The Identification of New Triterpenoids in Eucalyptus globulus Wood
Abstract
1. Introduction
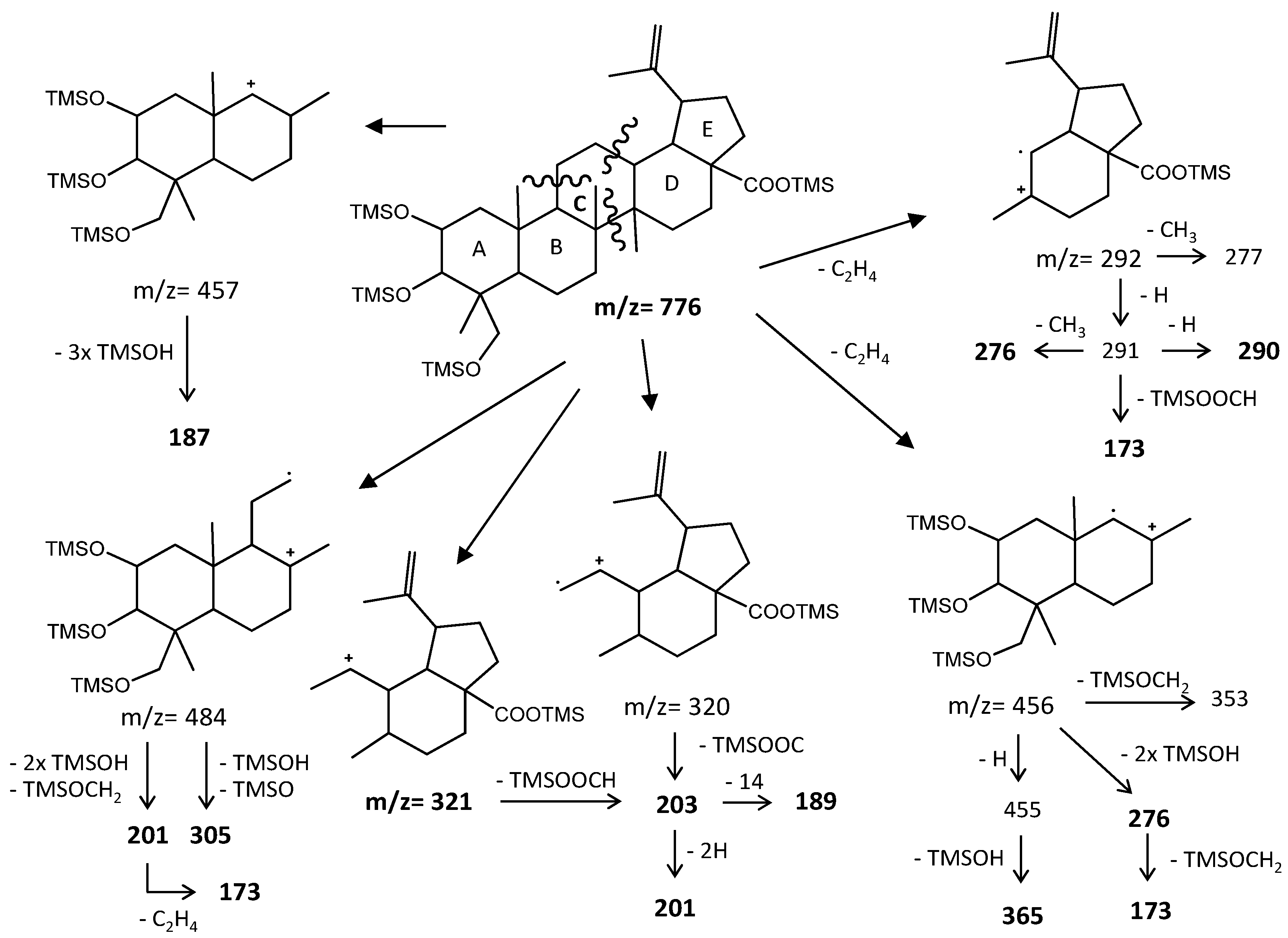
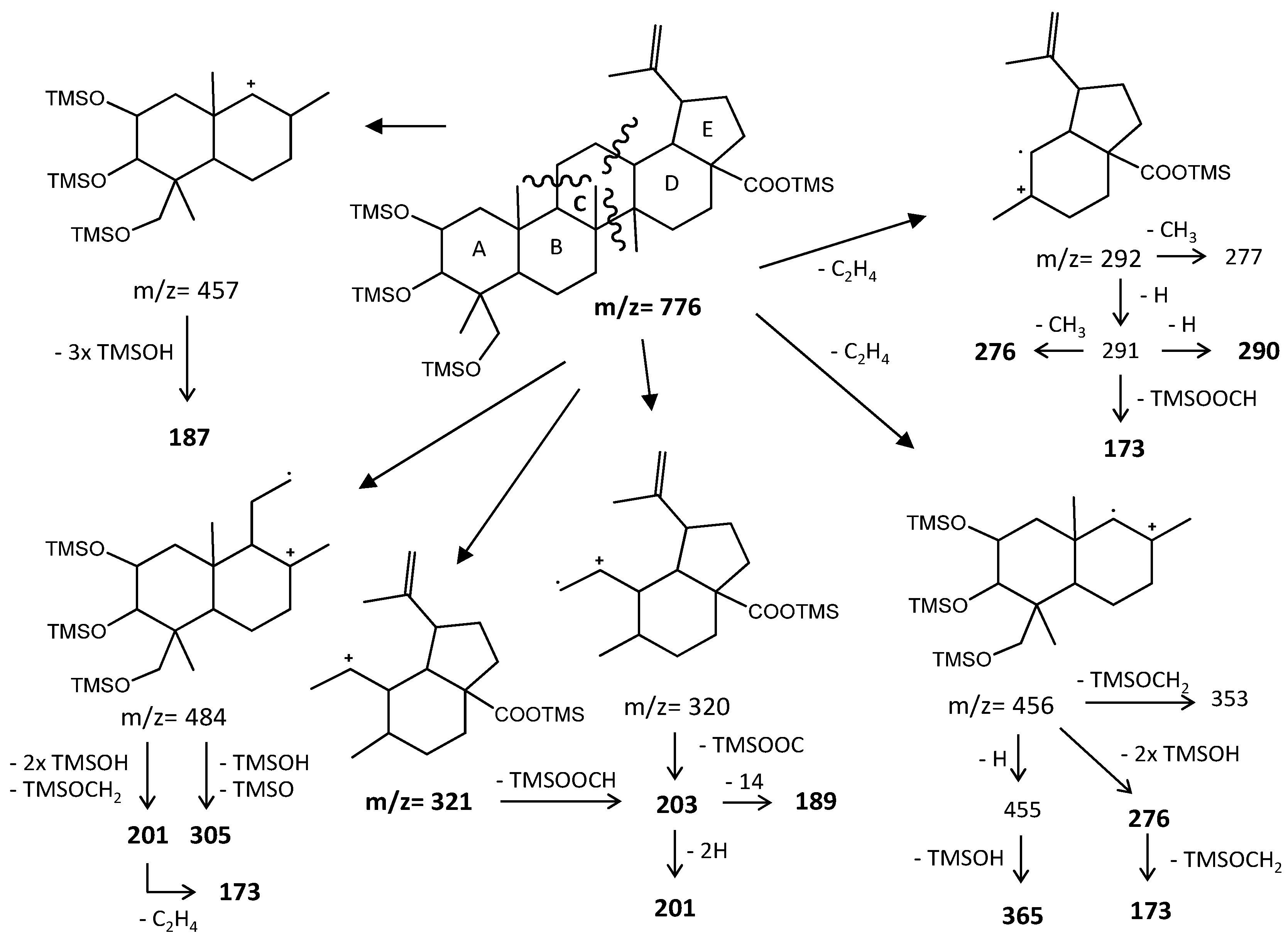
2. Results and Discussion
3. Materials and Methods
3.1. Sampling
3.2. Extraction
3.3. Analysis
3.4. Chemicals
4. Conclusions
Author Contributions
Funding
Informed Consent Statement
Data Availability Statement
Acknowledgments
Conflicts of Interest
Sample Availability
Appendix A
| MW | [M-CH3]+ | [M-TMSOOCH]+ | [M-TMSO]+ | [M-TMSOH]+ | [M-TMSOH-TMSOOCH]+ | [TMSOCH2]+ | |||
|---|---|---|---|---|---|---|---|---|---|
| Skeleton | TMS | [TMS]+ | [M-15]+ | [M-118]+ | [M-89]+ | [M-90]+ | [M-118-90]+ | ||
| Hederagenin (1) | Oleane | 688 | 73 | 673 | 570 | 599 | 598 | 480 | 103 |
| 23-hydroxybetulinic acid (2) | Lupane | 688 | 73 | 673 | 570 | 599 | 598 | 480 | 103 |
| Maslinic acid (3) | Oleane | 688 | 73 | 673 | 570 | 599 | 598 | 480 | 103 |
| Corosolic acid (4) | Ursane | 688 | 73 | 673 | 570 | 599 | 598 | 480 | 103 |
| Arjunolic acid (5) | Oleane | 776 | 73 | 761 | 658 | 687 | 686 | 568 | 103 |
| Asiatic acid (6) | Ursane | 776 | 73 | 761 | 658 | 687 | 686 | 568 | 103 |
| Caulophyllogenin (7) | Oleane | 776 | 73 | 761 | 658 | 687 | 686 | 568 | 103 |
| Madecassic acid (8) | Ursane | 864 | 73 | 849 | 746 | 775 | 774 | 656 | 103 |
| Skeleton | [M-ABC*]+ | [M-DEC*]+ Do not appear | [M-DEC*-TMSOH*y]+. | [M-ABC* -TMSOOCH]+ | [M-TMSOH-TMSOOCH]+ | [M-ABC*-70 mu]+ | [CH2OTMS]+ | |
|---|---|---|---|---|---|---|---|---|
| Hederagenin (1) | Oleane | 320+. | 368+. | 278+. (when y = 1) | 203+ | 480+. | 133+ | 103+ |
| Maslinic acid (3) | Oleane | 320+. | 368+. | 277+ (when + H) | 203+ | 481+ | 133+ | 103+ |
| Corosolic acid (4) | Ursane | 320+. | 368+. | 277+ (when + H) | 203+ | 480+. | 133+ | 103+ |
| Arjunolic acid (5) | Oleane | 320+. | 456+. | 276+. (when y = 2) | 203+ | 568+. | - | 103+ |
| Asiatic acid (6) | Ursane | 320+. | 456+. | 276+. (when y = 2) | 203+ | - | - | 103+ |
| Caulophyllogenin (7) | Oleane | 318+. | 456+. | 275+ (when y = 2) | 201+ | 568+. | 131+ | 103+ |
| Madecassic acid (8) | Ursane | 320+. | 545+ | - | 203+ | 567+ | 133+ | 103+ |
References
- Ludwiczuk, A.; Skalicka-Woźniak, K.; Georgiev, M.I. Terpenoids. In Pharmacognosy; Chapter 11; Academic Press: Cambridge, MA, USA, 2017; pp. 233–266. [Google Scholar] [CrossRef]
- Zwenger, S.; Basu, C. Plant terpenoids: Applications and future potentials. Biotechnol. Mol. Biol. Rev. 2008, 3, 1–7. [Google Scholar]
- Keeling, C.; Bohlmann, J. Genes, enzymes, and chemicals of terpenoid diversity in the constitutive and induced defense of conifers against insects and pathogen. New Phytol. 2006, 170, 657–675. [Google Scholar] [CrossRef]
- Banerjee, S.; Bose, S.; Mandal, S.C.; Dawn, S.; Sahoo, U.; Ramadan, M.A.; Mandal, S.K. Pharmacological Property of Pentacyclic Triterpenoids. Egypt. J. Chem. 2019, 62, 13–35. [Google Scholar] [CrossRef]
- Domingues, R.M.A.; Guerra, A.R.; Duarte, M.; Freire, C.S.R.; Neto, C.P.; Silva, C.M.S.S.; Silvestre, A.J.D. Bioactive triterpenic acids: From agroforestry biomass residues to promising therapeutic tools. Mini Rev. Org. Chem. 2014, 11, 382–399. [Google Scholar] [CrossRef]
- Patlolla, J.M.R.; Rao, C.V. Triterpenoids for cancer prevention and treatment: Current status and future prospects. Curr. Pharm. Biotechnol. 2012, 13, 147–155. [Google Scholar] [CrossRef]
- Bishayee, A.; Ahmed, S.; Brankov, N.; Perloff, M. Triterpenoids as potential agents for the chemoprevention and therapy of breast cancer. Front. Biosci. 2011, 16, 980–996. [Google Scholar] [CrossRef]
- Jäger, S.; Trojan, H.; Kopp, T.; Laszczk, M.N.; Scheffler, A. Pentacyclic triterpene distribution in various plants—Rich sources for a new group of multi-potent plant extracts. Molecules 2009, 14, 2016–2031. [Google Scholar] [CrossRef]
- Antonio, A.S.; Wiedemann, L.S.M.; Veiga-Junior, V.F. Natural product’s role against COVID-19. RSC Adv. 2020, 10, 23379. [Google Scholar] [CrossRef]
- Pereira, H.; Miranda, I.; Gominho, J.; Tavares, F.; Quilhó, T.; Graça, J.; Rodrigues, J.; Shatalov, A.; Knapic, S. Qualidade Tecnológica do Eucalipto Eucalyptus Globulus; Centro de Estudos Florestais, Ed.; Instituto Superior de Agronomia, Universidade Técnica de Lisboa: Lisboa, Portugal, 2010. [Google Scholar]
- Neiva, D.; Fernandes, L.; Araújo, S.; Lourenço, A.; Gominho, J.; Pereira, H. Chemical composition and kraft pulping potential of 12 eucalypt species. Ind. Crop. Prod. 2015, 66, 89–95. [Google Scholar] [CrossRef]
- Lourenço, A.; Gominho, J.; Pereira, H. Pulping and delignification of sapwood and heartwood from Eucalyptus globulus. J. Pulp. Paper Sci. 2010, 36, 85–90. [Google Scholar]
- Gutiérrez, A.; del Río, J.C.; Gonzalez-Vila, F.J.; Martin, F. Chemical composition of lipophilic extractives from Eucalyptus globulus Labill. wood. Holzforschung 1999, 53, 481–486. [Google Scholar] [CrossRef]
- Rencoret, J.; Gutiérrez, A.; del Río, J.C. Lipid and lignin composition of woods from different eucalypt species. Holzforschung 2007, 61, 165–174. [Google Scholar] [CrossRef]
- Gominho, J.; Lourenço, A.; Marques, A.V.; Pereira, H. An extensive study on the chemical diversity of lipophilic extractives from Eucalyptus globulus wood. Phytochemistry 2020, 180, 112520. [Google Scholar] [CrossRef]
- Ferreira, J.P.A.; Miranda, I.; Pereira, H. Chemical composition of lipophilic extractives from six Eucalyptus bark. Wood Sci. Technol. 2018, 52, 1685–1699. [Google Scholar] [CrossRef]
- Fitzgerald, R.L.; O’Neal, C.L.; Hart, B.J.; Poklis, A.; Herold, D.A. Comparison of an Ion-Trap and a Quadrupole Mass Spectrometer using Diazepam as a Model Compound. J. Anal. Toxicol. 1997, 21, 445–450. [Google Scholar] [CrossRef][Green Version]
- Burnouf-Radosevich, M.; Delfel, N.E.; England, R. Gas chromatography-mass spectrometry of oleanane- and ursane-type of triterpenes—Application to Chenopodium quinoa triterpenes. Phytochemistry 1985, 24, 2063–2066. [Google Scholar] [CrossRef]
- Mathe, C.; Culioli, G.; Archier, P.; Vieillescazes, C. Characterization of archaeological frankincense by gas chromatography-mass spectrometry. J. Chromatogr. A 2004, 103, 277–285. [Google Scholar] [CrossRef] [PubMed]
- Diekman, E.; Djerassi, C. Mass Spectrometry in structural and Stereochemical Problems. CXXV. Mass Spectrometry of some Steroid Trimethylsilyl Ethers. J. Org. Chem. 1967, 32, 1005–1012. [Google Scholar] [CrossRef] [PubMed]
- Isidoro, V.A. GC-MS of Biologically and Environmentally Significant Organic Compounds: TMS Derivatives, 1st ed.; John Wiley & Sons Ltd.: London, UK, 2020; p. 706. ISBN 9781119611349. [Google Scholar]
- Wood, K.V.; Bonham, C.C.; Jenks, M.A. The effect of water on the ion trap analysis of trimethylsilyl derivatives of long-chain fatty acids and alcohols. Rapid Commun. Mass Spectrom. 2001, 15, 873–877. [Google Scholar] [CrossRef]
- Budzikiewicz, H.; Wilson, J.M.; Djerassi, C. Mass spectrometry in structural and stereochemical problems. XXXII. Pentacyclic triterpenes. J. Am. Chem. Soc. 1963, 85, 22–36. [Google Scholar] [CrossRef]
- Verardo, G.; Gorassini, A.; Fraternale, D. New triterpenic acids produced in callus culture from fruit pulp of Acca sellowiana (O. Berg) Burret. Food Res. Int. 2019, 119, 596–604. [Google Scholar] [CrossRef] [PubMed]
- Rodríguez-Hernández, D.; Demuner, A.J.; Barbosa, L.C.A.; Csuk, R.; Heller, L. Hederagenin as a triterpene template for the development of new antitumor compounds. Eur. J. Med. Chem. 2015, 105, 57–62. [Google Scholar] [CrossRef] [PubMed]
- Fang, Z.; Li, J.; Yang, R.; Fang, L.; Zhang, Y. A review: The triterpenoid saponins and biological activities of Lonicera Linn. Molecules 2020, 25, 3773. [Google Scholar] [CrossRef]
- Lozano-Mena, G.; Sánchez-González, M.; Juan, M.E.; Planas, J.M. Maslinic acid, a natural phytoalexin-type triterpene from olives—A promising nutraceutical? Molecules 2014, 19, 11538–11559. [Google Scholar] [CrossRef]
- Fernández-Navarro, M.; Peragón, J.; Esteban, F.J.; Amores, V.; Higuera, M.; Lupiánez, J.A. Chapter 157—Maslinic acid: A component of olive oil on growth and protein-turnover rates. In Olives and Olive Oil in Health and Disease Prevention; Academic Press: Cambridge, MA, USA, 2010; pp. 1415–1421. [Google Scholar] [CrossRef]
- Koduru, R.L.; Babu, P.S.; Varma, I.V.; Kalyani, G.G.; Nirmala, P. A review on Lagerstroemia speciosa. IJPSR 2017, 8, 4540–4545. [Google Scholar]
- Vijaykumar, K.; Murthy, P.B.; Kannababu, S.; Syamasundar, B.; Subbaraju, G.V. Quantitative determination of corosolic acid in Lagerstroemia speciose leaves, extracts and dosage forms. Int. J. Appl. Sci. Eng. 2006, 4, 103–114. [Google Scholar]
- Hemalatha, T.; Pulavendran, S.; Balachandran, C.; Manohar, B.M.; Puvanakrishan, R.P. Arjunolic acid: A novel phytomedicine with multifunctional therapeutic applications. Indian J. Exp. Biol. 2010, 48, 238–247. [Google Scholar]
- Seo, D.Y.; Lee, S.R.; Heo, J.-H.; No, M.-H.; Rhee, B.D.; Ko, K.S.; Kwak, H.-B. Ursolic acid in health and disease. Korean J. Physiol. Pharmacol. 2018, 22, 235–248. [Google Scholar] [CrossRef]
- Bonte, F.; Dumas, M.; Chaudagne, C.; Meybeck, A. Influence of asiatic acid, madecassic acid, and asiaticoside on human collagen I synthesis. Planta Med. 1994, 60, 133–135. [Google Scholar] [CrossRef]
- Ratz-Lyko, A.; Arct, J.; Pytkowska, K. Moisturizing and anti-inflammatory properties of cosmetic formulations containing Centella asiatica extract. Indian J. Pharm. Sci. 2016, 78, 27–33. [Google Scholar] [CrossRef]
- Strigina, L.I.; Chetyrina, N.S.; Isakov, V.V.; Dzizenko, A.K.; Elyakov, G.B. Structure of cauloside B—Glycoside of a new triterpenoid caulophyllogenin from Caulophyllum robustum. Chem. Nat. Compd. 1974, 10, 755–758. [Google Scholar] [CrossRef]
- Strigina, L.I.; Chetyrina, N.S.; Isakov, V.V.; Dzizenko, A.K.; Elyakov, G.B. Caulophyllogenin: A novel triterpenoid from roots of Caulophyllum robustum. Phytochemistry 1974, 13, 479–480. [Google Scholar] [CrossRef]
- Becchi, M.; Bruneteau, M.; Trouilloud, M.; Combier, H.; Pontanier, H.; Michel, G. Structure de la chrysantelline B, nouvelle saponine isolée de Crhysanthellum procumbens Rich. Eur. J. Biochem. 1980, 108, 271–277. [Google Scholar] [CrossRef] [PubMed]
- Acton, A.Q. Pentacyclic triterpenes. In Triterpenes—Advances in Research and Application; Scholarly Editions: Atlanta, GA, USA, 2013; ISBN 978-1-481-69310-3. [Google Scholar]
- Ibrahim, H.A.; Elgindi, M.R.; Ibrahim, R.R.; El-Hosari, D.G. Antibacterial activities of triterpenoidal compounds isolated from Calothamnus quadrifidus leaves. Complement. Altern. Med. 2019, 19, 102. [Google Scholar] [CrossRef] [PubMed]
- Domingues, R.M.A.; Sousa, G.D.A.; Freire, C.S.R.; Silvestre, A.J.D.; Neto, C.P. Eucalyptus globulus biomass residues from pulping industry as a source of high value triterpenic compounds. Ind. Crop. Prod. 2010, 31, 65–70. [Google Scholar] [CrossRef]










| Compound | Skeleton | R1 | R2 | R3 | R4 | R5 | R6 | MW | MW TMS |
|---|---|---|---|---|---|---|---|---|---|
| Hederagenin (1) | A | H | CH2OTMS | CH3 | H | H | H | 472 | 688 |
| (4α)-23-hydroxybetulinic acid (2) | B | H | CH2OTMS | - | - | - | - | 472 | 688 |
| Maslinic acid (3) | A | OTMS | CH3 | CH3 | H | H | H | 472 | 688 |
| Corosolic acid (4) | A | OTMS | CH3 | H | CH3 | H | H | 472 | 688 |
| Arjunolic acid (5) | A | OTMS | CH2OTMS | CH3 | H | H | H | 488 | 776 |
| Asiatic acid (6) | A | OTMS | CH2OTMS | H | CH3 | H | H | 488 | 776 |
| Caulophyllogenin (7) | A | H | CH2OTMS | CH3 | H | OTMS | H | 488 | 776 |
| Madecassic acid (8) | A | OTMS | CH2OTMS | H | CH3 | H | OTMS | 504 | 864 |
Publisher’s Note: MDPI stays neutral with regard to jurisdictional claims in published maps and institutional affiliations. |
© 2021 by the authors. Licensee MDPI, Basel, Switzerland. This article is an open access article distributed under the terms and conditions of the Creative Commons Attribution (CC BY) license (https://creativecommons.org/licenses/by/4.0/).
Share and Cite
Lourenço, A.; Marques, A.V.; Gominho, J. The Identification of New Triterpenoids in Eucalyptus globulus Wood. Molecules 2021, 26, 3495. https://doi.org/10.3390/molecules26123495
Lourenço A, Marques AV, Gominho J. The Identification of New Triterpenoids in Eucalyptus globulus Wood. Molecules. 2021; 26(12):3495. https://doi.org/10.3390/molecules26123495
Chicago/Turabian StyleLourenço, Ana, António Velez Marques, and Jorge Gominho. 2021. "The Identification of New Triterpenoids in Eucalyptus globulus Wood" Molecules 26, no. 12: 3495. https://doi.org/10.3390/molecules26123495
APA StyleLourenço, A., Marques, A. V., & Gominho, J. (2021). The Identification of New Triterpenoids in Eucalyptus globulus Wood. Molecules, 26(12), 3495. https://doi.org/10.3390/molecules26123495

