Crystal Structure and Magnetic Properties of Trinuclear Transition Metal Complexes (MnII, CoII, NiII and CuII) with Bridging Sulfonate-Functionalized 1,2,4-Triazole Derivatives
Abstract
:1. Introduction
2. Results
2.1. Synthesis of the Complexes
2.2. Structural Characterization
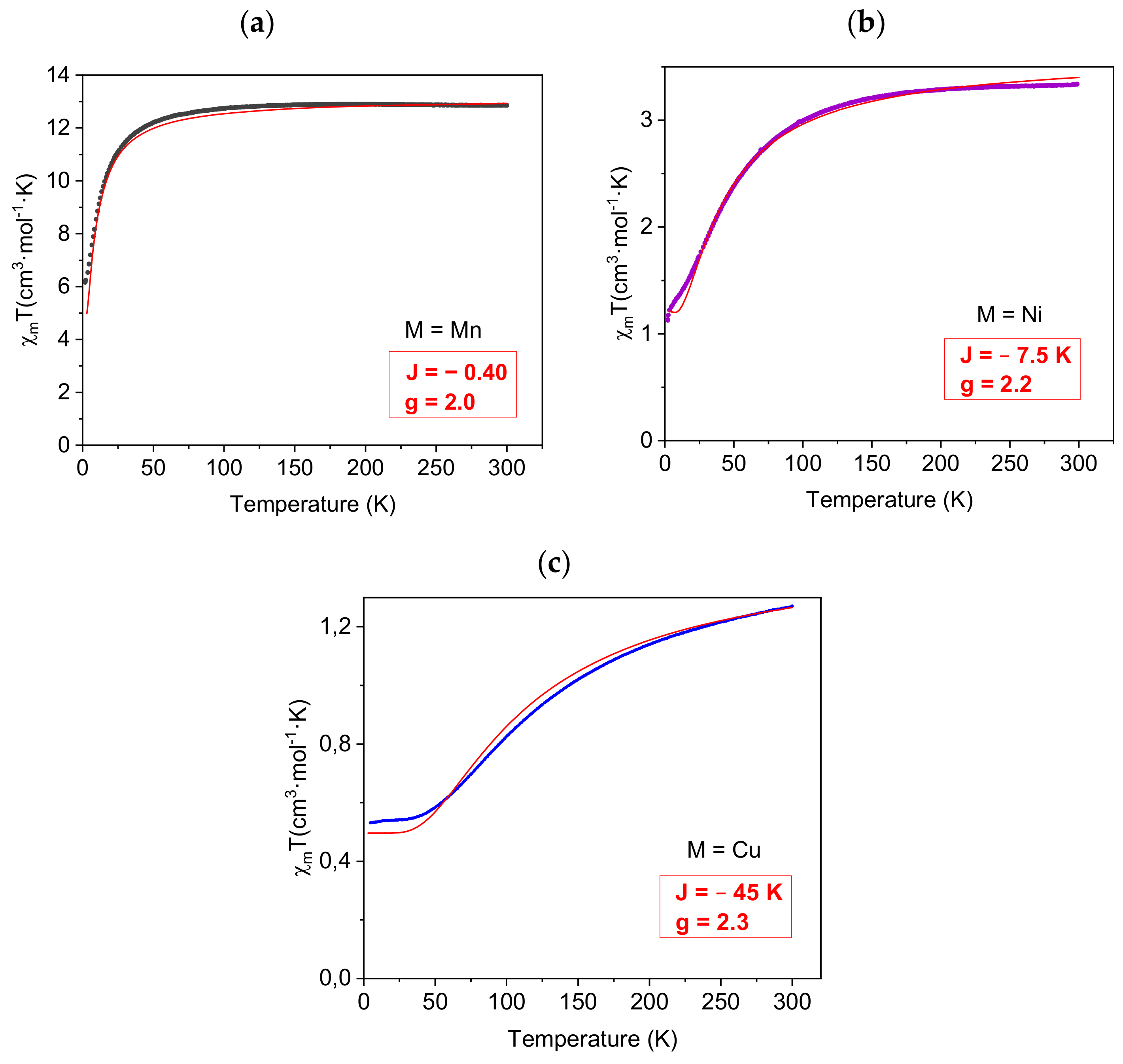
2.3. Magnetic Measurements
3. Materials and Methods
3.1. Materials and Physical Measurements
3.2. Synthesis of the Ligand (L)
3.3. Synthesis of the Complexes (Mn, Ni and Cu)
3.4. Single Crystal X-ray Diffraction
4. Conclusions
Supplementary Materials
Author Contributions
Funding
Institutional Review Board Statement
Informed Consent Statement
Data Availability Statement
Acknowledgments
Conflicts of Interest
Sample Availability
References
- Verdaguer, M. Molecular electronics emerges from molecular magnetism. Science 1996, 272, 698–699. [Google Scholar] [CrossRef]
- Joachim, C.; Gimzewski, J.K.; Aviram, A. Electronics using hybrid-molecular and mono-molecular devices. Nature 2000, 408, 541–548. [Google Scholar] [CrossRef]
- Park, J.; Pasupathy, A.N.; Goldsmith, J.I.; Chang, C.; Yaish, Y.; Petta, J.R.; Rinkoski, M.; Sethna, J.P.; Abruña, H.D.; McEuen, P.L.; et al. Coulomb blockade and the Kondo effect in single-atom transistors. Nature 2002, 417, 722–725. [Google Scholar] [CrossRef]
- Lehmann, J.; Gaita-Ariño, A.; Coronado, E.; Loss, D. Quantum computing with molecular spin systems. J. Mater. Chem. 2009, 19, 1672–1677. [Google Scholar] [CrossRef]
- Sanvito, S. Molecular spintronics. Chem. Soc. Rev. 2011, 40, 3336–3355. [Google Scholar] [CrossRef]
- Chen, J.; Reed, M.A.; Rawlett, A.M.; Tour, J.M. Large on-off ratios and negative differential resistance in a molecular electronic device. Science 1999, 286, 1550–1552. [Google Scholar] [CrossRef] [PubMed] [Green Version]
- Chachiyo, T.; Rodriguez, J.H. Structure, electronic configuration, and Mössbauer spectral parameters of an antiferromagnetic Fe2-peroxo intermediate of methane monooxygenase. Dalton Trans. 2012, 41, 995–1003. [Google Scholar] [CrossRef] [PubMed]
- Engelmann, X.; Monte-Pérez, I.; Ray, K. Oxidation Reactions with Bioinspired Mononuclear Non-Heme Metal–Oxo Complexes. Angew. Chem. Int. Ed. 2016, 55, 7632–7649. [Google Scholar] [CrossRef]
- Ruiz, E.; Rodríguez-Fortea, A.; Alvarez, S. Tailor-made strong exchange magnetic coupling through very long bridging ligands: Theoretical predictions. Inorg. Chem. 2003, 42, 4881–4884. [Google Scholar] [CrossRef] [PubMed]
- Pardo, E.; Ruiz-García, R.; Lloret, F.; Faus, J.; Julve, M.; Journaux, Y.; Novak, M.A.; Delgado, F.S.; Ruiz-Pérez, C. Ligand Design for Heterobimetallic Single-Chain Magnets: Synthesis, Crystal Structures, and Magnetic Properties of MIICuII (M=Mn, Co) Chains with Sterically Hindered Methyl-Substituted Phenyloxamate Bridging Ligand. Chem. A Eur. J. 2007, 13, 2054–2066. [Google Scholar] [CrossRef]
- Ouellette, W.; Prosvirin, A.V.; Whitenack, K.; Dunbar, K.R.; Zubieta, J. A Thermally and Hydrolytically Stable Microporous Framework Exhibiting Single-Chain Magnetism: Structure and Properties of [Co2(H0.67bdt)3]⋅20 H2O. Angew. Chem. Int. Ed. 2009, 48, 2140–2143. [Google Scholar] [CrossRef]
- Galán-Mascarós, J.R.; Coronado, E.; Goddard, P.A.; Singleton, J.; Coldea, A.I.; Wallis, J.D.; Coles, S.J.; Alberola, A. A chiral ferromagnetic molecular metal. J. Am. Chem. Soc. 2010, 132, 9271–9273. [Google Scholar] [CrossRef]
- Wu, D.Q.; Shao, D.; Wei, X.Q.; Shen, F.X.; Shi, L.; Kempe, D.; Zhang, Y.Z.; Dunbar, K.R.; Wang, X.Y. Reversible On–Off Switching of a Single-Molecule Magnet via a Crystal-to-Crystal Chemical Transformation. J. Am. Chem. Soc. 2017, 139, 11714–11717. [Google Scholar] [CrossRef]
- Vella, F. The IUBMB and biochemical education. Biochem. Educ. 1995, 23, 115. [Google Scholar] [CrossRef]
- Coronado, E. Molecular magnetism: From chemical design to spin control in molecules, materials and devices. Nat. Rev. Mater. 2020, 5, 87–104. [Google Scholar] [CrossRef]
- Kramers, H.A. L’interaction entre les atomes magnétogènes dans un cristal paramagnétique. Physica 1934, 1, 182–192. [Google Scholar] [CrossRef]
- Anderson, P.W. Antiferromagnetism. Theory of Superexchange Interaction Phys. Rev. 1950, 79, 350. [Google Scholar] [CrossRef]
- Shakirova, O.G.; Lavrenova, L.G.; Shvedenkov, Y.G.; Berezovskii, G.A.; Naumov, D.Y.; Sheludyakova, L.A.; Dolgushin, G.V.; Larionov, S.V. Synthesis and physicochemical study of iron (II), cobalt (II), nickel (II), and copper (II) complexes with 4-(2-pyridyl)-1, 2, 4-triazole. Russ. J. Coord. Chem. 2004, 30, 473–479. [Google Scholar] [CrossRef]
- Hogue, R.W.; Singh, S.; Brooker, S. Spin crossover in discrete polynuclear iron (II) complexes. Chem. Soc. Rev. 2018, 47, 7303–7338. [Google Scholar] [CrossRef] [PubMed] [Green Version]
- Yi, L.; Ding, B.; Zhao, B.; Cheng, P.; Liao, D.Z.; Yan, S.P.; Jiang, Z.H. Novel triazole-bridged cadmium coordination polymers varying from zero-to three-dimensionality. Inorg. Chem. 2004, 43, 33–43. [Google Scholar] [CrossRef]
- Aromí, G.; Barrios, L.A.; Roubeau, O.; Gamez, P. Triazoles and tetrazoles: Prime ligands to generate remarkable coordination materials. Coord. Chem. Rev. 2011, 255, 485–546. [Google Scholar] [CrossRef]
- Kahn, O.; Martinez, C.J. Spin-Transition Polymers: From Molecular Materials Toward Memory Devices. Science 1998, 279, 44–48. [Google Scholar] [CrossRef]
- Garcia, Y.; Bravic, G.; Gieck, C.; Chasseau, D.; Tremel, W.; Gütlich, P. Crystal Structure, Magnetic Properties, and 57Fe Mössbauer Spectroscopy of the Two-Dimensional Coordination Polymers [M(1,2-bis(1,2,4-triazol-4-yl)ethane)2(NCS)2] (MII = Fe, Co). Inorg. Chem. 2005, 44, 9723–9730. [Google Scholar] [CrossRef] [PubMed]
- Grosjean, A.; Daro, N.; Kauffmann, B.; Kaiba, A.; Létard, J.F.; Guionneau, P. The 1-D polymeric structure of the [Fe(NH2trz) 3](NO3)2·nH2O (with n = 2) spin crossover compound proven by single crystal investigations. Chem. Commun. 2011, 47, 12382–12384. [Google Scholar] [CrossRef]
- Ren, C.; Hou, L.; Liu, B.; Yang, G.P.; Wang, Y.Y.; Shi, Q.Z. Distinct structures of coordination polymers incorporating flexible triazole-based ligand: Topological diversities, crystal structures and property studies. Dalton Trans. 2011, 40, 793–804. [Google Scholar] [CrossRef]
- Roubeau, O. Triazole-based one-dimensional spin-crossover coordination polymers. Chem. A Eur. J. 2012, 18, 15230–15244. [Google Scholar] [CrossRef]
- Ouellette, W.; Yu, M.H.; O’Connor, C.J.; Hagrman, D.; Zubieta, J. Hydrothermal Chemistry of the Copper–Triazolate System: A Microporous Metal–Organic Framework Constructed from Magnetic {Cu3(μ3-OH)(triazolate)3}2+ Building Blocks, and Related Materials. Angew. Chem. Int. Ed. 2006, 45, 3497–3500. [Google Scholar] [CrossRef]
- Wang, Y.; Cheng, P.; Song, Y.; Liao, D.Z.; Yan, S.P. Self-Assembly and Anion-Exchange Properties of a Discrete Cage and 3D Coordination Networks Based on Cage Structures. Chem. A Eur. J. 2007, 13, 8131–8138. [Google Scholar] [CrossRef]
- Naik, A.D.; Dîrtu, M.M.; Léonard, A.; Tinant, B.; Marchand-Brynaert, J.; Su, B.L.; Garcia, Y. Engineering three-dimensional chains of porous nanoballs from a 1, 2, 4-triazole-carboxylate supramolecular synthon. Cryst. Growth Des. 2010, 10, 1798–1807. [Google Scholar] [CrossRef]
- Liu, W.; Shen, X.; Han, Y.; Liu, Z.; Dai, W.; Dutta, A.; Liu, J. Selective adsorption and removal of drug contaminants by using an extremely stable Cu (II)-based 3D metal-organic framework. Chemosphere 2019, 215, 524–531. [Google Scholar] [CrossRef]
- Corella-Ochoa, M.N.; Tapia, J.B.; Rubin, H.N.; Lillo, V.; González-Cobos, J.; Núñez-Rico, J.L.; Galán-Mascarós, J.R. Homochiral metal–organic frameworks for enantioselective separations in liquid chromatography. J. Am. Chem. Soc. 2019, 141, 14306–14316. [Google Scholar] [CrossRef]
- Kitchen, J.A.; Brooker, S. Spin crossover in iron (II) complexes of 3, 5-di (2-pyridyl)-1, 2, 4-triazoles and 3, 5-di (2-pyridyl)-1, 2, 4-triazolates. Coord. Chem. Rev. 2008, 252, 2072–2092. [Google Scholar] [CrossRef]
- Garcia, Y.; Guionneau, P.; Bravic, G.; Chasseau, D.; Howard, A.K.J.; Kahn, O.; Ksenofontov, V.; Reiman, S.; Gütlich, P. Synthesis, Crystal Structure, Magnetic Properties and 57Fe Mössbauer Spectroscopy of the New Trinuclear [Fe3(4-(2′-hydroxyethyl)-1,2,4-triazole)6(H2O)6](CF3SO3)6 Spin Crossover Compound. Eur. J. Inorg. Chem. 2000, 2000, 1531–1538. [Google Scholar] [CrossRef]
- Kitchen, J.A.; White, N.G.; Boyd, M.; Moubaraki, B.; Murray, K.S.; Boyd, P.D.W.; Brooker, S. Iron(II) Tris-[N4-substituted-3,5-di(2-pyridyl)-1,2,4-triazole] Complexes: Structural, Magnetic, NMR, and Density Functional Theory Studies. Inorg. Chem. 2009, 48, 6670–6679. [Google Scholar] [CrossRef] [PubMed]
- Manrique-Juarez, M.D.; Mathieu, F.; Shalabaeva, V.; Cacheux, J.; Rat, S.; Nicu, L.; Leïchlé, T.; Salmon, L.; Molnár, G.; Bousseksou, A. A Bistable Microelectromechanical System Actuated by Spin-Crossover Molecules. Angew. Chem. Int. Ed. 2017, 56, 8074–8190. [Google Scholar] [CrossRef] [PubMed]
- Senthil Kumar, K.; Ruben, M. Emerging trends in spin crossover (SCO) based functional materials and devices. Coord. Chem. Rev. 2017, 346, 176–205. [Google Scholar] [CrossRef]
- Molnár, G.; Rat, S.; Salmon, L.; Nicolazzi, W.; Bousseksou, A. Spin crossover nanomaterials: From fundamental concepts to devices. Adv. Mater. 2018, 30, 1703862. [Google Scholar] [CrossRef] [PubMed]
- Depree, C.V.; Beckmann, U.; Heslop, K.; Brooker, S. Monomeric, trimeric and polymeric assemblies of dicopper (II) complexes of a triazolate-containing Schiff-base macrocycle. Dalton Trans. 2003, 15, 3071–3081. [Google Scholar] [CrossRef]
- Klingele, M.H.; Moubaraki, B.; Cashion, J.D.; Murray, K.S.; Brooker, S. The first X-ray crystal structure determination of a dinuclear complex trapped in the [low spin–high spin] state:[Fe II 2 (PMAT) 2](BF 4) 4· DMF. Chem. Commun. 2005, 8, 987–989. [Google Scholar] [CrossRef]
- Meng, Z.S.; Yun, L.; Zhang, W.X.; Hong, C.G.; Herchel, R.; Ou, Y.C.; Leng, J.D.; Peng, M.X.; Lin, Z.J.; Tong, M.L. Reactivity of 4-amino-3,5-bis(pyridin-2-yl)-1,2,4-triazole, structures and magnetic properties of polynuclear and polymeric Mn(II), Cu(II) and Cd(II) complexes. Dalton Trans. 2009, 46, 10284–10295. [Google Scholar] [CrossRef]
- Ding, B.; Yi, L.; Wang, Y.; Cheng, P.; Liao, D.Z.; Yan, S.P.; Jiang, Z.H.; Song, H.B.; Wang, H.G. Synthesis of a series of 4-pyridyl-1, 2, 4-triazole-containing cadmium (II) luminescent complexes. Dalton Trans. 2006, 5, 665–675. [Google Scholar] [CrossRef] [PubMed]
- Li, W.; Li, M.X.; Shao, M.; Wang, Z.X.; Liu, H.J. Ferromagnetic and mixed-valence copper coordination polymers assembled by polycarboxylates and 2, 6-bis (1, 2, 4-triazolyl) pyridine. Inorg. Chem. Commun. 2008, 11, 954–957. [Google Scholar] [CrossRef]
- Tahli, A.; Maclaren, J.K.; Boldog, I.; Janiak, C. Synthesis and crystal structure determination of 0D-, 1D-and 3D-metal compounds of 4-(pyrid-4-yl)-1, 2, 4-triazole with zinc (II) and cadmium (II). Inorg. Chim. Acta 2011, 374, 506–513. [Google Scholar] [CrossRef]
- Garcia, Y.; Kahn, O.; Rabardel, L.; Chansou, B.; Salmon, L.; Tuchagues, J.P. Two-Step Spin Conversion for the Three-Dimensional Compound Tris (4, 4 ‘-bis-1, 2, 4-triazole) iron (II) Diperchlorate. Inorg. Chem. 1999, 38, 4663–4670. [Google Scholar] [CrossRef]
- Drabent, K.; Ciunik, Z.; Ozarowski, A. X-ray crystal structures, electron paramagnetic resonance, and magnetic studies on strongly antiferromagnetically coupled mixed μ-hydroxide-μ-N 1, N 2-triazole-bridged one dimensional linear chain copper (II) complexes. Inorg. Chem. 2008, 47, 3358–3365. [Google Scholar] [CrossRef] [PubMed]
- Boland, Y.; Tinant, B.; Safin, D.A.; Marchand-Brynaert, J.; Clérac, R.; Garcia, Y. A metal–organic framework made of an asymmetric 1, 2, 4-triazole and tetrazole ligand. CrystEngComm 2012, 14, 8153–8155. [Google Scholar] [CrossRef]
- Roubeau, O.; Alcazar Gomez, J.M.; Balskus, E.; Kolnaar, J.J.A.; Haasnoot, J.G.; Reedijk, J. Spin-transition behaviour in chains of FeII bridged by 4-substituted 1, 2, 4-triazoles carrying alkyl tails. N. J. Chem. 2001, 25, 144–150. [Google Scholar] [CrossRef]
- Kahn, O.; Kröber, J.; Jay, C. Spin Transition Molecular Materials for displays and data recording. Adv. Mater. 1992, 4, 718–728. [Google Scholar] [CrossRef]
- Kröber, J.; Codjovi, E.; Kahn, O.; Grolière, F.; Jay, C. A Spin Transition System with a Thermal Hysteresis at Room Temperature. J. Am. Chem. Soc. 1993, 115, 9810–9811. [Google Scholar] [CrossRef]
- Pittala, N.; Thétiot, F.; Charles, C.; Triki, S.; Boukheddaden, K.; Chastanet, G.; Marchivie, M. An unprecedented trinuclear Fe II triazole-based complex exhibiting a concerted and complete sharp spin transition above room temperature. Chem. Comm. 2017, 53, 8356–8359. [Google Scholar] [CrossRef]
- Kolnaar, J.J.A.; van Dijk, G.; Kooijman, H.; Spek, A.L.; Ksenofontov, V.G.; Gütlich, P.; Haasnoot, J.G.; Reedijk, J. Synthesis, Structure, Magnetic Behavior, and Mössbauer Spectroscopy of Two New Iron(II) Spin-Transition Compounds with the Ligand 4- Isopropyl-1,2,4-triazole. X-ray Structure of [Fe3(4-isopropyl-1,2,4- triazole)6(H2O)6](tosylate)6·2H2O. Inorg. Chem. 2002, 36, 2433–2440. [Google Scholar] [CrossRef] [PubMed]
- Gómez, V.; Sáenz de Pipaón, C.; Maldonado-Illescas, P.; Waerenborgh, J.C.; Martin, E.; Benet-Buchholz, J.; Galán-Mascarós, J.R. Easy Excited-State Trapping and Record High TTIESST in a Spin-Crossover Polyanionic FeII Trimer. J. Am. Chem. Soc. 2015, 137, 11924–11927. [Google Scholar] [CrossRef] [PubMed]
- See, R.F.; Kruse, R.A.; Strub, W.M. Metal–ligand bond distances in first-row transition metal coordination compounds: Coordination number, oxidation state, and specific ligand effects. Inorg. Chem. 1998, 37, 5369–5375. [Google Scholar] [CrossRef]
- Lloret, F.; Julve, M.; Cano, J.; Ruiz-García, R.; Pardo, E. Magnetic properties of six-coordinated high-spin cobalt (II) complexes: Theoretical background and its application. Inorg. Chim. Acta 2008, 361, 3432–3445. [Google Scholar] [CrossRef]
- Yang, J.; Ma, Y.S.; Tang, X.Y.; Shen, L.; Yuan, R.X.; Zhu, D.R.J. Syntheses, crystal structures, and spectral characterization of two new Cu (II) and Co (II) complexes with an asymmetrical substituted triaryltriazole. Coord. Chem. 2011, 64, 3980–3991. [Google Scholar]
- Borrás-Almenar, J.J.; Clemente-Juan, J.M.; Coronado, E.; Tsukerblat, B.S. High-nuclearity magnetic clusters: Generalized spin Hamiltonian and its use for the calculation of the energy levels, bulk magnetic properties, and inelastic neutron scattering spectra. Inorg. Chem. 1999, 38, 6081–6088. [Google Scholar] [CrossRef]
- Ramos, E.; Roman, J.E.; Cardona-Serra, S.; Clemente-Juan, J.M. Parallel implementation of the MAGPACK package for the analysis of high-nuclearity spin clusters. Comput. Phys. Commun. 2010, 181, 1929–1940. [Google Scholar] [CrossRef]
- Vos, G.; Haasnoot, J.G.; Verschoor, G.C.; Reedijk, J.; Schaminee, P.E.L. Linear trinuclear coordination compounds with 4-ethyl-1, 2, 4-triazole. Structure and magnetic properties. Inorg. Chim. Acta 1985, 105, 31–39. [Google Scholar] [CrossRef]
- Baca, S.G.; Sevryugina, Y.; Clérac, R.; Malaestean, I.; Gerbeleu, N.; Petrukhina, M.A. Linear trinuclear manganese (II) complexes: Crystal structures and magnetic properties. Inorg. Chem. Commun. 2005, 8, 474–478. [Google Scholar] [CrossRef]
- Ding, B.; Yi, L.; Shen, W.Z.; Cheng, P.; Liao, D.Z.; Yan, S.P.; Jiang, Z.H. Synthesis, crystal structure and magnetic properties of N1, N2-bridged polynuclear Ni (II) complexes. J. Mol. Struct. 2006, 784, 138–143. [Google Scholar] [CrossRef]
- Siddiqui, K.A.; Mehrotra, G.K.; Mrozinski, J.; Butcher, R.J. Anion assisted self-assembly of a Ni (II) complex into metallo-supramolecular network involving H-bonded synthons as nodes. J. Mol. Struct. 2010, 964, 18–26. [Google Scholar] [CrossRef]
- Tong, Y.Z.; Wang, Q.L.; Si, M.; Qi, J.; Yan, S.P.; Yang, G.M.; Cheng, P.; Liao, D.Z. Crystal structure, spectroscopy and magnetism of trinuclear nickel (II), cobalt (II) complexes and their solid solution. Polyhedron 2011, 30, 3151–3157. [Google Scholar] [CrossRef]
- Aznar, E.; Ferrer, S.; Borrás, J.; Lloret, F.; Liu-González, M.; Rodríguez-Prieto, H.; García-Granda, S. Coordinative Versatility of Guanazole [3,5-Diamino-1,2,4-triazole]: Synthesis, Crystal Structure, EPR, and Magnetic Properties of a Dinuclear and a Linear Trinuclear Copper(II) Complex Containing Small Bridges and Triazole Ligands. Eur. J. Inorg. Chem. 2006, 5115–5125. [Google Scholar] [CrossRef]
- Koomen-Van Oudenniel, W.M.E.; De Graaff, R.A.G.; Haasnoot, J.G.; Prins, R.; Reedijk, J. Magnetic and spectroscopic properties of copper (II) compounds with alkyl-disubstituted triazoles. X-ray structure of bis [. mu.-4-amino-3, 5-bis (aminomethyl)-1, 2, 4-triazole-N’, N1, N2, N’’] bis [aquabromocopper (II)] dibromide-2-water-methanol. Inorg. Chem. 1989, 28, 1128–1133. [Google Scholar] [CrossRef]
- Slangen, P.M.; van Koningsbruggen, P.J.; Haasnoot, J.G.; Jansen, J.; Gorter, S.; Reedijk, J.; Kooijman, H.; Smeets, W.J.J.; Spek, A.L. Synthesis, characterization, crystal structures and magnetic properties of di-and polynuclear bis (μ-3-pyridin-2-yl-1, 2, 4-triazolato) copper (II) compounds containing N-methylimidazole, pyrazole or 4, 4′-bipyridine as co-ligands. Inorg. Chim. Acta 1993, 212, 289–301. [Google Scholar] [CrossRef]
- Garcia, Y.; van Koningsbruggen, P.J.; Bravic, G.; Guionneau, P.; Chasseau, D.; Cascarano, G.L.; Moscovici, J.; Lambert, K.; Michalowicz, A.; Kahn, O. Synthesis, Crystal Structure, EXAFS, and Magnetic Properties of catena-Poly [μ-tris (4-(2-hydroxyethyl)-1, 2, 4-triazole-N 1, N 2) copper (II)] Diperchlorate Trihydrate: Relevance with the Structure of the Iron (II) 1, 2, 4-Triazole Spin Transition Molecular Materials. Inorg. Chem. 1997, 36, 6357–6365. [Google Scholar]
- Ding, B.; Huang, Y.Q.; Liu, Y.Y.; Shi, W.; Cheng, P. Synthesis, structure and magnetic properties of a novel 1D coordination polymer {[Cu2(amtrz)4(1, 1-μ-NCS)2](ClO4)2·H2O}n. Inorg. Chem. Commun. 2007, 10, 7–10. [Google Scholar] [CrossRef]
- Dumestre, F.; Soula, B.; Galibert, A.M.; Fabre, P.L.; Bernardinelli, G.; Donnadieu, B.; Castan, P.J. Synthesis and characterization of cobalt (II) complexes of croconate and dicyanomethylene-substituted derivatives. Chem. Soc. Dalton Trans. 1998, 24, 4131–4138. [Google Scholar] [CrossRef]
- Woolf, A.A. Tetrahedral Geometry Made Simple. J. Chem. Educ. 1995, 72, 19. [Google Scholar] [CrossRef]
- Oka, Y.; Inoue, K. Structures and magnetic properties of a new cobalt (II) linear trimer with phenylcinnamic acid. Chem. Lett. 2004, 33, 402. [Google Scholar] [CrossRef]
- Coelho, A.A.; Evans, J.; Evans, I.; Kern, A.; Parsons, S. The TOPAS symbolic computation system. Powder Diffr. 2011, 26, S22–S25. [Google Scholar] [CrossRef]
- Coronado, E.; Day, P. Magnetic molecular conductors. Chem. Rev. 2004, 104, 5419–5448. [Google Scholar] [CrossRef] [PubMed]
- Bujak, P.; Kulszewicz-Bajer, I.; Zagorska, M.; Maurel, V.; Wielgus, I.; Pron, A. Polymers for electronics and spintronics. Chem. Soc. Rev. 2013, 42, 8895–8999. [Google Scholar] [CrossRef] [PubMed]





| Complex | χmTtheoretical (cm3·mol−1·K) | χmTexperimental (cm3·mol−1·K) | C (cm3·mol−1·K) | ϴ (K) |
|---|---|---|---|---|
| Mn | 13.12 | 12.95 | 13.13 | −3.76 |
| Co | 5.60 | 6.82 | 7.07 | −11.26 |
| Ni | 3.00 | 3.32 | 3.59 | −20.25 |
| Cu | 1.20 | 1.26 | 1.74 | −108.48 |
| Complex | Ms (AF) (μB) | Ms (experimental) (μB) |
|---|---|---|
| Mn | 5.00 | 12.05 |
| Co | 4.00 | 3.22 |
| Ni | 3.00 | 2.32 |
| Cu | 1.00 | 1.29 |
Publisher’s Note: MDPI stays neutral with regard to jurisdictional claims in published maps and institutional affiliations. |
© 2021 by the authors. Licensee MDPI, Basel, Switzerland. This article is an open access article distributed under the terms and conditions of the Creative Commons Attribution (CC BY) license (https://creativecommons.org/licenses/by/4.0/).
Share and Cite
Moneo-Corcuera, A.; Pato-Doldan, B.; Sánchez-Molina, I.; Nieto-Castro, D.; Galán-Mascarós, J.R. Crystal Structure and Magnetic Properties of Trinuclear Transition Metal Complexes (MnII, CoII, NiII and CuII) with Bridging Sulfonate-Functionalized 1,2,4-Triazole Derivatives. Molecules 2021, 26, 6020. https://doi.org/10.3390/molecules26196020
Moneo-Corcuera A, Pato-Doldan B, Sánchez-Molina I, Nieto-Castro D, Galán-Mascarós JR. Crystal Structure and Magnetic Properties of Trinuclear Transition Metal Complexes (MnII, CoII, NiII and CuII) with Bridging Sulfonate-Functionalized 1,2,4-Triazole Derivatives. Molecules. 2021; 26(19):6020. https://doi.org/10.3390/molecules26196020
Chicago/Turabian StyleMoneo-Corcuera, Andrea, Breogán Pato-Doldan, Irene Sánchez-Molina, David Nieto-Castro, and José Ramón Galán-Mascarós. 2021. "Crystal Structure and Magnetic Properties of Trinuclear Transition Metal Complexes (MnII, CoII, NiII and CuII) with Bridging Sulfonate-Functionalized 1,2,4-Triazole Derivatives" Molecules 26, no. 19: 6020. https://doi.org/10.3390/molecules26196020
APA StyleMoneo-Corcuera, A., Pato-Doldan, B., Sánchez-Molina, I., Nieto-Castro, D., & Galán-Mascarós, J. R. (2021). Crystal Structure and Magnetic Properties of Trinuclear Transition Metal Complexes (MnII, CoII, NiII and CuII) with Bridging Sulfonate-Functionalized 1,2,4-Triazole Derivatives. Molecules, 26(19), 6020. https://doi.org/10.3390/molecules26196020

