicio-Ruiz, R.; Morales, M.T. Validation of SPME-GCMS method for the analysis of virgin olive oil volatiles responsible for sensory defects. Talanta 2015, 134, 394–401. [Google Scholar] [CrossRef] [PubMed]
- Cavalli, J.F.; Fernandez, X.; Lizzani-Cuvelier, L.; Loiseau, A.M. Characterization of volatile compounds of French and Spanish virgin olive oils by HS-SPME: Identification of quality-freshness markers. Food Chem. 2004, 88, 151–157. [Google Scholar] [CrossRef]
- Morales, M.T.; Przybylski, R. Olive oil oxidation. In Handbook of Olive Oil: Analysis and Properties; Aparicio, R., Harwood, J., Eds.; Springer US: Boston, MA, USA, 2013; pp. 479–522. [Google Scholar]
- Tena, N.; Lobo-Prieto, A.; Aparicio, R.; García-González, D.L. Storage and preservation of fats and oils. In Encyclopedia of Food Security and Sustainability; Ferranti, P., Berry, E., Jock, A., Eds.; Elsevier: Amsterdam, The Netherlands, 2018; pp. 605–618. [Google Scholar]
- García-González, D.L.; Vivancos, J.; Aparicio, R. Mapping brain activity induced by olfaction of virgin olive oil aroma. J. Agric. Food Chem. 2011, 59, 10200–10210. [Google Scholar] [CrossRef]
- Vivancos, J.; Tena, N.; Morales, M.T.; Aparicio, R.; García-González, D.L. A neuroimaging study of pleasant and unpleasant olfactory perceptions of virgin olive oil. Grasas Aceites 2016, 67, e157. [Google Scholar] [CrossRef]
- Velasco, J.; Dobarganes, C. Oxidative stability of virgin olive oil. Eur. J. Lipid Sci. Technol. 2002, 104, 661–676. [Google Scholar] [CrossRef]
- International Olive Council. Determination of fatty acid methyl esters by gas chromatography. COI/T.20/Doc. No 33/Rev.1 2017, Madrid, Spain. 2017. Available online: https://www.internationaloliveoil.org/wp-content/uploads/2019/11/COI-T.20-Doc.-No-33-Rev.-1-2017.pdf (accessed on 6 April 2020).
- International Olive Council. Determination of peroxide value. COI/T.20/Doc. No 35/Rev.1 2017, Madrid, Spain. 2017. Available online: https://www.internationaloliveoil.org/wp-content/uploads/2019/11/Method-COI-T.20-Doc.-No-35-Rev.-1-2017.pdf (accessed on 6 April 2020).
- International Olive Council. Determination of free fatty acids, cold method. COI/T.20/Doc. No 34/Rev. 1 2017, Madrid, Spain. 2017. Available online: https://www.internationaloliveoil.org/wp-content/uploads/2019/11/COI-T.20-Doc.-No-34-Rev.-1-2017.pdf (accessed on 6 April 2020).
- International Olive Council. Spectrophotometric investigation in the ultraviolet. COI/T.20/Doc. No 19/Rev. 5 2019, Madrid, Spain. 2019. Available online: https://www.internationaloliveoil.org/wp-content/uploads/2019/11/Method-COI-T.20-Doc.-No-19-Rev.-5-2019-2.pdf (accessed on 6 April 2020).
- AOCS. Oil Stability Index (OSI). Cd 12b-92 Champaign, IL. 1993. Available online: https://www.aocs.org/attain-lab-services/methods/methods/method-detail?productId=111524 (accessed on 6 April 2020).
- Oliver-Pozo, C.; Trypidis, D.; Aparicio, R.; García-González, D.L.; Aparicio-Ruiz, R. Implementing dynamic headspace with SPME sampling of virgin olive oil volatiles: Optimization, quality analytical study, and performance testing. J. Agric. Food Chem. 2019, 67, 2086–2097. [Google Scholar] [CrossRef]
- Oliver-Pozo, C.; Aparicio-Ruiz, R.; Romero, I.; García-González, D.L. Analysis of volatile markers for virgin olive oil aroma defects by SPME-GC/FID: Possible sources of incorrect data. J. Agric. Food Chem. 2015, 63, 10477–10483. [Google Scholar] [CrossRef]
- Aparicio, R.; Morales, M.T. Characterization of olive ripeness by green aroma compounds of virgin olive oil. J. Agric. Food Chem. 1998, 46, 1116–1122. [Google Scholar] [CrossRef]
- Buettner, A.; Schieberle, P. Influence of mastication on the concentrations of aroma volatiles - Some aspects of flavour release and flavour perception. Food Chem. 2000, 71, 347–354. [Google Scholar] [CrossRef]
- Normalización, A.E. de Requisitos generales para la competencia de los laboratorios de ensayo y calibración. (ISO/IEC 17025:2017). Asoc. Española Norm. 2017, Madrid, Spain. Available online: https://www.une.org/encuentra-tu-norma/busca-tu-norma/norma/?c=N0059467 (accessed on 6 April 2020).
- International Olive Council. Sensory analysis of olive oil. Method for the organoleptic assessment of virgin olive oil. COI/T.20/Doc. No 15/Rev. 10 2018, Madrid, Spain. 2018. Available online: https://www.internationaloliveoil.org/wp-content/uploads/2019/11/COI-T20-Doc.-15-REV-10-2018-Eng.pdf (accessed on 6 April 2020).
- Aparicio-Ruiz, R.; García-González, D.L.; Oliver-Pozo, C.; Tena, N.; Morales, M.T.; Aparicio, R. Phenolic profile of virgin olive oils with and without sensory defects: Oils with non-oxidative defects exhibit a considerable concentration of phenols. Eur. J. Lipid Sci. Technol. 2016, 118, 299–307. [Google Scholar] [CrossRef]
- Mateos, R.; Espartero, J.L.; Trujillo, M.; Ríos, J.J.; León-Camacho, M.; Alcudia, F.; Cert, A. Determination of phenols, flavones, and lignans in virgin olive oils by solid-phase extraction and high-performance liquid chromatography with diode array ultraviolet detection. J. Agric. Food Chem. 2001, 49, 2185–2192. [Google Scholar] [CrossRef] [PubMed]
Sample Availability: Samples of the compounds (virgin olive oils collected every month during the storage experiment) are available from the authors. |






| Chemical Parameters | Virgin Olive Oil Codes | Quality Criteria (EVOO) | ||||
|---|---|---|---|---|---|---|
| VOO1 | VOO2 | VOO3 | VOO4 | |||
| Cultivar Extraction Date (dd/mm/yy) | Hojiblanca | Arbequina | Picual | Arbequina | ||
| 31/10/15 | 3/12/2015 | 12/11/2015 | 20/11/2015 | |||
| Organoleptic characteristics | Mf a | 4.7 | 3.5 | 3.8 | 3 | >0 |
| Md b | 0 | 0 | 0 | 2.1 | =0 | |
| Free fatty acid (% m/m of oleic acid) | 0.15 | 0.21 | 0.20 | 0.22 | ≤0.8 | |
| Peroxide value (PV) (meq O2/kg) | 4.30 | 5.13 | 3.63 | 4.80 | ≤20 | |
| K232 ) | 1.52 | 1.87 | 1.72 | 1.84 | ≤2.50 | |
| K270 ) | 0.06 | 0.19 | 0.04 | 0.18 | ≤0.22 | |
| Total phenols (mg/kg) | 226.71 | 338.90 | 534.82 | 468.10 | ||
| Oil stability index (OSI) at 100 °C (h) | 38.71 | 22.95 | 82.80 | 53.60 | ||
| C16:0 (%) | 14.30 | 15.46 | 10.79 | 16.02 | ||
| C16:1 (%) | 0.93 | 1.77 | 1.19 | 1.87 | ||
| C17:0 (%) | 0.18 | 0.11 | 0.04 | 0.15 | ||
| C17:1 (%) | 0.29 | 0.24 | 0.08 | 0.27 | ||
| C18:0 (%) | 2.56 | 1.95 | 2.49 | 1.91 | ||
| C18:1 (%) | 72.38 | 66.71 | 80.28 | 65.93 | ||
| C18:2 (%) | 7.29 | 12.22 | 3.45 | 12.36 | ||
| C18:3 (%) | 1.08 | 0.66 | 0.82 | 0.65 | ||
| C20:0 (%) | 0.47 | 0.40 | 0.41 | 0.39 | ||
| C20:1 (%) | 0.31 | 0.30 | 0.28 | 0.28 | ||
| C22:0 (%) | 0.14 | 0.13 | 0.12 | 0.12 | ||
| C24:0 (%) | 0.09 | 0.07 | 0.065 | 0.06 | ||
| C12:0, C14:0, tC18:1, tC18:2, tC18:3 (%) | <0.01 | <0.01 | <0.01 | <0.01 | ||
| ∑SFA (%) | 17.73 | 18.11 | 13.91 | 18.64 | ||
| ∑ MUFA (%) | 73.90 | 69.01 | 81.82 | 68.35 | ||
| ∑ PUFA (%) | 8.37 | 12.88 | 4.27 | 13.01 | ||
| ∑ UFA (%) | 82.27 | 81.89 | 86.09 | 81.36 | ||
| VOO1 | VOO2 | VOO3 | VOO4 | ||||||||
|---|---|---|---|---|---|---|---|---|---|---|---|
| Hojiblanca | Arbequina | Picual | Arbequina | Odor Threshold (mg/kg) | Aroma Sensory Descriptor | ||||||
| CODE | Months of Storage | 0 | 27 | 0 | 27 | 0 | 27 | 0 | 27 | ||
| 1 | Octane | 0.33 a | 4.24 a,b | 1.06 a,b | 12.87 a,b | 0.65 a | 13.95 a,b | 2.012 a,b | 14.13 a,b | 0.94 | Sweet, alkane |
| 2 | Methyl acetate | 0.51 a,b | 0.59 a,b | 1.28 a,b | 0.89 a,b | 0.13 a | 0.18 a | 1.03 a,b | 0.49 a,b | 0.20 | Solvent, fruit |
| 3 | Butanal | 0.05 a,b | 0.03 a,b | 0.05 a,b | 0.02 a,b | 0.07 a,b | 0.03 a,b | 0.04 a,b | 0.03 a,b | 0.08 | Green, pungent |
| 4 | Ethyl acetate | 0.70 a | 0.61 a | 1.11 a,b | 1.01 a,b | 0.16 a | 0.19 a | 1.59 a,b | 1.00 a,b | 0.94 | Sticky, sweet |
| 5 | Butan-2-one | 0.48 a | 0.37 a | 0.29 a | 0.28 a | 0.55 a | 0.41 a | 0.12 a | 0.10 a | 40.00 | Ethereal, fruit |
| 6 | 2-methylbutanal | 0.04 a,b | 0.03 a,b | 0.15 a,b | 0.11 a,b | 0.05 a,b | 0.08 a,b | 0.16 a,b | 0.12 a,b | 0.005 | Malty |
| 7 | 3-methylbutanal | 0.02 a,b | 0.03 a,b | 0.06 a,b | 0.11 a,b | 0.04 a,b | 0.08 a,b | 0.09 a,b | 0.05 a,b | 0.005 | Malty |
| 8 | Ethanol | 19.63 a | 15.59 a | 12.17 a | 5.96 a | 21.09 a | 15.67 a | 15.88 a | 9.45 a | 30.00 | Alcohol |
| 9 | Ethyl propanoate | 0.76 a,b | 0.64 a,b | 0.32 a,b | 0.26 a,b | 0.24 a,b | 0.29 a,b | 0.10 a | 0.05 a | 0.10 | Fruit, strong |
| 10 | 3-pentanone | 4.83 a,b | 4.04 a,b | 2.41 b | 2.20 b | 3.46 a,b | 2.82 a,b | 2.23 a,b | 1.60 a,b | 70.00 | Sweet, fruit |
| 11 | Butan-2-ol | 0.07 a | 0.04 a | 0.09 a | 0.05 a | 0.09 a | 0.04 a | 0.06 a | 0.02 a | 0.15 | Winey |
| 12 | Hexanal c | 3.83 a,b | 2.33 a,b | 2.08 a,b | 3.75 a,b | 2.62 a,b | 2.19 a,b | 2.41 a,b | 2.72 a,b | 0.08 | Green-sweet |
| 13 | 2-methylpropan-1-ol | 0.12 a | 0.02 a | 0.04 | 0.01 | 0.02 a | 0.01 a | 0.01 a | 0.02 a | 1.00 | Wine, solvent |
| 14 | 1-penten-3-ol | 0.96 a,b | 0.65 a,b | 0.44 a,b | 0.31 a | 0.51 b | 0.52 b | 0.40 a | 0.31 a | 0.40 | Pungent, butter |
| 15 | (E)-2-pentenal | 0.46 a,b | 0.23 a | 0.16 | 0.16 | 0.26 | 0.30 b | 0.12 a | 0.31 a,b | 0.30 | Green, apple |
| 16 | Butan-1-ol | 0.30 a | 0.07 a | 0.01 a | 0.01 a | 0.10 | 0.01 | 0.04 a | 0.03 a | 0.40 | Fatty–medicine |
| 17 | Heptanal | 0.10 | 0.09 | 0.06 a | 0.47 a | 0.05 a | 0.30 a | 0.08 a | 0.42 a | 0.50 | Oily, fatty, Woody |
| 18 | 2-methylbutan-1-ol | 0.01 | 0.01 | Nd d | Nd d | 0.01 a | 0.05 a | 0.02 | 0.03 | 0.30 | Winey, spicy |
| 19 | 3-methylbutan-1-ol | 0.03 | 0.03 | 0.04 a | 0.04 a | 0.02 a | 0.01 a | 0.08 | 0.06 | 0.10 | Woody, whiskey |
| 20 | (E)-2-hexenal c | 4.53 a,b | 1.21 a,b | 5.03 a,b | 3.87 a,b | 5.81 a,b | 3.31 a,b | 5.71 a,b | 2.57 a,b | 0.42 | Green, apple-like |
| 21 | Octan-3-one | 0.08 a | 0.03 a | 0.04 a | 0.01 a | 0.15 | 0.09 | 0.02 a | 0.08 a | 0.75 | Herb, butter |
| 22 | Pentanol | 0.03 a | 0.01 a | 0.01 a | 0.06 a | 0.06 | 0.03 | 0.01 a | 0.01 a | 0.47 | Fruity |
| 23 | 1-octen-3-one | 0.17 a | 0.07 a | 0.16 | 0.43 | 0.11 | 0.11 | 0.10 a | 0.20 a | 0.01 | Mushroom, mold |
| 24 | Hexyl acetate c | 1.87 b | 1.96 b | 0.85 | 0.75 | 1.69 a,b | 1.52 a,b | 0.89 a | 0.70 a | 1.04 | Green, fruity, sweet |
| 25 | Octan-2-one | 0.08 a | 0.03 a | 0.02 a | 0.01 a | 0.12 b | 0.04 | 0.02 a | 0.01 a | 0.51 | Mold, green |
| 26 | Octanal | 0.07 | 1.38 b | 0.42 b | 0.98 b | 1.01 b | 1.00 b | 0.55 a,b | 0.31 a,b | 0.32 | Fatty, sharp, citrus-like |
| 27 | (Z)-3-hexenyl acetate c | 0.63 a | 0.31 a | 0.56 a | 0.50 a | 1.73 b | 0.98 | 0.48 a | 0.31 a | 0.20 | Green |
| 28 | (E)-2-heptenal | 0.08 a,b | 0.05 a,b | 0.02 a,b | 0.10 a,b | 0.02 a,b | 0.08 a,b | 0.02 a,b | 0.09 a,b | 0.005 | Oxidized, tallow |
| 29 | 6-methyl-5-hepten-2-one | 0.01 a | 0.01 a | 0.01 | 0.02 | 0.02 a | 0.02 a | 0.01 a | 0.01 a | 1.00 | Pungent, green |
| 30 | Hexanol c | 3.56 a,b | 3.54 a,b | 1.57 a,b | 1.41 a,b | 1.65 a,b | 1.43 a,b | 1.08 a,b | 0.88 a,b | 0.40 | Fruit, banana, soft |
| 31 | (E)-3-hexen-1-ol c | 0.46 a | 0.06 a | 0.10 a | 0.11 a | 0.21 a | 0.09 a | 0.05 a | 0.03 a | 1.00 | Green |
| 32 | (Z)-3-hexen-1-ol c | 1.10 a | 0.45 a | 0.16 a | 0.12 a | 0.29 | 0.16 | 0.05 a | 0.04 a | 1.10 | Green |
| 33 | Nonanal | 0.22 a,b | 0.29 a,b | 0.19 a,b | 0.80 a,b | 0.24 a,b | 0.39 a,b | 0.22 a,b | 0.61 a,b | 0.15 | Fatty, waxy, pungent |
| 34 | 1-octen-3-ol | 0.14 a,b | 0.04 a,b | 0.05 a,b | 0.08 a,b | 0.14 a,b | 0.04 a,b | 0.05 a,b | 0.09 a,b | 0.001 | Moldy, earthy |
| 35 | (E)-2-hexen-1-ol c | 0.83 a | 0.23 a | 0.50 a | 0.37 a | 0.85 a | 0.44 a | 0.25 a | 0.19 a | 5.00 | Green grass, leaves |
| 36 | (Z)-2-hexen-1-ol c | 1.43 a | 0.43 a | 0.29 a | 0.30 a | 0.59 a | 0.23 a | 0.16 a | 0.13 a | 1.00 | Green |
| 37 | Acetic acid | 1.63 a,b | 1.56 a,b | 5.16 b | 6.36 b | 2.94 a,b | 3.78 a,b | 0.63 b | 0.79 b | 0.50 | Sour, vinegary |
| 38 | Propanoic acid | 0.14 a | 0.24 a | 0.18 a | 0.19 a | 0.13 a | 0.20 a | 0.10 | 0.13 | 0.72 | Pungent, sour |
| 39 | Butanoic acid | 0.47 a | 0.23 a | 0.13 a | 0.06 a | 0.25 | 0.24 | 0.25 | 0.15 | 0.65 | Rancid, cheese |
| 40 | 2-methylpropanoic acid | 0.08 a | 0.04 a | 0.07 a | 0.05 a | 0.10 a | 0.06 a | 0.06 a | 0.04 a | - | Butter, cheese, rancid |
| 41 | (E)-2-decenal | 0.13 b | 0.07 b | 0.12 a,b | 0.80 a,b | 2.75 a,b | 3.37 a,b | 2.55 a,b | 3.47 a,b | 0.01 | Painty, fishy, fatty |
| 42 | Pentanoic acid | 0.24 | 0.25 | 0.13 a | 0.24 a | 0.29 | 0.15 | 0.11 a | 0.20 a | 0.60 | Unpleasant, pungent |
| 43 | Hexanoic acid | 1.50 b | 1.78 b | 0.57 a | 1.22 a,b | 2.51 a,b | 0.57 a | 0.63 a | 1.23 a,b | 0.70 | Pungent, rancid |
| 44 | Heptanoic acid | 1.27 a,b | 2.97 a,b | 3.99 a,b | 1.52 a,b | 4.96 a,b | 1.16 a,b | 1.15 a,b | 4.00 a,b | 0.10 | Rancid, fatty |
| 45 | Octanoic acid | 1.07 a | 2.62 a | 1.77 a | 1.57 a | 4.47 a | 1.33 a | 1.03 a | 2.14 a | 3.00 | Oily, fatty |
| 46 | Nonanoic acid | 0.02 a | 0.08 a | 0.02 a | 0.05 a | 0.12 a | 0.02 a | 0.02 a | 0.05 a | - | Fat, must, sweat, sour |
| Total volatiles | 55.00 | 49.54 | 43.94 | 50.47 | 63.29 | 57.91 | 42.65 | 49.36 | |||
| VOO1 | VOO2 | ||
|---|---|---|---|
| Compound | RSD% | Compound | RSD% |
| Octane a | 120.82 | Octane | 119.81 |
| Butan-2-ol | 50.00 | Butanal | 58.59 |
| 2-methylpropan-1-ol | 93.90 | 2-methylpropan-1-ol | 75.00 |
| Butan-1-ol | 90.08 | Butan-1-ol | 69.05 |
| (E)-2-hexenal | 82.03 | Heptanal a | 107.53 |
| Octan-3-one | 70.06 | Octan-3-one | 92.07 |
| Pentanol | 78.22 | Octan-2-one | 68.64 |
| Octan-2-one | 74.39 | Octanal a | 56.58 |
| Octanal a | 128.77 | 1-octen-3-one a | 64.17 |
| 1-octen-3-one | 59.92 | (E)-2-heptenal a | 99.97 |
| (E)-2-heptenal a | 71.08 | 6-methyl-5-hepten-2-one a | 64.13 |
| 6-methyl-5-hepten-2-one | 61.66 | Nonanal a | 87.46 |
| (E)-3-hexen-1-ol | 107.40 | Butanoic acid | 51.36 |
| (Z)-3-hexen-1-ol | 59.21 | (E)-2-decenal a | 104.44 |
| 1-octen-3-ol | 72.03 | Hexanoic acid a | 50.98 |
| (E)-2-hexen-1-ol | 79.88 | Heptanoic acid | 63.61 |
| (Z)-2-hexen-1-ol | 76.50 | Nonanoic acid a | 78.26 |
| Heptanoic acid a | 56.85 | ||
| Octanoic acid a | 59.30 | ||
| Nonanoic acid a | 94.12 | ||
| VOO3 | VOO4 | ||
| Compound | RSD% | Compound | RSD% |
| Octane a | 128.80 | Octane a | 106.09 |
| Butanal | 56.41 | Methyl acetate | 50.03 |
| Butan-2-ol | 64.18 | Butan-2-ol | 80.69 |
| 2-methylpropan-1-ol | 71.54 | 2-methylpropan-1-ol a | 64.37 |
| Butan-1-ol | 118.65 | (E)-2-pentenal a | 62.07 |
| Heptanal a | 100.26 | Heptanal a | 94.48 |
| 2-methylbutan-1-ol a | 99.86 | (E)-2-hexenal | 53.76 |
| Octan-2-one | 77.44 | Octan-3-one a | 79.59 |
| (E)-2-heptenal a | 95.01 | Pentanol a | 53.96 |
| 6-methyl-5-hepten-2-one | 97.30 | (E)-2-heptenal a | 95.28 |
| (E)-3-hexen-1-ol | 58.40 | 6-methyl-5-hepten-2-one | 80.14 |
| 1-octen-3-ol | 74.51 | Nonanal a | 66.11 |
| (Z)-2-hexen-1-ol | 63.51 | Heptanoic acid a | 78.27 |
| Hexanoic acid | 88.83 | Octanoic acid a | 49.46 |
| Heptanoic acid | 87.90 | Nonanoic acid a | 80.15 |
| Octanoic acid | 76.55 | ||
| Nonanoic acid | 105.60 | ||
© 2020 by the authors. Licensee MDPI, Basel, Switzerland. This article is an open access article distributed under the terms and conditions of the Creative Commons Attribution (CC BY) license (http://creativecommons.org/licenses/by/4.0/).
Share and Cite
Lobo-Prieto, A.; Tena, N.; Aparicio-Ruiz, R.; Morales, M.T.; García-González, D.L. Tracking Sensory Characteristics of Virgin Olive Oils During Storage: Interpretation of Their Changes from a Multiparametric Perspective. Molecules 2020, 25, 1686. https://doi.org/10.3390/molecules25071686
Lobo-Prieto A, Tena N, Aparicio-Ruiz R, Morales MT, García-González DL. Tracking Sensory Characteristics of Virgin Olive Oils During Storage: Interpretation of Their Changes from a Multiparametric Perspective. Molecules. 2020; 25(7):1686. https://doi.org/10.3390/molecules25071686
Chicago/Turabian StyleLobo-Prieto, Ana, Noelia Tena, Ramón Aparicio-Ruiz, María T. Morales, and Diego L. García-González. 2020. "Tracking Sensory Characteristics of Virgin Olive Oils During Storage: Interpretation of Their Changes from a Multiparametric Perspective" Molecules 25, no. 7: 1686. https://doi.org/10.3390/molecules25071686
APA StyleLobo-Prieto, A., Tena, N., Aparicio-Ruiz, R., Morales, M. T., & García-González, D. L. (2020). Tracking Sensory Characteristics of Virgin Olive Oils During Storage: Interpretation of Their Changes from a Multiparametric Perspective. Molecules, 25(7), 1686. https://doi.org/10.3390/molecules25071686

