Synthesis of α-Aminophosphonates and Related Derivatives; The Last Decade of the Kabachnik–Fields Reaction
Abstract
1. Introduction
2. Kabachnik–Fields Reactions with Dialkyl Phosphites, Alkyl H-Phosphinates, and Secondary Phosphine Oxides
2.1. Metal-Catalyzed Kabachnik–Fields Reactions
2.2. Acid-Catalyzed Kabachnik–Fields Reactions
2.3. Catalyst-Free Kabachnik–Fields Reactions
2.4. Kabachnik–Fields Reactions Leading to Optically Active α-Aminophosphonates
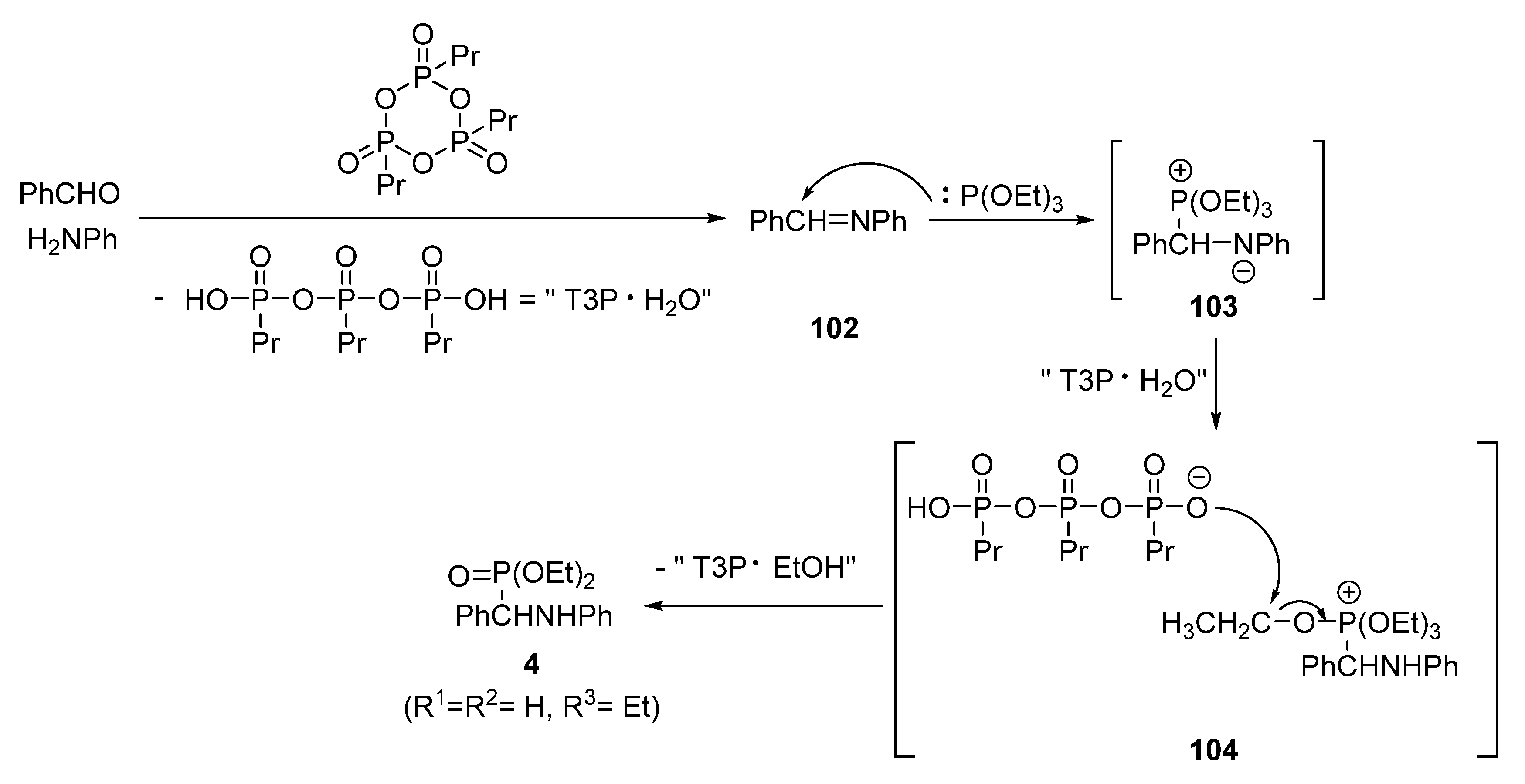
3. Kabachnik–Fields Reactions Applying Trialkyl Phosphites or Related Derivatives as the P Reagent
4. The aza-Pudovik Reaction
5. Conclusions
Funding
Acknowledgments
Conflicts of Interest
References
- Keglevich, G.; Bálint, E. The Kabachnik–Fields Reaction: Mechanism and Synthetic Use. Moecules 2012, 17, 12821–12835. [Google Scholar] [CrossRef]
- Kukhar, V.P.; Hudson, H.R. Aminophosphonic and Aminophosphinic Acids: Chemistry and Biological Activity; John Wiley & Sons: Chichester, UK, 2000; ISBN 0471891495. [Google Scholar]
- Naydenova, E.D.; Todorov, P.T.; Troev, K.D. Recent synthesis of aminophosphonic acids as potential biological importance. Amino Acids 2009, 38, 23–30. [Google Scholar] [CrossRef] [PubMed]
- Abdel-Rahman, R.M.; Ali, T.E.; Abdel-Kariem, S.M. Methods for synthesis of N-heterocyclyl/heteroaryl- α-aminophosphonates and α-(azaheterocyclyl)phosphonates. Arkivoc 2016, 2016, 183–211. [Google Scholar] [CrossRef]
- Review on the Synthesis of α-Aminophosphonate Derivatives. Chem. Sci. Trans. 2019, 8, 359–367. [CrossRef]
- Kabachnik, M.I.; Medved, T.Y. New synthesis of aminophosphonic acids. Dokl. Akad. Nauk SSSR 1952, 83, 689–692. [Google Scholar]
- Fields, E.K. The Synthesis of Esters of Substituted Amino Phosphonic Acids1a. J. Am. Chem. Soc. 1952, 74, 1528–1531. [Google Scholar] [CrossRef]
- Mucha, A.; Kafarski, P.; Berlicki, Ł. Remarkable Potential of the α-Aminophosphonate/Phosphinate Structural Motif in Medicinal Chemistry. J. Med. Chem. 2011, 54, 5955–5980. [Google Scholar] [CrossRef] [PubMed]
- Kafarski, P.; Lejczak, B. Biological Activity of Aminophosphonic Acids. Phosphorus Sulfur Silicon Relat. Elem. 1991, 63, 193–215. [Google Scholar] [CrossRef]
- Kafarski, P. Aminophosphonic Acids of Potential Medical Importance. Curr. Med. Chem. Agents 2001, 1, 301–312. [Google Scholar] [CrossRef] [PubMed]
- Berlicki, L.; Kafarski, P. Computer-Aided Analysis and Design of Phosphonic and Phosphinic Enzyme Inhibitors as Potential Drugs and Agrochemicals. Curr. Org. Chem. 2005, 9, 1829–1850. [Google Scholar] [CrossRef]
- Lejczak, B.; Kafarski, P. Biological Activity of Aminophosphonic Acids and Their Short Peptides. In Topics in Heterocyclic Chemistry—Phosphorous Heterocycles I; Gupta, R.P., Bansal, R.K., Eds.; Springer: Berlin, Germany, 2009; Volume 20, pp. 31–63. [Google Scholar]
- Cherkasov, R.A.; Galkin, V.I. The Kabachnik–Fields reaction: Synthetic potential and the problem of the mechanism. Russ. Chem. Rev. 1998, 67, 857–882. [Google Scholar] [CrossRef]
- Keglevich, G.; Kiss, N.Z.; Menyhárd, D.K.; Fehérvári, A.; Csontos, I. A study on the kabachnik--fields reaction of benzaldehyde, cyclohexylamine, and dialkyl phosphites. Heteroat. Chem. 2012, 23, 171–178. [Google Scholar] [CrossRef]
- Keglevich, G.; Fehérvári, A.; Csontos, I. A study on the Kabachnik-Fields reaction of benzaldehyde, propylamine, and diethyl phosphite by in situ Fourier transform IR spectroscopy. Heteroat. Chem. 2011, 22, 599–604. [Google Scholar] [CrossRef]
- Kafarski, P.; Gorniak, M.G.V.; Andrasiak, I. Kabachnik-Fields Reaction Under Green Conditions—A Critical Overview. Curr. Green Chem. 2015, 2, 218–222. [Google Scholar] [CrossRef]
- Keglevich, G.; Szekrényi, A. Eco-Friendly Accomplishment of the Extended Kabachnik—Fields Reaction; A Solvent- and Catalyst-Free Microwave-Assisted Synthesis of α- Aminophosphonates and α-Aminophosphine Oxides. Lett. Org. Chem. 2008, 5, 616–622. [Google Scholar] [CrossRef]
- Ranu, B.C.; Hajra, A. A simple and green procedure for the synthesis of α-aminophosphonate by a one-pot three-component condensation of carbonyl compound, amine and diethyl phosphite without solvent and catalyst. Green Chem. 2002, 4, 551–554. [Google Scholar] [CrossRef]
- Kabachnik, M.M.; Zobnina, E.V.; Beletskaya, I.P. Catalyst-Free Microwave-Assisted Synthesis of α-Aminophosphonates in a Three-Component System: R1C(O)R2-(EtO)2P(O)H-RNH2. Synlett 2005, 2005, 1393–1396. [Google Scholar] [CrossRef]
- Mu, X.-J.; Lei, M.-Y.; Zou, J.-P.; Zhang, W. Microwave-assisted solvent-free and catalyst-free Kabachnik–Fields reactions for α-amino phosphonates. Tetrahedron Lett. 2006, 47, 1125–1127. [Google Scholar] [CrossRef]
- Zahouily, M.; Elmakssoudi, A.; Mezdar, A.; Rayadh, A.; Sebti, S. Uncatalysed Preparation of α-Amino Phosphonates under Solvent Free Conditions. J. Chem. Res. 2005, 2005, 324–327. [Google Scholar] [CrossRef]
- Prauda, I.; Greiner, I.; Ludányi, K.; Keglevich, G. Efficient Synthesis of Phosphono- and Phosphinoxidomethylated N-Heterocycles under Solvent-Free Microwave Conditions. Synth. Commun. 2007, 37, 317–322. [Google Scholar] [CrossRef]
- Keglevich, G.; Szekrenyi, A.; Sipos, M.; Ludányi, K.; Greiner, I. Synthesis of cyclic aminomethylphosphonates and aminomethyl-arylphosphinic acids by an efficient microwave-mediated phospha-mannich approach. Heteroat. Chem. 2008, 19, 207–210. [Google Scholar] [CrossRef]
- Shuvalov, M.V.; Maklakova, S.Y.; Rudakova, E.V.; Kovaleva, N.V.; Makhaeva, G.F.; Podrugina, T.A. New Possibilities of the Kabachnik–Fields and Pudovik Reactions in the Phthalocyanine-Catalyzed Syntheses of α-Aminophosphonic and α-Aminophosphinic Acid Derivatives. Russ. J. Gen. Chem. 2018, 88, 1761–1775. [Google Scholar] [CrossRef]
- Cabrita, I.R.; Sousa, S.C.; Florindo, P.R.; Fernandes, A.C. Direct Aminophosphonylation of aldehydes catalyzed by cyclopentadienyl ruthenium(II) complexes. Tetrahedron 2018, 74, 1817–1825. [Google Scholar] [CrossRef]
- Awad, M.K.; Abdel-Aal, M.F.; Atlam, F.M.; Hekal, H.A. Design, synthesis, molecular modeling, and biological evaluation of novel α-aminophosphonates based quinazolinone moiety as potential anticancer agents: DFT, NBO and vibrational studies. J. Mol. Struct. 2018, 1173, 128–141. [Google Scholar] [CrossRef]
- Disale, S.T.; Kale, S.R.; Kahandal, S.S.; Srinivasan, T.G.; Jayaram, R.V. Choline chloride·2ZnCl2 ionic liquid: An efficient and reusable catalyst for the solvent free Kabachnik–Fields reaction. Tetrahedron Lett. 2012, 53, 2277–2279. [Google Scholar] [CrossRef]
- Ordóñez, M.; Viveros-Ceballos, J.L.; Estudillo, I.R. Stereoselective Synthesis of α-Aminophosphonic Acids through Pudovik and Kabachnik-Fields Reaction. In Amino Acid—New Insights and Roles in Plant and Animal; IntechOpen: Rijeka, Croatia, 2017; pp. 1328–1365. [Google Scholar]
- Ohara, M.; Nakamura, S.; Shibata, N. Direct Enantioselective Three-Component Kabachnik-Fields Reaction Catalyzed by Chiral Bis(imidazoline)-Zinc(II) Catalysts. Adv. Synth. Catal. 2011, 353, 3285–3289. [Google Scholar] [CrossRef]
- Essid, I.; Touil, S. Efficient and Green One-Pot Multi-Component Synthesis of α-Aminophosphonates Catalyzed by Zinc Triflate. Curr. Org. Synth. 2017, 14, 272–278. [Google Scholar] [CrossRef]
- Ewies, E.F.; El-Hussieny, M.; El-Sayed, N.F.; Fouad, M.A. Design, synthesis and biological evaluation of novel α-aminophosphonate oxadiazoles via optimized iron triflate catalyzed reaction as apoptotic inducers. Eur. J. Med. Chem. 2019, 180, 310–320. [Google Scholar] [CrossRef]
- Das, S.; Rawal, P.; Bhattacharjee, J.; Devadkar, A.; Pal, K.; Gupta, P.; Panda, T.K. Indium promoted C(sp3)–P bond formation by the Domino A3-coupling method—A combined experimental and computational study. Inorg. Chem. Front. 2021, 8, 1142–1153. [Google Scholar] [CrossRef]
- Teimouri, A.; Chermahini, A.N.; Narimani, M. Three component coupling catalyzed by nickel (II) chloride hexahydrate: Synthesis of α-amino phosphonates. Chiang Mai J. Sci. 2015, 42, 228–237. [Google Scholar]
- Hou, J.-T.; Gao, J.-W.; Zhang, Z.-H. NbCl5: An efficient catalyst for one-pot synthesis of α-aminophosphonates under solvent-free conditions. Appl. Organomet. Chem. 2010, 25, 47–53. [Google Scholar] [CrossRef]
- Che, J.-Y.; Xu, X.-Y.; Tang, Z.-L.; Gu, Y.-C.; Shi, D.-Q. Synthesis and herbicidal activity evaluation of novel α-amino phosphonate derivatives containing a uracil moiety. Bioorganic Med. Chem. Lett. 2016, 26, 1310–1313. [Google Scholar] [CrossRef]
- Jafari, A.A.; Nazarpour, M.; Abdollahi-Alibeik, M. CeCl3·7H2O-catalyzed one-pot Kabachnik-Fields reaction: A green protocol for three-component synthesis of α-aminophosphonates. Heteroat. Chem. 2010, 21, 397–403. [Google Scholar] [CrossRef]
- Agawane, S.M.; Nagarkar, J.M. Nano ceria catalyzed synthesis of α-aminophosphonates under ultrasonication. Tetrahedron Lett. 2011, 52, 3499–3504. [Google Scholar] [CrossRef]
- Sreelakshmi, P.; Santhisudha, S.; Reddy, G.R.; Subbarao, Y.; Peddanna, K.; Apparao, C.; Reddy, C.S. Nano-Cuo–Au-catalyzed solvent-free synthesis of α-aminophosphonates and evaluation of their antioxidant and α-glucosidase enzyme inhibition activities. Synth. Commun. 2018, 48, 1148–1163. [Google Scholar] [CrossRef]
- Reddy, K.M.K.; Santhisudha, S.; Mohan, G.; Peddanna, K.; Rao, C.A.; Reddy, C.S. Nano Gd2O3 catalyzed synthesis and anti-oxidant activity of new α-aminophosphonates. Phosphorus Sulfur Silicon Relat. Elem. 2016, 191, 933–938. [Google Scholar] [CrossRef]
- Saberi, D.; Cheraghi, S.; Mahdudi, S.; Akbari, J.; Heydari, A. Dehydroascorbic acid (DHAA) capped magnetite nanoparticles as an efficient magnetic organocatalyst for the one-pot synthesis of α-aminonitriles and α-aminophosphonates. Tetrahedron Lett. 2013, 54, 6403–6406. [Google Scholar] [CrossRef]
- Shaibuna, M.; Sreekumar, K. Experimental Investigation on the Correlation between the Physicochemical Properties and Catalytic Activity of Six DESs in the Kabachnik-Fields Reaction. ChemBioChem 2020, 5, 13454–13460. [Google Scholar] [CrossRef]
- Rostamnia, S.; Xin, H.; Nouruzi, N. Metal–organic frameworks as a very suitable reaction inductor for selective solvent-free multicomponent reaction: IRMOF-3 as a heterogeneous nanocatalyst for Kabachnik–Fields three-component reaction. Microporous Mesoporous Mater. 2013, 179, 99–103. [Google Scholar] [CrossRef]
- Khatri, C.K.; Satalkar, V.B.; Chaturbhuj, G.U. Sulfated polyborate catalyzed Kabachnik-Fields reaction: An efficient and eco-friendly protocol for synthesis of α-amino phosphonates. Tetrahedron Lett. 2017, 58, 694–698. [Google Scholar] [CrossRef]
- Ordonez, M.; Tibhe, G.; Bedolla-Medrano, M.; Cativiela, C. Phenylboronic Acid as Efficient and Eco-Friendly Catalyst for the One-Pot, Three-Component Synthesis of α-Aminophosphonates under Solvent-Free Conditions. Synlett 2012, 23, 1931–1936. [Google Scholar] [CrossRef]
- Ordóñez, M.; Bedolla-Medrano, M.; Hernández-Fernández, E. Phenylphosphonic Acid as Efficient and Recyclable Catalyst in the Synthesis of α-Aminophosphonates under Solvent-Free Conditions. Synlett 2014, 25, 1145–1149. [Google Scholar] [CrossRef]
- Hellal, A.; Chafaa, S.; Chafai, N.; Touafri, L. Synthesis, antibacterial screening and DFT studies of series of α-amino-phosphonates derivatives from aminophenols. J. Mol. Struct. 2017, 1134, 217–225. [Google Scholar] [CrossRef]
- Rostamnia, S.; Hassankhani, A. Application of biodegradable supramolecular polymer-supported catalyst for multicomponent synthesis of α-aminophosphonates Kabachnik–Fields reaction. Supramol. Chem. 2014, 26, 736–739. [Google Scholar] [CrossRef]
- Cherkasov, R.A.; Garifzyanov, A.R.; Koshkin, S.A. Synthesis of α-Aminophosphine Oxides with Chiral Phosphorus and Carbon Atoms. Phosphorus Sulfur Silicon Relat. Elem. 2011, 186, 782–784. [Google Scholar] [CrossRef]
- Cherkasov, R.A.; Garifzyanov, A.R.; Koshkin, S.A. Synthesis of optically active α-aminophosphine oxides and enantioselective membrane transport of acids with their participation. Russ. J. Gen. Chem. 2011, 81, 773–774. [Google Scholar] [CrossRef]
- Vagapova, L.I.; Burilov, A.R.; Voronina, J.K.; Syakaev, V.V.; Sharafutdinova, D.R.; Amirova, L.R.; Pudovik, M.A.; Garifzyanov, A.R.; Sinyashin, O.G. Phosphorylated Aminoacetal in the Synthesis of New Acyclic, Cyclic, and Heterocyclic Polyphenol Structures. Heteroat. Chem. 2014, 25, 178–185. [Google Scholar] [CrossRef]
- Vagapova, L.I.; Burilov, A.R.; Amirova, L.R.; Voronina, J.K.; Garifzyanov, A.R.; Abdrachmanova, N.F.; Pudovik, M.A. New aminophosphonates (aminophosphine oxides) containing acetal groups in reactions with polyatomic phenols. Phosphorus Sulfur Silicon Relat. Elem. 2016, 191, 1527–1529. [Google Scholar] [CrossRef]
- Gangireddy, C.S.R.; Chinthaparthi, R.R.; Mudumala, V.R.; Mamilla, M.; Arigala, U.R.S. An Efficient Green Synthesis of a New Class of α-Aminophosphonates under Microwave Irradiation Conditions in the Presence of PS/ P TSA. Heteroat. Chem. 2014, 25, 147–156. [Google Scholar] [CrossRef]
- Gundluru, M.; Badavath, V.N.; Shaik, H.Y.; Sudileti, M.; Nemallapudi, B.R.; Gundala, S.; Zyryanov, G.V.; Cirandur, S.R. Design, synthesis, cytotoxic evaluation and molecular docking studies of novel thiazolyl α-aminophosphonates. Res. Chem. Intermed. 2021, 47, 1139–1160. [Google Scholar] [CrossRef]
- Nayab, R.S.; Maddila, S.; Krishna, M.P.; Titinchi, S.J.; Thaslim, B.S.; Chintha, V.; Wudayagiri, R.; Nagam, V.; Tartte, V.; Chinnam, S.; et al. In silico molecular docking and in vitro antioxidant activity studies of novel α-aminophosphonates bearing 6-amino-1,3-dimethyl uracil. J. Recept. Signal Transduct. 2020, 40, 166–172. [Google Scholar] [CrossRef] [PubMed]
- Hellal, A.; Chafaa, S.; Touafri, L. An eco-friendly procedure for the efficient synthesis of diethyl α-aminophosphonates in aqueous media using natural acids as a catalyst. Korean J. Chem. Eng. 2016, 33, 2366–2373. [Google Scholar] [CrossRef]
- Thirumurugan, P.; Nandakumar, A.; Priya, N.S.; Muralidaran, D.; Perumal, P. KHSO4-mediated synthesis of α-amino phosphonates under a neat condition and their 31P NMR chemical shift assignments. Tetrahedron Lett. 2010, 51, 5708–5712. [Google Scholar] [CrossRef]
- Reddy, P.S.; Reddy, P.V.G.; Reddy, S.M. Phosphomolybdic acid promoted Kabachnik–Fields reaction: An efficient one-pot synthesis of α-aminophosphonates from 2-cyclopropylpyrimidine-4-carbaldehyde. Tetrahedron Lett. 2014, 55, 3336–3339. [Google Scholar] [CrossRef]
- Reddy, P.S.; Reddy, M.V.K.; Reddy, P.V.G. Camphor-derived thioureas: Synthesis and application in asymmetric Kabachnik-Fields reaction. Chin. Chem. Lett. 2016, 27, 943–947. [Google Scholar] [CrossRef]
- Tillu, V.; Dumbre, D.; Wakharkar, R.; Choudhary, V. One-pot three-component Kabachnik–Fields synthesis of α-aminophosphonates using H-beta zeolite catalyst. Tetrahedron Lett. 2011, 52, 863–866. [Google Scholar] [CrossRef]
- Taran, J.; Ramazani, A.; Aghahosseini, H.; Gouranlou, F.; Tarasi, R.; Khoobi, M.; Joo, S.W. One-pot three-component syntheses of α-aminophosphonates from a primary amine, quinoline-4-carbaldehyde and a phosphite in the presence of MCM-41@PEI as an efficient nanocatalyst. Phosphorus Sulfur Silicon Relat. Elem. 2017, 192, 776–781. [Google Scholar] [CrossRef]
- Fan, W.; Queneau, Y.; Popowycz, F. The synthesis of HMF-based α-amino phosphonatesviaone-pot Kabachnik–Fields reaction. RSC Adv. 2018, 8, 31496–31501. [Google Scholar] [CrossRef]
- Nadiveedhi, M.R.; Nuthalapati, P.; Gundluru, M.; Yanamula, M.R.; Kallimakula, S.V.; Pasupuleti, V.R.; Avula, V.K.R.; Vallela, S.; Zyryanov, G.V.; Balam, S.K.; et al. Green Synthesis, Antioxidant, and Plant Growth Regulatory Activities of Novel α-Furfuryl-2-alkylaminophosphonates. ACS Omega 2021, 6, 2934–2948. [Google Scholar] [CrossRef] [PubMed]
- Rostamnia, S.; Amini, M. Ultrasonic and Lewis acid ionic liquid catalytic system for Kabachnik-Fields reaction. Chem. Pap. 2014, 68, 834–837. [Google Scholar] [CrossRef]
- Eyckens, D.J.; Henderson, L.C. Synthesis of α-aminophosphonates using solvate ionic liquids. RSC Adv. 2017, 7, 27900–27904. [Google Scholar] [CrossRef]
- Qu, Z.; Chen, X.; Yuan, J.; Bai, Y.; Chen, T.; Qu, L.; Wang, F.; Li, X.; Zhao, Y. New synthetic methodology leading to a series of novel heterocyclic α-aminophosphonates: A very attractive expansion of Kabachnik–Fields reaction. Tetrahedron 2012, 68, 3156–3159. [Google Scholar] [CrossRef]
- Tajti, Á.; Tóth, N.; Rávai, B.; Csontos, I.; Szabó, P.T.; Bálint, E. Study on the Microwave-Assisted Batch and Continuous Flow Synthesis of N-Alkyl-Isoindolin-1-One-3-Phosphonates by a Special Kabachnik–Fields Condensation. Molecules 2020, 25, 3307. [Google Scholar] [CrossRef]
- Lewkowski, J.; Moya, M.R. The formation of dimethyl amino(pyrene-1-yl)methylphosphonates in the Kabachnik-Fields reaction with dibenzyl phosphite, pyrene-1-carboxaldehyde and a non-aromatic amine in methanol. Phosphorus Sulfur Silicon Relat. Elem. 2017, 192, 713–718. [Google Scholar] [CrossRef]
- Sampath, C.; Harika, P.; Revaprasadu, N. Design, green synthesis, anti-microbial, and anti-oxidant activities of novel α-aminophosphonates via Kabachnik-Fields reaction. Phosphorus Sulfur Silicon Relat. Elem. 2016, 191, 1081–1085. [Google Scholar] [CrossRef]
- Kumar, M.A.; Lee, K.D. A Simple and Catalyst-Free One-Pot Synthesis of α-Aminophosphonates in Polyethylene Glycol. Phosphorus Sulfur Silicon Relat. Elem. 2012, 187, 899–905. [Google Scholar] [CrossRef]
- Azizi, K.; Karimi, M.; Heydari, A. A catalyst-free synthesis of α-aminophosphonates in glycerol. Tetrahedron Lett. 2014, 55, 7236–7239. [Google Scholar] [CrossRef]
- Bazine, I.; Bendjedid, S.; Boukhari, A. Potential antibacterial and antifungal activities of novel sulfamidophosphonate derivatives bearing the quinoline or quinolone moiety. Arch. Pharm. 2021, 354, e2000291. [Google Scholar] [CrossRef] [PubMed]
- Keglevich, G.; Szekrényi, A.; Kovács, R.; Grün, A. Microwave Irradiation as a Useful Tool in Organophosphorus Syntheses. Phosphorus Sulfur Silicon Relat. Elem. 2009, 184, 1648–1652. [Google Scholar] [CrossRef]
- Bálint, E.; Tóth, R.E.; Keglevich, G. Synthesis of alkyl α-aminomethyl-phenylphosphinates and N,N-bis(alkoxyphenylphosphinylmethyl)amines by the microwave-assisted Kabachnik-Fields reaction. Heteroat. Chem. 2016, 27, 323–335. [Google Scholar] [CrossRef]
- Hudson, H.R.; Tajti, Á.; Bálint, E.; Czugler, M.; Karaghiosoff, K.; Keglevich, G. Microwave-assisted synthesis of α-aminophosphonates with sterically demanding α-aryl substituents. Synth. Commun. 2020, 50, 1446–1455. [Google Scholar] [CrossRef]
- Bálint, E.; Takács, J.; Drahos, L.; Juranovič, A.; Kočevar, M.; Keglevich, G. α-Aminophosphonates and α-Aminophosphine Oxides by the Microwave-Assisted Kabachnik-Fields Reactions of 3-Amino-6-methyl-2H-pyran-2-ones. Heteroat. Chem. 2013, 24, 221–225. [Google Scholar] [CrossRef]
- Tajti, Á.; Szatmári, E.; Perdih, F.; Keglevich, G.; Bálint, E. Microwave-Assisted Kabachnik⁻Fields Reaction with Amino Alcohols as the Amine Component. Molecules 2019, 24, 1640. [Google Scholar] [CrossRef] [PubMed]
- Balint, E.; Fazekas, E.; Drahos, L.; Keglevich, G. The Synthesis of N,N-Bis(dialkoxyphosphinoylmethyl)- and N,N-Bis(diphenylphosphinoylmethyl)glycine Esters by the Microwave-Assisted Double Kabachnik-Fields Reaction. Heteroat. Chem. 2013, 24, 510–515. [Google Scholar] [CrossRef]
- Bálint, E.; Fazekas, E.; Kóti, J.; Keglevich, G. Synthesis of N,N-Bis(dialkoxyphosphinoylmethyl)- and N,N-Bis(diphenylphosphinoylmethyl)-β- and γ-amino acid Derivatives by the Microwave-Assisted Double Kabachnik-Fields Reaction. Heteroat. Chem. 2014, 26, 106–115. [Google Scholar] [CrossRef]
- Bálint, E.; Tripolszky, A.; Hegedűs, L.; Keglevich, G. Microwave-assisted synthesis of N,N-bis(phosphinoylmethyl)amines and N,N,N-tris(phosphinoylmethyl)amines bearing different substituents on the phosphorus atoms. Beilstein J. Org. Chem. 2019, 15, 469–473. [Google Scholar] [CrossRef] [PubMed]
- Tajti, Á.; Balint, E.; Keglevich, G. Synthesis of Ethyl Octyl α-Aminophosphonate Derivatives. Curr. Org. Synth. 2016, 13, 638–645. [Google Scholar] [CrossRef]
- Bálint, E.; Fazekas, E.; Tripolszky, A.; Kangyal, R.; Milen, M.; Keglevich, G. Synthesis of α-Aminophosphonate Derivatives by Microwave-Assisted Kabachnik–Fields Reaction. Phosphorus Sulfur Silicon Relat. Elem. 2015, 190, 655–659. [Google Scholar] [CrossRef]
- Keglevich, G.; Szekrényi, A.; Szöllősy, Á.; Drahos, L. Synthesis of Bis(phosphonatomethyl)-, Bis(phosphinatomethyl)-, and Bis(phosphinoxidomethyl)amines, as Well as Related Ring Bis(phosphine) Platinum Complexes. Synth. Commun. 2011, 41, 2265–2272. [Google Scholar] [CrossRef]
- Balint, E.; Fazekas, E.; Pinter, G.; Szöllősy, Á.; Holczbauer, T.; Czugler, M.; Drahos, L.; Körtvélyesi, T.; Keglevich, G. P(O)CH2)amine Derivatives Obtained by the Double Kabachnik–Fields Reaction with Cyclohexylamine; Quantum Chemical and X-Ray Study of the Related Bidentate Chelate Platinum Complexes. Curr. Org. Chem. 2012, 16, 547–554. [Google Scholar] [CrossRef]
- Bálint, E.; Fazekas, E.; Pongrácz, P.; Kollár, L.; Drahos, L.; Holczbauer, T.; Czugler, M.; Keglevich, G. N-Benzyl and N-aryl bis(phospha-Mannich adducts): Synthesis and catalytic activity of the related bidentate chelate platinum complexes in hydroformylation. J. Organomet. Chem. 2012, 717, 75–82. [Google Scholar] [CrossRef]
- Bálint, E.; Tajti, Á.; Kalocsai, D.; Mátravölgyi, B.; Karaghiosoff, K.; Czugler, M.; Keglevich, G. Synthesis and utilization of optically active α-aminophosphonate derivatives by Kabachnik-Fields reaction. Tetrahedron 2017, 73, 5659–5667. [Google Scholar] [CrossRef]
- Bálint, E.; Tajti, A.; Tripolszky, A.; Keglevich, G. Synthesis of platinum, palladium and rhodium complexes of α-aminophosphine ligands. Dalton Trans. 2018, 47, 4755–4778. [Google Scholar] [CrossRef]
- Tripolszky, A.; Zoboki, L.; Bálint, E.; Kóti, J.; Keglevich, G. Microwave-assisted synthesis of α-aminophosphine oxides by the Kabachnik-Fields reaction applying amides as the starting materials. Synth. Commun. 2019, 49, 1047–1054. [Google Scholar] [CrossRef]
- Bálint, E.; Tripolszky, A.; Jablonkai, E.; Karaghiosoff, K.; Czugler, M.; Mucsi, Z.; Kollár, L.; Pongrácz, P.; Keglevich, G. Synthesis and use of α-aminophosphine oxides and N,N-bis(phosphinoylmethyl)amines—A study on the related ring platinum complexes. J. Organomet. Chem. 2016, 801, 111–121. [Google Scholar] [CrossRef]
- Keglevich, G.; Rádai, Z. α-Hydroxyphosphonates as intermediates in the Kabachnik–Fields reaction: New proof of their reversible formation. Tetrahedron Lett. 2020, 61, 151961. [Google Scholar] [CrossRef]
- Kiss, N.Z.; Kaszás, A.; Drahos, L.; Mucsi, Z.; Keglevich, G. A neighbouring group effect leading to enhanced nucleophilic substitution of amines at the hindered α-carbon atom of an α-hydroxyphosphonate. Tetrahedron Lett. 2012, 53, 207–209. [Google Scholar] [CrossRef]
- Kiss, N.Z.; Rádai, Z.; Mucsi, Z.; Keglevich, G. Synthesis of α-aminophosphonates from α-hydroxyphosphonates; a theoretical study. Heteroat. Chem. 2016, 27, 260–268. [Google Scholar] [CrossRef]
- Bálint, E.; Tajti, Á.; Dzielak, A.; Hägele, G.; Keglevich, G. Microwave-assisted synthesis of (aminomethylene)bisphosphine oxides and (aminomethylene)bisphosphonates by a three-component condensation. Beilstein J. Org. Chem. 2016, 12, 1493–1502. [Google Scholar] [CrossRef] [PubMed]
- Li, X.-A.; Li, J.-Y.; Yang, B.; Yang, S.-D. Catalyst-free three-component reaction to synthesize chiral α-amino phosphine oxides. RSC Adv. 2014, 4, 39920–39923. [Google Scholar] [CrossRef]
- Tibhe, G.D.; Reyes-Gonzalez, M.A.; Cativiela, C.; Ordonez, M. Microwave-assisted High Diastereoselective Synthesis of α-Aminophosphonates under Solvent and Catalyst Free-conditions. J. Mex. Chem. Soc. 2017, 56, 94. [Google Scholar] [CrossRef]
- Reddy, C.B.; Kumar, K.S.; Kumar, M.A.; Reddy, M.V.N.; Krishna, B.S.; Naveen, M.; Arunasree, M.; Raju, C.N. PEG-SO3H catalyzed synthesis and cytotoxicity of α-aminophosphonates. Eur. J. Med. Chem. 2012, 47, 553–559. [Google Scholar] [CrossRef] [PubMed]
- Xu, D.-Z.; Yu, Y.-Q. A Simple and Green Procedure for the One-Pot Synthesis of α-Aminophosphonates with Quaternary Ammonium Salts as Efficient and Recyclable Reaction Media. Synth. 2015, 47, 1869–1876. [Google Scholar] [CrossRef]
- Milen, M.; Ábrányi-Balogh, P.; Dancsó, A.; Frigyes, D.; Pongó, L.; Keglevich, G. T3P®-promoted Kabachnik–Fields reaction: An efficient synthesis of α-aminophosphonates. Tetrahedron Lett. 2013, 54, 5430–5433. [Google Scholar] [CrossRef]
- Wu, M.; Liu, R.; Wan, D. Convenient One-Pot Synthesis of α-Amino Phosphonates in Water Usingp-Toluenesulfonic Acid as Catalyst for the Kabachnik-Fields Reaction. Heteroat. Chem. 2013, 24, 110–115. [Google Scholar] [CrossRef]
- Ando, K.; Egami, T. Facile synthesis of α-amino phosphonates in water by Kabachnik-Fields reaction using magnesium dodecyl sulfate. Heteroat. Chem. 2011, 22, 358–362. [Google Scholar] [CrossRef]
- Li, X.-C.; Gong, S.-S.; Zeng, D.-Y.; You, Y.-H.; Sun, Q. Highly efficient synthesis of α-aminophosphonates catalyzed by hafnium(IV) chloride. Tetrahedron Lett. 2016, 57, 1782–1785. [Google Scholar] [CrossRef]
- Fang, D.; Jiao, C.; Ni, C. SO3H-functionalized ionic liquids catalyzed the synthesis of α-aminophosphonates in aqueous media. Heteroat. Chem. 2010, 21, 546–550. [Google Scholar] [CrossRef]
- Gao, G.; Chen, M.-N.; Mo, L.-P.; Zhang, Z.-H. Catalyst free one-pot synthesis of α-aminophosphonates in aqueous ethyl lactate. Phosphorus Sulfur Silicon Relat. Elem. 2018, 194, 528–532. [Google Scholar] [CrossRef]
- Dar, B.; Singh, A.; Sahu, A.; Patidar, P.; Chakraborty, A.; Sharma, M.; Singh, B. Catalyst and solvent-free, ultrasound promoted rapid protocol for the one-pot synthesis of α-aminophosphonates at room temperature. Tetrahedron Lett. 2012, 53, 5497–5502. [Google Scholar] [CrossRef]
- Hajinasiri, R.; Hossaini, Z.; Rostami-Charati, F. Efficient synthesis of α-aminophosphonates via one-pot reactions of aldehydes, amines, and phosphates in ionic liquid. Heteroat. Chem. 2011, 22, 625–629. [Google Scholar] [CrossRef]
- Esmaeilpour, M.; Zahmatkesh, S.; Javidi, J.; Rezaei, E. A green one-pot three-component synthesis of α-aminophosphonates under solvent-free conditions and ultrasonic irradiation using Fe3O4@SiO2-imid-PMAn as magnetic catalyst. Phosphorus Sulfur Silicon Relat. Elem. 2017, 192, 530–537. [Google Scholar] [CrossRef]
- Karimi-Jaberi, Z.; Amiri, M. One-pot synthesis of α-aminophosphonates catalyzed by boric acid at room temperature. Heteroat. Chem. 2010, 21, 96–98. [Google Scholar] [CrossRef]
- Fang, N.; Yang, J.; Ni, C. Dicationic ionic liquids as recyclable catalysts for one-pot solvent-free synthesis of α-aminophosphonates. Heteroat. Chem. 2010, 22, 5–10. [Google Scholar] [CrossRef]
- Borse, A.U.; Patil, N.L.; Patil, M.N.; Mali, R.S. Synthetic utility of Kabachnik–Fields reaction: A convenient one-pot three-component synthesis of N-phenyl isoquinolone-1-phosphonates. Tetrahedron Lett. 2012, 53, 6940–6942. [Google Scholar] [CrossRef]
- Ordóñez, M.; Tibhe, G.; Zamudio-Medina, A.; Viveros-Ceballos, J. An Easy Approach for the Synthesis of N-Substituted Isoindolin-1-ones. Synth. 2012, 2012, 569–574. [Google Scholar] [CrossRef]
- Reyes-González, M.A.; Zamudio-Medina, A.; Ordóñez, M. Practical and high stereoselective synthesis of 3-(arylmethylene)isoindolin-1-ones from 2-formylbenzoic acid. Tetrahedron Lett. 2012, 53, 5756–5758. [Google Scholar] [CrossRef]
- Viveros-Ceballos, J.L.; Cativiela, C.; Ordóñez, M. One-pot three-component highly diastereoselective synthesis of isoindolin-1-one-3-phosphonates under solvent and catalyst free-conditions. Tetrahedron Asymmetry 2011, 22, 1479–1484. [Google Scholar] [CrossRef]
- Milen, M.; Dancsó, A.; Földesi, T.; Slégel, P.; Volk, B. Propylphosphonic anhydride (T3P®) mediated one-pot three-component synthesis of racemic dialkyl (2-substituted-3-oxo-2,3-dihydro-1H-isoindol-1-yl)phosphonates. Tetrahedron 2016, 72, 5091–5099. [Google Scholar] [CrossRef]
- Reddy, S.S.; Rao, V.K.; Krishna, B.S.; Reddy, C.S.; Rao, P.V.; Raju, C.N. Synthesis, Antimicrobial, and Antioxidant Activity of New α-Aminophosphonates. Phosphorus Sulfur Silicon Relat. Elem. 2011, 186, 1411–1421. [Google Scholar] [CrossRef]
- Fu, X.; Loh, W.-T.; Zhang, Y.; Chen, T.; Ma, T.; Liu, H.; Wang, J.; Tan, C.-H. Chiral Guanidinium Salt Catalyzed Enantioselective Phospha-Mannich Reactions. Angew. Chem. 2009, 121, 7523–7526. [Google Scholar] [CrossRef]
- Kumar, A.; Sharma, V.; Kaur, J.; Kumar, V.; Mahajan, S.; Kumar, N.; Chimni, S.S. Cinchona-derived thiourea catalyzed hydrophosphonylation of ketimines—An enantioselective synthesis of α-amino phosphonates. Tetrahedron 2014, 70, 7044–7049. [Google Scholar] [CrossRef]
- Lewkowski, J.; Morawska, M.; Karpowicz, R.; Rychter, P.; Rogacz, D.; Lewicka, K. Novel (5-nitrofurfuryl)-substituted esters of phosphonoglycine—Their synthesis and phyto- and ecotoxicological properties. Chemosphere 2017, 188, 618–632. [Google Scholar] [CrossRef]
- Lewkowski, J.; Morawska, M.; Kowalczyk, A. Antibacterial action of (5-nitrofurfuryl)-derived aminophosphonates and their parent imines. Chem. Pap. 2018, 73, 365–374. [Google Scholar] [CrossRef]
- Lewkowski, J.; Morawska, M.; Kaczmarek, A.; Rogacz, D.; Rychter, P. Novel N-Arylaminophosphonates Bearing a Pyrrole Moiety and Their Ecotoxicological Properties. Molecules 2017, 22, 1132. [Google Scholar] [CrossRef]
- Wang, Q.; Yang, L.; Ding, H.; Chen, X.; Wang, H.; Tang, X. Synthesis, X-ray crystal structure, DNA/protein binding and cytotoxicity studies of five α-aminophosphonate N-derivatives. Bioorganic Chem. 2016, 69, 132–139. [Google Scholar] [CrossRef] [PubMed]
- De Noronha, R.G.; Romão, C.C.; Fernandes, A.C. MoO2Cl2 as a novel catalyst for the synthesis of α-aminophosphonates. Catal. Commun. 2011, 12, 337–340. [Google Scholar] [CrossRef]
- Bálint, E.; Tajti, Á.; Ádám, A.; Csontos, I.; Karaghiosoff, K.; Czugler, M.; Ábrányi-Balogh, P.; Keglevich, G. The synthesis of α-aryl-α-aminophosphonates and α-aryl-α-aminophosphine oxides by the microwave-assisted Pudovik reaction. Beilstein J. Org. Chem. 2017, 13, 76–86. [Google Scholar] [CrossRef]
- Kakuchi, R.; Theato, P. Efficient Multicomponent Postpolymerization Modification Based on Kabachnik-Fields Reaction. ACS Macro Lett. 2014, 3, 329–332. [Google Scholar] [CrossRef]
- Zhang, Y.; Zhao, Y.; Yang, B.; Zhu, C.; Wei, Y.; Tao, L. ‘One pot’ synthesis of well-defined poly(aminophosphonate)s: Time for the Kabachnik–Fields reaction on the stage of polymer chemistry. Polym. Chem. 2013, 5, 1857–1862. [Google Scholar] [CrossRef]
- Bachler, P.R.; Schulz, M.D.; Sparks, C.A.; Wagener, K.B.; Sumerlin, B.S. Aminobisphosphonate Polymers via RAFT and a Multicomponent Kabachnik-Fields Reaction. Macromol. Rapid Commun. 2015, 36, 828–833. [Google Scholar] [CrossRef] [PubMed]






















































































Publisher’s Note: MDPI stays neutral with regard to jurisdictional claims in published maps and institutional affiliations. |
© 2021 by the authors. Licensee MDPI, Basel, Switzerland. This article is an open access article distributed under the terms and conditions of the Creative Commons Attribution (CC BY) license (https://creativecommons.org/licenses/by/4.0/).
Share and Cite
Varga, P.R.; Keglevich, G. Synthesis of α-Aminophosphonates and Related Derivatives; The Last Decade of the Kabachnik–Fields Reaction. Molecules 2021, 26, 2511. https://doi.org/10.3390/molecules26092511
Varga PR, Keglevich G. Synthesis of α-Aminophosphonates and Related Derivatives; The Last Decade of the Kabachnik–Fields Reaction. Molecules. 2021; 26(9):2511. https://doi.org/10.3390/molecules26092511
Chicago/Turabian StyleVarga, Petra R., and György Keglevich. 2021. "Synthesis of α-Aminophosphonates and Related Derivatives; The Last Decade of the Kabachnik–Fields Reaction" Molecules 26, no. 9: 2511. https://doi.org/10.3390/molecules26092511
APA StyleVarga, P. R., & Keglevich, G. (2021). Synthesis of α-Aminophosphonates and Related Derivatives; The Last Decade of the Kabachnik–Fields Reaction. Molecules, 26(9), 2511. https://doi.org/10.3390/molecules26092511

