Characteristics of the Molecular Weight of Polyhexamethylene Guanidine (PHMG) Used as a Household Humidifier Disinfectant
Abstract
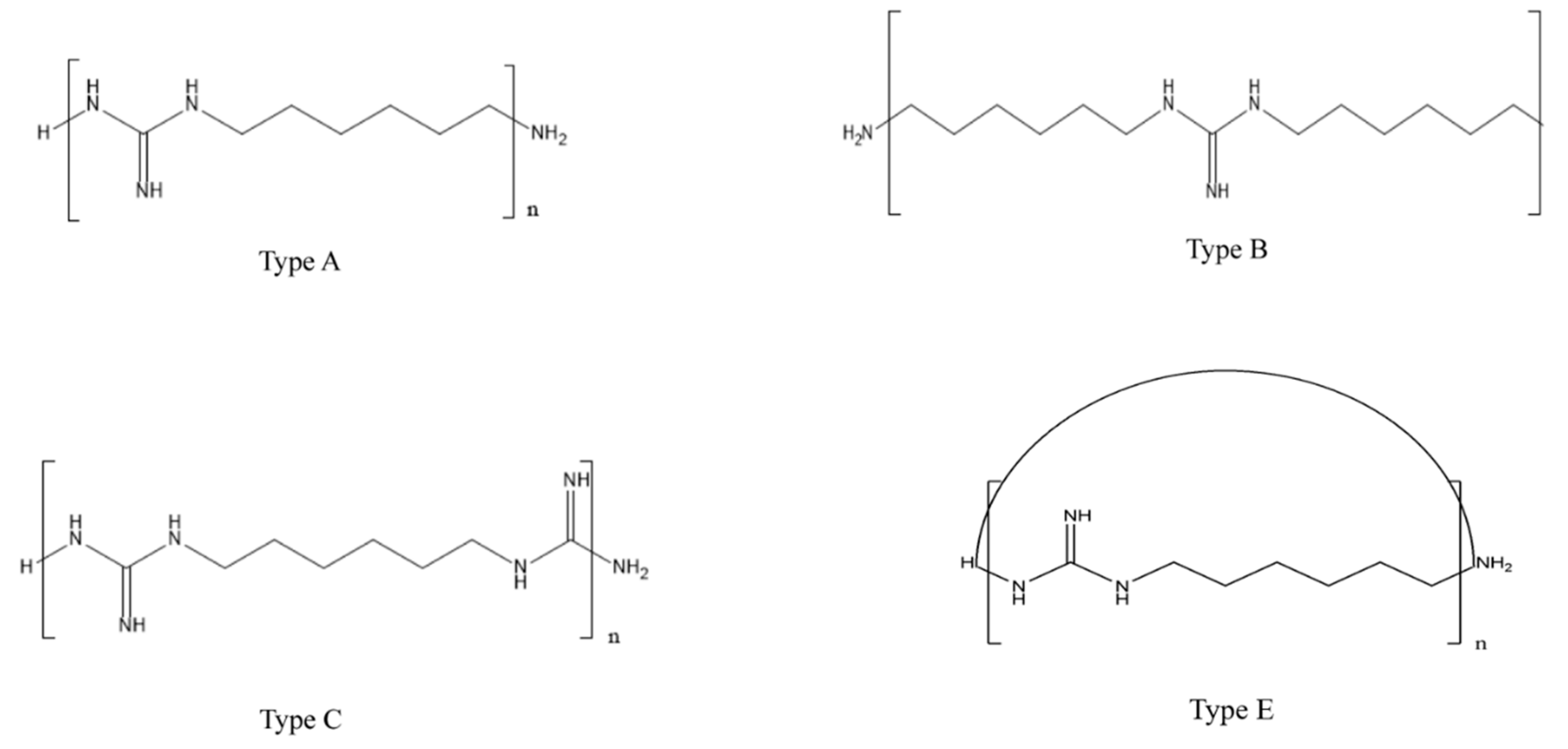
1. Introduction
2. Results
3. Discussion
4. Materials and Methods
4.1. Collection of Humidifier Disinfectant (HD) Samples
4.2. MALDI-TOF Mass Spectrometry for the Determination of PHMG Molecular Weight
5. Conclusions
Author Contributions
Funding
Conflicts of Interest
Sample Availability
References
- Yang, H.-J.; Kim, H.-J.; Yu, J.; Lee, E.; Jung, Y.-H.; Kim, H.-Y.; Seo, J.-H.; Kwon, G.-Y.; Park, J.-H.; Gwack, J.; et al. Inhalation Toxicity of Humidifier Disinfectants as a Risk Factor of Children’s Interstitial Lung Disease in Korea: A Case-Control Study. PLoS ONE 2013, 8, e64430. [Google Scholar] [CrossRef] [PubMed]
- Kim, K.W.; Ahn, K.; Yang, H.J.; Lee, S.Y.; Park, J.D.; Kim, W.K.; Kim, J.-T.; Kim, H.H.; Rha, Y.H.; Park, Y.M.; et al. Humidifier Disinfectant-Associated Children’s Interstitial Lung Disease. Am. J. Respir. Crit. Care Med. 2013, 189, 48–56. [Google Scholar] [CrossRef] [PubMed]
- Kim, H.J.; Lee, M.-S.; Hong, S.-B.; Huh, J.W.; Do, K.-H.; Jang, S.J.; Lim, C.-M.; Chae, E.J.; Lee, H.; Jung, M.; et al. A cluster of lung injury cases associated with home humidifier use: An epidemiological investigation. Thorax 2014, 69, 703–708. [Google Scholar] [CrossRef] [PubMed]
- Lee, S.-Y.; Ahn, H.-S.; Kim, E.M.; Kim, K.K.; Kang, M.-J.; Park, M.J.; Cho, H.-J.; Lee, E.; Jung, S.; Yoon, J.; et al. Different Characteristics of Childhood Asthma Related to Polyhexamethylene Guanidine Hydrochloride (PHMG) Exposure. Ann. Am. Thorac. Soc. 2021. [Google Scholar] [CrossRef] [PubMed]
- Ryu, S.; Park, D.; Lee, E.; Park, S.; Lee, S.; Jung, S.; Hong, S.; Park, J.; Hong, S. Humidifier disinfectant and use characteristics associated with lung injury in Korea. Indoor Air 2019, 29, 735–747. [Google Scholar] [CrossRef] [PubMed]
- Worley, S.; Sun, G. Biocidal polymers. Trends Polym. Sci. 1996, 11, 364–370. [Google Scholar]
- Ascenzi, J.M. Handbook of Disinfectants and Antiseptics; CRC Press: Boca Raton, FL, USA, 1995. [Google Scholar]
- Tashiro, T. Antibacterial and bacterium adsorbing macromolecules. Macromol. Mater. Eng. 2001, 286, 63–87. [Google Scholar] [CrossRef]
- Park, D.-U.; Park, J.; Yang, K.W.; Park, J.-H.; Kwon, J.-H.; Oh, H.B. Properties of Polyhexamethylene Guanidine (PHMG) Associated with Fatal Lung Injury in Korea. Molecules 2020, 25, 3301. [Google Scholar] [CrossRef] [PubMed]
- Oulé, M.K.; Azinwi, R.; Bernier, A.-M.; Kablan, T.; Maupertuis, A.-M.; Mauler, S.; Nevry, R.K.; Dembélé, K.; Forbes, L.; Diop, L. Polyhexamethylene guanidine hydrochloride-based disinfectant: A novel tool to fight meticillin-resistant Staphylococcus aureus and nosocomial infections. J. Med. Microbiol. 2008, 57, 1523–1528. [Google Scholar] [CrossRef] [PubMed]
- Messick, C.R.; Pendland, S.L.; Moshirfar, M.; Fiscella, R.G.; Losnedahl, K.J.; Schriever, C.A.; Schreckenberger, P.C. In-vitro activity of polyhexamethylene biguanide (PHMB) against fungal isolates associated with infective keratitis. J. Antimicrob. Chemother. 1999, 44, 297–298. [Google Scholar] [CrossRef] [PubMed]
- NIER. Response to Investigation into Health Effect by Humidifier Disinfectant; National Institute Environment Reseacrh (NIER): Incheon, Korea, 2019. (In Korean)
- Liu, X.M.; Maziarz, E.P.; Heiler, D.J.; Grobe, G.L. Comparative studies of poly(dimethyl siloxanes) using automated GPC-MALDI-TOF MS and on-line GPC-ESI-TOF MS. J. Am. Soc. Mass Spectrom. 2003, 14, 195–202. [Google Scholar] [CrossRef][Green Version]
- NICNAS. File No LTD/ 1021: Full Public Report: Polyhexamethyleneguanidine Phosphate; National Industrial Chemicals Notification and Assessment Scheme (NICNAS): Sydney, NSW, Australia, 2003.
- SCECTHD. Analysis of Components of Disinfectant Contained in Humidifier Disinfectant Products; Special Committee for Examining the Cause of Tragedy caused by Humidifier Disinfectant (SCECTHD): Seoul, Korea, 2020. (In Korean) [Google Scholar]
- Wei, D.; Ma, Q.; Guan, Y.; Hu, F.; Zheng, A.; Zhang, X.; Teng, Z.; Jiang, H. Structural characterization and antibacterial activity of oligoguanidine (polyhexamethylene guanidine hydrochloride). Mater. Sci. Eng. C 2009, 29, 1776–1780. [Google Scholar] [CrossRef]
- Park, D.-U.; Ryu, S.-H.; Roh, H.-S.; Lee, E.; Cho, H.-J.; Yoon, J.; Lee, S.-Y.; Cho, Y.A.; Do, K.-H.; Hong, S.-J. Association of high-level humidifier disinfectant exposure with lung injury in preschool children. Sci. Total Environ. 2018, 616–617, 855–862. [Google Scholar] [CrossRef] [PubMed]
- KCDC. Aerosolization of Humidifier Disinfectant; Korea Center for Disease Contorl & Prevention: Osong-eup, Korea, 2011; pp. 831–832. (In Korean)
- KCDC. Analytical Results of the Chemical Components of Various Humidifier Disinfectant Brands from KCDC’s Parliamentary Inspection; Korean Centers for Disease Control and Prevention: Osong-eup, Korea, 2011. (In Korean)
- Park, D.-U. Analysis of Chemicals Dissolved in Humidifier; Special Investigation Commission on Social Disasters: Seoul, Korea, 2021. (In Korean) [Google Scholar]
- Zhou, Z.; Wei, D.; Guan, Y.; Zheng, A.; Zhong, J. Damage of Escherichia coli membrane by bactericidal agent polyhexamethylene guanidine hydrochloride: Micrographic evidences. J. Appl. Microbiol. 2010, 108, 898–907. [Google Scholar] [CrossRef] [PubMed]
- Toni, A.D.; Saïdi, N.; Santos, L.R.; Mudgal, S. Technical Assistance Related to the Review of REACH with Regard to the Registration Requirements on Polymers; Final Report Prepared for the European Commission (DG ENV), in Collaboration with PIEP; European Commission–DG ENV: Brussels, Belgium, 2015. [Google Scholar]
- MOE. Act on Registration, Evaluaion, etc. of Chemicals. Act No. 15844; K-REACH, Ministry of Environment: Seocho-gu, Seoul, Korea, 2019.
- ChemSafetyPro. Comparison of Global Polymer Registration Requirements. Available online: https://www.chemsafetypro.com/Topics/Review/polymer_registration_in_EU_USA_China_Japan_Korea_Taiwan_Philippines.html (accessed on 5 May 2021).
- Zhu, X.; Kong, X.; Ma, S.; Liu, R.; Li, X.; Gao, S.; Ren, D.; Zheng, Y.; Tang, J. TGFβ/Smad mediated the polyhexamethyleneguanide areosol-induced irreversible pulmonary fibrosis in subchronic inhalation exposure. Inhal. Toxicol. 2020, 32, 1–12. [Google Scholar] [CrossRef] [PubMed]
- Jeong, M.H.; Park, Y.J.; Kim, H.R.; Chung, K.H. Polyhexamethylene guanidine phosphate-induced upregulation of MUC5AC via activation of the TLR-p38 MAPK and JNK axis. Chem. Biol. Interact. 2019, 305, 119–126. [Google Scholar] [CrossRef] [PubMed]
- Kim, H.R.; Lee, K.; Park, C.W.; Song, J.A.; Shin, D.Y.; Park, Y.J.; Chung, K.H. Polyhexamethylene guanidine phosphate aerosol particles induce pulmonary inflammatory and fibrotic responses. Arch. Toxicol. 2015, 90, 617–632. [Google Scholar] [CrossRef] [PubMed]
- Park, D.-U.; Friesen, M.C.; Roh, H.-S.; Choi, Y.-Y.; Ahn, J.-J.; Lim, H.-K.; Kim, S.-K.; Koh, D.-H.; Jung, H.-J.; Lee, J.-H.; et al. Estimating retrospective exposure of household humidifier disinfectants. Indoor Air 2014, 25, 631–640. [Google Scholar] [CrossRef] [PubMed]
- Park, D.-U.; Choi, Y.-Y.; Ahn, J.-J.; Lim, H.-K.; Kim, S.-K.; Roh, H.-S.; Cheong, H.-K.; Leem, J.-H.; Koh, D.-H.; Jung, H.-J.; et al. Relationship between Exposure to Household Humidifier Disinfectants and Risk of Lung Injury: A Family-Based Study. PLoS ONE 2015, 10, e0221322. [Google Scholar] [CrossRef] [PubMed]
- Bae, J.-E.; Park, M.; Lee, J.-M.; Song, I.; Ju, Y.; Lee, C.S.; Kwon, J.-H.; Moon, B.; Bin Oh, H. Quantitative MALDI-TOF mass spectrometric analysis of biocidal polyhexamethylene guanidine (PHMG) oligomers in consumer products. Int. J. Mass Spectrom. 2019, 435, 298–304. [Google Scholar] [CrossRef]


| Name of HD 3 Brand | Number of Samples 4 | Number-Average MW (Mn, g/mol) | Weight-Average MW (Mw, g/mol) | Level of Polymerization | |||||||||
|---|---|---|---|---|---|---|---|---|---|---|---|---|---|
| Mean | SD 5 | Min. | Max. | Mean | SD | Min. | Max. | Mean | SD | Min. | Max. | ||
| Oxy | 4 | 514.2 | 32.9 | 465.0 | 532.7 | 534.3 | 22.2 | 501.0 | 547.0 | 3.4 | 0.8 | 2.3 | 3.8 |
| Clean Land | 1 | 422.0 | NA 6 | 422.0 | 422.0 | 441.0 | NA | 441.0 | 441.0 | 2.1 | NA | 2.1 | 2.1 |
| Vegetable Home Cleanup | 8 | 523.3 | 30.5 | 483.0 | 587 | 540.0 | 36.4 | 483.0 | 612..0 | 3.1 | 0.9 | 1.0 | 3.7 |
| Cefu | 3 | 501.3 | 25.4 | 472.0 | 517.7 | 521.7 | 11.8 | 508.0 | 529.0 | 3.2 | 0.8 | 2.3 | 3.7 |
| Atorganic | 2 | 475.0 | 101.8 | 403.0 | 546.9 | 493.0 | 97.6 | 424.0 | 562.0 | 3.9 | 1.4 | 2.0 | 3.9 |
| Oxy Saksak | 102 | 552.0 | 65.8 | 435.0 | 692.2 | 569.8 | 61.4 | 460.0 | 714.7 | 2.9 | 1.2 | 1.0 | 4.0 |
| Lotte Wiselect | 9 | 547.8 | 63.5 | 475.0 | 673.4 | 566.1 | 54.3 | 511.0 | 682.7 | 2.8 | 1.2 | 1.0 | 3.9 |
| Homeplus | 8 | 491.8 | 41.4 | 444.0 | 532.7 | 518.6 | 30.6 | 475.0 | 549.0 | 3.0 | 0.8 | 2.2 | 3.8 |
| p-value 7 | 0.07 | 0.08 | 0.96 | ||||||||||
| Total | 137 | 542.4 | 64.6 | 403.0 | 692.2 | 560.7 | 59.9 | 424.0 | 714.7 | 2.9 | 1.1 | 1.0 | 4.0 |
| Name of HD 2 Brand | Number of Samples 3 | Molecular Weight (MW, g/mol), % | |||||||
|---|---|---|---|---|---|---|---|---|---|
| 400–500 | 500–600 | 600–700 | 700–800 | 800–900 | 900–1000 | >1000 | Total | ||
| SKYBIO 1125 4 | 2 | 7.36 | 4.57 | 18.64 | 37.74 | 24.89 | 6.01 | 0.82 | 100 |
| Oxy | 7 | 18.40 | 8.92 | 25.40 | 34.65 | 6.78 | 5.36 | 0.50 | 100 |
| Clean Land | 1 | 53.32 | 29.05 | 11.02 | 6.62 | 0.00 | 0.00 | 0.00 | 100 |
| Vegetable Home Cleanup | 10 | 33.41 | 16.90 | 26.70 | 19.03 | 1.24 | 2.65 | 0.07 | 100 |
| Cefu | 6 | 24.09 | 11.50 | 26.01 | 32.32 | 2.20 | 3.63 | 0.24 | 100 |
| Atorganic | 4 | 52.46 | 7.80 | 21.47 | 18.27 | 0.00 | 0.00 | 0.00 | 100 |
| Oxy Saksak | 90 | 33.93 | 18.42 | 14.50 | 22.73 | 7.54 | 1.95 | 0.93 | 100 |
| Lotte Wiselect | 12 | 22.06 | 19.16 | 14.43 | 29.64 | 13.54 | 0.85 | 0.33 | 100 |
| Homeplus | 9 | 24.76 | 16.89 | 15.50 | 25.62 | 9.78 | 4.61 | 2.84 | 100 |
| Total (average) | 141 | 29.98 | 14.80 | 19.30 | 25.18 | 7.33 | 2.78 | 0.64 | 100 |
Publisher’s Note: MDPI stays neutral with regard to jurisdictional claims in published maps and institutional affiliations. |
© 2021 by the authors. Licensee MDPI, Basel, Switzerland. This article is an open access article distributed under the terms and conditions of the Creative Commons Attribution (CC BY) license (https://creativecommons.org/licenses/by/4.0/).
Share and Cite
Park, D.-U.; Yang, K.W.; Kim, J.; Park, J.-H.; Lee, S.-Y.; Zoh, K.E.; Kwon, J.-H.; Park, S.; Oh, H.B. Characteristics of the Molecular Weight of Polyhexamethylene Guanidine (PHMG) Used as a Household Humidifier Disinfectant. Molecules 2021, 26, 4490. https://doi.org/10.3390/molecules26154490
Park D-U, Yang KW, Kim J, Park J-H, Lee S-Y, Zoh KE, Kwon J-H, Park S, Oh HB. Characteristics of the Molecular Weight of Polyhexamethylene Guanidine (PHMG) Used as a Household Humidifier Disinfectant. Molecules. 2021; 26(15):4490. https://doi.org/10.3390/molecules26154490
Chicago/Turabian StylePark, Dong-Uk, Kee Won Yang, Jiwon Kim, Ju-Hyun Park, So-Yeon Lee, Kyung Ehi Zoh, Jung-Hwan Kwon, Soyoung Park, and Han Bin Oh. 2021. "Characteristics of the Molecular Weight of Polyhexamethylene Guanidine (PHMG) Used as a Household Humidifier Disinfectant" Molecules 26, no. 15: 4490. https://doi.org/10.3390/molecules26154490
APA StylePark, D.-U., Yang, K. W., Kim, J., Park, J.-H., Lee, S.-Y., Zoh, K. E., Kwon, J.-H., Park, S., & Oh, H. B. (2021). Characteristics of the Molecular Weight of Polyhexamethylene Guanidine (PHMG) Used as a Household Humidifier Disinfectant. Molecules, 26(15), 4490. https://doi.org/10.3390/molecules26154490

