Comprehensive Insight into Chemical Stability of Important Antidiabetic Drug Vildagliptin Using Chromatography (LC-UV and UHPLC-DAD-MS) and Spectroscopy (Mid-IR and NIR with PCA)
Abstract
:1. Introduction
2. Results and Discussion
2.1. Optimization and Validation of LC-UV Method for Quantitative Measurements of Vildagliptin
2.2. Degradation of Vildagliptin in Solutions and Degradation Kinetics
2.3. Identification of Vildagliptin Degradation Products by UHPLC-DAD-MS
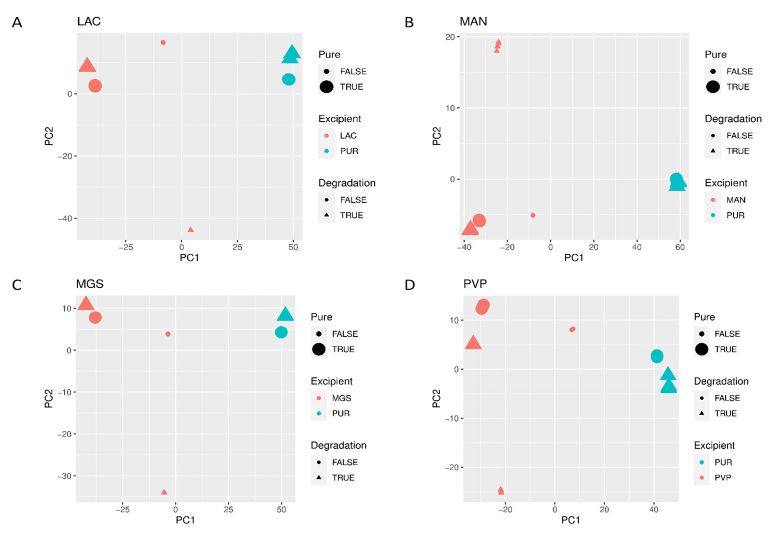
2.4. Stability of Vildagliptin in the Presence of Excipients
2.4.1. Vildagliptin and LAC
2.4.2. Vildagliptin and MAN
2.4.3. Vildagliptin and MGS
2.4.4. Vildagliptin and PVP
3. Materials and Methods
3.1. Reagents and Chemicals
3.2. Stability of Vildagliptin in Solutions
3.2.1. Accelerated Degradation
3.2.2. Kinetics
3.3. LC-UV Method for Quantitative Measurements
Chromatographic Conditions
3.4. Analysis of Stressed Samples by LC-UV Method
3.5. UHPLC-DAD-MS Analysis
3.6. Stability of Vildagliptin in the Presence of Excipients
4. Conclusions
Supplementary Materials
Author Contributions
Funding
Institutional Review Board Statement
Informed Consent Statement
Data Availability Statement
Conflicts of Interest
Sample Availability
References
- Bloomgarden, Z. Diabetes treatment: The coming paradigm shift. J. Diabetes 2012, 4, 315–317. [Google Scholar] [CrossRef]
- Pate, A.I.; Shabad Khan, L. A review: Dipeptidylpeptidase-4 inhibitors (gliptins). World J. Pharm. Res. 2017, 6, 229–258. [Google Scholar]
- Kushwaha, R.N.; Hag, W. Sixteen-years of clinically relevant dipeptidyl peptidase-IV (DPP-IV) inhibitors for treatment of type-2 diabetes: A perspective. Curr. Med. Chem. 2014, 21, 4013–4045. [Google Scholar] [CrossRef] [PubMed]
- Boovizhikannan, T.; Palanirajan, V.K. RP-HPLC determination of vildagliptin in pure and in tablet formulation. J. Pharm. Res. 2013, 7, 113–116. [Google Scholar] [CrossRef]
- Kashid, A.M.; Ghorpade, D.A.; Toranmal, P.P.; Dhawale, S.C. Development and validation of reversed phase HPLC method for the determination of vildagliptin using an experimental design. J. Anal. Chem. 2015, 70, 510–515. [Google Scholar] [CrossRef]
- Sakthimanigandan, K.; Ganesh, M.; Kanthikiran, V.S.; Sivakumar, T.; Jang, H.T. Liquid chromatography tandem mass spectrometry (LC-MS/MS) method for the determination of vildagliptin in rat plasma. Acta Chromatogr. 2015, 27, 295–307. [Google Scholar] [CrossRef] [Green Version]
- Pharne, A.B.; Santhakumari, B.; Ghemud, A.S.; Jain, H.K.; Kulkarni, M.J. Bioanalytical method development and validation of vildagliptin a novel dipeptidyl peptidase IV inhibitor by RP-HPLC method. Int. J. Pharm. Pharm. Sci. 2012, 4, 119–123. [Google Scholar]
- Uber, C.P.; Pontes, F.L.D.; Gasparetto, J.C.; Francisco, T.M.G.; Piantavini, M.S.; Cardoso, M.A.; Pontarolo, R. HPLC-MS/MS method for simultaneous quantification of vildagliptin, metformin, and metformin-related compounds in tablets. Int. J. Pharm. Pharm. Sci. 2014, 6, 203–207. [Google Scholar]
- Attimarad, M.; Nagaraja, S.H.; Aldhubaib, B.E.; Nair, A.; Venugopala, K.N. Simultaneous determination of metformin and three gliptins in pharmaceutical formulations using RP HPLC: Application to stability studies on linagliptin tablet formulation. Indian J. Pharm. Educ. Res. 2014, 48, 45–53. [Google Scholar] [CrossRef] [Green Version]
- Pednekar, S.; Lokhande, R.; Sutar, R.; Kolhal, S.; Surve, S.; Gudekar, S. Simultaneous determination of metformin, sitagliptin, saxagliptin, linagliptin and vildagliptin in multicomponent pharmaceutical preparations by RP-HPLC. Int. J. Pharm. Sci. Rev. Res. 2014, 28, 128–133. [Google Scholar]
- Shakoor, A.; Ahmed, M.; Adnan, A.; Hussain, R.; Hussain, S.; Rehman, K.; Rashid, A.; Mushtaq, M.; Batool, S. Determination of metformin and vildagliptin in solid dosage form and rabbit plasma by HPLC: An application to pharmacokinetic study. Lat. Am. J. Pharm. 2019, 38, 361–367. [Google Scholar]
- Al Bratty, M.; Alhazmi, H.A.; Javed, S.A.; Lalitha, K.G.; Asmari, M.; Wölker, J.; El Deeb, S. Development and validation of LC-MS/MS method for simultaneous determination of metformin and four gliptins in human plasma. Chromatographia 2017, 80, 891–899. [Google Scholar] [CrossRef]
- Kishore, K.R.B.; Sekhar, K.B.C.; Chinnala, K.M. Bioanalytical method development and validation for simultaneous estimation of vildagliptin and enalapril maleate in rabbit plasma (K2 EDTA) using RP-HPLC. Int. J. Pharm. Res. 2020, 12, 388–396. [Google Scholar]
- Attimarad, M.; Nagaraja, S.H.; Aldhubaib, B.E.; Al-Najjar, A. Development of a rapid reversed phase-high performance liquid chromatography method for simultaneous determination of metformin and vildagliptin in formulation and human plasma. J. Young Pharm. 2014, 6, 40–46. [Google Scholar] [CrossRef] [Green Version]
- Barden, A.T.; Salamon, B.; Schapoval, E.E.; Steppe, M. Stability-indicating RP-LC method for the determination of vildagliptindagliptin and mass spectrometry detection for a main degradation product. J. Chromatogr. Sci. 2012, 50, 426–432. [Google Scholar] [CrossRef] [PubMed]
- Satheeshkumar, N.; Pradeepkumar, M.; Shanthikumar, S.; Rao, V.J. Development of validated stability indicating assay method for simultaneous estimation of metformin hydrochloride and vildagliptin by RP-HPLC. Drug Res. 2014, 64, 124–129. [Google Scholar] [CrossRef] [PubMed] [Green Version]
- Chaphekar, M.M.; Hamrapurkar, P.D. Development and validation of RP-HPLC assay method for vildagliptin using QbD approach and its application to forced degradation studies. Int. J. Pharm. Sci. Drug Res. 2016, 8, 157–165. [Google Scholar] [CrossRef]
- Bajaj, S.; Singla, D. Stability testing of pharmaceutical products. J. Appl. Pharm. Sci. 2012, 2, 129–138. [Google Scholar]
- Sándor, G. The importance and the challenges of impurity profiling in modern pharmaceutical analysis. TrAC trend Anal. Chem. 2006, 25, 755–757. [Google Scholar]
- Arar, S.; Al-Qudah, E.; Alzweiri, M.; Sweidan, K. New forced degradation products of vildagliptin: Identification and structural elucidation using LC-MS, with proposed formation mechanisms. J. Liq. Chromatogr. Relat. Technol. 2020, 43, 633–644. [Google Scholar] [CrossRef]
- Kumar, N.; Devineni, S.R.; Singh, G.; Kadirappa, A.; Dubey, S.K.; Kumar, P. Identification, isolation and characterization of potential process-related impurity and its degradation product in vildagliptin. J. Pharm. Biomed. Anal. 2016, 119, 114–121. [Google Scholar] [CrossRef]
- Al-Sabti, B.; Harbali, J. Development and validation of an analytical method for quantitative determination of three potentially genotoxic impurities in vildagliptin drug material using HPLC-MS. J. Sep. Sci. 2021, 44, 2587–2595. [Google Scholar] [CrossRef]
- Challener, C.A. Managing excipient interactions. PharmTech. 2019, 43, 20–23. [Google Scholar]
- Hotha, K.K.; Roychowdhury, S.; Subramanian, V. Drug-excipient interactions: Case studies and overview of drug degradation pathways. Am. J. Anal. Chem. 2016, 7, 107–140. [Google Scholar] [CrossRef] [Green Version]
- Gumieniczek, A.; Berecka, A.; Mroczek, T.; Wojtanowski, K.; Dąbrowska, K.; Stępień, K. Determination of chemical stability of sitagliptin by LC-UV, LC-MS and FT-IR methods. J. Pharm. Biomed. Anal. 2019, 164, 789–807. [Google Scholar] [CrossRef]
- Sravani, K.; Priyanka, D.; Sravani, R.; Srinivas Reddy, K.; Vinay Kumar, D. Formulation and evaluation of vildagliptin sustained release matrix tablets. Int. J. Curr. Pharm. Res. 2014, 6, 69–75. [Google Scholar]
- Villhauer, E.B.; Brinkman, J.A.; Naderi, G.B.; Burkey, B.F.; Dunning, B.E.; Prasad, K.; Mangold, B.L.; Russell, M.E.; Hughes, T.E. 1-[[(3-hydroxy-1-adamantanyl)amino]acetyl]-2-cyjano-(S)-pyrrolidine; a potent, selective and orally available dipeptidyl peptidase IV inhibitor with antihyperglycemic properties. J. Med. Chem. 2003, 46, 2774–2789. [Google Scholar] [CrossRef] [PubMed]
- Dipak, D.P. and Chandragouda, R.P. Modification of pharmacological activity of nebivolol due to Maillard reaction. Pharm. Dev. Technol. 2013, 18, 844–851. [Google Scholar]



















| Parameter | Results |
|---|---|
| Linearity range (µg/mL) | 40–190 |
| Slope (n = 6) | 0.00618 |
| SD of the slope | 0.000075 |
| Intercept (n = 6) | 0.02613 |
| SD of the intercept | 0.005617 |
| R2 (n = 6) | 0.9997 |
| SD of the R2 | 0.00013 |
| LOD (µg/mL) | 2.99 |
| LOQ (µg/mL) | 9.09 |
| Accuracy (% Recovery) (n = 6) | 99.86 |
| SD of the Recovery | 1.36 |
| Intra-day precision (% RSD) (n = 3) | 0.26–0.55 |
| Inter-day precision (% RSD) (n = 9) | 0.64–1.46 |
| Stress Conditions | Degradation after 240 min [%] | Linear Equation y = ax + b | R2 | k [s−1] | t0.5 [h] |
|---|---|---|---|---|---|
| 23 °C | |||||
| 1M HCl | 59.28 | y = −0.0045x + 4.7194 | 0.9882 | 1.73 × 10−4 | 1.11 |
| 1M NaOH | 84.33 | y = −0.0081x + 4.7577 | 0.9907 | 3.11 × 10−4 | 0.62 |
| 3% H2O2 | 87.04 * | y = −0.0124x + 4.8789 | 0.9887 | 4.49 × 10−4 | 0.40 |
| 70 °C | |||||
| 1M HCl | 84.78 ** | y = −0.007x + 4.2775 | 0.9687 | 2.69 × 10−4 | 0.72 |
| 1M NaOH | 100 | - | - | - | - |
| 3% H2O2 | 100 | - | - | - | - |
| Compound/Stress Conditions | Structures of Related Substance | [M + H]+ m/z | [Ref.] |
|---|---|---|---|
| IMP A | ![]() | - | [27] |
| IMP B 1M NaOH, 3% H2O2 | ![]() | 322.1 | [20,27] |
| IMP C | ![]() | - | [27] |
| IMP D | ![]() | - | [27] |
| IMP E | ![]() | - | [21] |
| IMP F | ![]() | - | [21] |
| DP 1 0.1M NaOH, 0.3% H2O2 | ![]() | 154 | [15] |
| DP 2 1M HCl | ![]() | 304.0 | [20] |
| DP 3 0.1M NaOH | ![]() | 338.2 | [20] |
| DP 4 1M NaOH | ![]() | 323.6 | [20] |
| DP 5 3% H2O2 | ![]() | 241.0 | [20] |
| DP 6 3% H2O2 | ![]() | 184.3 | [20] |
| Degradant/Stress Conditions | Structures and Chemical Names | [M + H]+ m/z |
|---|---|---|
| Compound A 1M HCl, 1M NaOH | ![]() | 226 |
| [(3-hydroxytricyclo[3.3.1.13,7]decan-1-yl)amino] acetic acid | ||
| Compound B = IMP B 1M HCl, 1M NaOH, 3% H2O2 | ![]() | 322 |
| 1-{[(3-hydroxytricyclo[3.3.1.13,7]decan-1-yl)amino] acetyl} pyrrolidine-2-carboxamide | ||
| Compound C 1M HCl, 1M NaOH | ![]() | 323 |
| 1-{[(3-hydroxytricyclo[3.3.1.13,7]decan-1-yl)amino] acetyl} pyrrolidine-2-carboxylic acid | ||
| Compound D 1M HCl, 1M NaOH | ![]() | 337 |
| 2-O-methyl 1-{[(3-hydroxytricyclo[3.3.1.13,7]decan-1-yl)amino] acetyl} pyrrolidine-2-carboxylate |
| Compound | tR [min] | UV/VIS [nm] | [M + H]+ m/z | MS2 Ions |
|---|---|---|---|---|
| A | 1.3 | 214 | 226 | 159b |
| B | 7.6 | 212 | 322 | 304b, 172, 155 |
| C | 8.7 | 212 | 323 | 306, 173b, 116 |
| Vildagliptin | 8.9 | 214 | 304 | 154b, 97 |
| D | 9.9 | 214 | 337 | 319, 187b, 130 |
| Imp 1 | 12.0 | 215 | 340 | 322b, 209 |
| Imp 2 | 13.6 | 216 | 453 | 435b, 322, 209 |
| Imp 3 | 14.7 | 216 | 566 | 548b, 435, 322, 209 |
| Wavenumber [cm−1] | Vibrations | ||||
|---|---|---|---|---|---|
| Vildagliptin | LAC | MAN | MGS | PVP | |
| 3100–3500 | O-H stretching | ||||
| 3200–3300 | O-H stretching | ||||
| 3294 | O-H stretching | ||||
| 3294 | N-H stretching | ||||
| 2954 | C-H stretching | ||||
| 2910 | C-H stretching | C-H stretching | |||
| 2900 | C-H stretching | C-H stretching | |||
| 2850 | C-H stretching | ||||
| 1658 | C=O stretching | ||||
| 1650 | C=O stretching | ||||
| 1577 | C=O stretching (COOH) | ||||
| 1505 | C-H stretching | ||||
| 1495 | N-H bending | ||||
| 1450 | C-H bending | ||||
| 1410 | C-H bending | ||||
| 1400 | C-C stretching | ||||
| 1300 | C-H bending | ||||
| 1250 | C-O stretching | ||||
| 1155 | C-O stretching | ||||
| 1090 | C-O stretching | ||||
| 1040 | C-O stretching | ||||
| 1010 | C-O stretching | ||||
| 1000 | C-O stretching |
Publisher’s Note: MDPI stays neutral with regard to jurisdictional claims in published maps and institutional affiliations. |
© 2021 by the authors. Licensee MDPI, Basel, Switzerland. This article is an open access article distributed under the terms and conditions of the Creative Commons Attribution (CC BY) license (https://creativecommons.org/licenses/by/4.0/).
Share and Cite
Gumieniczek, A.; Berecka-Rycerz, A.; Fornal, E.; Żyżyńska-Granica, B.; Granica, S. Comprehensive Insight into Chemical Stability of Important Antidiabetic Drug Vildagliptin Using Chromatography (LC-UV and UHPLC-DAD-MS) and Spectroscopy (Mid-IR and NIR with PCA). Molecules 2021, 26, 5632. https://doi.org/10.3390/molecules26185632
Gumieniczek A, Berecka-Rycerz A, Fornal E, Żyżyńska-Granica B, Granica S. Comprehensive Insight into Chemical Stability of Important Antidiabetic Drug Vildagliptin Using Chromatography (LC-UV and UHPLC-DAD-MS) and Spectroscopy (Mid-IR and NIR with PCA). Molecules. 2021; 26(18):5632. https://doi.org/10.3390/molecules26185632
Chicago/Turabian StyleGumieniczek, Anna, Anna Berecka-Rycerz, Emilia Fornal, Barbara Żyżyńska-Granica, and Sebastian Granica. 2021. "Comprehensive Insight into Chemical Stability of Important Antidiabetic Drug Vildagliptin Using Chromatography (LC-UV and UHPLC-DAD-MS) and Spectroscopy (Mid-IR and NIR with PCA)" Molecules 26, no. 18: 5632. https://doi.org/10.3390/molecules26185632
APA StyleGumieniczek, A., Berecka-Rycerz, A., Fornal, E., Żyżyńska-Granica, B., & Granica, S. (2021). Comprehensive Insight into Chemical Stability of Important Antidiabetic Drug Vildagliptin Using Chromatography (LC-UV and UHPLC-DAD-MS) and Spectroscopy (Mid-IR and NIR with PCA). Molecules, 26(18), 5632. https://doi.org/10.3390/molecules26185632

















