Abstract
Azobenzenes are photochromic molecules that possess a large range of applications. Their syntheses are usually simple and fast, and their purifications can be easy to perform. Oligosaccharide is also a wide family of biopolymer constituted of linear chain of saccharides. It can be extracted from biomass, as for cellulose, being the principal constituent of plant cell wall, or it can be enzymatically produced as for cyclodextrins, having properties not far from cellulose. Combining these two materials families can afford interesting applications such as controlled drug-release systems, photochromic liquid crystals, photoresponsive films or even fluorescent indicators. This review will compile the different syntheses of azo-dyes-grafted oligosaccharides, and will show their various applications.
1. Introduction
1.1. Azo Molecules
Photochromic family is composed of several switches, which are able to change their conformation upon light illumination. Some molecules can be cited as spiropyrans [1], chromenes [2,3] indogoid [4] and azobenzenes [5], also known as diazo molecules.
Diazo molecules are photochromes which are capable of an isomerization under a UV-light illumination, leading to their stable trans-form to their metastable cis-form (Figure 1) [6].
Figure 1.
Isomerization capabilities of a nude azobenzene and simplified state model for a nude azobenzene. ε = extinction coefficients, Φ = quantum yields for the photoisomerization, k = rate of thermal relaxation.
A simplified state model for azobenzene isomerization can be described, leading to the energy that the system needs or release during the transformations (Figure 1) [7]. And for cis- to trans-thermal release, the azobenzene substituents as well as the electronic distribution allow the thermodynamically stable trans-form of the azo-dye to be restored very quickly [8].
Two ways of isomerization can be discussed, leading from trans- to cis-isomer: N=N torsion (rotamers) vs. N-inversion (invertomers) [9,10,11,12,13,14,15]. However, according the review of Bandara and Burdette [16], if trans-azobenzene isomerization always occurs in the S1 state (Figure 2) by an inversion process, regardless of the initial excitement, some theoretical studies predict isomerization of trans-azobenzene to be multi-dimensional or dominated by rotation.
Figure 2.
Proposed mechanisms for the trans-cis isomerization; A simplified Jablonski diagram showing the S0, S1 and S2. states of trans-azobenzene. Reuse (reprint) with permission of Bandara, H.M.D.; Burdette, S.C. Photoisomerization in Different Classes of Azobenzene. Chem. Soc. Rev. 2012, 41, 1809–1825, doi:10.1039/C1CS15179G. Copyright (2012) Royal Society of Chemistry.
Amongst the possibilities offered for their syntheses, several pathways can be found in the literature (Figure 3) [17].
Figure 3.
Ways of azobenzene formation.
- Diazo coupling which implies the formation of a diazonium salt attacked by an electron-enriched aromaric.
- Mills reaction or oxidative/reductive coupling for in situ the formation of the diazo bond between two anilines/nitrobenzenes.
For the diazo coupling, several phenolic compounds can provide good electron-enriched substrates. We can cite for example the nude phenol [18,19,20,21,22,23,24], but also natural compound such as salicylaldehyde [25,26,27], vanillin [28,29], or even resorcinol [30,31].
Oxidative/Reductive couplings lead to symmetrical azobenzenes. For symmetrical reductive couplings, from nitrobenzene derivatives, reductive metals can be used such as Zinc [32] or Magnesium [33]. Catalytic hydrogenation can also successfully be used [34,35], as well as complex hydrides [36]. For symmetrical oxidative couplings, KMnO4/CuSO4, MnO2 or mCPBA can be used [37,38,39,40]. However, the simplest way for the symmetrical oxidative coupling is to use the air oxygen [41,42,43,44]. Mills reaction allows also oxidative coupling from anilines, but leading to unsymmetrical azobenzenes [45,46,47,48,49,50].
Many applications can be found for molecules bearing an azo moiety. If dyes as application are the most popular [51,52,53,54], many examples can be found for antimicrobial effect, where trans-cis isomerization impact on bacteria were discussed [55,56,57], for retina recovery [58,59], or even in the electric domain, by combining azobenzenes with triphenylamine moieties, where ROMP (Ring-Opening Metathesis Polymerization) thus used led to electrical storage capability polymers [60] or when azobenzenes are co-sensitizers for solar cells [61]. In the domain of synthetic enhancement, azobenzene can also be used as chemoreactor for catalysis in water [62,63] or enhancement of cellulolytic enzyme for example [64].
Even if this molecule can be toxic depending on what group is present on the aromatic rings [65] the use of such a photochrome is of great interest.
1.2. Oligosaccharides
All saccharide molecules are characterized by different factors, such as their anomeric configuration (α, β), their series (d, l), their relative configuration (gluco-, galacto- etc.) and their cycle form (furanose/pyranose). When the number (n) of glycosidic moieties between monosaccharides varies between 2 and 10, by convention, the formed oligomer is called oligosaccharide. However, this osidic number is not always fixed, and bigger oligosaccharides can be found. Indeed, polysaccharides are molecules with a degree of polymerization higher than 20–25 but this definition is not so strict, as with the presence of 25 residues, they can still be called oligosaccharides [66]. That is why small cellulose can be classified as oligosaccharide.
When n = 2, the well-known saccharose or cellobiose are obtained for example by starch degradation [67,68] and when n = 3, we can find isomaltotriose, raffinose or melecitose (Figure 4), found in 1833 from the larch tree [69] and also present in honey for example. If n = 4, formula can lead for example to the stachyose oligosaccharide (Figure 5).
Figure 4.
Melecitose structure.
Figure 5.
Linear and cyclic models of oligosaccharides.
Oligosaccharides can also be linear (Stachyose) or cyclic (Cyclodextrins), where n = 7 for the beta-version (presented in Figure 5), and with a lampshade-shape ring [70].
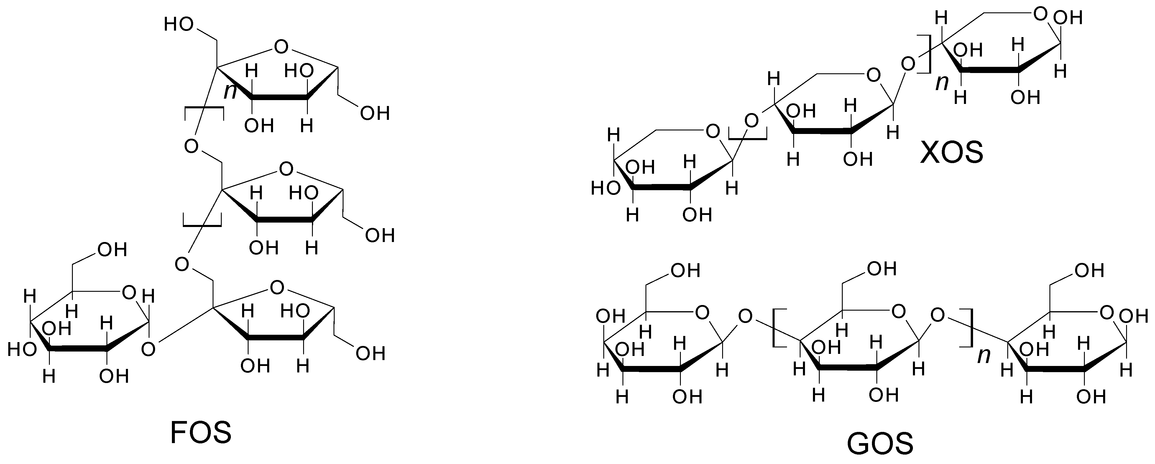
Amongst linear oligosaccharides, the most known contain a sequence of monomeric sugars and their name are related to these sequences [71]. We can cite for example fructooligosaccharides (FOS), galactooligosaccharides (GOS), xylooligosaccharides (XOS) shown in Figure 6, but also arabinooligosaccharides (AOS), and algae derived marine oligosaccharides (ADMO) from which Chitosan is of growing interest [72].
Figure 6.
Molecular structures of FOS, XOS and GOS.
Cyclodextrins are cyclic oligosaccharides composed of α-(1→4)-linked glucosyl units. They possess a central hydrophobic cavity, whereas the outside of the lampshade is hydrophilic [73]. There are three major versions of cyclodextrins: alpha (where n = 6 glucose units), beta (where n = 7) and gamma (where n = 8). For these three objects, the cyclodextrins possess cavities even as isolated molecules in the absence of guests. All cyclodextrins have a height of 7.9 Å and an outer diameter of 14.5–17.5 Å. The diameter of the hydrophobic cavity is around 4.9 Å for α-, 6.2 Å for β-, and 7.9 Å for γ-cyclodextrin, where some variations can apply (Figure 7) [74].
Figure 7.
Various dimensions of cyclodextrins.
Cyclodextrins possess also two faces: the primary face (shortest) and the secondary face (largest).
With this special shape and physicochemical properties, cyclodextrins can host organic compounds and solubilize them in aqueous solutions. This can lead to various applications, such as odor control [75] separation and analysis [76] catalysis [77,78] or even drug delivery [79].
So the combination of azobenzene moieties and small or large oligosaccharides, linear or cyclic can lead to great applications and this is what will be seen in the next parts of this review.
2. Mono/Multivalent Sugar Photoswitch
Azobenzene can be attached to one or more oligosaccharides leading to a mono or multivalent sugar photoswitch mainly dedicated to lectin-based adhesion control.
Indeed, the inhibition of bacterial adhesion on surface if of great interest. Often bacterial adhesion depends on the interaction of adhesive organelles called fimbriae. For example, in the case of Escherichia coli, this bacterium uses fimbriae (long, hairlike organelles that project from the bacterium’s surface) to establish infection (Figure 8) [80]. They consist of interlinking subunits of a single protein called pilin that forms a rigid, coiled helix-shaped rod. Sticky proteins called adhesins cap the tip of the rod and bind to carbohydrate receptors on their host.
Figure 8.
Fimbriae covering E. coli. Reuse permitted by the Creative Common CC BY license from Gross, L. Bacterial Fimbriae Designed to Stay with the Flow. PLoS Biology 2006, 4, e314, doi:10.1371/journal.pbio.0040314. Image from Manu Forero, doi:10.1371/journal.pbio.0040314.g001.
By designing antagonists of the respective carbohydrate-bacterial lectin, this can lead to an adhesion inhibition [81]. That is what was done by V. Chandrasekaran et al. in 2013 where the first azobenzene mannobioside as photoswitchable ligand for the bacterial lectin FimH was synthesized [82]. First the azobenzene mannoside was synthesized followed by a second glycosylation using a mannosyl donor (Figure 9). It is noticeable that both trans- and cis-conformations of the tested molecule had an 50% inhibitory of surface adhesion on mannan-coated surface similar to the power the best standard against E. coli (p-nitrophenyl α-d-mannoside).
Figure 9.
Azobenzene mannobioside.
Other azobenzene-conjugated carbohydrates were synthesized, and led to hydrogelator capacity with specific affinity for lectins. The derivatives were lactonolactone-glycine-azobenzene, maltonolactone-glycine-azobenzene or cellobionolactone-glycine-azobenzene, where lactonolactone-glycine-azobenzene was shown to provide a bioactive interface for cell attachment [83].
When azobenzenes containing multivalent sugar ligands were synthesized (Figure 10), these azobenzene-appended sugar derivatives showed high affinity binding with the relevant lectins, especially with a high increase in binding affinity related to the monomeric sugar ligand alone. More interestingly, isomerization of the cis-form led to a better binding with the lectin than the trans-form [84].
Figure 10.
Schematic isomerization of multivalent sugar ligand azobenzene. The elliptic drawings represents the sugar moieties.
Early studies of tris-diazo-cellobiose called phlorocello have also already been done for immunochemical tests (Figure 11). This study made in 1965 [85] had already in mind that mono- and disaccharides are antigenic when conjugated to a protein carrier and that antibodies produced show a specificity for the introduced sugar.
Figure 11.
Schematic representation of phlorocello. The elliptic drawings represents the cellobiosic moieties.
3. Cellulose
3.1. Azo-Dye-Grafted or Coupled Cellulose
Azobenzene introduction onto cellulose molecular chains through etherification reaction display reversible trans-cis-trans photoisomerization under successive UV/vis illumination [86]. This interesting coupling involving a non-labile bond and synthesized easily from an epoxyazobenzene can lead to good solubility of the final polymer, as well as a good resistance against the phenomenon of fatigue.
Esterification can also lead to azobenzene-functionalized cellulose. The synthesis implies a conventional DCC/DMAP activation of the reactants (Figure 12) for the ester formation from hydroxypropylcellulose (HPC) [87].
Figure 12.
Synthetic pathway for AZO-HPC formation.
Analyses made for the AZO-HPC characterization were conventional. Indeed, if the ester and amide groups were easily seen on infrared spectra (1731 and 1695 cm−1), the proton NMR led to the calculation of the degree of substitution using the formula:
where is the sum of the integrated areas of the peaks from the azobenzene moieties at 7.82, 7.68, 7.41 and 2.69 ppm;
is the sum of integrated areas of the peaks of HPC at 3–5.5, 1.20 and 1.07 ppm;
is the degree of substitution with the hydroxypropyl groups of HPC.
For smart fibrous materials, the functionalization of commercial microcrystalline cellulose with azobenzene molecules can be done, leading to photo- and thermal-responsive materials. Moreover, nanoporous and non-porous nano/micro fibrous materials can be made by electrospinning of azobenzene-cellulose solutions, leading to fibrous materials, with light-reversible functional groups [88].
3.2. For Drug Delivery and Health
Host-guest interactions play an important role in the cyclodextrin (CD) area. Indeed, CD dimers can interact with hosts [77,89] and this interaction can have an important physicochemical involvement. Kim et al. in 2020 synthesized azobenzene-grafted carboxymethyl cellulose (CMC) hydrogels for a controlled drug release system [90]. This system was photo-switchable, reduction-responsive and self-healing as it is seen in Figure 13. Moreover, as the system was found to be non-cytotoxic, a naproxen (non-steroidal anti-inflammatory drug) release of the hydrogels could be photo-controlled to be able to deliver up to 80% of drug within 3 h by UV light or reducing agent.
Figure 13.
Photo-switchable, reduction-responsive, and self-healing CMC-Azo hydrogels based on host-guest interactions with CD-dimers. Reuse (reprint) with permission of Kim, Y.; Jeong, D.; Shinde, V.V.; Hu, Y.; Kim, C.; Jung, S. Azobenzene-Grafted Carboxymethyl Cellulose Hydrogels with Photo-Switchable, Reduction-Responsive and Self-Healing Properties for a Controlled Drug Release System. International Journal of Biological Macromolecules 2020, 163, 824–832, doi:10.1016/j.ijbiomac.2020.07.071. Copyright (2016) Elsevier.
3.3. With Liquid or Nano Crystal Properties
Azobenzenes can also be covalently linked to hydroxypropyl cellulose (HPC) [91]. Then, AZO-EHPC [92] or AZO-HPHPC (Figure 14) can give access to a degree of azobenzene substitution in the range of 0.6–1.8 by adjusting the mole ratio of azobenzene to HPC. They also had the property of a very low Tg of approximately 20–40 °C being thermotropic liquid crystals and also fully reversible with a trans-cis-trans transition upon alternating irradiation of UV and visible light. However, the mixing of heat/cooling and UV illumination were not tested, maybe because of the thermal instability of the metastable cis-azobenzene.
Figure 14.
AZO-EHPC or AZO-HPHPC formula.
Smart responsive nanomaterials have received much attention over the last decade for their functional properties in response to environmental variables and especially light [93,94]. In this context, exploring photochromic cellulose nanocrystals (CNCs) functionalized thanks to poly {6-[4-(4-methoxyphenylazo) phenoxy]hexyl methacrylate} (PMMAZO) can lead to a changing of color in UV irradiation or pH, and thus to a great probe related to these stimuli (Figure 15). It is also noticeable that for UV/Vis illumination, the process was claimed to be fully reversible without fatigue [95].
Figure 15.
The light-responsive behavior of the MMAZO in ethanol (A,B) and the PMMAZO-graft CNCs and polyurethane composite film (C). Reuse permitted by the Creative Common CC BY license from Liu, X.; Li, M.; Zheng, X.; Retulainen, E.; Fu, S. Dual Light- and PH-Responsive Composite of Polyazo-Derivative Grafted Cellulose Nanocrystals. Materials 2018, 11, 1725, doi:10.3390/ma11091725.
3.4. For UV Protection
Thanks to the ozone layer, from the broad irradiation emitted by the sun, only UVA and UVB reach the earth’s surface. By functionalizing cellulose fabrics, one can induce UV protection, which is becoming of great interest. Azobenzenic Schiff bases were synthesized and coupled on cellulose with two concentrations of 2 g/L (called FC-1) and 5 g/L (called FC-2). The results are of great interest, as the UV protective properties of fabrics can be evaluated as good when the ultraviolet transmittance T(UVA) or T(UVB) is less than 5% and ultraviolet protection factor (UPF) reaches 10 to 30 (Table 1) [96].
Table 1.
Azobenzenic Schiff bases coupled on cellulose and UV protective properties.
The UV-protective properties of the functional cellulose fabrics were mainly attributed to absorbing UV radiation of azobenzene Schiff base, which caused change of the molecular structure based on its cis-trans isomerization and intermolecular proton transfer.
4. Cyclodextrins
4.1. Inclusion/Exclusion of Azobenzenes
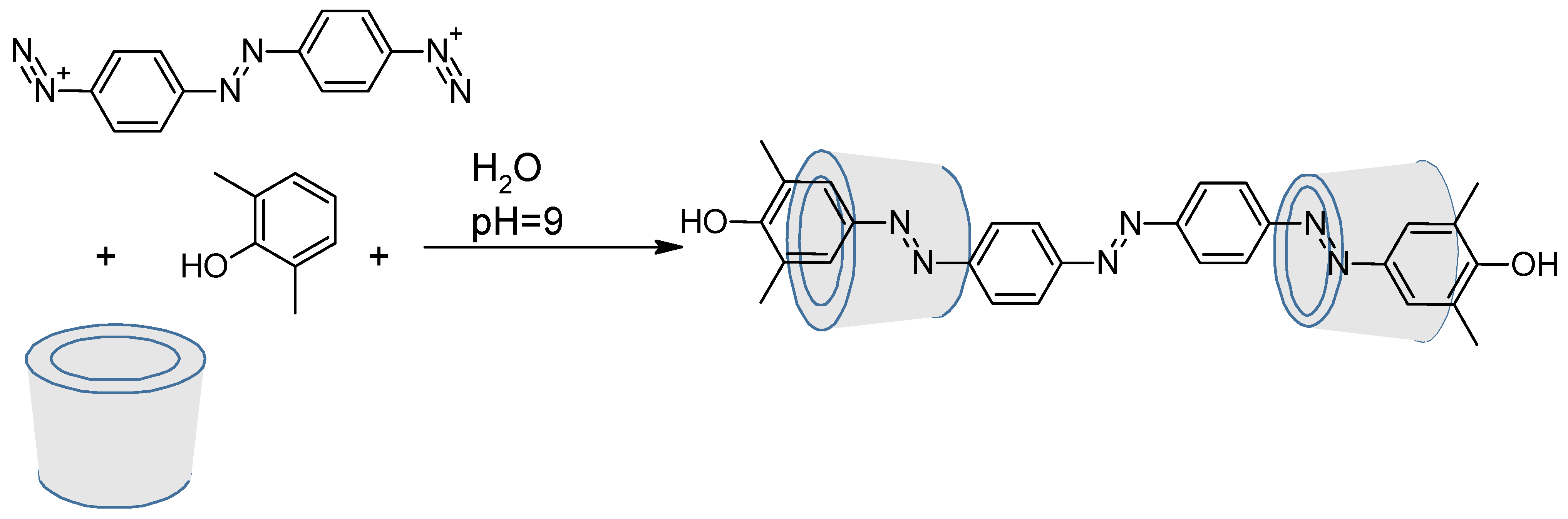
Cyclodextrins are well-known for their capability to include in their cavity hydrophobic compounds and especially azobenzenes [97,98,99,100,101]. But they can also be chemoreactors for diazo coupling. This is what M. Craig et al. did in 1999 where azo-rotaxane was synthesized as a single isomer (Figure 16) [102].
Figure 16.
Diazo coupling inside a cyclodextrin for rotaxane synthesis.
But more surprisingly, a trans-azobenzene can inhibit the catalytic hydrolysis of an ester group by a cyclodextrin [103]. Indeed, a trans-azobenzene, can be included in the cyclodextrin cavity. However, when illuminated at 320–390 nm, the isomerization to cis-azobenzene force it to go out of the cavity, letting place for the ester group to enter the cyclodextrin, and to de hydrolyzed (Figure 17).
Figure 17.
Excluding photochromic inhibitor.
4.2. Azo Functionalised Cyclodextrins
Azo-modified cyclodextrins on their primary face have been investigated by two approaches. The first one was a nucleophilic substitution with a mono-tosylated cyclodextrin by a hydroxyazobenzene. The second one was done by click chemistry (Figure 18) [104].
Figure 18.
Ways of syntheses. a. Cs2CO3, DMF, 90 °C, 24 h; b. (EtO)3P·CuI, DMF, 100 °C, 2 h.
However, the face to be modified has a great importance. Indeed, Ma et al. in 2007 proved that [1] rotaxane functionalized in position 2 were found to be different from the corresponding isomers on the 6 position (Figure 19). More detailed, they have a better aqueous solubility, induced circular dichroism and different absorptions [105].
Figure 19.
Roraxanes from Ma et al.
The ways of synthesis play also a great role as azo-modified cyclodextrins can self lock/unlock [106]. Indeed, hydrothermal coupling between azidocyclodextrin and propargylic azobenzene lead to self-locked molecule which can self-assemble in bimolecular capsule while plunged in water, reversibly by adding DMSO. However, Huisgen 1,3-dipolar cycloaddition leads to self-unlocked molecule, which can self-assemble in linear supramolecule (Figure 20).
Figure 20.
Self locking/unlocking molecules upon their way of synthesis. Reuse (reprint) with permission of Liu, Y.; Yang, Z.-X.; Chen, Y. Syntheses and Self-Assembly Behaviors of the Azobenzenyl Modified β-Cyclodextrins Isomers. J. Org. Chem. 2008, 73, 5298–5304, doi:10.1021/jo800488f. Copyright (2008) American Chemical Society.
Moreover, it was proven that an azobenzene bearing two cyclodextrins was still able to isomerize properly, as shown in 1998 by Aoyagi et al. (Figure 21) [107].

Figure 21.
Absorption spectra of 1 before (-) and after (- - -) photoirradiation. Reuse (reprint) with permission of Aoyagi, T.; Ueno, A.; Fukushima, M.; Osa, T. Synthesis and Photoisomerization of an Azobenzene Derivative Bearing Two β-Cyclodextrin Units at Both Ends. Macromolecular Rapid Communications 1998, 19, 103–105, doi:10.1002/(SICI)1521-3927(19980201)19:2<103::AID-MARC103>3.0.CO;2-R. Copyright (1998) Wiley.
The value of pH can also strongly modify the absorption of azo-modified cyclodextrin [108]. That was demonstrated in 1997 by Aoyagi et al. [109].
Here can be seen (Figure 22) a strong shift of the maximal absorbance of the molecule. For example, at a pH of 2.75, this maximum (corresponding to the π→π* of the hole trans molecule) is around 370 nm, whereas at a pH of 11.05, this maximum had shift to 490 nm with a hyperchromic effect. The shift is nearly the same for the absorbance at 270 nm (corresponding to the π→π* of the aromatic rings) shifted to 300 nm.

Figure 22.
Absorption spectra at various pH values. (down) reuse (reprint) with permission of Aoyagi, T.; Nakamura, A.; Ikeda, H.; Ikeda, T.; Mihara, H.; Ueno, A. Alizarin Yellow-Modified β-Cyclodextrin as a Guest-Responsive Absorption Change Sensor. Anal. Chem. 1997, 69, 659–663, doi:10.1021/ac960727z. Copyright (1997) American Chemical Society.
In terms of applications, azo-modified cyclodextrins can act as sensor or binder for organic molecules [110,111,112]. For example, azo-modified β-Cyclodextrin polymer can be used as a sensor for chlorophenols in water. Indeed, chlorinated by-products (CBPs) are formed in water as a result of the reaction of chlorine and its derivatives, used in the disinfection of water, with natural organic matter (NOM). So the sensitive detection of such pollutants is of great interest, especially in drinking water [113]. The sensor was synthesized as seen on Figure 23, and the 2,4-dichlorophenol was used as pollutant model, showing a good sensitivity factor compared to chlorophenol, and phenol.

Figure 23.
Sensor synthesis (up) and sensitivity factor against phenol, 4-chlorophenol and 2,4-dichlorophenol (down). Reuse (down) permitted by the Creative Common CC BY license from Ncube, P.; Krause, R.W.; Mamba, B.B. Fluorescent Sensing of Chlorophenols in Water Using an Azo Dye Modified β-Cyclodextrin Polymer. Sensors 2011, 11, 4598–4608, doi:10.3390/s110504598.
Another fluorescent probe for the detection of cholic acid and its derivatives (litho-, deoxy-, chenodeoxy-, ursodeoxy-, hyodeoxy-cholic acid) was obtained by linking bis dansyl-modified β-cyclodextrin dimer with azobenzene, and showing a selective molecular recognition for steroidal compounds. Indeed, in this study, the dansyl moiety moves out of the cyclodextrin cavity upon guest binding and play a role as a hydrophobic cap, showing a decrease of the fluorescence [114].
In the domain of amphiphiles, the trans-cis isomerization can lead to a great difference of autoassembling, thanks to a host-guest (de)complexing. That was demonstrated by Guo et al. in 2019, where a photoresponsive self-assembly system based on host-guest inclusion was synthesized and tested upon illumination [115]. An azobenzene group was linked to a β-cyclodextrin by an alkyl chain, generating a novel amphiphile which showed reversible aggregate behavior due to photo-isomerization of azobenzene. In the case of trans-form, intermolecular host-guest complexes between CD and azobenzene were formed, and further self-assembled into curved linear structures in water. Dissociation of cis-azobenzene group from CD cavity was achieved upon illuminated by UV light, leading to the aggregate transformation into vesicles (Figure 24).
Figure 24.
TEM images of βCD-C6-Azo aqueous solution (1 mM): (a) original solution; (b) original solution irradiated by 360 nm UV light; (c) original solution irradiated by 360 nm UV light and then visible light; (d) original solution irradiated by 360 nm UV light and then visible light and then UV light. The scale bar = 0.5 μm. Reuse (reprint) with permission of Guo, H.; Jiang, B.; Zhou, J.; Zhao, L.; Xu, B.; Liu, C. Self-Assembly of β-Cyclodextrin-Derived Amphiphile with a Photo Responsive Guest. Colloids Surf. A Physicochem. Eng. Asp. 2019, 579, 123683, doi:10.1016/j.colsurfa.2019.123683. Copyright (2019) Elsevier.
For trans-molecule, intermolecular host-guest recognition occurs, and curved linear structures are observed, which are mainly driven by hydrogen bonding. Upon UV light, cis-isomer disfavors host-guest complex formation, and acts like a conventional amphiphile generating vesicles (Figure 25).
Figure 25.
Schematic assembling of trans and cis molecules.
5. Conclusions
To conclude, the azo-functionalization of natural and unnatural oligosaccharides leads to a high diversity of properties of interest.
First, the azo moieties can be attached to linear, big, small or cyclic sugars. This versatility is of great interest from a synthetic point of view (Table 2). Indeed, the links between azo moieties and oligosaccharides are usually ethers or amides between an already formed azobenzene. However, diazotation can be made in situ on aminophenyl cellobioside for example.
Table 2.
Links between azo moieties and oligosaccharides and reagents used to obtain these links.
Secondly, the applications are various (Table 3), such as for health (1965 to 2013), hydrogels and liquid crystals (2013 to 2020), self assemblies (1999-2019) or sensors (1979 to 2011).
Table 3.
Summary of the various applications for azo-guest or azo-grafted oligosaccharides.
Finally, azo molecules, depending on the starting oligosaccharide material, can act as a functional group, or a guest, leading to unprecedented physicochemical aspects even if sometimes, the UV impact on the structure could have been investigated deeply. So linking an azobenzene group to an oligosaccharide is simple to synthesize, simple to characterize, and can improve the future materials.
Author Contributions
Both the authors declare having contributed to the review. E.L. for writing, A.F. for corrections. Both authors have read and agreed to the published version of the manuscript.
Funding
This research received no external funding The APC was funded by UTC.
Institutional Review Board Statement
Not applicable.
Informed Consent Statement
Not applicable.
Data Availability Statement
Review paper, no data available.
Conflicts of Interest
The authors declare no conflict of interest.
References
- Kortekaas, L.; Browne, W.R. The Evolution of Spiropyran: Fundamentals and Progress of an Extraordinarily Versatile Photochrome. Chem. Soc. Rev. 2019, 48, 3406–3424. [Google Scholar] [CrossRef] [PubMed]
- Pratap, R.; Ram, V.J. Natural and Synthetic Chromenes, Fused Chromenes, and Versatility of Dihydrobenzo[h]Chromenes in Organic Synthesis. Chem. Rev. 2014, 114, 10476–10526. [Google Scholar] [CrossRef] [PubMed]
- Kratochvılová, I.; Nešprek, S.; Šebera, J.; Záliš, S.; Pavelka, M.; Wang, G.; Sworakowski, J. New Organic FET-like Photoactive Device, Experiments and DFT Modeling. Eur. Phys. J. E 2008, 25, 299–307. [Google Scholar] [CrossRef] [PubMed]
- Petermayer, C.; Dube, H. Indigoid Photoswitches: Visible Light Responsive Molecular Tools. Acc. Chem. Res. 2018, 51, 1153–1163. [Google Scholar] [CrossRef] [PubMed]
- Griffiths, J. II. Photochemistry of Azobenzene and Its Derivatives. Chem. Soc. Rev. 1972, 1, 481–493. [Google Scholar] [CrossRef]
- Banaszak-Léonard, E. Les Photochromes Intégrant le Concept de Développement Durable; Editions Universitaires Européennes: Chisinau, Moldova, 2019; ISBN 613-8-45947-4. [Google Scholar]
- Yager, K.G.; Barrett, C.J. Novel Photo-Switching Using Azobenzene Functional Materials. J. Photochem. Photobiol. A 2006, 182, 250–261. [Google Scholar] [CrossRef]
- García-Amorós, J.; Velasco, D. Recent Advances towards Azobenzene-Based Light-Driven Real-Time Information-Transmitting Materials. Beilstein J. Org. Chem. 2012, 8, 1003–1017. [Google Scholar] [CrossRef]
- Granucci, G.; Persico, M. Excited State Dynamics with the Direct Trajectory Surface Hopping Method: Azobenzene and Its Derivatives as a Case Study. Theor. Chem. Acc. 2007, 117, 1131–1143. [Google Scholar] [CrossRef]
- Conti, I.; Garavelli, M.; Orlandi, G. The Different Photoisomerization Efficiency of Azobenzene in the Lowest Nπ* and Ππ* Singlets: The Role of a Phantom State. J. Am. Chem. Soc. 2008, 130, 5216–5230. [Google Scholar] [CrossRef] [PubMed]
- Klug, R.L.; Burcl, R. Rotational Barriers in Azobenzene and Azonaphthalene. J. Phys. Chem. A 2010, 114, 6401–6407. [Google Scholar] [CrossRef]
- Bandara, H.M.D.; Basa, P.N.; Yan, J.; Camire, C.E.; MacDonald, J.C.; Jackson, R.K.; Burdette, S.C. Systematic Modulation of Hydrogen Bond Donors in Aminoazobenzene Derivatives Provides Further Evidence for the Concerted Inversion Photoisomerization Pathway. Eur. J. Org. Chem. 2013, 2013, 4794–4803. [Google Scholar] [CrossRef]
- Loos, P.-F.; Preat, J.; Laurent, A.D.; Michaux, C.; Jacquemin, D.; Perpète, E.A.; Assfeld, X. Theoretical Investigation of the Geometries and UV-Vis Spectra of Poly(L-Glutamic Acid) Featuring a Photochromic Azobenzene Side Chain. J. Chem. Theory Comput. 2008, 4, 637–645. [Google Scholar] [CrossRef]
- Pederzoli, M.; Pittner, J.; Barbatti, M.; Lischka, H. Nonadiabatic Molecular Dynamics Study of the Cis–trans Photoisomerization of Azobenzene Excited to the S1 State. J. Phys. Chem. A 2011, 115, 11136–11143. [Google Scholar] [CrossRef] [PubMed]
- Weingart, O.; Lan, Z.; Koslowski, A.; Thiel, W. Chiral Pathways and Periodic Decay in Cis-Azobenzene Photodynamics. J. Phys. Chem. Lett. 2011, 2, 1506–1509. [Google Scholar] [CrossRef]
- Bandara, H.M.D.; Burdette, S.C. Photoisomerization in Different Classes of Azobenzene. Chem. Soc. Rev. 2012, 41, 1809–1825. [Google Scholar] [CrossRef]
- Léonard, E.; Mangin, F.; Villette, C.; Billamboz, M.; Len, C. Azobenzenes and Catalysis. Catal. Sci. Technol. 2016, 6, 379–398. [Google Scholar] [CrossRef]
- Subala, S.S.; Sundar, B.S.; Sastry, S.S. Synthesis and Characterization of Nonsymmetric Liquid Crystal Dimer Containing Biphenyl and Azobenzene Moiety. J. Chem. 2013, 2013, e939406. [Google Scholar] [CrossRef]
- Paul, M.K.; Kalita, G.; Laskar, A.R.; Debnath, S.; Gude, V.; Sarkar, D.D.; Mohiuddin, G.; Varshney, S.K.; Nandiraju Rao, V.S. Synthesis and Mesomorphic Behaviour of Achiral Four-Ring Unsymmetrical Bent-Core Liquid Crystals: Nematic Phases. J. Mol. Struct. 2013, 1049, 78–89. [Google Scholar] [CrossRef]
- Barclay, T.G.; Constantopoulos, K.; Zhang, W.; Fujiki, M.; Petrovsky, N.; Matisons, J.G. Chiral Self-Assembly of Designed Amphiphiles: Influences on Aggregate Morphology. Langmuir 2013, 29, 10001. [Google Scholar] [CrossRef]
- Hayata, Y.; Nagano, S.; Takeoka, Y.; Seki, T. Photoinduced Volume Transition in Liquid Crystalline Polymer Gels Swollen by a Nematic Solvent. ACS Macro Lett. 2012, 1, 1357–1361. [Google Scholar] [CrossRef]
- Kageyama, Y.; Tanigake, N.; Kurokome, Y.; Iwaki, S.; Takeda, S.; Suzuki, K.; Sugawara, T. Macroscopic Motion of Supramolecular Assemblies Actuated by Photoisomerization of Azobenzene Derivatives. Chem. Commun. 2013, 49, 9386–9388. [Google Scholar] [CrossRef]
- Takahashi, Y.; Yamamoto, Y.; Hata, S.; Kondo, Y. Unusual Viscoelasticity Behaviour in Aqueous Solutions Containing a Photoresponsive Amphiphile. J. Colloid Interface Sci. 2013, 407, 370–374. [Google Scholar] [CrossRef] [PubMed]
- Chevallier, E.; Monteux, C.; Lequeux, F.; Tribet, C. Photofoams: Remote Control of Foam Destabilization by Exposure to Light Using an Azobenzene Surfactant. Langmuir 2012, 28, 2308–2312. [Google Scholar] [CrossRef]
- Menati, S.; Azadbakht, A.; Azadbakht, R.; Taeb, A.; Kakanejadifard, A. Synthesis, Characterization, and Electrochemical Study of Some Novel, Azo-Containing Schiff Bases and Their Ni(II) Complexes. Dyes Pigments 2013, 98, 499–506. [Google Scholar] [CrossRef]
- Pandhurnekar, C.P.; Meshram, E.M.; Chopde, H.N.; Batra, R.J. Synthesis, Characterization, and Biological Activity of 4-(2-Hydroxy-5-(Aryl-Diazenyl)Phenyl)-6-(Aryl)Pyrimidin-2-Ols Derivatives. Org. Chem. Int. 2013, 2013, e582079. [Google Scholar] [CrossRef]
- Guo, D.-C.; Li, K.-Y.; Li, Y.-L.; Tan, H.; Wang, L.-Y. Synthesis and Characterization of Carbazole-Based Azo Acylhydrazone Schiff Bases. Chem. Eng. Commun. 2013, 200, 1503–1512. [Google Scholar] [CrossRef]
- Amaravathi, M.; Kanakaraju, S.; Chandramouli, G.V.P. Synthesis and Characterization of Azobenzene-Porphyrins: Synthesis and Characterization of Azobenzene-Porphyrins. J. Heterocycl. Chem. 2013, 50, 268–271. [Google Scholar] [CrossRef]
- Sagar Vijay Kumar, P.; Suresh, L.; Vinodkumar, T.; Reddy, B.M.; Chandramouli, G.V.P. Zirconium Doped Ceria Nanoparticles: An Efficient and Reusable Catalyst for a Green Multicomponent Synthesis of Novel Phenyldiazenyl–Chromene Derivatives Using Aqueous Medium. ACS Sustain. Chem. Eng. 2016, 4, 2376–2386. [Google Scholar] [CrossRef]
- Leriche, G.; Budin, G.; Brino, L.; Wagner, A. Optimization of the Azobenzene Scaffold for Reductive Cleavage by Dithionite; Development of an Azobenzene Cleavable Linker for Proteomic Applications. Eur. J. Org. Chem. 2010, 2010, 4360–4364. [Google Scholar] [CrossRef]
- Rakesh, S.; Thulasiraman, V.; Sarojadevi, M. Synthesis, Characterization, and Thermal Properties of Cyanate Esters with Azo Linkages. Polym. Eng. Sci. 2015, 55, 47–53. [Google Scholar] [CrossRef]
- Zhang, S.-Y.; Zhang, X.; Li, H.; Niu, Z.; Shi, W.; Cheng, P. Dual-Functionalized Metal–Organic Frameworks Constructed from Hexatopic Ligand for Selective CO2 Adsorption. Inorg. Chem. 2015, 54, 2310–2314. [Google Scholar] [CrossRef] [PubMed]
- Pamar, M.G.; Govender, P.; Muthusamy, K.; Krause, R.W.M.; Nanjundaswamy, H.M. Mg/Triethylammonium Formate: A Useful System for Reductive Dimerization of Araldehydes into Pinacols; Nitroarenes into Azoarenes and Azoarenes into Hydrazoarenes. Orient. J. Chem. 2013, 29, 969–974. [Google Scholar] [CrossRef]
- Hu, L.; Cao, X.; Chen, L.; Zheng, J.; Lu, J.; Sun, X.; Gu, H. Highly Efficient Synthesis of Aromatic Azos Catalyzed by Unsupported Ultra-Thin Pt Nanowires. Chem. Commun. 2012, 48, 3445–3447. [Google Scholar] [CrossRef] [PubMed]
- Combita, D.; Concepción, P.; Corma, A. Gold Catalysts for the Synthesis of Aromatic Azocompounds from Nitroaromatics in One Step. J. Catal. 2014, 311, 339–349. [Google Scholar] [CrossRef]
- Basheer, M.C.; Oka, Y.; Mathews, M.; Tamaoki, N. A Light-Controlled Molecular Brake with Complete ON–OFF Rotation. Chem. Eur. J. 2010, 16, 3489–3496. [Google Scholar] [CrossRef]
- Noureldin, N.A.; Bellegarde, J.W. A novel method. The synthesis of ketones and azobenzenes using supported permanganate. Synthesis 1999, 6, 939–942. [Google Scholar] [CrossRef]
- Flatt, A.K.; Dirk, S.M.; Henderson, J.C.; Shen, D.E.; Su, J.; Reed, M.A.; Tour, J.M. Synthesis and Testing of New End-Functionalized Oligomers for Molecular Electronics. Tetrahedron 2003, 59, 8555–8570. [Google Scholar] [CrossRef]
- Haberhauer, G.; Kallweit, C.; Wölper, C.; Bläser, D. An Azobenzene Unit Embedded in a Cyclopeptide as a Type-Specific and Spatially Directed Switch. Angew. Chem. Int. Ed. 2013, 52, 7879–7882. [Google Scholar] [CrossRef]
- Cannazza, G.; Perrone, S.; Rosato, F.; D’Accolti, L.; Parenti, C.; Troisi, L. One-Pot Synthesis of Azobenzene Derivatives by Oxidation of 2,3-Dihydrobenzothiadiazines. Synthesis 2014, 46, 962–966. [Google Scholar] [CrossRef]
- Zhang, C.; Jiao, N. Copper-Catalyzed Aerobic Oxidative Dehydrogenative Coupling of Anilines Leading to Aromatic Azo Compounds Using Dioxygen as an Oxidant. Angew. Chem. Int. Ed. 2010, 49, 6174–6177. [Google Scholar] [CrossRef]
- Hotta, Y.; Suiko, S.; Motoyanagi, J.; Onishi, H.; Ihozaki, T.; Arakawa, R.; Tsuda, A. A Physical Operation of Hydrodynamic Orientation of an Azobenzene Supramolecular Assembly with Light and Sound. Chem. Commun. 2014, 50, 5615–5618. [Google Scholar] [CrossRef] [PubMed]
- Commins, P.; Garcia-Garibay, M.A. Photochromic Molecular Gyroscope with Solid State Rotational States Determined by an Azobenzene Bridge. J. Org. Chem. 2014, 79, 1611–1619. [Google Scholar] [CrossRef]
- Wang, J.; He, J.; Zhi, C.; Luo, B.; Li, X.; Pan, Y.; Cao, X.; Gu, H. Highly Efficient Synthesis of Azos Catalyzed by the Common Metal Copper (0) through Oxidative Coupling Reactions. RSC Adv. 2014, 4, 16607–16611. [Google Scholar] [CrossRef]
- Bellotto, S.; Reuter, R.; Heinis, C.; Wegner, H.A. Synthesis and Photochemical Properties of Oligo-Ortho-Azobenzenes. J. Org. Chem. 2011, 76, 9826–9834. [Google Scholar] [CrossRef]
- Viehmann, P.; Hecht, S. Design and Synthesis of a Photoswitchable Guanidine Catalyst. Beilstein J. Org. Chem. 2012, 8, 1825–1830. [Google Scholar] [CrossRef] [PubMed]
- Schönberger, M.; Trauner, D. A Photochromic Agonist for μ-Opioid Receptors. Angew. Chem. Int. Ed. 2014, 53, 3264–3267. [Google Scholar] [CrossRef]
- Takeuchi, T.; Mori, T.; Kuwahara, A.; Ohta, T.; Oshita, A.; Sunayama, H.; Kitayama, Y.; Ooya, T. Conjugated-Protein Mimics with Molecularly Imprinted Reconstructible and Transformable Regions That Are Assembled Using Space-Filling Prosthetic Groups. Angew. Chem. Int. Ed. 2014, 53, 12765–12770. [Google Scholar] [CrossRef] [PubMed]
- Rosales, A.M.; Mabry, K.M.; Nehls, E.M.; Anseth, K.S. Photoresponsive Elastic Properties of Azobenzene-Containing Poly(Ethylene-Glycol)-Based Hydrogels. Biomacromolecules 2015, 16, 798–806. [Google Scholar] [CrossRef] [PubMed]
- Reuter, R.; Wegner, H.A. Meta-Oligoazobiphenyls–Synthesis via Site-Selective Mills Reaction and Photochemical Properties. Beilstein J. Org. Chem. 2012, 8, 877–883. [Google Scholar] [CrossRef] [PubMed]
- Rizk, H.F.; Ibrahim, S.A.; El-Borai, M.A. Synthesis, Fastness Properties, Color Assessment and Antimicrobial Activity of Some Azo Reactive Dyes Having Pyrazole Moiety. Dyes Pigments 2015, 112, 86–92. [Google Scholar] [CrossRef]
- Teimouri, A.; Chermahini, A.N.; Ghorbani, M. Hassan. The Green Synthesis of New Azo Dyes Derived from Salicylic Acid Derivatives Catalyzed via Baker’s Yeast and Solid Acid Catalysis. Chemija 2013, 24, 59–66. [Google Scholar]
- Tanizaki, Y.; Kobayashi, T.; Hoshi, T. The Absorption Spectra of Dyes. XI. A Note on the Color Change in Some Azobenzene Dyes with Variation in the Acidity. BCSJ 1966, 39, 558–562. [Google Scholar] [CrossRef]
- Yamada, S.; Bessho, J.; Nakasato, H.; Tsutsumi, O. Color Tuning Donor–Acceptor-Type Azobenzene Dyes by Controlling the Molecular Geometry of the Donor Moiety. Dyes Pigments 2018, 150, 89–96. [Google Scholar] [CrossRef]
- Velema, W.A.; van der Berg, J.P.; Hansen, M.J.; Szymanski, W.; Driessen, A.J.M.; Feringa, B.L. Optical Control of Antibacterial Activity. Nat. Chem. 2013, 5, 924–928. [Google Scholar] [CrossRef]
- Wegener, M.; Hansen, M.J.; Driessen, A.J.M.; Szymanski, W.; Feringa, B.L. Photocontrol of Antibacterial Activity: Shifting from UV to Red Light Activation. J. Am. Chem. Soc. 2017, 139, 17979–17986. [Google Scholar] [CrossRef] [PubMed]
- Banaszak-Leonard, E.; Fayeulle, A.; Franche, A.; Sagadevan, S.; Billamboz, M. Antimicrobial Azo Molecules: A Review. J. Iran. Chem. Soc. 2021. [Google Scholar] [CrossRef]
- Laprell, L.; Tochitsky, I.; Kaur, K.; Manookin, M.B.; Stein, M.; Barber, D.M.; Schön, C.; Michalakis, S.; Biel, M.; Kramer, R.H.; et al. Photopharmacological Control of Bipolar Cells Restores Visual Function in Blind Mice. J. Clin. Investig. 2017, 127, 2598–2611. [Google Scholar] [CrossRef]
- Tochitsky, I.; Helft, Z.; Meseguer, V.; Fletcher, R.B.; Telias, M.; Denlinger, B.; Malis, J.; Vessey, K.A.; Fletcher, E.L.; Kramer, R.H. How Azobenzene Photoswitches Restore Visual Responses to the Blind Retina. Neuron 2016, 92, 100–113. [Google Scholar] [CrossRef]
- Zhu, Y.; Ma, F.; Ma, C.; Han, H.; Sun, R.; Peng, H.; Xie, M. Enhanced Dielectric and Electrical Energy Storage Capability of Polymers with Combined Azobenzene and Triphenylamine Side Groups by Ring-Opening Metathesis Polymerization. Polymer 2019, 184, 121886. [Google Scholar] [CrossRef]
- Zhang, L.Y.; Zou, S.J.; Sun, X.H. Efficient Azobenzene Co-Sensitizer for Wide Spectral Absorption of Dye-Sensitized Solar Cells. RSC Adv. 2018, 8, 6212–6217. [Google Scholar] [CrossRef]
- Billamboz, M.; Mangin, F.; Drillaud, N.; Chevrin-Villette, C.; Banaszak-Léonard, E.; Len, C. Micellar Catalysis Using a Photochromic Surfactant: Application to the Pd-Catalyzed Tsuji–Trost Reaction in Water. J. Org. Chem. 2014, 79, 493–500. [Google Scholar] [CrossRef]
- Drillaud, N.; Banaszak-Léonard, E.; Pezron, I.; Len, C. Synthesis and Evaluation of a Photochromic Surfactant for Organic Reactions in Aqueous Media. J. Org. Chem. 2012, 77, 9553–9561. [Google Scholar] [CrossRef]
- Seidel, Z.P.; Lee, C.T. Enhanced Activity of the Cellulase Enzyme β-Glucosidase upon Addition of an Azobenzene-Based Surfactant. ACS Sustain. Chem. Eng. 2020, 8, 1751–1761. [Google Scholar] [CrossRef]
- Guengerich, F.P.; Shimada, T. Oxidation of Toxic and Carcinogenic Chemicals by Human Cytochrome P-450 Enzymes. Chem. Res. Toxicol. 1991, 4, 391–407. [Google Scholar] [CrossRef] [PubMed]
- Hanau, S.; Almugadam, S.H.; Sapienza, E.; Cacciari, B.; Manfrinato, M.C.; Trentini, A.; Kennedy, J.F. Schematic Overview of Oligosaccharides, with Survey on Their Major Physiological Effects and a Focus on Milk Ones. Carbohydr. Polym. Technol. Appl. 2020, 1, 100013. [Google Scholar] [CrossRef]
- Suzuki, M.; Kaneda, K.; Nakai, Y.; Kitaoka, M.; Taniguchi, H. Synthesis of Cellobiose from Starch by the Successive Actions of Two Phosphorylases. N Biotechnol. 2009, 26, 137–142. [Google Scholar] [CrossRef]
- Suzuki, M.; Kitaoka, M.; Taniguchi, H. Enzymatic Production of Cellobiose from Starch and Its Reduction to Cellobiitol. J. Appl. Glycosci. 2010, 57, 113–119. [Google Scholar] [CrossRef][Green Version]
- Bacon, J.S.D.; Dickinson, B. The Origin of Melezitose: A Biochemical Relationship between the Lime Tree (Tilia spp.) and an Aphis (Eucallipterus tiliae L.). Biochem. J. 1957, 66, 289–299. [Google Scholar] [CrossRef] [PubMed]
- Forano, C. Environmental Remediation Involving Layered Double Hydroxides. In Interface Science and Technology; Wypych, F., Satyanarayana, K.G., Eds.; Clay Surfaces; Elsevier: Amsterdam, The Netherlands, 2004; Volume 1, pp. 425–458. [Google Scholar]
- Belorkar, S.A.; Gupta, A.K. Oligosaccharides: A Boon from Nature’s Desk. AMB Express 2016, 6. [Google Scholar] [CrossRef]
- Yilmaz, E. Chitosan: A Versatile Biomaterial. In Proceedings of the Biomaterials; Hasirci, N., Hasirci, V., Eds.; Springer: Boston, MA, USA, 2004; pp. 59–68. [Google Scholar]
- Vunain, E.; Mishra, A.K.; Mamba, B.B. 1-Fundamentals of chitosan for biomedical applications. In Chitosan Based Biomaterials; Jennings, J.A., Bumgardner, J.D., Eds.; Woodhead Publishing: Shaston, UK, 2017; Volume 1, pp. 3–30. ISBN 978-0-08-100230-8. [Google Scholar]
- Atwood, J.L. Inclusion (Clathrate) Compounds. In Encyclopedia of Physical Science and Technology, 3rd ed.; Meyers, R.A., Ed.; Academic Press: New York, NY, USA, 2003; pp. 717–729. ISBN 978-0-12-227410-7. [Google Scholar]
- McQueen, R.H. 17-Odour control of medical textiles. In Handbook of Medical Textiles; Bartels, V.T., Ed.; Woodhead Publishing Series in Textiles; Woodhead Publishing: Shaston, UK, 2011; pp. 387–416. ISBN 978-1-84569-691-7. [Google Scholar]
- Zhang, X.; Zhang, Y.; Armstrong, D.W. 8.10 Chromatographic Separations and Analysis: Cyclodextrin Mediated HPLC, GC and CE Enantiomeric Separations. In Comprehensive Chirality; Carreira, E.M., Yamamoto, H., Eds.; Elsevier: Amsterdam, The Netherlands, 2012; pp. 177–199. ISBN 978-0-08-095168-3. [Google Scholar]
- Bricout, H.; Léonard, E.; Len, C.; Landy, D.; Hapiot, F.; Monflier, E. Impact of Cyclodextrins on the Behavior of Amphiphilic Ligands in Aqueous Organometallic Catalysis. Beilstein J. Org. Chem. 2012, 8, 1479–1484. [Google Scholar] [CrossRef]
- Ferreira, M.; Bricout, H.; Azaroual, N.; Landy, D.; Tilloy, S.; Hapiot, F.; Monflier, E. Cyclodextrin/Amphiphilic Phosphane Mixed Systems and Their Applications in Aqueous Organometallic Catalysis. Adv. Synth. Catal. 2012, 354, 1337–1346. [Google Scholar] [CrossRef]
- Gaspar, V.M.; Moreira, A.F.; de Melo-Diogo, D.; Costa, E.C.; Queiroz, J.A.; Sousa, F.; Pichon, C.; Correia, I.J. Chapter 6-Multifunctional nanocarriers for codelivery of nucleic acids and chemotherapeutics to cancer cells. In Nanobiomaterials in Medical Imaging; Grumezescu, A.M., Ed.; William Andrew Publishing: Shaston, UK, 2016; pp. 163–207. ISBN 978-0-323-41736-5. [Google Scholar]
- Gross, L. Bacterial Fimbriae Designed to Stay with the Flow. PLoS Biol. 2006, 4, e314. [Google Scholar] [CrossRef] [PubMed]
- Hartmann, M.; Lindhorst, T.K. The Bacterial Lectin FimH, a Target for Drug Discovery–Carbohydrate Inhibitors of Type 1 Fimbriae-Mediated Bacterial Adhesion. Eur. J. Org. Chem. 2011, 2011, 3583–3609. [Google Scholar] [CrossRef]
- Chandrasekaran, V.; Kolbe, K.; Beiroth, F.; Lindhorst, T.K. Synthesis and Testing of the First Azobenzene Mannobioside as Photoswitchable Ligand for the Bacterial Lectin FimH. Beilstein J. Org. Chem. 2013, 9, 223–233. [Google Scholar] [CrossRef] [PubMed]
- Ogawa, Y.; Yoshiyama, C.; Kitaoka, T. Helical Assembly of Azobenzene-Conjugated Carbohydrate Hydrogelators with Specific Affinity for Lectins. Langmuir 2012, 28, 4404–4412. [Google Scholar] [CrossRef]
- Srinivas, O.; Mitra, N.; Surolia, A.; Jayaraman, N. Photoswitchable Cluster Glycosides as Tools to Probe Carbohydrate–Protein Interactions: Synthesis and Lectin-Binding Studies of Azobenzene Containing Multivalent Sugar Ligands. Glycobiology 2005, 15, 861–873. [Google Scholar] [CrossRef] [PubMed]
- Gleich, G.J.; Allen, P.Z. Immunochemical Studies on Some Immune Systems Involving ß(1,4) Linked Glucose. Immunochemistry 1965, 2, 417–431. [Google Scholar] [CrossRef]
- Li, Z.; Zhang, D.; Weng, J.; Chen, B.; Liu, H. Synthesis and Characterization of Photochromic Azobenzene Cellulose Ethers. Carbohydr. Polym. 2014, 99, 748–754. [Google Scholar] [CrossRef] [PubMed]
- Huang, Y.; Kang, H.; Li, G.; Wang, C.; Huang, Y.; Liu, R. Synthesis and Photosensitivity of Azobenzene Functionalized Hydroxypropylcellulose. RSC Adv. 2013, 3, 15909–15916. [Google Scholar] [CrossRef]
- Otsuka, I.; Barrett, C.J. Electrospinning of Photo-Responsive Azo-Cellulose: Towards Smart Fibrous Materials. Cellulose 2019, 26, 6903–6915. [Google Scholar] [CrossRef]
- Torque, C.; Bricout, H.; Hapiot, F.; Monflier, E. Substrate-Selective Aqueous Organometallic Catalysis. How Size and Chemical Modification of Cyclodextrin Influence the Substrate Selectivity. Tetrahedron 2004, 60, 6487–6493. [Google Scholar] [CrossRef]
- Kim, Y.; Jeong, D.; Shinde, V.V.; Hu, Y.; Kim, C.; Jung, S. Azobenzene-Grafted Carboxymethyl Cellulose Hydrogels with Photo-Switchable, Reduction-Responsive and Self-Healing Properties for a Controlled Drug Release System. Int. J. Biol. Macromol. 2020, 163, 824–832. [Google Scholar] [CrossRef]
- Qin, W.; Li, Z.; Li, J.; Zhang, L.; Liu, R.; Liu, H. Synthesis and Characterization of Azobenzene Hydroxypropyl Cellulose with Photochromic and Thermotropic Liquid Crystal Properties. Cellulose 2015, 22, 203–214. [Google Scholar] [CrossRef]
- Zhang, L.; Li, J.; Liu, H. Thermal Inverse Phase Transition of Azobenzene Hydroxypropylcellulose in Aqueous Solutions. Cellulose 2016, 23, 1177–1188. [Google Scholar] [CrossRef]
- Klajn, R. Spiropyran-Based Dynamic Materials. Chem. Soc. Rev. 2013, 43, 148–184. [Google Scholar] [CrossRef]
- Ueki, T.; Usui, R.; Kitazawa, Y.; Lodge, T.P.; Watanabe, M. Thermally Reversible Ion Gels with Photohealing Properties Based on Triblock Copolymer Self-Assembly. Macromolecules 2015, 48, 5928–5933. [Google Scholar] [CrossRef]
- Liu, X.; Li, M.; Zheng, X.; Retulainen, E.; Fu, S. Dual Light- and PH-Responsive Composite of Polyazo-Derivative Grafted Cellulose Nanocrystals. Materials 2018, 11, 1725. [Google Scholar] [CrossRef]
- Hou, A.; Zhang, C.; Wang, Y. Preparation and UV-Protective Properties of Functional Cellulose Fabrics Based on Reactive Azobenzene Schiff Base Derivative. Carbohydr. Polym. 2012, 87, 284–288. [Google Scholar] [CrossRef]
- Gerasimowicz, W.V.; Wojcik, J.F. Azo Dye-α-Cyclodextrin Adduct Formation. Bioorg. Chem. 1982, 11, 420–427. [Google Scholar] [CrossRef]
- Shibusawa, T.; Okamoto, J.; Abe, K.; Sakata, K.; Ito, Y. Inclusion of Azo Disperse Dyes by Cyclodextrins at Dyeing Temperature. Dyes Pigments 1998, 36, 79–91. [Google Scholar] [CrossRef]
- Suzuki, M.; Ohmori, H.; Kajtar, M.; Szejtli, J.; Vikmon, M. The Association of Inclusion Complexes of Cyclodextrins with Azo Dyes. J. Incl. Phenom. Macrocycl. Chem. 1994, 18, 255–264. [Google Scholar] [CrossRef]
- Zhang, H.; Chen, G.; Wang, L.; Ding, L.; Tian, Y.; Jin, W.; Zhang, H. Study on the Inclusion Complexes of Cyclodextrin and Sulphonated Azo Dyes by Electrospray Ionization Mass Spectrometry. Int. J. Mass Spectrom. 2006, 252, 1–10. [Google Scholar] [CrossRef]
- Wu, M.; Yuguchi, Y.; Kumagai, T.; Endo, T.; Hirotsu, T. Nano-Complex Formation of Cyclodextrin and Azobenzene Using Supercritical Carbon Dioxide. Chem. Commun. 2004, 1288–1289. [Google Scholar] [CrossRef]
- Craig, M.R.; Claridge, T.D.W.; Anderson, H.L.; Hutchings, M.G. Synthesis of a Cyclodextrin Azo Dye [3]Rotaxane as a Single Isomer. Chem. Commun. 1999, 1537–1538. [Google Scholar] [CrossRef]
- Ueno, A.; Takahashi, K.; Osa, T. Photoregulation of Catalytic Activity of β-Cyclodextrin by an Azo Inhibitor. J. Chem. Soc. Chem. Commun. 1980, 837–838. [Google Scholar] [CrossRef]
- Casas-Solvas, J.M.; Martos-Maldonado, M.C.; Vargas-Berenguel, A. Synthesis of [Beta]-Cyclodextrin Derivatives Functionalized with Azobenzene. Tetrahedron 2008, 64, 10919–10923. [Google Scholar] [CrossRef]
- Ma, X.; Wang, Q.; Tian, H. Disparate Orientation of [1]Rotaxanes. Tetrahedron Lett. 2007, 48, 7112–7116. [Google Scholar] [CrossRef]
- Liu, Y.; Yang, Z.-X.; Chen, Y. Syntheses and Self-Assembly Behaviors of the Azobenzenyl Modified β-Cyclodextrins Isomers. J. Org. Chem. 2008, 73, 5298–5304. [Google Scholar] [CrossRef] [PubMed]
- Aoyagi, T.; Ueno, A.; Fukushima, M.; Osa, T. Synthesis and Photoisomerization of an Azobenzene Derivative Bearing Two β-Cyclodextrin Units at Both Ends. Macromol. Rapid Commun. 1998, 19, 103–105. [Google Scholar] [CrossRef]
- Kuwabara, T.; Shiba, K.; Nakajima, H.; Ozawa, M.; Miyajima, N.; Hosoda, M.; Kuramoto, N.; Suzuki, Y. Host−Guest Complexation Affected by PH and Length of Spacer for Hydroxyazobenzene-Modified Cyclodextrins. J. Phys. Chem. A 2006, 110, 13521–13529. [Google Scholar] [CrossRef] [PubMed]
- Aoyagi, T.; Nakamura, A.; Ikeda, H.; Ikeda, T.; Mihara, H.; Ueno, A. Alizarin Yellow-Modified β-Cyclodextrin as a Guest-Responsive Absorption Change Sensor. Anal. Chem. 1997, 69, 659–663. [Google Scholar] [CrossRef]
- Fukushima, M.; Osa, T.; Ueno, A. Photoswitchable Multi-Response Sensor of Azobenzene-Modified γ-Cyclodextrin for Detecting Organic Compounds. Chem. Lett. 1991, 20, 709–712. [Google Scholar] [CrossRef]
- Ueno, A.; Yoshimura, H.; Saka, R.; Osa, T. Photocontrol of Binding Ability of Capped Cyclodextrin. J. Am. Chem. Soc. 1979, 101, 2779–2780. [Google Scholar] [CrossRef]
- Liu, Y.; Zhao, Y.-L.; Zhang, H.-Y.; Fan, Z.; Wen, G.-D.; Ding, F. Spectrophotometric Study of Inclusion Complexation of Aliphatic Alcohols by β-Cyclodextrins with Azobenzene Tether. J. Phys. Chem. B 2004, 108, 8836–8843. [Google Scholar] [CrossRef]
- Ncube, P.; Krause, R.W.; Mamba, B.B. Fluorescent Sensing of Chlorophenols in Water Using an Azo Dye Modified β-Cyclodextrin Polymer. Sensors 2011, 11, 4598–4608. [Google Scholar] [CrossRef]
- Kikuchi, T.; Narita, M.; Hamada, F. Synthesis of Bis Dansyl-Modified β-Cyclodextrin Dimer Linked with Azobenzene and Its Fluorescent Molecular Recognition. J. Incl. Phenom. 2002, 44, 329–334. [Google Scholar] [CrossRef]
- Guo, H.; Jiang, B.; Zhou, J.; Zhao, L.; Xu, B.; Liu, C. Self-Assembly of β-Cyclodextrin-Derived Amphiphile with a Photo Responsive Guest. Colloids Surf. A Physicochem. Eng. Asp. 2019, 579, 123683. [Google Scholar] [CrossRef]
Publisher’s Note: MDPI stays neutral with regard to jurisdictional claims in published maps and institutional affiliations. |
© 2021 by the authors. Licensee MDPI, Basel, Switzerland. This article is an open access article distributed under the terms and conditions of the Creative Commons Attribution (CC BY) license (https://creativecommons.org/licenses/by/4.0/).





























