1H-NMR and LC-MS Based Metabolomics Analysis of Wild and Cultivated Amaranthus spp.
Abstract
1. Introduction
2. Results
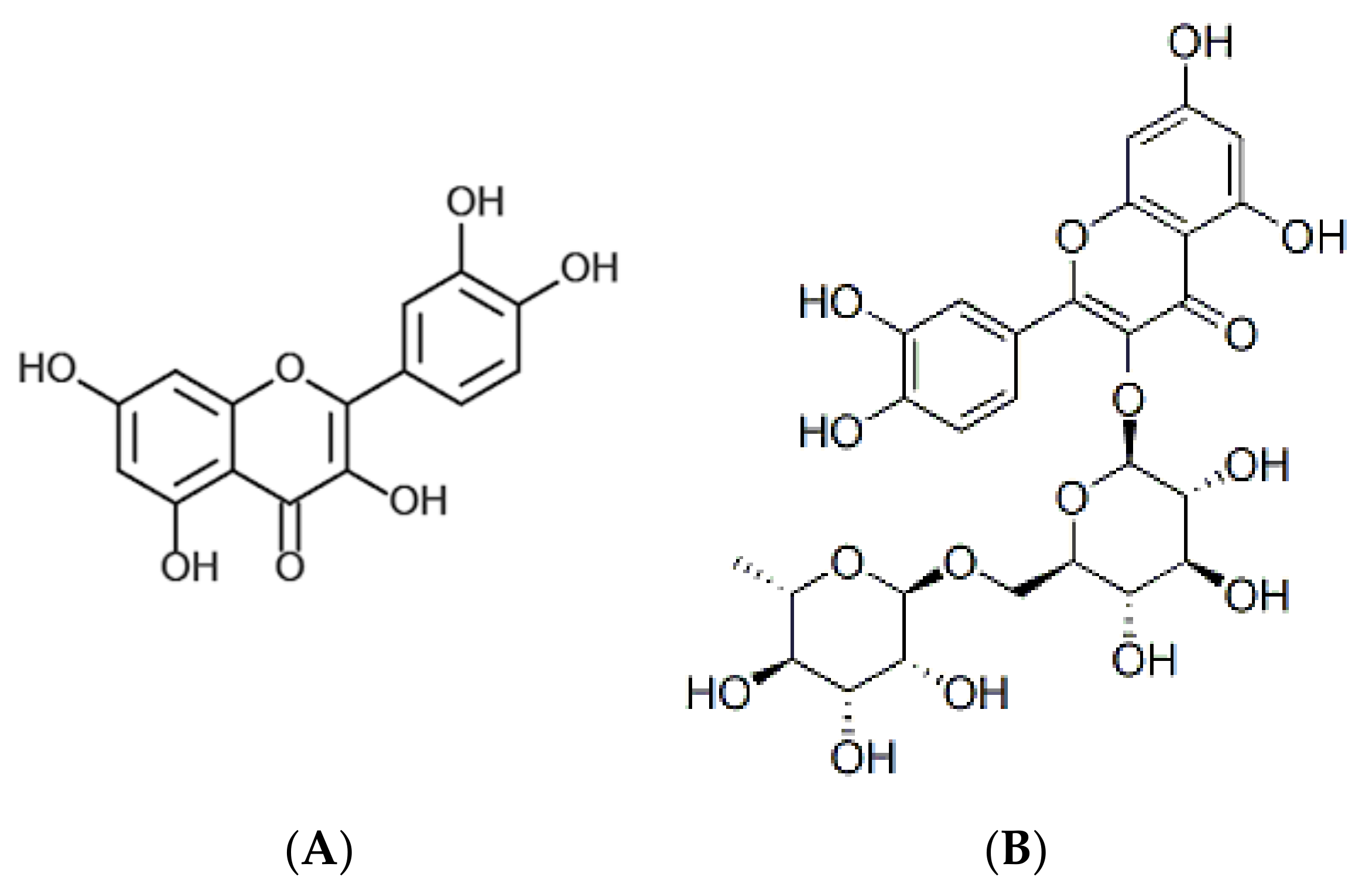
2.1. Metabolite Composition of A. cruentus Grown in Gauteng and KZN Provinces
2.2. Metabolite Composition of A. hybridus Grown in Gauteng and KZN Provinces
3. Discussion
4. Materials and Methods
4.1. Collection of Wild Vegetables from KwaZulu-Natal (KZN) Province, South Africa
4.2. Planting and Harvesting of A. cruentus and A. hybridus
4.3. Metabolites Analysis
4.3.1. NMR Spectroscopy
4.3.2. NMR Data
4.3.3. Liquid Chromatography-Mass Spectroscopy (LC-MS)
4.3.4. UPLC Analysis
4.3.5. TOF MS Analysis
5. Conclusions
Supplementary Materials
Author Contributions
Funding
Institutional Review Board Statement
Informed Consent Statement
Data Availability Statement
Acknowledgments
Conflicts of Interest
Sample Availability
References
- Achigan-Dako, E.G.; Sogbohossou, O.E.D.; Maundu, P. Current knowledge on Amaranthus spp.: Research avenues for improved nutritional value and yield in leafy amaranths in sub-Saharan Africa. Euphytica 2014, 197, 303–317. [Google Scholar] [CrossRef]
- Sarker, U.; Hossain, M.M.; Oba, S. Nutritional and antioxidant components and antioxidant capacity in green morph Amaranthus leafy vegetable. Sci. Rep. 2020, 10, 1336. [Google Scholar] [CrossRef]
- Sarker, U.; Oba, S. Nutrients, minerals, pigments, phytochemicals, and radical scavenging activity in Amaranthus blitum leafy vegetables. Sci. Rep. 2020, 10, 1–9. [Google Scholar] [CrossRef]
- Van der Hoeven, M. The Effect of African Leafy Vegetables on the Alleviation of Micronutrient Deficiencies in School Children Residing in the North West Province of South Africa. Ph.D. Thesis, North West University, Potchefstroom, South Africa, 2014. [Google Scholar]
- Billah, A.M.; Hussain, M.M.; Dastagir, M.G.; Ismail, M.; Quader, A. Isolation of α-spinasterol from Amaranthus spinosus stems. Bol. Latinoam. Caribe Plantas Med. Aromat. 2013, 12, 15–17. [Google Scholar]
- Chukwujekwu, J.C.; Rengasamy, K.R.; De Kock, C.A.; Smith, P.J.; Slavětínská, L.P.; Van Staden, J. Alpha-glucosidase inhibitory and antiplasmodial properties of terpenoids from the leaves of Buddleja saligna Willd. J. Enzyme Inhib. Med. Chem. 2016, 31, 63–66. [Google Scholar] [CrossRef][Green Version]
- Ragasa, C.Y.; Austria, J.P.M.; Subosa, A.F.; Torres, O.B.; Shen, C.-C. Chemical constituents of Amaranthus viridis. Chem. Nat. Compd. 2015, 51, 146–147. [Google Scholar] [CrossRef]
- Huang, Z.-R.; Lin, Y.-K.; Fang, J.-Y. Biological and pharmacological activities of squalene and related compounds: Potential uses in cosmetic dermatology. Molecules 2009, 14, 540–554. [Google Scholar] [CrossRef]
- Zduńska, K.; Dana, A.; Kołodziejczak, A.; Rotsztejn, H. Antioxidant properties of ferulic acid and its possible application. Skin Pharmacol. Physiol. 2018, 31, 332–336. [Google Scholar] [CrossRef]
- Kahkeshani, N.; Farzaei, F.; Fotouhi, M.; Alavi, S.S.; Bahramsoltani, R.; Naseri, R.; Momtaz, S.; Abbasabadi, Z.; Rahimi, R.; Farzaei, M.H.; et al. Pharmacological effects of gallic acid in health and diseases: A mechanistic review. Iran. J. Basic Med. Sci 2019, 22, 225–237. [Google Scholar] [CrossRef]
- Maseko, I.; Mabhaudhi, T.; Shezi, S.; Araya, H.T.; Fessehazion, M.; Du Plooy, C.P. African leafy vegetables: A review of status, production and utilization in South Africa. Sustainability 2018, 10, 16. [Google Scholar] [CrossRef]
- Grebenstein, C.; Choi, Y.; Rong, J.; De Jong, T.J.; Tamis, W. Metabolic fingerprinting reveals differences between shoots of wild and cultivated carrot (Daucus carota L.) and suggests maternal inheritance or wild trait dominance in hybrids. Phytochemistry 2011, 72, 1341–1347. [Google Scholar] [CrossRef]
- Ward, J.L.; Baker, J.M.; Beale, M.H. Recent applications of NMR spectroscopy in plant metabolomics. FEBS J. 2007, 274, 1126–1131. [Google Scholar] [CrossRef]
- Kim, H.K.; Choi, Y.H.; Verpoorte, R. NMR-based metabolomic analysis of plants. Nat. Protoc. 2010, 5, 536–549. [Google Scholar] [CrossRef]
- Kim, H.K.; Saifullah; Khan, S.; Wilson, E.G.; Kricun, S.D.P.; Meissner, A.; Goraler, S.; Deelder, A.M.; Choi, Y.H.; Verpoorte, R. Metabolic classification of South American Ilex species by NMR-based metabolomics. Phytochemistry 2010, 71, 773–784. [Google Scholar] [CrossRef]
- Verpoorte, R.; Choi, Y.H.; Mustafa, N.R.; Kim, H.K. Metabolomics: Back to basics. Phytochem. Rev. 2008, 7, 525–537. [Google Scholar] [CrossRef]
- Emwas, A.-H.; Roy, R.; McKay, R.T.; Tenori, L.; Saccenti, E.; Gowda, G.A.N.; Raftery, D.; AlAhmari, F.; Jaremko, L.; Jaremko, M.; et al. NMR Spectroscopy for metabolomics research. Metabolites 2019, 9, 123. [Google Scholar] [CrossRef]
- Liu, R.; Yin, Z.; Leng, Y.; Hang, W.; Huang, B. Direct and comprehensive analysis of dyes based on integrated molecular and structural information via laser desorption laser postionization mass spectrometry. Talanta 2018, 176, 116–123. [Google Scholar] [CrossRef]
- Liu, X.; Ser, Z.; Locasale, J.W. Development and quantitative evaluation of a high-resolution metabolomics technology. Anal. Chem. 2014, 86, 2175–2184. [Google Scholar] [CrossRef]
- Oh, J.; Yoon, D.-H.; Han, J.-G.; Choi, H.-K.; Sung, G.-H. 1H NMR based metabolite profiling for optimizing the ethanol extraction of Wolfiporia cocos. Saudi J. Biol. Sci. 2018, 25, 1128–1134. [Google Scholar] [CrossRef]
- Maulidiani, M.; Mediani, A.; Abas, F.; Park, Y.S.; Park, Y.-K.; Kim, Y.M.; Gorinstein, S. 1H NMR and antioxidant profiles of polar and non-polar extracts of persimmon (Diospyros kaki L.)—Metabolomics study based on cultivars and origins. Talanta 2018, 184, 277–286. [Google Scholar] [CrossRef]
- Sabino, A.R.; Tavares, S.S.; Riffel, A.; Li, J.V.; Oliveira, D.J.; Feres, C.I.M.E.A.; Henrique, L.; Oliveira, J.S.; Correia, G.D.; Sabino, A.R.; et al. 1H NMR metabolomic approach reveals chlorogenic acid as a response of sugarcane induced by exposure to Diatraea saccharalis. Ind. Crops Prod. 2019, 140, 111651. [Google Scholar] [CrossRef]
- Conotte, S.; Tassin, A.; Clere-Jehl, R.; Colet, J.-M.; Boudjeltia, K.Z.; Legrand, A. Metabonomic profiling of chronic intermittent hypoxia in a mouse model. Respir. Physiol. Neurobiol. 2018, 256, 157–173. [Google Scholar] [CrossRef]
- Xavier, R.J.; Dinesh, P. Vibrational spectra, monomer, dimer, NBO, HOMO, LUMO and NMR analyses of trans-4-hydroxy-l-proline. Spectrochim. Acta Part A Mol. Biomol. Spectrosc. 2014, 128, 54–68. [Google Scholar] [CrossRef]
- Jayalakshmi, K.; Ghoshal, U.C.; Kumar, S.; Misra, A.; Roy, R.; Khetrapal, C.L. Assessment of small intestinal permeability using 1H-NMR spectroscopy. J. Gastrointest. Liver Dis. 2009, 18, 27–32. [Google Scholar]
- Jung, J.; Park, M.; Park, H.J.; Shim, S.B.; Cho, Y.H.; Kim, J.; Lee, H.-S.; Ryu, D.H.; Choi, D.; Hwang, G.-S. 1H NMR-based metabolic profiling of naproxen-induced toxicity in rats. Toxicol. Lett. 2011, 200, 1–7. [Google Scholar] [CrossRef]
- Hayat, S.; Hayat, Q.; Alyemeni, M.N.; Wani, A.S.; Pichtel, J.; Ahmad, A. Role of proline under changing environments: A review. Plant Signal. Behav. 2012, 7, 1456–1466. [Google Scholar] [CrossRef]
- Kishor, P.B.; Sreenivasulu, N. Is proline accumulation per se correlated with stress tolerance or is proline homeostasis a more critical issue? Plant Cell Environ. 2014, 37, 300–311. [Google Scholar] [CrossRef]
- Bowne, J.B.; Erwin, T.A.; Juttner, J.; Schnurbusch, T.; Langridge, P.; Bacic, A.; Roessner, U. Drought responses of leaf tissues from wheat cultivars of differing drought tolerance at the metabolite level. Mol. Plant 2012, 5, 418–429. [Google Scholar] [CrossRef]
- Urano, K.; Maruyama, K.; Ogata, Y.; Morishita, Y.; Takeda, M.; Sakurai, N.; Suzuki, H.; Saito, K.; Shibata, D.; Kobayashi, M.; et al. Characterization of the ABA-regulated global responses to dehydration in Arabidopsis by metabolomics. Plant J. 2009, 57, 1065–1078. [Google Scholar] [CrossRef]
- Nisoli, E.; Aquilani, R.; D’Antona, G. Chapter 9—Amino acid supplements and diabetes. In Bioactive Food as Dietary Interventions for Diabetes, 1st ed.; Walson, R., Preddy, V., Eds.; Academic Press: Cambridge, MA, USA, 2013; pp. 83–95. ISBN 9780123971531. [Google Scholar]
- Pedroso, J.A.; Zampieri, T.T.; Donato, J. Reviewing the effects of l-leucine supplementation in the regulation of food intake, energy balance, and glucose homeostasis. Nutrients 2015, 7, 3914–3937. [Google Scholar] [CrossRef]
- Elbein, A.D.; Pan, Y.; Pastuszak, I.; Carroll, D. New insights on trehalose: A multifunctional molecule. Glycobiology 2003, 13, 17R–27R. [Google Scholar] [CrossRef]
- Garg, A.K.; Kim, J.-K.; Owens, T.G.; Ranwala, A.P.; Choi, Y.D.; Kochian, L.V.; Wu, R.J. Trehalose accumulation in rice plants confers high tolerance levels to different abiotic stresses. Proc. Natl. Acad. Sci. USA 2002, 99, 15898–15903. [Google Scholar] [CrossRef]
- Machado, A.R.T.; Lage, G.A.; Medeiros, F.D.S.; Filho, J.D.D.S.; Pimenta, L.P.S. Quantitative analysis of trigonelline in some Annona species by proton NMR spectroscopy. Nat. Prod. Bioprospect. 2013, 3, 158–160. [Google Scholar] [CrossRef]
- Steffensen, S.K.; Pedersen, H.A.; Labouriau, R.; Mortensen, A.G.; Laursen, B.; De Troiani, R.M.; Noellemeyer, E.; Janovska, D.; Stavelikova, H.; Taberner, A.; et al. Variation of polyphenols and betaines in aerial parts of young, field-grown Amaranthus genotypes. J. Agric. Food Chem. 2011, 59, 12073–12082. [Google Scholar] [CrossRef]
- Zhou, J.; Zhou, S.; Zeng, S. Experimental diabetes treated with trigonelline: Effect on βcell and pancreatic oxidative parameters. Fundam. Clin. Pharmacol. 2011, 27, 279–287. [Google Scholar] [CrossRef]
- Li, Y.; Li, Q.; Wang, C.; Lou, Z.; Li, Q. Trigonelline reduced diabetic nephropathy and insulin resistance in type 2 diabetic rats through peroxisome proliferator activated receptor γ. Exp. Ther. Med. 2019, 18, 1331–1337. [Google Scholar] [CrossRef]
- Meng, S.; Cao, J.; Feng, Q.; Peng, J.; Hu, Y. Roles of chlorogenic acid on regulating glucose and lipids metabolism: A review. Evid. Based Complement. Altern. Med. 2013, 2013, 1–11. [Google Scholar] [CrossRef]
- Sarker, U.; Oba, S. Antioxidant constituents of three selected red and green color Amaranthus leafy vegetable. Sci. Rep. 2019, 9, 1–11. [Google Scholar] [CrossRef]
- Khanam, U.K.S.; Oba, S. Bioactive substances in leaves of two amaranth species, Amaranthus tricolor and A. hypochondriacus. Can. J. Plant Sci. 2013, 93, 47–58. [Google Scholar] [CrossRef]
- Kabir, F.; Katayama, S.; Tanji, N.; Nakamura, S. Antimicrobial effects of chlorogenic acid and related compounds. J. Korean Soc. Appl. Biol. Chem. 2014, 57, 359–365. [Google Scholar] [CrossRef]
- Ong, K.W.; Hsu, A.; Tan, B.K.H. Anti-diabetic and anti-lipidemic effects of chlorogenic acid are mediated by ampk activation. Biochem. Pharmacol. 2013, 85, 1341–1351. [Google Scholar] [CrossRef]
- Chen, A.Y.; Chen, Y.C. A review of the dietary flavonoid, kaempferol on human health and cancer chemoprevention. Food Chem. 2013, 138, 2099–2107. [Google Scholar] [CrossRef]
- Basu, S.; Ghosh, T.; Mitra, P.; Kumar Mitra, P. Amaranthus spinosus Linn. -Past, present and future. World J. Pharm. Res. 2019, 8, 352–365. [Google Scholar]
- Mulandana, N.S.; Mamadi, N.E.; Du Plooy, C.P.; Beletse, Y.G. Effect of spacing and transplanting time on amaranths yield. Afr. Crop Sci. Conf. Proc. 2009, 9, 243–246. [Google Scholar]
- Maree, J.; Viljoen, A. Phytochemical distinction between Pelargonium sidoides and Pelargonium reniforme-A quality control perspective. S. Afr. J. Bot. 2012, 82, 83–91. [Google Scholar] [CrossRef]
- Mediani, A.; Abas, F.; Khatib, A.; Maulidiani, M.; Shaari, K.; Choi, Y.H.; Lajis, N. 1H-NMR-based metabolomics approach to understanding the drying effects on the phytochemicals in Cosmos caudatus. Food Res. Int. 2012, 49, 763–770. [Google Scholar] [CrossRef]






| OPLS-DA | Permutation (n = 100) | |||
|---|---|---|---|---|
| R2X | R2Y | Q2 | R2 | Y2 |
| 0.95 | 0.89 | 0.82 | (0.0, 0.44) | (0.0–1.29) |
| Group | Compound | H-NMR Chemical Shift (ppm) | Chenomx (ppm) | Human Metabolite Database | Reference (ppm) | Literature |
|---|---|---|---|---|---|---|
| Cultivated (Shade Net) | Maltose | 3.24 | 3.3 | 3.27 | [20] | |
| 3.4 | 3.4 | 3.41 | ||||
| 3.6 | 3.6 | 3.66 | ||||
| 3.72 | 3.7 | 3.70 | ||||
| 3.8 | 3.8 | 3.84 | ||||
| 3.92 | 3.9 | 3.9 | ||||
| 4.0 | 4.0 | 3.96 | ||||
| 4.56 | 4.6 | |||||
| 5.2 | 5.2 | 5.22 | 5.34 | |||
| 5.4 | 5.4 | 5.40 | 5.42 | |||
| Sucrose | 3.52 | 3.5 | 3.46 | 3.53 | [21] | |
| 3.6 | 3.6 | 3.55 | 3.67 | |||
| 3.72 | 3.7 | 3.75 | ||||
| 3.8 | 3.8 | 3.82 | 3.87 | |||
| 3.92 | 3.9 | 3.89 | ||||
| 4 | 4.0 | 4.04 | 4.07 | |||
| 4.2 | 4.2 | 4.21 | 4.16 | |||
| 5.41 | 5.4 | 5.4 | 5.39 | |||
| Proline | 1.99 | 2.0 | 1.96 | 1.98 | [20] | |
| 2.06 | 2.0 | 2.04 | 2.02 | |||
| 2.34 | 2.3 | 2.32 | ||||
| 3.33 | 3.3 | 3.24 | ||||
| 3.41 | 3.4 | 3.4 | ||||
| 4.1 | 4.1 | |||||
| * Leucine | 0.88 | 0.9 | 0.94 | 0.94 | [20] | |
| 1.0 | 1.0 | |||||
| 1.68 | 1.7 | 1.70 | 1.70 | |||
| 3.68 | 3.7 | |||||
| ** Chlorogenic acid | 2.0 | 2.0 | 2.02 | 2.03 | [22] | |
| 2.08 | 2.1 | 2.17 | ||||
| 2.2 | 2.2 | |||||
| 3.88 | 3.9 | 3.88 | 3.80 | |||
| 4.28 | 4.3 | 4.25 | 4.23 | |||
| 5.28 | 5.3 | 5.33 | 5.33 | |||
| 6.4 | 6.4 | 6.39 | 6.39 | |||
| 6.88 | 6.9 | 6.94 | ||||
| 7.08 | 7.1 | 7.12 | 7.05 | |||
| 7.2 | 7.2 | 7.19 | ||||
| 7.6 | 7.6 | 7.65 | 7.59 | |||
| Wild and Cultivated | Trigonelline | 4.4 | 4.4 | 4.42 | 4.41 | [21,23] |
| 8.12 | 8.1 | 8.07 | 8.07 | |||
| 8.8 | 8.8 | 8.82 | 8.83 | |||
| 9.12 | 9.1 | 9.11 | 9.14 | |||
| Trans-4-Hydroxy-l-proline | 2.4 | 2.4 | 2.6 | [24] | ||
| 3.4 | 3.4 | |||||
| 3.48 | 3.5 | 3.63 | ||||
| 4.28 | 4.3 | |||||
| 4.56 | 4.7 | |||||
| Lactulose | 3.6 | 3.6 | 3.582 | 3.5 | [25] | |
| 3.68 | 3.7 | 3.732 | 3.6 | |||
| 3.8 | 3.8 | 3.836 | 3.8 | |||
| 3.88 | 3.9 | 3.919 | 3.9 | |||
| 4 | 4.0 | 4.012 | 4.0 | |||
| 4.08 | 4.1 | 4.125 | 4.1 | |||
| 4.12 | 4.2 | 4.2 | 4.2 | |||
| 4.28 | 4.3 | 4.249 | 4.3 | |||
| 4.4 | 4.4 | 4.286 | 4.4 | |||
| 4.48 | 4.5 | 4.46 | 4.5 | |||
| 4.56 | 4.6 | 4.553 | 4.6 | |||
| Trehalose | 3.41 | 3.4 | 3.44 | [20] | ||
| 3.6 | 3.6 | 3.64 | ||||
| 3.8 | 3.8 | 3.76 | ||||
| 3.92 | 3.9 | 3.88 | ||||
| 5.2 | 5.2 | 5.18 | ||||
| Betaine | 3.24 | 3.3 | 3.25 | 3.22 | [20] | |
| 3.92 | 3.9 | 3.89 | 3.86 | |||
| Valine | 1.0 | 1.0 | 1.02 | 1.05 | [20,21] | |
| 2.32 | 2.3 | 2.26 | 2.22 | |||
| 3.6 | 3.6 | 3.60 | 3.60 | |||
| Alanine | 1.44 | 1.5 | 1.47 | 1.47 | [26] | |
| 3.8 | 3.8 | 3.77 | ||||
| Fumarate | 6.52 | 6.5 | 6.51 | 6.5 | [20] | |
| Formate | 4 | 8.4 | 8.44 | 8.46 | [20] | |
| Kynurenine | 3.72 | 3.7 | 3.67 | 3.71 | [26] | |
| 4.12 | 4.1 | 4.10 | 4.15 | |||
| 6.8 | 6.8 | 6.75 | 6.80 | |||
| 6.92 | 6.9 | 6.83 | ||||
| 7.4 | 7.37 | 7.44 | ||||
| 7.8 | 7.8 | 7.79 | 7.84 |
| OPLS-DA | Permutation (n = 100) | |||
|---|---|---|---|---|
| R2X | R2Y | Q2 | R2 | Y2 |
| 0.93 | 0.88 | 0.82 | (0.0, 0.44) | (0.0–0.95) |
| Compound | Empirical Formula | Ret time (Min) | Measured Mass | Theoretical Mass | Mass Error (mDa) | DBE | Mode (+/−) | Amaranthus Cruentus | Amaranthus Hybridus |
|---|---|---|---|---|---|---|---|---|---|
| 2-Phenylethenamine | C8H9N | 1.72 | 1,200,809 | 1,190,735 | 0.4 | 5 | + | ✓ | Trace |
| 2-Phenylethylamine | C8H11N | - | - | 1,210,891 | - | - | ND | ✗ | ✗ |
| l-Tryptophan | C11H12N2O2 | 2.62 | 2,050,977 | 2,040,899 | 1.4 | 7 | + | ✓ | ✗ |
| Phenylalanine | C9H11NO2 | 1.85 | 1,660,851 | 16,507,890 | 1.7 | 5 | + | ✓ | ✗ |
| Kaempferol | C15H10O6 | 7.22 | 2,870,559 | 2,860,477 | 0.3 | 11 | + | ✓ | ✗ |
| Ferulic acid | C10H10O4 | - | - | 1,940,579 | - | - | + | ✗ | ✗ |
| Epicatechin | C15H14O6 | - | - | 2,900,790 | - | - | ND | ✗ | ✗ |
| Chlorogenic acid | C16H18O9 | - | - | 3,540,951 | - | - | ND | ✗ | ✗ |
| Vanillic acid | C8H8O4 | - | - | 1,680,422 | - | - | ND | ✗ | ✗ |
| Quercetin | C15H10O7 | 6.66 | 3,030,477 | 3,022,357 | 0.2 | - | + | ✓ | ✗ |
| Rutin | C27H30O16 | 6.41 | 6,091,456 | 6,101,534 | 1.9 | 13 | +/− | ✓ | ✓ |
| Trigonelline | C7H7NO2 | 0.93 | 1,380,587 | 1,370,477 | 3.2 | 5 | + | ✓ | ✓ |
| Amaranthussaponin I | C48H76O19 | 15.51 | 9,554,903 | 9,564,981 | 2.6 | 11 | - | ✓ | ✓ |
Publisher’s Note: MDPI stays neutral with regard to jurisdictional claims in published maps and institutional affiliations. |
© 2021 by the authors. Licensee MDPI, Basel, Switzerland. This article is an open access article distributed under the terms and conditions of the Creative Commons Attribution (CC BY) license (http://creativecommons.org/licenses/by/4.0/).
Share and Cite
Nkobole, N.; Prinsloo, G. 1H-NMR and LC-MS Based Metabolomics Analysis of Wild and Cultivated Amaranthus spp. Molecules 2021, 26, 795. https://doi.org/10.3390/molecules26040795
Nkobole N, Prinsloo G. 1H-NMR and LC-MS Based Metabolomics Analysis of Wild and Cultivated Amaranthus spp. Molecules. 2021; 26(4):795. https://doi.org/10.3390/molecules26040795
Chicago/Turabian StyleNkobole, Nolitha, and Gerhard Prinsloo. 2021. "1H-NMR and LC-MS Based Metabolomics Analysis of Wild and Cultivated Amaranthus spp." Molecules 26, no. 4: 795. https://doi.org/10.3390/molecules26040795
APA StyleNkobole, N., & Prinsloo, G. (2021). 1H-NMR and LC-MS Based Metabolomics Analysis of Wild and Cultivated Amaranthus spp. Molecules, 26(4), 795. https://doi.org/10.3390/molecules26040795

