The Analysis of Pore Development and Formation of Surface Functional Groups in Bamboo-Based Activated Carbon during CO2 Activation
Abstract
:1. Introduction
2. Results and Discussion
2.1. Precursor Characterization
2.2. N2 Isotherms of the Prepared Activated Carbons
2.3. Porous Properties of the Prepared Activated Carbons
2.4. Correlations for Porous Properties of the Prepared Activated Carbons
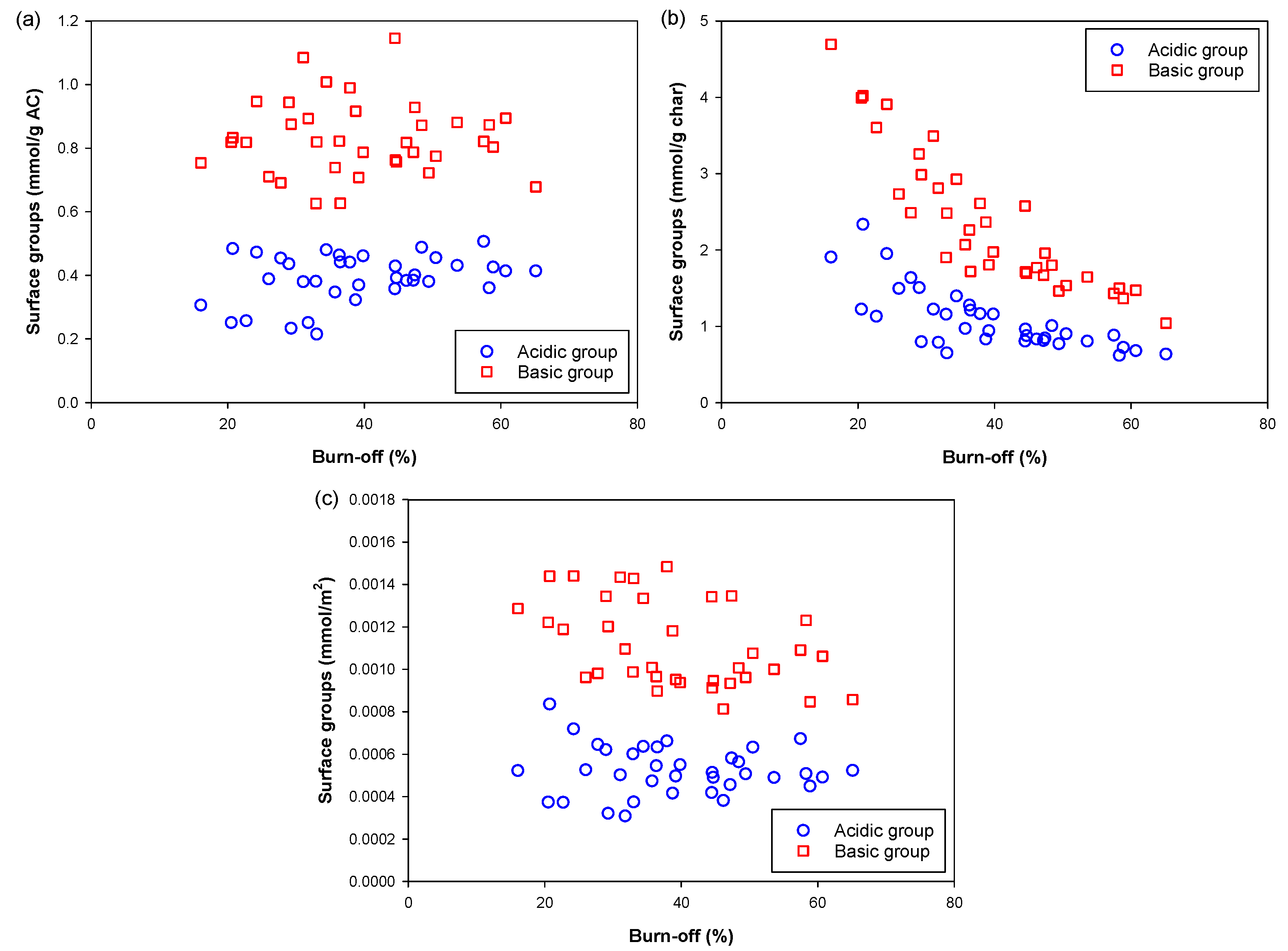
2.5. Surface Chemistry of the Prepared Activated Carbons
2.6. Empirical Correlations for the Formation of the Surface Functional Groups
3. Materials and Methods
3.1. Raw Material
3.2. Raw Material Characterization
3.3. Char Preparation
3.4. Activated Carbon Production
3.5. Porous Properties of Activated Carbon Products
3.6. Boehm’s Titration
3.7. FTIR Spectra
3.8. Pore Size Distribution (PSD) by Grand Canonical Monte Carlo (GCMC) Simulation
4. Conclusions
Author Contributions
Funding
Institutional Review Board Statement
Informed Consent Statement
Data Availability Statement
Acknowledgments
Conflicts of Interest
Sample Availability
Appendix A
| Run No. | Sample | SBET (m2/g) | Vmic (cm3/g) | Vmes (cm3/g) | Vtot (cm3/g) | Davg (nm) | Burn-Off (%) |
|---|---|---|---|---|---|---|---|
| from C400-90 | |||||||
| 1 | AC850-60 | 584 | 0.2432 (95.8%) | 0.0107 (4.2%) | 0.2539 | 1.74 | 32.9 |
| 2 | AC900-60 | 666 | 0.2879 (90.5%) | 0.0302 (9.5%) | 0.3181 | 1.91 | 39.2 |
| 3 | AC950-60 | 728 | 0.3145 (87.7%) | 0.0441 (12.3%) | 0.3586 | 1.93 | 44.7 |
| 4 | AC1000-60 | 693 | 0.2980 (88.3%) | 0.0393 (11.7%) | 0.3373 | 1.95 | 49.4 |
| 5 | AC850-90 | 621 | 0.2691 (94.4%) | 0.0160 (5.6%) | 0.2851 | 1.84 | 36.5 |
| 6 | AC900-90 | 753 | 0.3265 (90.3%) | 0.0351 (9.7%) | 0.3616 | 1.92 | 44.5 |
| 7 | AC950-90 | 810 | 0.3498 (87.8%) | 0.0488 (12.2%) | 0.3986 | 1.97 | 53.6 |
| 8 | AC1000-90 | 787 | 0.3377 (84.7%) | 0.0611 (15.3%) | 0.3988 | 2.02 | 60.7 |
| 9 | AC850-120 | 654 | 0.2830 (90.0%) | 0.0315 (10.0%) | 0.3145 | 1.92 | 35.7 |
| 10 | AC900-120 | 907 | 0.3943 (88.4%) | 0.0515 (11.6%) | 0.4458 | 1.97 | 46.2 |
| 11 | AC950-120 | 884 | 0.3811 (83.8%) | 0.0735 (16.2%) | 0.4546 | 2.06 | 58.9 |
| 12 | AC1000-120 | 749 | 0.3182 (82.8%) | 0.0663 (17.2%) | 0.3845 | 2.05 | 65.1 |
| from C500-90 | |||||||
| 13 | AC850-60 | 513 | 0.2221 (95.0%) | 0.0116 (5.0%) | 0.2337 | 1.82 | 20.7 |
| 14 | AC900-60 | 628 | 0.2716 (92.4%) | 0.0224 (7.6%) | 0.294 | 1.87 | 29.0 |
| 15 | AC950-60 | 685 | 0.2956 (89.5%) | 0.0346 (10.5%) | 0.3302 | 1.93 | 34.4 |
| 16 | AC1000-60 | 614 | 0.2644 (89.2%) | 0.0320 (10.8%) | 0.2964 | 1.93 | 37.9 |
| 17 | AC850-90 | 585 | 0.2532 (93.0%) | 0.0190 (7.0%) | 0.2722 | 1.86 | 24.2 |
| 18 | AC900-90 | 684 | 0.2956 (90.1%) | 0.0323 (9.9%) | 0.3279 | 1.92 | 31.1 |
| 19 | AC950-90 | 786 | 0.3405 (86.5%) | 0.0531 (13.5%) | 0.3936 | 2.00 | 44.5 |
| 20 | AC1000-90 | 666 | 0.2870 (87.4%) | 0.0414 (12.6%) | 0.3284 | 1.97 | 50.5 |
| 21 | AC850-120 | 627 | 0.2716 (94.1%) | 0.0169 (5.9%) | 0.2885 | 1.84 | 27.8 |
| 22 | AC900-120 | 764 | 0.3299 (90.5%) | 0.0347 (9.5%) | 0.3646 | 1.90 | 39.8 |
| 23 | AC950-120 | 782 | 0.3352 (87.7%) | 0.0471 (12.3%) | 0.3823 | 1.96 | 47.2 |
| 24 | AC1000-120 | 665 | 0.2848 (84.9%) | 0.0505 (15.1%) | 0.3353 | 2.02 | 58.3 |
| from C600-90 | |||||||
| 25 | AC850-60 | 518 | 0.2243 (96.3%) | 0.0085 (3.7%) | 0.2328 | 1.80 | 16.1 |
| 26 | AC900-60 | 614 | 0.2662 (93.0%) | 0.0201 (7.0%) | 0.2863 | 1.86 | 22.7 |
| 27 | AC950-60 | 660 | 0.2859 (90.4%) | 0.0305 (9.6%) | 0.3164 | 1.92 | 29.3 |
| 28 | AC1000-60 | 529 | 0.2265 (90.6%) | 0.0236 (9.4%) | 0.2501 | 1.89 | 33.0 |
| 29 | AC850-90 | 594 | 0.2577 (97.0%) | 0.0079 (3.0%) | 0.2656 | 1.79 | 20.5 |
| 30 | AC900-90 | 734 | 0.3185 (91.2%) | 0.0307 (8.8%) | 0.3492 | 1.90 | 31.8 |
| 31 | AC950-90 | 709 | 0.3053 (89.7%) | 0.0351 (10.3%) | 0.3404 | 1.92 | 38.7 |
| 32 | AC1000-90 | 642 | 0.2748 (86.5%) | 0.0430 (13.5%) | 0.3178 | 1.98 | 47.4 |
| 33 | AC850-120 | 660 | 0.2854 (94.1%) | 0.0180 (5.9%) | 0.3034 | 1.84 | 26.0 |
| 34 | AC900-120 | 776 | 0.3359 (89.0%) | 0.0417 (11.0%) | 0.3776 | 1.95 | 36.3 |
| 35 | AC950-120 | 803 | 0.3461 (85.4%) | 0.0593 (14.6%) | 0.4054 | 2.02 | 48.4 |
| 36 | AC1000-120 | 708 | 0.3018 (84.2%) | 0.0566 (15.8%) | 0.3584 | 2.02 | 57.5 |
References
- González-García, P. Activated carbon from lignocellulosics precursors: A review of the synthesis methods, characterization techniques and applications. Renew. Sustain. Energy Rev. 2018, 82, 1393–1414. [Google Scholar] [CrossRef]
- Deng, S.; Nie, Y.; Du, Z.; Huang, Q.; Meng, P.; Wang, B.; Huang, J.; Yu, G. Enhanced adsorption of perfluorooctane sulfonate and perfluorooctanoate by bamboo-derived granular activated carbon. J. Hazard. Mater. 2015, 282, 150–157. [Google Scholar] [CrossRef]
- Bansal, R.C.; Donnet, J.B.; Stoeckli, F. Active Carbon; Marcel Dekker: New York City, NY, USA, 1988. [Google Scholar]
- Durán-Valle, C.J.; Gómez-Corzo, M.; Pastor-Villegas, J.; Gómez-Serrano, V. Study of cherry stones as raw material in preparation of carbonaceous adsorbents. J. Anal. Appl. Pyrolysis 2005, 73, 59–67. [Google Scholar] [CrossRef]
- Erlich, C.; Björnbom, E.; Bolado, D.; Giner, M.; Fransson, T.H. Pyrolysis and gasification of pellets from sugar cane bagasse and wood. Fuel 2006, 85, 1535–1540. [Google Scholar] [CrossRef]
- Guo, J.; Lua, A.C. Preparation of activated carbons from oil-palm-stone chars by microwave-induced carbon dioxide activation. Carbon 2000, 38, 1985–1993. [Google Scholar] [CrossRef]
- Blachnio, M.; Derylo-Marczewska, A.; Charmas, B.; Zienkiewicz-Strzalka, M.; Bogatyrov, V.; Galaburda, M. Activated Carbon from Agricultural Wastes for Adsorption of Organic Pollutants. Molecules 2020, 25, 5105. [Google Scholar] [CrossRef] [PubMed]
- Wang, Y.; Yang, R.; Li, M.; Zhao, Z. Hydrothermal preparation of highly porous carbon spheres from hemp (Cannabis sativa L.) stem hemicellulose for use in energy-related applications. Ind. Crops Prod. 2015, 65, 216–226. [Google Scholar] [CrossRef]
- Wang, Y.X.; Ngo, H.H.; Guo, W.S. Preparation of a specific bamboo based activated carbon and its application for ciprofloxacin removal. Sci. Total Environ. 2015, 533, 32. [Google Scholar] [CrossRef]
- Mi, B.; Wang, J.; Xiang, H.; Liang, F.; Yang, J.; Feng, Z.; Zhang, T.; Hu, W.; Liu, X.; Liu, Z.; et al. Nitrogen Self-Doped Activated Carbons Derived from Bamboo Shoots as Adsorbent for Methylene Blue Adsorption. Molecules 2019, 24, 3012. [Google Scholar] [CrossRef] [Green Version]
- Jawad, A.H.; Ismail, K.; Ishak, M.A.M.; Wilson, L.D. Conversion of Malaysian low-rank coal to mesoporous activated carbon: Structure characterization and adsorption properties. Chin. J. Chem. Eng. 2019, 27, 1716–1727. [Google Scholar] [CrossRef]
- Toles, C.; Rimmer, S.; Hower, J.C. Production of activated carbons from a washington lignite using phosphoric acid activation. Carbon 1996, 34, 1419–1426. [Google Scholar] [CrossRef]
- Khadiran, T.; Hussein, M.Z.; Zainal, Z.; Rusli, R. Activated carbon derived from peat soil as a framework for the preparation of shape-stabilized phase change material. Energy 2015, 82, 468–478. [Google Scholar] [CrossRef]
- Kończak, M.; Oleszczuk, P.; Różyło, K. Application of different carrying gases and ratio between sewage sludge and willow for engineered (smart) biochar production. J. CO2 Util. 2019, 29, 20–28. [Google Scholar] [CrossRef]
- De Souza Souza, C.; Bomfim, M.R.; de Almeida, M.D.C.; de Souza Alves, L.; de Santana, W.N.; da Silva Amorim, I.C.; Santos, J.A.G. Induced changes of pyrolysis temperature on the physicochemical traits of sewage sludge and on the potential ecological risks. Sci. Rep. 2021, 11, 974. [Google Scholar] [CrossRef] [PubMed]
- Pallarés, J.A.; González-Cencerrado, A.; Arauzo, I. Production and characterization of activated carbon from barley straw by physical activation with carbon dioxide and steam. Biomass Bioenergy 2018, 115, 64–73. [Google Scholar] [CrossRef] [Green Version]
- Molina-Sabio, M.; Gonzalez, M.T.; Rodriguez-Reinoso, F.; Sepúlveda-Escribano, A. Effect of steam and carbon dioxide activation in the micropore size distribution of activated carbon. Carbon 1996, 34, 505–509. [Google Scholar] [CrossRef]
- Marsh, H.; Rodriguez-Reinoso, F. Activated Carbon; Elsevier: London, UK, 2006. [Google Scholar]
- Bouchelta, C.; Medjram, M.; Bertrand, O.; Bellat, J. Preparation and characterization of activated carbon from date stones by physical activation with steam. J. Anal. Appl. Pyrolysis 2008, 82, 70–77. [Google Scholar] [CrossRef]
- Heo, Y.-J.; Park, S.-J. H2O2/steam activation as an eco-friendly and efficient top-down approach to enhancing porosity on carbonaceous materials: The effect of inevitable oxygen functionalities on CO2 capture. Green Chem. 2018, 20, 5224–5234. [Google Scholar] [CrossRef]
- Lawtae, P.; Tangsathitkulchai, C. A New Approach for Controlling Mesoporosity in Activated Carbon by the Consecutive Process of Air Oxidation, Thermal Destruction of Surface Functional Groups, and Carbon Activation (the OTA Method). Molecules 2021, 26, 2758. [Google Scholar] [CrossRef]
- Chang, C.-F.; Chang, C.-Y.; Tsai, W.-T. Effects of Burn-off and Activation Temperature on Preparation of Activated Carbon from Corn Cob Agrowaste by CO2 and Steam. J. Colloid Interface Sci. 2000, 232, 45–49. [Google Scholar] [CrossRef] [Green Version]
- Katesa, J.; Junpirom, S.; Tangsathitkulchai, C. Effect of carbonization temperature on properties of char and activated carbon from coconut shell. Suranaree J. Sci. Technol. 2013, 20, 269–278. [Google Scholar]
- Shahkarami, S.; Dalai, A.K.; Soltan, J.; Hu, Y.; Wang, D. Selective CO2 Capture by Activated Carbons: Evaluation of the Effects of Precursors and Pyrolysis Process. Energy Fuels 2015, 29, 7433–7440. [Google Scholar] [CrossRef]
- Lua, A.C.; Guo, J. Preparation and characterization of chars from oil palm waste. Carbon 1998, 36, 1663–1670. [Google Scholar] [CrossRef]
- Ngernyen, Y.; Tangsathitkulchai, C.; Tangsathitkulchai, M. Porous properties of activated carbon produced from Eucalyptus and Wattle wood by carbon dioxide activation. Korean J. Chem. Eng. 2006, 23, 1046–1054. [Google Scholar] [CrossRef]
- Weerachanchai, P.; Tangsathitkulchai, C.; Tangsathitkulchai, M. Characterization of products from slow pyrolysis of palm kernel cake and cassava pulp residue. Korean J. Chem. Eng. 2011, 28, 2262–2274. [Google Scholar] [CrossRef]
- Junpirom, S.; Tangsathitkulchai, C.; Tangsathitkulchai, M. Thermogravimetric analysis of longan seed biomass with a two-parallel reactions model. Korean J. Chem. Eng. 2010, 27, 791–801. [Google Scholar] [CrossRef]
- Zhang, Y.J.; Xing, Z.J.; Duan, Z.K.; Li, M.; Wang, Y. Effects of steam activation on the pore structure and surface chemistry of activated carbon derived from bamboo waste. Appl. Surf. Sci. 2014, 315, 279–286. [Google Scholar] [CrossRef]
- Yang, H.; Yan, R.; Chen, H.; Lee, D.H.; Zheng, C. Characteristics of hemicellulose, cellulose and lignin pyrolysis. Fuel 2007, 86, 1781–1788. [Google Scholar] [CrossRef]
- Thommes, M.; Kaneko, K.; Neimark, A.V.; Olivier, J.P.; Rodriguez-Reinoso, F.; Rouquerol, J.; Sing, K.S. Physisorption of gases, with special reference to the evaluation of surface area and pore size distribution (IUPAC Technical Report). Pure Appl. Chem. 2015, 87, 1051–1069. [Google Scholar] [CrossRef] [Green Version]
- El-Hendawy, A.-N.A.; Samra, S.E.; Girgis, B.S. Adsorption characteristics of activated carbons obtained from corncobs. Colloids Surf. A Physicochem. Eng. Asp. 2001, 180, 209–221. [Google Scholar] [CrossRef]
- Liu, Z.; Zhang, F.; Liu, H.; Ba, F.; Yan, S.; Hu, J. Pyrolysis/gasification of pine sawdust biomass briquettes under carbon dioxide atmosphere: Study on carbon dioxide reduction (utilization) and biochar briquettes physicochemical properties. Bioresour. Technol. 2018, 249, 983–991. [Google Scholar] [CrossRef] [PubMed]
- Szekely, J.; Evans, J.W. A structural model for gas-solid reactions with a moving boundary. Chem. Eng. Sci. 1970, 25, 1091–1107. [Google Scholar] [CrossRef]
- Bhatia, S.K.B.; Perlmutter, D.D. A random pore model for fluid-solid reactions: I. Isothermal, kinetic control. Aiche J. 1980, 26, 379–386. [Google Scholar] [CrossRef]
- Burg, P.; Fydrych, P.; Cagniant, D.; Nanse, G.; Bimer, J.; Jankowska, A. The characterization of nitrogen-enriched activated carbons by IR, XPS and LSER methods. Carbon 2002, 40, 1521–1531. [Google Scholar] [CrossRef]
- Fujii, S.; Ōsawa, Y.; Sugimura, H. Infra-red spectra of Japanese coal: The absorption bands at 3030, 2920 and 1600 cm−1. Fuel 1970, 49, 68–75. [Google Scholar] [CrossRef]
- Bouwman, R.; Freriks, I.L.C. Low-temperature oxidation of a bituminous coal. Infrared spectroscopic study of samples from a coal pile. Fuel 1980, 59, 315–322. [Google Scholar] [CrossRef]
- Brown, J.K. The infrared spectra of coals. J. Chem. Soc. 1955, 744–752. [Google Scholar] [CrossRef]
- Zielke, U.; Hüttinger, K.J.; Hoffman, W.P. Surface-oxidized carbon fibers: I. Surface structure and chemistry. Carbon 1996, 34, 983–998. [Google Scholar] [CrossRef]
- Nandiyanto, A.; Oktiani, R.; Ragadhita, R. How to Read and Interpret FTIR Spectroscope of Organic Material. Indones. J. Sci. Technol. 2019, 4, 97–118. [Google Scholar] [CrossRef]
- Gomez-Serrano, V.; Pastor-Villegas, J.; Perez-Florindo, A.; Duran-Valle, C.; Valenzuela-Calahorro, C. FT-IR study of rockrose and of char and activated carbon. J. Anal. Appl. Pyrolysis 1996, 36, 71–80. [Google Scholar] [CrossRef]
- Liu, Q.-S.; Zheng, T.; Wang, P.; Guo, L. Preparation and characterization of activated carbon from bamboo by microwave-induced phosphoric acid activation. Ind. Crops Prod. 2010, 31, 233–238. [Google Scholar] [CrossRef]
- Salame, I.I.; Bandosz, T.J. Surface Chemistry of Activated Carbons: Combining the Results of Temperature-Programmed Desorption, Boehm, and Potentiometric Titrations. J. Colloid Interface Sci. 2001, 240, 252–258. [Google Scholar] [CrossRef]
- Brender, P.; Gadiou, R.; Rietsch, J.C.; Fioux, P.; Dentzer, J.; Ponche, A.; Vix-Guterl, C. Characterization of Carbon Surface Chemistry by Combined Temperature Programmed Desorption with in Situ X-ray Photoelectron Spectrometry and Temperature Programmed Desorption with Mass Spectrometry Analysis. Anal. Chem. 2012, 84, 2147–2153. [Google Scholar] [CrossRef]
- Sato, S.; Yoshihara, K.; Moriyama, K.; Machida, M.; Tatsumoto, H. Influence of activated carbon surface acidity on adsorption of heavy metal ions and aromatics from aqueous solution. Appl. Surf. Sci. 2007, 253, 8554–8559. [Google Scholar] [CrossRef]
- Bansal, R.C.; Goyal, M. Activated Carbon Adsorption; CRC Press: Boca Raton, FL, USA, 2005. [Google Scholar]
- ASTM International. Standard Test. Methods for Proximate Analysis of Coal and Coke by Macro Thermogravimetric Analysis; ASTM International: West Conshohocken, PA, USA, 2015. [Google Scholar]
- Basu, P. Biomass Gasification, Pyrolysis and Torrefaction: Practical Design and Theory, 2nd ed.; Academic Press: San Diego, CA, USA, 2013. [Google Scholar]
- Brunauer, S.; Emmett, P.H.; Teller, E. Adsorption of Gases in Multimolecular Layers. J. Am. Chem. Soc. 1938, 60, 309–319. [Google Scholar] [CrossRef]
- Dubinin, M.M. Physical Adsorption of Gases and Vapors in Micropores. In Progress in Surface and Membrane Science; Cadenhead, D.A., Danielli, J.F., Rosenberg, M.D., Eds.; Elsevier: New York City, NY, USA, 1975; pp. 1–70. [Google Scholar]
- Boehm, H.P. Some aspects of the surface chemistry of carbon blacks and other carbons. Carbon 1994, 32, 759–769. [Google Scholar] [CrossRef]
- Boehm, H.P. Surface oxides on carbon and their analysis: A critical assessment. Carbon 2002, 40, 145–149. [Google Scholar] [CrossRef]
- Seung Kim, Y.; Rae Park, C. Chapter 13—Titration Method for the Identification of Surface Functional Groups. In Materials Science and Engineering of Carbon; Inagaki, M., Kang, F., Eds.; Butterworth-Heinemann: Oxford, UK, 2016; pp. 273–286. [Google Scholar]
- Metropolis, N.; Rosenbluth, A.W.; Rosenbluth, M.N.; Teller, A.H.; Teller, E. Equation of State Calculations by Fast Computing Machines. J. Chem. Phys. 1953, 21, 1087–1092. [Google Scholar] [CrossRef] [Green Version]
- Allen, M.P.; Tildesley, D.J. Compuer Simulation of Liquids, 2nd ed.; Oxford University Press: Oxford, UK, 2017. [Google Scholar]
- Steele, W.A. The interaction of rare gas atoms with graphitized carbon black. J. Phys. Chem. 1978, 82, 817–821. [Google Scholar] [CrossRef]
- Ravikovitch, P.I.; Vishnyakov, A.; Russo, R.; Neimark, A.V. Unified approach to pore size characterization of microporous carbonaceous materials from N2, Ar, and CO2 adsorption isotherms. Langmuir 2000, 16, 2311–2320. [Google Scholar] [CrossRef]
- Mountain, R.D.; Thirumalai, D. Quantative measure of efficiency of Monte Carlo simulations. Phys. A Stat. Mech. Its Appl. 1994, 210, 453–460. [Google Scholar] [CrossRef]
- Johnson, J.K.; Zollweg, J.A.; Gubbins, K.E. The Lennard-Jones equation of state revisited. Mol. Phys. 1993, 78, 591–618. [Google Scholar] [CrossRef]
- Herrera, L.; Do, D.D.; Nicholson, D. A Monte Carlo integration method to determine accessible volume, accessible surface area and its fractal dimension. J. Colloid Interface Sci. 2010, 348, 529–536. [Google Scholar] [CrossRef]




















| Analysis Method | |
| Proximate analysis | wt% |
| Moisture | 6.97 |
| Volatile compounds | 73.02 |
| Fixed carbon | 19.91 |
| Ash | 0.10 |
| Ultimate analysis | wt% |
| C | 45.33 |
| H | 6.13 |
| N | 0.40 |
| O (by difference) | 48.14 |
| Char Sample | BET Surface Area, S0, (m2/g) |
|---|---|
| C400-90 | 144 |
| C500-90 | 178 |
| C600-90 | 219 |
| Run no. | Sample | Pore Volume for Pore Width (cm3/g) | Vtot (cm3/g) | ||||
|---|---|---|---|---|---|---|---|
| 0.0–0.65 nm | 0.65–1.4 nm | 1.4–2.0 nm | 2.0–3.0 nm | 3.0–4.0 nm | |||
| from C400-90 | |||||||
| 1 | AC850-60 | 0.000 | 0.2344 | 0.0072 | 0.000 | 0.0006 | 0.2539 |
| 2 | AC900-60 | 0.000 | 0.2757 | 0.0122 | 0.000 | 0.0171 | 0.3181 |
| 3 | AC950-60 | 0.000 | 0.3155 | 0.0012 | 0.000 | 0.0332 | 0.3586 |
| 4 | AC1000-60 | 0.000 | 0.2934 | 0.0074 | 0.000 | 0.0274 | 0.3373 |
| 5 | AC850-90 | 0.000 | 0.2700 | 0.0001 | 0.000 | 0.000 | 0.2851 |
| 6 | AC900-90 | 0.000 | 0.3206 | 0.0008 | 0.000 | 0.0205 | 0.3616 |
| 7 | AC950-90 | 0.000 | 0.3479 | 0.004 | 0.000 | 0.0427 | 0.3986 |
| 8 | AC1000-90 | 0.000 | 0.3254 | 0.015 | 0.000 | 0.0483 | 0.3988 |
| 9 | AC850-120 | 0.000 | 0.2834 | 0.0001 | 0.000 | 0.0270 | 0.3145 |
| 10 | AC900-120 | 0.000 | 0.3577 | 0.0176 | 0.000 | 0.0768 | 0.4458 |
| 11 | AC950-120 | 0.000 | 0.3292 | 0.0442 | 0.000 | 0.0762 | 0.4546 |
| 12 | AC1000-120 | 0.000 | 0.2484 | 0.0507 | 0.000 | 0.0684 | 0.3845 |
| from C500-90 | |||||||
| 13 | AC850-60 | 0.000 | 0.2095 | 0.0001 | 0.000 | 0.000 | 0.2337 |
| 14 | AC900-60 | 0.000 | 0.2535 | 0.0003 | 0.000 | 0.0133 | 0.294 |
| 15 | AC950-60 | 0.000 | 0.2832 | 0.0005 | 0.000 | 0.028 | 0.3302 |
| 16 | AC1000-60 | 0.000 | 0.2551 | 0.0011 | 0.000 | 0.0275 | 0.2964 |
| 17 | AC850-90 | 0.000 | 0.2425 | 0.0004 | 0.000 | 0.0079 | 0.2722 |
| 18 | AC900-90 | 0.000 | 0.2807 | 0.0024 | 0.000 | 0.0236 | 0.3279 |
| 19 | AC950-90 | 0.000 | 0.3183 | 0.0072 | 0.000 | 0.0509 | 0.3936 |
| 20 | AC1000-90 | 0.000 | 0.2624 | 0.0138 | 0.000 | 0.0364 | 0.3284 |
| 21 | AC850-120 | 0.000 | 0.2682 | 0.0017 | 0.000 | 0.0032 | 0.2885 |
| 22 | AC900-120 | 0.000 | 0.2939 | 0.029 | 0.000 | 0.0202 | 0.3646 |
| 23 | AC950-120 | 0.000 | 0.2795 | 0.0498 | 0.000 | 0.0383 | 0.3823 |
| 24 | AC1000-120 | 0.000 | 0.2193 | 0.0582 | 0.000 | 0.0457 | 0.3353 |
| from C600-90 | |||||||
| 25 | AC850-60 | 0.000 | 0.2084 | 0.0011 | 0.000 | 0.000 | 0.2328 |
| 26 | AC900-60 | 0.000 | 0.2466 | 0.0031 | 0.000 | 0.0132 | 0.2863 |
| 27 | AC950-60 | 0.000 | 0.2639 | 0.0106 | 0.000 | 0.0205 | 0.3164 |
| 28 | AC1000-60 | 0.000 | 0.1997 | 0.0168 | 0.000 | 0.013 | 0.2501 |
| 29 | AC850-90 | 0.000 | 0.2377 | 0.0006 | 0.000 | 0.000 | 0.2656 |
| 30 | AC900-90 | 0.000 | 0.2750 | 0.0174 | 0.000 | 0.0213 | 0.3492 |
| 31 | AC950-90 | 0.000 | 0.2537 | 0.027 | 0.000 | 0.0272 | 0.3404 |
| 32 | AC1000-90 | 0.000 | 0.2135 | 0.0381 | 0.000 | 0.0407 | 0.3178 |
| 33 | AC850-120 | 0.000 | 0.2732 | 0.0017 | 0.000 | 0.0037 | 0.3034 |
| 34 | AC900-120 | 0.000 | 0.2691 | 0.0349 | 0.000 | 0.0349 | 0.3776 |
| 35 | AC950-120 | 0.000 | 0.249 | 0.0665 | 0.000 | 0.055 | 0.4054 |
| 36 | AC1000-120 | 0.000 | 0.208 | 0.0703 | 0.000 | 0.0536 | 0.3584 |
| Sample | Elemental Analysis (wt%) | Amount of Surface Functional Groups (mmol/g) | |||||||
|---|---|---|---|---|---|---|---|---|---|
| C | H | N | O | Carboxylic | Lactonic | Phenolic | Total Acidic | Total Basic | |
| C400-90 | 56.0 | 3.8 | 0.5 | 39.7 | 0.37 | 0.00 | 0.40 | 0.77 | 0.21 |
| C500-90 | 50.4 | 3.1 | 0.4 | 46.1 | 0.44 | 0.00 | 0.11 | 0.55 | 0.38 |
| C600-90 | 52.5 | 2.4 | 0.4 | 44.6 | 0.32 | 0.00 | 0.00 | 0.32 | 0.44 |
| AC850-120 | 60.0 | 1.8 | 0.5 | 37.7 | 0.04 | 0.00 | 0.35 | 0.39 | 0.71 |
| AC900-120 | 60.0 | 1.7 | 0.6 | 37.7 | 0.01 | 0.00 | 0.45 | 0.46 | 0.82 |
| AC950-120 | 57.9 | 1.5 | 0.6 | 40.0 | 0.06 | 0.00 | 0.43 | 0.49 | 0.87 |
| AC1000-120 | 53.2 | 1.6 | 0.4 | 44.8 | 0.08 | 0.00 | 0.43 | 0.51 | 0.82 |
Publisher’s Note: MDPI stays neutral with regard to jurisdictional claims in published maps and institutional affiliations. |
© 2021 by the authors. Licensee MDPI, Basel, Switzerland. This article is an open access article distributed under the terms and conditions of the Creative Commons Attribution (CC BY) license (https://creativecommons.org/licenses/by/4.0/).
Share and Cite
Phothong, K.; Tangsathitkulchai, C.; Lawtae, P. The Analysis of Pore Development and Formation of Surface Functional Groups in Bamboo-Based Activated Carbon during CO2 Activation. Molecules 2021, 26, 5641. https://doi.org/10.3390/molecules26185641
Phothong K, Tangsathitkulchai C, Lawtae P. The Analysis of Pore Development and Formation of Surface Functional Groups in Bamboo-Based Activated Carbon during CO2 Activation. Molecules. 2021; 26(18):5641. https://doi.org/10.3390/molecules26185641
Chicago/Turabian StylePhothong, Krittamet, Chaiyot Tangsathitkulchai, and Panuwat Lawtae. 2021. "The Analysis of Pore Development and Formation of Surface Functional Groups in Bamboo-Based Activated Carbon during CO2 Activation" Molecules 26, no. 18: 5641. https://doi.org/10.3390/molecules26185641
APA StylePhothong, K., Tangsathitkulchai, C., & Lawtae, P. (2021). The Analysis of Pore Development and Formation of Surface Functional Groups in Bamboo-Based Activated Carbon during CO2 Activation. Molecules, 26(18), 5641. https://doi.org/10.3390/molecules26185641

