Design, Synthesis and Preclinical Assessment of 99mTc-iFAP for In Vivo Fibroblast Activation Protein (FAP) Imaging
Abstract
:1. Introduction
2. Results and Discussion
2.1. Molecular Docking
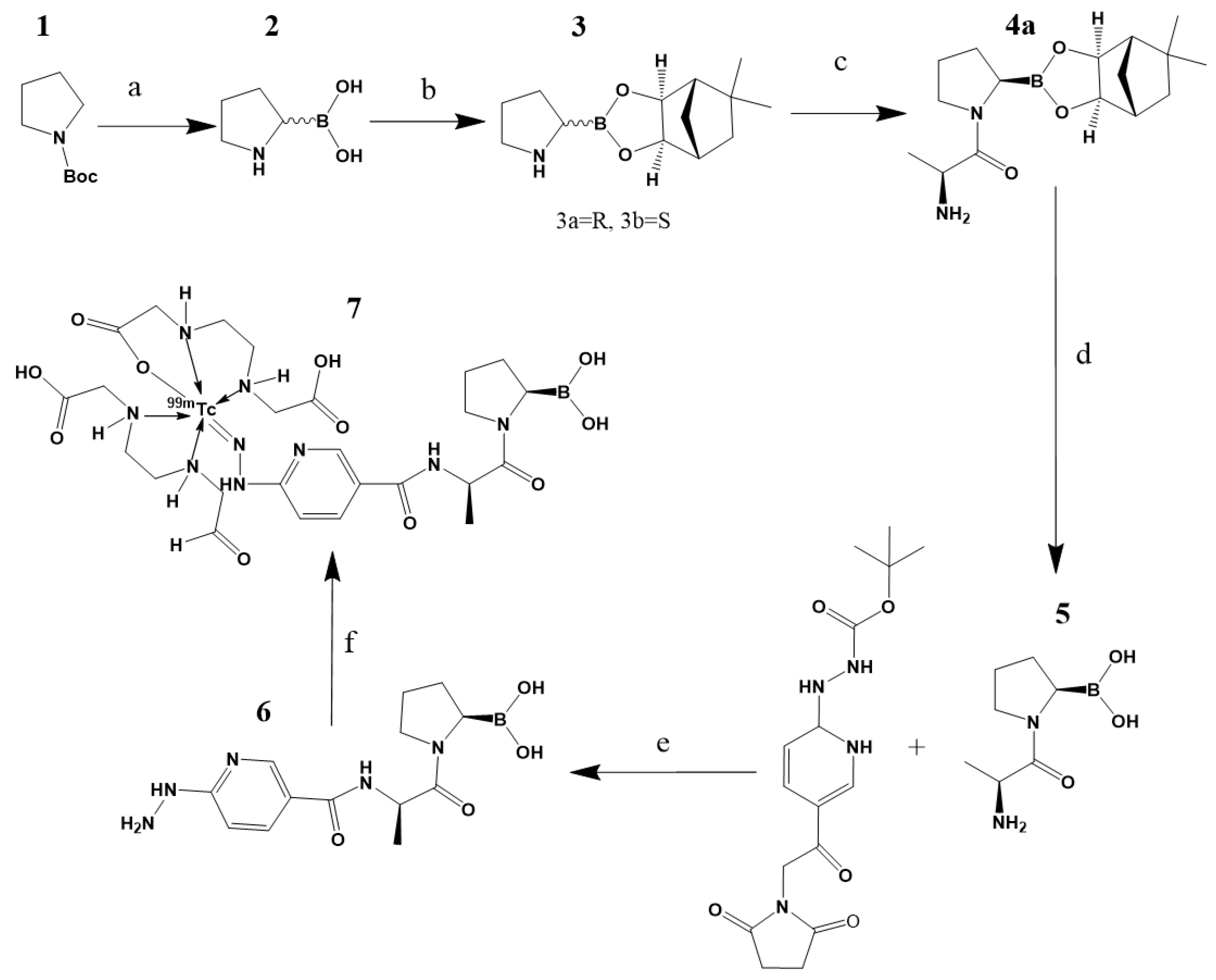
2.2. Chemical Synthesis
2.3. Chemical Characterization
2.3.1. iFAP
2.3.2. 99mTc-iFAP
2.4. In Vitro Evaluation of 99mTc-iFAP
2.4.1. Serum Stability and Protein Binding
2.4.2. Tumor Stroma Binding
2.5. In Vivo Evaluation of 99mTc-iFAP
3. Materials and Methods
3.1. Materials
3.2. Methods
3.2.1. Molecular Docking
3.2.2. Synthesis of iFAP
3.2.3. Chemical Characterization
3.2.4. Preparation of 99mTc-iFAP
3.2.5. Biological Characterization
Cell Culture
Western Blot
Cellular Uptake and Internalization
Human Serum Stability and Protein Binding
Biodistribution and Imaging
4. Conclusions
Author Contributions
Funding
Institutional Review Board Statement
Informed Consent Statement
Acknowledgments
Conflicts of Interest
References
- Hamson, E.J.; Keane, F.M.; Tholen, S.L.; Schilling, O.; Gorrell, M.D. Understanding fibroblast activation protein (FAP): Substrates, activities, expression and targeting for cancer therapy. Proteomics Clin. Appl. 2014, 8, 454–463. [Google Scholar] [CrossRef]
- Aertgeerts, K.; Levin, I.; Shi, L.; Snell, G.P.; Jennings, A.; Prasad, G.S.; Zhang, Y.; Kraus, M.L.; Salakian, S.; Sridhar, V.; et al. Structural and kinetic analysis of the substrate specificity of human fibroblast activation protein α. J. Biol. Chem. 2005, 280, 19441–19444. [Google Scholar] [CrossRef] [Green Version]
- Edosada, C.Y.; Quan, C.; Wiesmann, C.; Tran, T.; Sutherlin, D.; Reynolds, M.; Elliot, J.M.; Raab, H.; Fairbrother, W.; Wolf, B.B. Selective inhibition of fibroblast activation protein protease based on dipeptide substrate specificity. J. Biol. Chem. 2006, 281, 7437–7444. [Google Scholar] [CrossRef] [PubMed] [Green Version]
- Tran, T.; Quan, C.; Edosada, C.Y.; Mayeda, M.; Wiesmann, C.; Sutherlin, D.; Wolf, B.B. Synthesis and structure—Activity relationship of N-acyl-Gly-, N-acyl-Sar- and N-blocked-boroPro inhibitors of FAP, DPP4, and POP. Bioorg. Med. Chem. Lett. 2007, 17, 1438–1442. [Google Scholar] [CrossRef]
- Jansen, K.; Heirbaut, L.; Verkerk, R.; Cheng, J.D.; Joossens, J.; Cos, P.; Maes, L.; Lambeir, A.-M.; De Meester, I.; Augustyns, K.; et al. Extended structure activity relationship and pharmacokinetic investigation of (4-quinolinoyl) -glycyl-2-cyanopyrrolidine inhibitors of fibroblast activation protein. J. Med. Chem. 2014, 57, 3053–3074. [Google Scholar] [CrossRef]
- Jansen, K.; Heirbaut, L.; Cheng, J.D.; Joossens, J.; Ryabtsova, O.; Cos, P.; Maes, L.; Lambeir, A.M.; De Meester, I.; Augustyns, K.; et al. Selective inhibitors of fibroblast activation protein (FAP) with a (4-quinolinoyl) -glycyl-2-cyanopyrrolidine scaffold. ACS Med. Chem. Lett. 2013, 4, 491–496. [Google Scholar] [CrossRef] [PubMed]
- Poplawski, S.E.; Lai, J.H.; Li, Y.; Jin, Z.; Liu, Y.; Wu, W.; Wu, Y.; Zhou, Y.; Sudmeier, J.L.; Sanford, D.G.; et al. Identification of selective and potent inhibitors of fibroblast activation protein and prolyl oligopeptidase. J. Med. Chem. 2013, 56, 3467–3477. [Google Scholar] [CrossRef] [PubMed] [Green Version]
- Meletta, R.; Herde, A.M.; Chiotellis, A.; Isa, M.; Rancic, Z.; Borel, N.; Ametamey, S.M.; Krämer, S.D.; Schibli, R. Evaluation of the radiolabeled boronic acid based FAP inhibitor MIP-1232 for atherosclerotic plaque imaging. Molecules 2015, 20, 2081–2099. [Google Scholar] [CrossRef] [Green Version]
- Lindner, T.; Loktev, A.; Altmann, A.; Giesel, F.; Kratochwil, C.; Debus, J.; Jäger, D.; Mier, W.; Haberkorn, U. Development of quinoline-based theranostic ligands for the targeting of fibroblast activation protein. J. Nucl. Med. 2018, 59, 1415–1422. [Google Scholar] [CrossRef] [Green Version]
- Loktev, A.; Lindner, T.; Mier, W.; Debus, J.; Altmann, A.; Jäger, D.; Giesel, F.; Kratochwil, C.; Barthe, P.; Roumestand, C.; et al. A tumor-imaging method targeting cancer-associated fibroblasts. J. Nucl. Med. 2018, 59, 1423–1429. [Google Scholar] [CrossRef]
- Loktev, A.; Lindner, T.; Burger, E.-M.; Altmann, A.; Giesel, F.; Kratochwil, C.; Debus, J.; Marmé, F.; Jäger, D.; Mier, W.; et al. Development of Fibroblast Activation Protein-Targeted Radiotracers with Improved Tumor Retention. J. Nucl. Med. 2019, 60, 1421–1429. [Google Scholar] [CrossRef] [PubMed]
- Giesel, F.L.; Kratochwil, C.; Lindner, T.; Marschalek, M.M.; Loktev, A.; Lehnert, W.; Debus, J.; Jäger, D.; Flechsig, P.; Altmann, A.; et al. 68Ga-FAPI PET/CT: Biodistribution and preliminary dosimetry estimate of 2 DOTA-containing FAP-targeting agents in patients with various cancers. J. Nucl. Med. 2019, 60, 386–392. [Google Scholar] [CrossRef] [PubMed] [Green Version]
- Kratochwil, C.; Flechsig, P.; Lindner, T.; Abderrahim, L.; Altmann, A.; Mier, W.; Adeberg, S.; Rathke, H.; Röhrich, M.; Winter, H.; et al. 68Ga-FAPI PET/CT: Tracer Uptake in 28 Different Kinds of Cancer. J. Nucl. Med. 2019, 60, 801–805. [Google Scholar] [CrossRef] [Green Version]
- Giesel, F.L.; Adeberg, S.; Syed, M.; Lindner, T.; Jiménez-Franco, L.D.; Mavriopoulou, E.; Staudinger, F.; Tonndorf-Martini, E.; Regnery, S.; Rieken, S.; et al. FAPI-74 PET/CT Using Either 18F-AlF or Cold-Kit 68Ga Labeling: Biodistribution, Radiation Dosimetry, and Tumor Delineation in Lung Cancer Patients. J. Nucl. Med. 2021, 62, 201–207. [Google Scholar] [CrossRef]
- Lindner, T.; Altmann, A.; Krämer, S.; Loktev, A.; Kratochwil, C.; Giesel, F.; Mier, W.; Marmé, F.; Debus, J.; Haberkorn, U. Design and Development of 99mTc-Labeled FAPI Tracers for SPECT Imaging and 188Re Therapy. J. Nucl. Med. 2020, 61, 1507–1513. [Google Scholar] [CrossRef]
- Coutts, S.J.; Kelly, T.A.; Snow, R.J.; Kennedy, C.A.; Barton, R.W.; Adams, J.; Krolikowski, D.A.; Freeman, D.M.; Campbell, S.J.; Ksiazek, J.F.; et al. Structure-Activity Relationships of Boronic Acid Inhibitors of Dipeptidyl Peptidase IV. 1. Variation of the P2 Position of Xaa-BoroPro Dipeptides. J. Med. Chem. 1996, 39, 2087–2094. [Google Scholar] [CrossRef]
- Karabacak, M.; Sinha, L.; Prasad, O.; Asiri, A.M.; Cinar, M. An experimental and theoretical investigation of Acenaphthene-5-boronic acid: Conformational study, NBO and NLO analysis, molecular structure and FT-IR, FT-Raman, NMR and UV spectra. Spectrochim. Acta Part A Mol. Biomol. Spectrosc. 2013, 115, 753–766. [Google Scholar] [CrossRef] [PubMed]
- Kane, S.N.; Mishra, A.; Dutta, A.K. International Conference on Recent Trends in Physics 2016 (ICRTP2016). J. Phys. Conf. Ser. 2016, 755, 011001. [Google Scholar]
- Coates, J. Interpretation of Infrared Spectra, A Practical Approach. In Encyclopedia of Analytical Chemistry; John Wiley & Sons, Ltd.: Chichester, UK, 2006; pp. 1–23. [Google Scholar]
- Ferro-Flores, G.; Arteaga de Murphy, C.; Melendez-Alafort, L. Third Generation Radiopharmaceuticals for Imaging and Targeted Therapy. Curr. Pharm. Anal. 2006, 2, 339–352. [Google Scholar] [CrossRef]
- Bandoli, G.; Dolmella, A.; Porchia, M.; Refosco, F.; Tisato, F. Structural overview of technetium compounds (1993–1999). Coord. Chem. Rev. 2001, 214, 43–90. [Google Scholar] [CrossRef]
- King, R.; Surfraz, B.-U.; Finucane, C.; Biagini, S.C.G.; Blower, P.J.; Mather, S.J. 99mTc-HYNIC gastrin peptides: Assisted coordination of 99mTc by amino acid side chains results in improved performance both in vitro and in vivo. J. Nucl. Med. 2009, 50, 591–598. [Google Scholar] [CrossRef] [PubMed] [Green Version]
- Decristoforo, C.; Mather, S.J.; Cholewinski, W.; Donnemiller, E.; Riccabona, G.; Moncayo, R. 99mTc-EDDA/HYNIC-TOC: A new 99mTc-labelled radiopharmaceutical for imaging somatostatin receptor-positive tumours; first clinical results and intra-patient comparison with 111In-labelled octreotide derivatives. Eur. J. Nucl. Med. 2000, 27, 1318–1325. [Google Scholar] [PubMed]
- Von Guggenberg, E.; Dietrich, H.; Skvortsova, I.; Gabriel, M.; Virgolini, I.J.; Decristoforo, C. 99mTc-labelled HYNIC-minigastrin with reduced kidney uptake for targeting of CCK-2 receptor-positive tumours. Eur. J. Nucl. Med. Mol. Imaging. 2007, 34, 1209–1218. [Google Scholar] [CrossRef] [PubMed]
- González-Vázquez, A.; Ferro-Flores, G.; de Murphy, C.A.; Gutiérrez-García, Z. Biokinetics and dosimetry in patients of 99mTc-EDDA/HYNIC-Tyr3-octreotide prepared from lyophilized kits. Appl. Radiat. Isot. 2006, 64, 792–797. [Google Scholar] [CrossRef] [PubMed]
- Ferro-Flores, G.; Luna-Gutiérrez, M.; Ocampo-García, B.; Santos-Cuevas, C.; Azorín-Vega, E.; Jiménez-Mancilla, N.; Orocio-Rodríguez, E.; Davanzo, J.; García-Pérez, F.O. Clinical translation of a PSMA inhibitor for 99mTc-based SPECT. Nucl. Med. Biol. 2017, 48, 36–44. [Google Scholar] [CrossRef]
- Park, S.Y.; Kim, H.M.; Koo, J.S. Differential expression of cancer-associated fibroblast-related proteins according to molecular subtype and stromal histology in breast cancer Breast. Cancer Res. Treat. 2015, 149, 727–741. [Google Scholar] [CrossRef]
- Kratochwil, C.; Giesel, F.L.; Rathke, H.; Fink, R.; Dendl, J.; Debus, J.; Mier, W.; Jäger, D.; Linder, T.; Haberkorn, U. [153Sm]Samarium-labeled FAPI-46 radioligand therapy in a patient with lung metastases of a sarcoma. Eur. J. Nucl. Med. Mol. Imaging 2021, 48, 3011–3013. [Google Scholar] [CrossRef]
- Ferdinandus, J.; Costa, P.G.; Kessler, L.; Weber, M.; Hirmas, N.; Kostbade, K.; Bauer, S.; Schuler, M.; Ahrens, M.; Schildhaus, H.-U.; et al. Initial clinical experience with 90Y-FAPI-46 radioligand therapy for advanced stage solid tumors: A case series of nine patients. J. Nucl. Med. 2021. [Google Scholar] [CrossRef]
- Liu, Y.; Watabe, T.; Kaneda-Nakashima, K.; Shirakami, Y.; Naka, S.; Ooe, K.; Toyoshima, A.; Nagatam, K.; Haberkorn, U.; Kratochwil, C.; et al. Fibroblast activation protein targeted therapy using [177Lu]FAPI-46 compared with [225Ac]FAPI-46 in a pancreatic cancer model. Eur. J. Nucl. Med. Mol. Imaging 2021. [Google Scholar] [CrossRef]
- Zhao, L.; Niu, B.; Fang, J.; Pang, Y.; Li, S.; Xie, C.; Sun, L.; Zhang, X.; Guo, Z.; Lin, Q.; et al. Synthesis, preclinical evaluation, and a pilot clinical PET imaging study of 68Ga-labeled FAPI dimer. J. Nucl. Med. 2021. [Google Scholar] [CrossRef]
- Ancira-Cortez, A.; Ferro-Flores, G.; Jiménez-Mancilla, N.; Morales-Avila, E.; Trujillo-Benítez, D.; Ocampo-García, B.; Santos-Cuevas, C.; Escudero-Castellanos, A.; Luna-Gutiérrez, M. Synthesis, chemical and biochemical characterization of Lu2O3-iPSMA nanoparticles activated by neutron irradiation. Mater. Sci. Eng. C Mater. Biol. Appl. 2020, 117, 111335. [Google Scholar] [CrossRef] [PubMed]
- Pérez-Díaz, M.A.; Boegli, L.; James, G.; Velasquillo, C.; Sánchez-Sánchez, R.; Martínez-Martínez, R.-E.; Martínez-Castañón, G.A.; Martinez-Gutierrez, F. Silver nanoparticles with antimicrobial activities against Streptococcus mutans and their cytotoxic effect. Mater. Sci. Eng. C Mater. Biol. Appl. 2015, 55, 360–366. [Google Scholar] [CrossRef] [PubMed] [Green Version]








| Ligand: boroPro | Affinity (kcal/mol) | Ki (nM) | Distance Ser624-Boro (Å) |
|---|---|---|---|
N-acyl-Gly-boroPro![]() | −4.80 | 296.46 | 3.398 |
N-(pyridine-4-carbonyl)-D-Ala-boroPro)![]() | −6.60 | 14.07 | 3.657 |
iFAP![]() | −8.53 | 0.536 | 3.274 |
| Tissue | Time | |||
|---|---|---|---|---|
| 15 min | 30 min | 2 h | 24 h | |
| Blood | 2.07 ± 0.63 | 1.02 ± 0.32 | 0.33 ± 0.05 | 0.01 ± 0.01 |
| Heart | 1.75 ± 0.08 | 0.88 ± 0.23 | 0.19 ± 0.03 | 0.00 |
| Lung | 1.11 ± 0.51 | 0.65 ± 0.19 | 0.02 ± 0.01 | 0.00 |
| Liver | 2.78 ± 0.42 | 2.14 ± 0.51 | 1.05 ± 0.29 | 0.05 ± 0.03 |
| Pancreas | 0.64 ± 0.10 | 0.31 ± 0.12 | 0.12 ± 0.04 | 0.00 |
| Spleen | 1.07 ± 0.17 | 0.82 ± 0.04 | 0.15 ± 0.05 | 0.00 |
| Kidneys | 13.85 ± 2.27 | 11.18 ± 1.54 | 7.46 ± 1.02 | 1.89 ± 0.53 |
| Intestine | 1.42 ± 0.74 | 0.93 ± 0.14 | 0.22 ± 0.10 | 0.00 |
| Stomach | 0.71 ± 0.08 | 0.39 ± 0.12 | 0.25 ± 0.03 | 0.00 |
| Muscle (left thigh) | 0.39 ± 0.15 | 0.31 ± 0.11 | 0.18 ± 0.06 | 0.00 |
| Bone | 0.20 ± 0.09 | 0.14 ± 0.06 | 0.13 ± 0.02 | 0.00 |
| Tumor | 9.87 ± 1.94 | 7.05 ± 1.13 | 5.18 ± 0.82 | 2.37 ± 0.26 |
Publisher’s Note: MDPI stays neutral with regard to jurisdictional claims in published maps and institutional affiliations. |
© 2022 by the authors. Licensee MDPI, Basel, Switzerland. This article is an open access article distributed under the terms and conditions of the Creative Commons Attribution (CC BY) license (https://creativecommons.org/licenses/by/4.0/).
Share and Cite
Trujillo-Benítez, D.; Luna-Gutiérrez, M.; Ferro-Flores, G.; Ocampo-García, B.; Santos-Cuevas, C.; Bravo-Villegas, G.; Morales-Ávila, E.; Cruz-Nova, P.; Díaz-Nieto, L.; García-Quiroz, J.; et al. Design, Synthesis and Preclinical Assessment of 99mTc-iFAP for In Vivo Fibroblast Activation Protein (FAP) Imaging. Molecules 2022, 27, 264. https://doi.org/10.3390/molecules27010264
Trujillo-Benítez D, Luna-Gutiérrez M, Ferro-Flores G, Ocampo-García B, Santos-Cuevas C, Bravo-Villegas G, Morales-Ávila E, Cruz-Nova P, Díaz-Nieto L, García-Quiroz J, et al. Design, Synthesis and Preclinical Assessment of 99mTc-iFAP for In Vivo Fibroblast Activation Protein (FAP) Imaging. Molecules. 2022; 27(1):264. https://doi.org/10.3390/molecules27010264
Chicago/Turabian StyleTrujillo-Benítez, Diana, Myrna Luna-Gutiérrez, Guillermina Ferro-Flores, Blanca Ocampo-García, Clara Santos-Cuevas, Gerardo Bravo-Villegas, Enrique Morales-Ávila, Pedro Cruz-Nova, Lorenza Díaz-Nieto, Janice García-Quiroz, and et al. 2022. "Design, Synthesis and Preclinical Assessment of 99mTc-iFAP for In Vivo Fibroblast Activation Protein (FAP) Imaging" Molecules 27, no. 1: 264. https://doi.org/10.3390/molecules27010264
APA StyleTrujillo-Benítez, D., Luna-Gutiérrez, M., Ferro-Flores, G., Ocampo-García, B., Santos-Cuevas, C., Bravo-Villegas, G., Morales-Ávila, E., Cruz-Nova, P., Díaz-Nieto, L., García-Quiroz, J., Azorín-Vega, E., Rosato, A., & Meléndez-Alafort, L. (2022). Design, Synthesis and Preclinical Assessment of 99mTc-iFAP for In Vivo Fibroblast Activation Protein (FAP) Imaging. Molecules, 27(1), 264. https://doi.org/10.3390/molecules27010264




