Synergistic Neuroprotective Effect of Endogenously-Produced Hydroxytyrosol and Synaptic Vesicle Proteins on Pheochromocytoma Cell Line against Salsolinol
Abstract
1. Introduction
2. Results and Discussion
2.1. Screening Powerful Antioxidants and Neuroprotective Agents
2.2. Synergistic Neuroprotective Effect of Synaptic Vesicle Proteins and Hydroxytyrosol
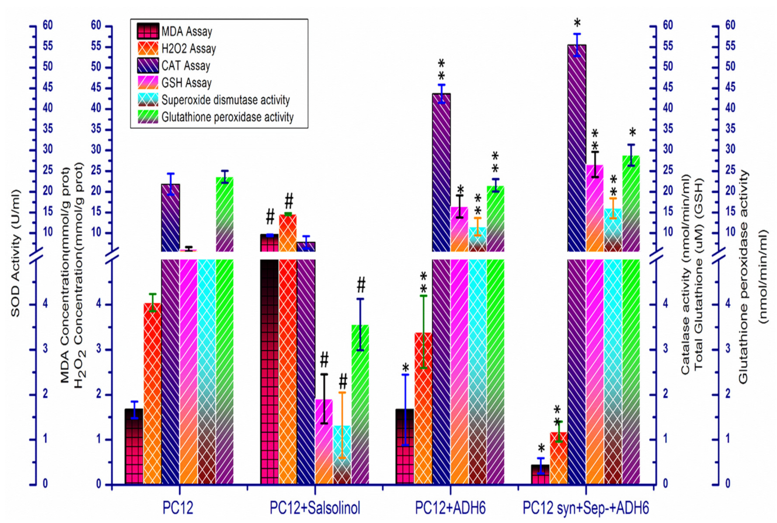
2.3. Effect of Hydroxytyrosol on the Endogenous Antioxidant Defense System of PC12 Cells
2.4. Transcriptional Analysis of the Endogenous Antioxidant Defense System
2.5. Cytosolic Level of Dopamine and Its Metabolites
2.6. Endogenous Production of Hydroxytyrosol from DOPAL
3. Materials and Methods
3.1. Plasmid Construction, Cell Line Construction, and Cell Culture
3.2. IC50 of Salsolinol and MTS Assay
3.3. Western Blotting
3.4. Assays for the Measurement of Biochemical Parameters
3.5. Total RNA Extraction and qRT-PCR Analysis
3.6. HPLC Analysis of DA, DOPAL, DOPAC, and Hydroxytyrosol
4. Conclusion
Supplementary Materials
Author Contributions
Funding
Conflicts of Interest
References
- Pan, P.Y.; Zhu, Y.; Shen, Y.; Yue, Z. Crosstalk between presynaptic trafficking and autophagy in Parkinson’s disease. Neurobiol. Dis. 2019, 122, 64–71. [Google Scholar] [CrossRef] [PubMed]
- Hamza, T.H.; Chen, H.; Hill-Burns, E.M.; Rhodes, S.L.; Montimurro, J.; Kay, D.M.; Tenesa, A.; Kusel, V.I.; Sheehan, P.; Eaaswarkhanth, M.; et al. Genome-wide gene-environment study identifies glutamate receptor gene grin2a as a parkinson’s disease modifier gene via interaction with coffee. PLoS Genet. 2011, 7, 1–15. [Google Scholar] [CrossRef] [PubMed]
- Bose, A.; Beal, M.F. Mitochondrial dysfunction in Parkinson’s disease. J. Neurochem. 2016, 139, 216–223. [Google Scholar] [CrossRef] [PubMed]
- Qiu, X.; Xin, C.; Qin, W.; Li, Z.; Zhang, D.; Zhang, G.; Peng, B.; Han, X.; Yu, C.; Li, L.; et al. A novel pyrimidine based deep-red fluorogenic probe for detecting hydrogen peroxide in Parkinson’s disease models. Talanta 2019, 199, 628–633. [Google Scholar] [CrossRef]
- Dorsey, E.R.; Constantinescu, R.; Thompson, J.P.; Biglan, K.M.; Holloway, R.G.; Kieburtz, K.; Marshall, F.J.; Ravina, B.M.; Schifitto, G.; Siderowf, A.; et al. Projected number of people with Parkinson disease in the most populous nations, 2005 through 2030. Neurology 2007, 68, 384–386. [Google Scholar] [CrossRef]
- Reich, S.G.; Savitt, J.M. Parkinson’s Disease. Med. Clin. North Am. 2019, 103, 337–350. [Google Scholar] [CrossRef]
- Olgiati, S.; De Rosa, A.; Quadri, M.; Criscuolo, C.; Breedveld, G.J.; Picillo, M.; Pappatà, S.; Quarantelli, M.; Barone, P.; De Michele, G.; et al. PARK20 caused by SYNJ1 homozygous Arg258Gln mutation in a new Italian family. Neurogenetics 2014, 15, 183–188. [Google Scholar] [CrossRef]
- Ellis, J.M.; Fell, M.J. Current approaches to the treatment of Parkinson’s Disease. Bioorganic Med. Chem. Lett. 2017, 27, 4247–4255. [Google Scholar] [CrossRef]
- Giugni, J.C.; Okun, M.S. Treatment of advanced Parkinson’s disease. Curr. Opin. Neurol. 2014, 27, 450–460. [Google Scholar] [CrossRef]
- Jankovic, J.; Aguilar, L.G. Current approaches to the treatment of Parkinson’s Disease. Neuropsychiatr Dis Treat. 2017, 4, 743–757. [Google Scholar]
- Cardoso, S.M.; Moreira, P.I.; Agostinho, P.; Pereira, C.; Oliveira, C.R. Neurodegenerative pathways in Parkinson’s disease: Therapeutic strategies. Curr. Drug Targets CNS Neurol. Disord. 2005, 4, 405–419. [Google Scholar] [CrossRef] [PubMed][Green Version]
- Schapira, A.H. Mitochondria in the aetiology and pathogenesis of Parkinson’s disease. Lancet Neurol. 2008, 7, 97–109. [Google Scholar] [CrossRef]
- Jung, U.J.; Kim, S.R. Beneficial Effects of Flavonoids Against Parkinson’s Disease. J. Med. Food. 2018, 21, 421–432. [Google Scholar] [CrossRef] [PubMed]
- Uttara, B.; Singh, A.V.; Zamboni, P.; Mahajan, R.T. Oxidative stress and neurodegenerative diseases: a review of upstream and downstream antioxidant therapeutic options. Curr. Neuropharmacol. 2009, 7, 65–74. [Google Scholar] [CrossRef] [PubMed]
- Napolitano, A.; Manini, P.; d’Ischia, M. Oxidation chemistry of catecholamines and neuronal degeneration: an update. Curr. Med. Chem. 2011, 18, 1832–1845. [Google Scholar] [CrossRef] [PubMed]
- Liu, X.; Yamada, N.; Maruyama, W.; Osawa, T. Formation of dopamine adducts derived from brain polyunsaturated fatty acids: Mechanism for Parkinson disease. J. Biol. Chem. 2008, 283, 34887–34895. [Google Scholar] [CrossRef] [PubMed]
- Reed, T.T. Lipid peroxidation and neurodegenerative disease. Free Radic. Biol. Med. 2011, 51, 1302–1319. [Google Scholar] [CrossRef]
- Dias, V.; Junn, E.; Mouradian, M.M. The role of oxidative stress in parkinson’s disease. J. Parkinsons. Dis. 2013, 3, 461–491. [Google Scholar] [CrossRef]
- McGeer, P.L.; Itagaki, S.; Boyes, B.E.; McGeer, E.G. Reactive microglia are positive for HLA-DR in the substantia nigra of Parkinson’s and Alzheimer’s disease brains. Neurology 1988, 38, 1285–1291. [Google Scholar] [CrossRef]
- Yamada, T.; McGeer, E.G.; Schelper, R.L.; Wszolek, Z.K.; McGeer, P.L.; Pfeiffer, R.F.; Rodnitzky, R.L. Histological and biochemical pathology in a family with autosomal dominant Parkinsonism and dementia. Neurol. Psychiatry Brain Res. 1993, 3, 67–76. [Google Scholar]
- Reiter, R.J. Oxidative processes and antioxidative defense mechanisms in the aging brain. FASEB J. 1995, 9, 526–533. [Google Scholar] [CrossRef] [PubMed]
- Salminen, L.E.; Paul, R.H. Oxidative stress and genetic markers of suboptimal antioxidant defense in the aging brain: A theoretical review. Rev. Neurosci. 2014, 25, 805–819. [Google Scholar] [CrossRef] [PubMed]
- Eguchi, K.; Taoufiq, Z.; Thorn-Seshold, O.; Trauner, D.; Hasegawa, M.; Takahashi, T. Wild-Type Monomeric α-Synuclein Can Impair Vesicle Endocytosis and Synaptic Fidelity via Tubulin Polymerization at the Calyx of Held. J. Neurosci. 2017, 37, 6043–6052. [Google Scholar] [CrossRef] [PubMed]
- Nguyen, M.; Wong, Y.C.; Ysselstein, D.; Severino, A.; Krainc, D. Synaptic, Mitochondrial, and Lysosomal Dysfunction in Parkinson’s Disease. Trends Neurosci. 2019, 42, 140–149. [Google Scholar] [CrossRef] [PubMed]
- Hashimoto, M.; Hsu, L.J.; Xia, Y.; Takeda, A.; Sisk, A.; Sundsmo, M.; Masliah, E. Oxidative stress induces amyloid-like aggregate formation of NACP/α- synuclein in vitro. Neuroreport 1999, 10, 717–721. [Google Scholar] [CrossRef] [PubMed]
- Plowey, E.D.; Chu, C.T. Synaptic dysfunction in genetic models of Parkinson’s disease: A role for autophagy? Neurobiol. Dis. 2011, 43, 60–67. [Google Scholar] [CrossRef] [PubMed]
- Xiong, Y.; Zhang, Y.; Iqbal, J.; Ke, M.; Wang, Y.; Li, Y.; Qing, H.; Deng, Y. Differential expression of synaptic proteins in unilateral 6-OHDA lesioned rat model-A comparative proteomics approach. Proteomics 2014, 14, 1808–1819. [Google Scholar] [CrossRef]
- Kao, H.T.; Porton, B.; Hilfiker, S.; Stefani, G.; Pieribone, V.A.; DeSalle, R.; Greengard, P. Molecular evolution of the synapsin gene family. J. Exp. Zool. 1999, 285, 360–377. [Google Scholar] [CrossRef]
- Baldelli, P.; Fassio, A.; Valtorta, F.; Benfenati, F. Lack of synapsin I reduces the readily releasable pool of synaptic vesicles at central inhibitory synapses. J. Neurosci. 2007, 27, 13520–13531. [Google Scholar] [CrossRef]
- Peng, X.-R.; Jia, Z.; Zhang, Y.; Ware, J.; Trimble, W.S. The Septin CDCrel-1 Is Dispensable for Normal Development and Neurotransmitter Release. Mol. Cell. Biol. 2002, 22, 378–387. [Google Scholar] [CrossRef]
- Zhang, Y.; Gao, J.; Chung, K.K.K.; Huang, H.; Dawson, V.L.; Dawson, T.M. Parkin functions as an E2-dependent ubiquitin-protein ligase and promotes the degradation of the synaptic vesicle-associated protein, CDCrel-1. Proc. Natl. Acad. Sci. USA 2000, 97, 13354–13359. [Google Scholar] [CrossRef] [PubMed]
- Choi, P.; Snyder, H.; Petrucelli, L.; Theisler, C.; Chong, M.; Zhang, Y.; Lim, K.; Chung, K.K.K.; Kehoe, K.; D’Adamio, L.; et al. SEPT5_v2 is a parkin-binding protein. Mol. Brain Res. 2003, 117, 179–189. [Google Scholar] [CrossRef]
- Ihara, M.; Yamasaki, N.; Hagiwara, A.; Tanigaki, A.; Kitano, A.; Hikawa, R.; Tomimoto, H.; Noda, M.; Takanashi, M.; Mori, H.; et al. Sept4, a Component of Presynaptic Scaffold and Lewy Bodies, Is Required for the Suppression of α-Synuclein Neurotoxicity. Neuron 2007, 53, 519–533. [Google Scholar] [CrossRef] [PubMed]
- Son, J.H.; Kawamata, H.; Yoo, M.S.; Kim, D.J.; Lee, Y.K.; Kim, S.Y.; Dawson, T.M.; Zhang, H.; Sulzer, D.; Yang, L.; et al. Neurotoxicity and behavioral deficits associated with Septin 5 accumulation in dopaminergic neurons. J. Neurochem. 2005, 94, 1040–1053. [Google Scholar] [CrossRef] [PubMed]
- Beites, C.L.; Xie, H.; Bowser, R.; Trimble, W.S. The septin CDCrel-1 binds syntaxin and inhibits exocytosis. Nat. Neurosci. 1999, 2, 434–439. [Google Scholar] [CrossRef] [PubMed]
- Dong, Z.; Ferger, B.; Paterna, J.C.; Vogel, D.; Furler, S.; Osinde, M.; Feldon, J.; Büeler, H. Dopamine-dependent neurodegeneration in rats induced by viral vector-mediated overexpression of the parkin target protein, CDCrel-1. Proc. Natl. Acad. Sci. USA 2003, 100, 12438–12443. [Google Scholar] [CrossRef]
- Van Der Weerd, L.; Lythgoe, M.F.; Badin, R.A.; Valentim, L.M.; Akbar, M.T.; De Belleroche, J.S.; Latchman, D.S.; Gadian, D.G. Neuroprotective effects of HSP70 overexpression after cerebral ischaemia - An MRI study. Exp. Neurol. 2005, 195, 257–266. [Google Scholar] [CrossRef] [PubMed]
- Tejima, E.; Guo, S.; Murata, Y.; Arai, K.; Lok, J.; Van Leyen, K.; Rosell, A.; Wang, X.; Lo, E.H. Neuroprotective effects of overexpressing tissue inhibitor of metalloproteinase TIMP-1. J. Neurotrauma 2009, 26, 1935–1941. [Google Scholar] [CrossRef]
- Howard, S.; Bottino, C.; Brooke, S.; Cheng, E.; Giffard, R.G.; Sapolsky, R. Neuroprotective effects of bcl-2 overexpression in hippocampal cultures: Interactions with pathways of oxidative damage. J. Neurochem. 2002, 83, 914–923. [Google Scholar] [CrossRef]
- Gombash, S.E.; Manfredsson, F.P.; Mandel, R.J.; Collier, T.J.; Fischer, D.L.; Kemp, C.J.; Kuhn, N.M.; Wohlgenant, S.L.; Fleming, S.M.; Sortwell, C.E. Neuroprotective potential of pleiotrophin overexpression in the striatonigral pathway compared with overexpression in both the striatonigral and nigrostriatal pathways. Gene Ther. 2014, 21, 682–693. [Google Scholar] [CrossRef]
- Pandey, K.B.; Rizvi, S.I. Plant polyphenols as dietary antioxidants in human health and disease. Oxid. Med. Cell. Longev. 2009, 2, 270–278. [Google Scholar] [CrossRef] [PubMed]
- Beckman, C.H. Phenolic-storing cells: Keys to programmed cell death and periderm formation in wilt disease resistance and in general defence responses in plants? Physiol. Mol. Plant Pathol. 2000, 57, 101–110. [Google Scholar] [CrossRef]
- Spencer, J.P.E.; Abd El Mohsen, M.M.; Minihane, A.M.; Mathers, J.C. Biomarkers of the intake of dietary polyphenols: Strengths, limitations and application in nutrition research. Br. J. Nutr. 2008, 99, 12–22. [Google Scholar] [CrossRef] [PubMed]
- Giuffrè, A.M. HPLC-DAD detection of changes in phenol content of red berry skins during grape ripening. Eur. Food Res. Technol. 2013, 237, 555–564. [Google Scholar] [CrossRef]
- Giuffrè, A.M. Bergamot (Citrus bergamia, Risso): The effects of cultivar and harvest date on functional properties of juice and cloudy juice. Antioxidants 2019, 8, 200–221. [Google Scholar] [CrossRef] [PubMed]
- Wu, X.; Zhao, Y.; Haytowitz, D.B.; Chen, P.; Pehrsson, P.R. Effects of domestic cooking on flavonoids in broccoli and calculation of retention factors. Heliyon 2019, 5, 1–16. [Google Scholar] [CrossRef]
- Bors, W.; Heller, W.; Michel, C.; Saran, M. Flavonoids as antioxidants: Determination of radical-scavenging efficiencies. Methods Enzymol. 1990, 186, 343–355. [Google Scholar]
- Wszelaki, N.; Melzig, M.F. Additive Protective Effects of Luteolin and Pyruvate against 6-Hydroxydopamine and 3-Hydroxykynurenine Induced Neurotoxicity in SH-SY5Y Cells. Pharmacol. & Pharm. 2013, 4, 369–376. [Google Scholar]
- Rodríguez-Morató, J.; Xicota, L.; Fitó, M.; Farré, M.; Dierssen, M.; De La Torre, R. Potential role of olive oil phenolic compounds in the prevention of neurodegenerative diseases. Molecules 2015, 20, 4655–4680. [Google Scholar] [CrossRef]
- De La Torre, R.; Covas, M.I.; Pujadas, M.A.; Fitó, M.; Farré, M. Is dopamine behind the health benefits of red wine? Eur. J. Nutr. 2006, 45, 307–310. [Google Scholar] [CrossRef]
- Carluccio, M.A.; Siculella, L.; Ancora, M.A.; Massaro, M.; Scoditti, E.; Storelli, C.; Visioli, F.; Distante, A.; De Caterina, R. Olive oil and red wine antioxidant polyphenols inhibit endothelial activation: Antiatherogenic properties of Mediterranean diet phytochemicals. Arterioscler. Thromb. Vasc. Biol. 2003, 23, 622–629. [Google Scholar] [CrossRef] [PubMed]
- NCI National Cancer Institute. NCI Dictionary of Cancer Terms. NCI Dict. Cancer Terms. 2015, 3, 232–244. [Google Scholar]
- Goldstein, D.S.; Jinsmaa, Y.; Sullivan, P.; Holmes, C.; Kopin, I.J.; Sharabi, Y. 3,4-Dihydroxyphenylethanol (Hydroxytyrosol) Mitigates the Increase in Spontaneous Oxidation of Dopamine During Monoamine Oxidase Inhibition in PC12 Cells. Neurochem. Res. 2016, 41, 2173–2178. [Google Scholar] [CrossRef] [PubMed]
- Braidy, N.; Behzad, S.; Habtemariam, S.; Ahmed, T.; Daglia, M.; Nabavi, S.M.; Sobarzo-Sanchez, E.; Nabavi, S.F. Neuroprotective Effects of Citrus Fruit-Derived Flavonoids, Nobiletin and Tangeretin in Alzheimer’s and Parkinson’s Disease. CNS Neurol. Disord. - Drug Targets 2017, 16, 387–397. [Google Scholar] [CrossRef] [PubMed]
- Phani, G.K.; Farhath, K. Neuroprotective effects of phytochemicals in neurological disorders. Pharmacogn Rev. 2012, 6, 81–90. [Google Scholar]
- Panche, A.N.; Diwan, A.D.; Chandra, S.R. Flavonoids: an overview. J. Nutr. Sci. 2018, 5, 1–15. [Google Scholar] [CrossRef]
- Yang, E.J.; Park, G.H.; Song, K.S. Neuroprotective effects of liquiritigenin isolated from licorice roots on glutamate-induced apoptosis in hippocampal neuronal cells. Neurotoxicology 2013, 39, 114–123. [Google Scholar] [CrossRef]
- Wang, W.; Hu, X.; Zhao, Z.; Liu, P.; Hu, Y.; Zhou, J.; Zhou, D.; Wang, Z.; Guo, D.; Guo, H. Antidepressant-like effects of liquiritin and isoliquiritin from Glycyrrhiza uralensis in the forced swimming test and tail suspension test in mice. Prog. Neuro-Psychopharmacology Biol. Psychiatry 2008, 32, 1179–1184. [Google Scholar] [CrossRef]
- Gorzynik-Debicka, M.; Przychodzen, P.; Cappello, F.; Kuban-Jankowska, A.; Gammazza, A.M.; Knap, N.; Wozniak, M.; Gorska-Ponikowska, M. Potential health benefits of olive oil and plant polyphenols. Int. J. Mol. Sci. 2018, 19, 547–560. [Google Scholar] [CrossRef]
- Pei, K.; Ou, J.; Huang, J.; Ou, S. p-Coumaric acid and its conjugates: Dietary sources, pharmacokinetic properties and biological activities. J. Sci. Food Agric. 2016, 96, 2952–2962. [Google Scholar] [CrossRef]
- Kuchi, V.S.; Ilahy, R.; Siddiqui, M.W. Commercial Disinfectants in Skirmishing Postharvest Diseases. In Postharvest Disinfection of Fruits and Vegetables, 1st ed.; Academic Press, Elsvier: Burlington, MA. USA, 2018; p. 322. [Google Scholar]
- Chung, D.; Kim, S.Y.; Ahn, J.H. Production of three phenylethanoids, tyrosol, hydroxytyrosol, and salidroside, using plant genes expressing in Escherichia coli. Sci. Rep. 2017, 7, 2578. [Google Scholar] [CrossRef] [PubMed]
- Li, X.; Chen, Z.; Wu, Y.; Yan, Y.; Sun, X.; Yuan, Q. Establishing an Artificial Pathway for Efficient Biosynthesis of Hydroxytyrosol. ACS Synth. Biol. 2018, 7, 647–654. [Google Scholar] [CrossRef] [PubMed]
- Chen, W.; Yao, J.; Meng, J.; Han, W.; Tao, Y.; Chen, Y.; Guo, Y.; Shi, G.; He, Y.; Jin, J.M.; et al. Promiscuous enzymatic activity-aided multiple-pathway network design for metabolic flux rearrangement in hydroxytyrosol biosynthesis. Nat. Commun. 2019, 10, 960–972. [Google Scholar] [CrossRef] [PubMed]
- Panneton, W.M.; Kumar, V.B.; Gan, Q.; Burke, W.J.; Galvin, J.E. The neurotoxicity of DOPAL: Behavioral and stereological evidence for its role in Parkinson disease pathogenesis. PLoS ONE 2010, 5, 1–9. [Google Scholar] [CrossRef]
- Lin, C.; Zhu, C.; Hu, M.; Wu, A.; Zerendawa, B.; Suolangqimei, K. Structure-activity Relationships of Antioxidant Activity in vitro about Flavonoids Isolated from Pyrethrum Tatsienense. J. Intercult. Ethnopharmacol. 2014, 3, 123–127. [Google Scholar] [CrossRef] [PubMed]
- Choe, E.; Min, D.B. Mechanisms of Antioxidants in the Oxidation of Foods. Compr. Rev. Food Sci. Food Saf. 2009, 8, 345–358. [Google Scholar] [CrossRef]
- Del Rio, D.; Stewart, A.J.; Pellegrini, N. A review of recent studies on malondialdehyde as toxic molecule and biological marker of oxidative stress. Nutr. Metab. Cardiovasc. Dis. 2005, 15, 316–328. [Google Scholar] [CrossRef]
- Xu, Y.; Li, K.; Qin, W.; Zhu, B.; Zhou, Z.; Shi, J.; Wang, K.; Hu, J.; Fan, C.; Li, D. Unraveling the role of hydrogen peroxide in α-synuclein aggregation using an ultrasensitive nanoplasmonic probe. Anal. Chem. 2015, 8, 1968–1973. [Google Scholar] [CrossRef]
- Südhof, T.C. The synaptic vesicle cycle. Annu. Rev. Neurosci. 2004, 27, 509–547. [Google Scholar] [CrossRef]
- Calakos, N.; Scheller, R.H. Synaptic vesicle biogenesis, docking, and fusion: A molecular description. Physiol. Rev. 1996, 76, 1–29. [Google Scholar] [CrossRef]
- Alfadda, A.A.; Sallam, R.M. Reactive oxygen species in health and disease. J. Biomed. Biotechnol. 2012. [CrossRef]
- Gilgun-Sherki, Y.; Melamed, E.; Offen, D. Oxidative stress induced-neurodegenerative diseases: The need for antioxidants that penetrate the blood brain barrier. Neuropharmacology 2001, 40, 959–975. [Google Scholar] [CrossRef]
- Mahajan, M.; Joshi, R.; Gulati, A.; Yadav, S.K. Increase in flavan-3-ols by silencing flavonol synthase mRNA affects the transcript expression and activity levels of antioxidant enzymes in tobacco. Plant Biol. 2012, 14, 725–733. [Google Scholar] [CrossRef] [PubMed]
- Mahajan, M.; Yadav, S.K. Effect of quercetin and epicatechin on the transcript expression and activity of antioxidant enzymes in tobacco seedlings. Am. J. Biochem. Mol. Biol. 2013, 14, 725–733. [Google Scholar]
- Meiser, J.; Weindl, D.; Hiller, K. Complexity of dopamine metabolism. Cell Commun. Signal. 2013, 11, 1–18. [Google Scholar] [CrossRef] [PubMed]
- Bernini, R.; Crisante, F.; Merendino, N.; Molinari, R.; Soldatelli, M.C.; Velotti, F. Synthesis of a novel ester of hydroxytyrosol and α-lipoic acid exhibiting an antiproliferative effect on human colon cancer HT-29 cells. Eur. J. Med. Chem. 2011, 46, 439–446. [Google Scholar] [CrossRef]
- Pinto, J.; Paiva-Martins, F.; Corona, G.; Debnam, E.S.; Jose Oruna-Concha, M.; Vauzour, D.; Gordon, M.H.; Spencer, J.P.E. Absorption and metabolism of olive oil secoiridoids in the small intestine. Br. J. Nutr. 2011, 105, 1607–1618. [Google Scholar] [CrossRef]
- López de las Hazas, M.C.; Piñol, C.; Macià, A.; Romero, M.P.; Pedret, A.; Solà, R.; Rubió, L.; Motilva, M.J. Differential absorption and metabolism of hydroxytyrosol and its precursors oleuropein and secoiridoids. J. Funct. Foods 2016, 22, 52–63. [Google Scholar] [CrossRef]
- The European Commission Commission Regulation (EU) No 432/2012. Off. J. Eur. Union 2012.
- Büeler, H. Impaired mitochondrial dynamics and function in the pathogenesis of Parkinson’s disease. Exp. Neurol. 2009, 218, 235–246. [Google Scholar] [CrossRef]
- Marchitti, S.A.; Deitrich, R.A.; Vasiliou, V. Neurotoxicity and metabolism of the catecholamine-derived 3,4-dihydroxyphenylacetaldehyde and 3,4-dihydroxyphenylglycolaldehyde: The role of aldehyde dehydrogenase. Pharmacol. Rev. 2007, 59, 125–150. [Google Scholar] [CrossRef] [PubMed]
- Liebgott, P.P.; Amouric, A.; Comte, A.; Tholozan, J.L.; Lorquin, J. Hydroxytyrosol from tyrosol using hydroxyphenylacetic acid-induced bacterial cultures and evidence of the role of 4-HPA 3-hydroxylase. Res. Microbiol. 2009, 160, 757–766. [Google Scholar] [CrossRef] [PubMed]
- Su, Y.; Duan, J.; Ying, Z.; Hou, Y.; Zhang, Y.; Wang, R.; Deng, Y. Increased vulnerability of parkin knock down PC12 cells to hydrogen peroxide toxicity: The role of salsolinol and NM-salsolinol. Neuroscience 2013, 233, 72–85. [Google Scholar] [CrossRef] [PubMed]
- Schimmelpfeng, J.; Weibezahn, K.F.; Dertinger, H. Quantification of NGF-dependent neuronal differentiation of PC-12 cells by means of neurofilament-L mRNA expression and neuronal outgrowth. J. Neurosci. Methods 2004, 139, 299–306. [Google Scholar] [CrossRef] [PubMed]
- Patel, M.Y.; Panchal, H.V.; Ghribi, O.; Benzeroual, K.E. The neuroprotective effect of fisetin in the MPTP model of Parkinson’s disease. J. Parkinsons. Dis. 2012, 2, 287–302. [Google Scholar] [CrossRef]
- Mu, X.; He, G.; Cheng, Y.; Li, X.; Xu, B.; Du, G. Baicalein exerts neuroprotective effects in 6-hydroxydopamine-induced experimental parkinsonism in vivo and in vitro. Pharmacol. Biochem. Behav. 2009, 92, 642–648. [Google Scholar] [CrossRef]
- Xia, J.; Feng, B.; Shao, Q.; Yuan, Y.; Wang, X.S.; Chen, N.; Wu, S. Virtual screening against phosphoglycerate kinase 1 in quest of novel apoptosis inhibitors. Molecules 2017, 22, 1–13. [Google Scholar] [CrossRef]
- Naito, Y.; Ui-Tei, K. SiRNA design software for a target gene-specific RNA interference. Front. Genet. 2012, 3, 1–7. [Google Scholar] [CrossRef]
| Sample Availability: Samples of the compounds are not available from the authors. | 








© 2020 by the authors. Licensee MDPI, Basel, Switzerland. This article is an open access article distributed under the terms and conditions of the Creative Commons Attribution (CC BY) license (http://creativecommons.org/licenses/by/4.0/).
Share and Cite
Manzoor, R.; Rasool, A.; Ahmed, M.; Kaleem, U.; Duru, L.N.; Ma, H.; Deng, Y. Synergistic Neuroprotective Effect of Endogenously-Produced Hydroxytyrosol and Synaptic Vesicle Proteins on Pheochromocytoma Cell Line against Salsolinol. Molecules 2020, 25, 1715. https://doi.org/10.3390/molecules25071715
Manzoor R, Rasool A, Ahmed M, Kaleem U, Duru LN, Ma H, Deng Y. Synergistic Neuroprotective Effect of Endogenously-Produced Hydroxytyrosol and Synaptic Vesicle Proteins on Pheochromocytoma Cell Line against Salsolinol. Molecules. 2020; 25(7):1715. https://doi.org/10.3390/molecules25071715
Chicago/Turabian StyleManzoor, Robina, Aamir Rasool, Maqbool Ahmed, Ullah Kaleem, Lucienne Nneoma Duru, Hong Ma, and Yulin Deng. 2020. "Synergistic Neuroprotective Effect of Endogenously-Produced Hydroxytyrosol and Synaptic Vesicle Proteins on Pheochromocytoma Cell Line against Salsolinol" Molecules 25, no. 7: 1715. https://doi.org/10.3390/molecules25071715
APA StyleManzoor, R., Rasool, A., Ahmed, M., Kaleem, U., Duru, L. N., Ma, H., & Deng, Y. (2020). Synergistic Neuroprotective Effect of Endogenously-Produced Hydroxytyrosol and Synaptic Vesicle Proteins on Pheochromocytoma Cell Line against Salsolinol. Molecules, 25(7), 1715. https://doi.org/10.3390/molecules25071715
 
         
                                                

