Improvement in the Thermostability of a Recombinant β-Glucosidase Immobilized in Zeolite under Different Conditions
Abstract
:1. Introduction
2. Materials and Methods
2.1. Production and Recovery of the Recombinant β-glucosidase
2.2. Enzymatic Activity and Protein Concentration
2.3. Immobilization of Recombinant β-glucosidase on Commercial Zeolite
2.4. Characterization of Free and Immobilized β-glucosidase
2.4.1. Effect of pH and Temperature on Enzyme Stability
2.4.2. The Kinetic Parameters of the Enzyme
2.4.3. Reutilization of Immobilized β-glucosidase
2.5. Microstructural Analysis
3. Results and Discussion
3.1. Production of Recombinant β-glucosidase
3.2. Immobilization by Adsorption of Recombinant β-glucosidase on a Commercial Zeolite
3.2.1. Immobilization Process
3.2.2. Effect of the Immobilization Parameters on the Enzyme Activity
3.3. Biochemical Characterization
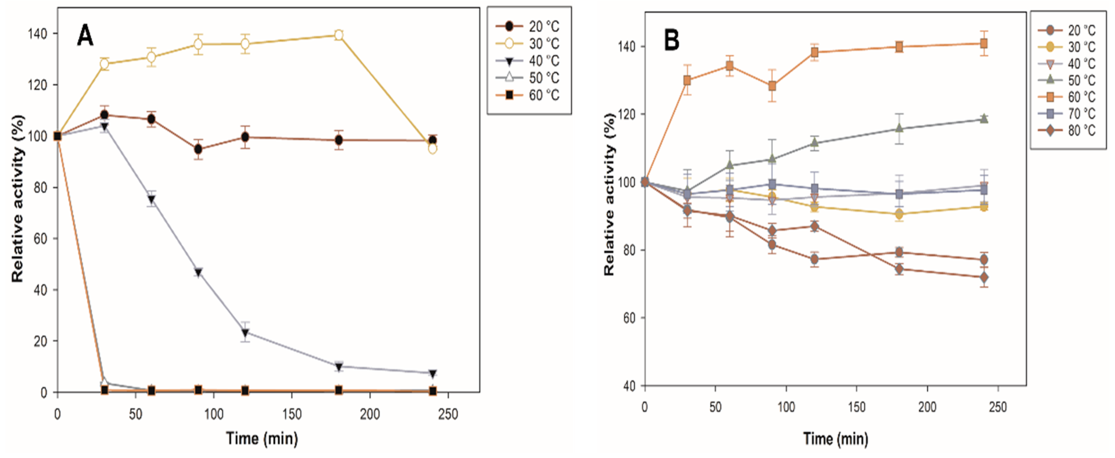
3.3.1. Effect of Temperature and pH on Enzyme Stability
3.3.2. Enzyme Kinetics
3.3.3. Reusability of Immobilized β-glucosidase Test
3.4. Morphological Analysis
4. Conclusions
Author Contributions
Funding
Institutional Review Board Statement
Informed Consent Statement
Data Availability Statement
Acknowledgments
Conflicts of Interest
Sample Availability
References
- Carli, S.; de Carneiro, L.A.B.; Ward, R.J.; Meleiro, L.P. Immobilization of a β-Glucosidase and an Endoglucanase in Ferromagnetic Nanoparticles: A Study of Synergistic Effects. Protein Expr. Purif. 2019, 160, 28–35. [Google Scholar] [CrossRef] [PubMed]
- Pota, G.; Sapienza Salerno, A.; Costantini, A.; Silvestri, B.; Passaro, J.; Califano, V. Co-Immobilization of Cellulase and β-Glucosidase into Mesoporous Silica Nanoparticles for the Hydrolysis of Cellulose Extracted from Eriobotrya Japonica Leaves. Langmuir 2022, 38, 5481–5493. [Google Scholar] [CrossRef] [PubMed]
- Alnadari, F.; Xue, Y.; Zhou, L.; Hamed, Y.S.; Taha, M.; Foda, M.F. Immobilization of β-Glucosidase from Thermatoga Maritima on Chitin-Functionalized Magnetic Nanoparticle via a Novel Thermostable Chitin-Binding Domain. Sci. Rep. 2020, 10, 1663. [Google Scholar] [CrossRef] [PubMed]
- Srivastava, N.; Srivastava, M.; Mishra, P.K.; Gupta, V.K.; Molina, G.; Rodriguez-Couto, S.; Manikanta, A.; Ramteke, P.W. Applications of Fungal Cellulases in Biofuel Production: Advances and Limitations. Renew. Sustain. Energy Rev. 2018, 82, 2379–2386. [Google Scholar] [CrossRef]
- Li, C.; Lin, F.; Li, Y.; Wei, W.; Wang, H.; Qin, L.; Zhou, Z.; Li, B.; Wu, F.; Chen, Z. A β-Glucosidase Hyper-Production Trichoderma Reesei Mutant Reveals a Potential Role of Cel3D in Cellulase Production. Microb. Cell Fact. 2016, 15, 151. [Google Scholar] [CrossRef] [Green Version]
- Palmeri, R.; Restuccia, C.; Monteleone, J.I.; Sperlinga, E.; Siracusa, L.; Serafini, M.; Finamore, A.; Spagna, G. Bioactivity Improvement of Olea Europaea Leaf Extract Biotransformed by Wickerhamomyces Anomalus Enzymes. Plant Foods Hum. Nutr. 2017, 72, 211–218. [Google Scholar] [CrossRef]
- Yang, J.; Gao, R.; Zhou, Y.; Anankanbil, S.; Li, J.; Xie, G.; Guo, Z. β-Glucosidase from Thermotoga Naphthophila RKU-10 for Exclusive Synthesis of Galactotrisaccharides: Kinetics and Thermodynamics Insight into Reaction Mechanism. Food Chem. 2018, 240, 422–429. [Google Scholar] [CrossRef]
- Cantarel, B.; Coutinho, P.; Rancurel, C.; Bernard, T.; Lombard, V.; Henrissat, B. The Carbohydrate-Active ENZYMES Database (CAZy): An Expert Resource for Glycogenomics. Nucleic Acids Res. 2008, 37, D233–D238. [Google Scholar] [CrossRef]
- Gheibihayat, S.M.; Farahani, N.; Golichenari, B.; Sahebkar, A. Recombinant Protein Expression in Escherichia coli (E. coli): What We Need to Know. Curr. Pharm. Des. 2018, 24, 718–725. [Google Scholar] [CrossRef]
- Rosano, G.; Morales, E.; Ceccarelli, E. New Tools for Recombinant Protein Production in Escherichia coli: A 5-Year Update: Recombinant Protein Production in Escherichia coli. Protein Sci. 2019, 28, 1412–1422. [Google Scholar] [CrossRef]
- Mohamad, N.R.; Marzuki, N.H.C.; Buang, N.A.; Huyop, F.; Wahab, R.A. An Overview of Technologies for Immobilization of Enzymes and Surface Analysis Techniques for Immobilized Enzymes. Biotechnol. Biotechnol. Equip. 2015, 29, 205–220. [Google Scholar] [CrossRef] [PubMed]
- Garcia-Galan, C.; Berenguer-Murcia, Á.; Fernandez-Lafuente, R.; Rodrigues, R.C. Potential of Different Enzyme Immobilization Strategies to Improve Enzyme Performance. Adv. Synth. Catal. 2011, 353, 2885–2904. [Google Scholar] [CrossRef]
- Rodrigues, R.C.; Carballares, D.; Morellon-sterling, R.; Fernandez-lafuente, R. Stabilization of Enzymes via Immobilization: Multipoint Covalent Attachment and Other Stabilization Strategies. Biotechnol. Adv. 2021, 52, 107821. [Google Scholar] [CrossRef] [PubMed]
- Wu, X.; Qu, B.; Liu, Y.; Ren, X.; Wang, S.; Quan, Y. Highly Enhanced Activity and Stability via Affinity Induced Immobilization β-Glucosidase from Aspergillus Niger onto Amino-Based Silica for the Biotransformation of Ginsenoside Rb1. J. Chromatogr. A 2021, 1653, 462388. [Google Scholar] [CrossRef] [PubMed]
- De Andrades, D.; Graebin, N.G.; Kimiko, M.; Ayub, M.A.Z.; Fernandez-lafuente, R.; Rodrigues, R.C. Immobilization and Stabilization of Different β -Glucosidases Using the Glutaraldehyde Chemistry: Optimal Protocol Depends on the Enzyme Observed Activity. Int. J. Biol. Macromol. 2019, 129, 672–678. [Google Scholar] [CrossRef]
- De Andrades, D.; Graebin, N.G.; Ayub, M.A.Z.; Fernandez-Lafuente, R.; Rodrigues, R.C. Physico-Chemical Properties, Kinetic Parameters, and Glucose Inhibition of Several Beta-Glucosidases for Industrial Applications. Process Biochem. 2019, 78, 82–90. [Google Scholar] [CrossRef]
- Yushkova, E.D.; Nazarova, E.A.; Matyuhina, A.V.; Noskova, A.O.; Shavronskaya, D.O.; Vinogradov, V.V.; Skvortsova, N.N.; Krivoshapkina, E.F. Application of Immobilized Enzymes in Food Industry. J. Agric. Food Chem. 2019, 67, 11553–11567. [Google Scholar] [CrossRef]
- Smeets, V.; Baaziz, W.; Ersen, O.; Gaigneaux, E.M.; Boissière, C.; Sanchez, C.; Debecker, D.P. Hollow Zeolite Microspheres as a Nest for Enzymes: A New Route to Hybrid Heterogeneous Catalysts. Chem. Sci. 2020, 11, 954–961. [Google Scholar] [CrossRef] [Green Version]
- Sun, Q.; Wang, N.; Yu, J. Advances in Catalytic Applications of Zeolite-Supported Metal Catalysts. Adv. Mater. 2021, 33, 2104442. [Google Scholar] [CrossRef]
- Lim, Y.; Yu, J.; Park, S.; Kim, M.; Chen, S.; Bakri, N.A.B.; Sabri, N.I.A.B.M.; Bae, S.; Kim, H.S. Development of Biocatalysts Immobilized on Coal Ash-Derived Ni-Zeolite for Facilitating 4-Chlorophenol Degradation. Bioresour. Technol. 2020, 307, 123201. [Google Scholar] [CrossRef]
- Taghizadeh, T.; Talebian-Kiakalaieh, A.; Jahandar, H.; Amin, M.; Tarighi, S.; Faramarzi, M.A. Biodegradation of Bisphenol A by the Immobilized Laccase on Some Synthesized and Modified Forms of Zeolite Y. J. Hazard. Mater. 2020, 386, 121950. [Google Scholar] [CrossRef] [PubMed]
- Lu, S.; Zou, K.; Guo, B.; Pei, J.; Wang, Z.; Xiao, W.; Zhao, L. One-Step Purification and Immobilization of Thermostable β-Glucosidase on Na-Y Zeolite Based on the Linker and Its Application in the Efficient Production of Baohuoside I from Icariin. Bioorg. Chem. 2022, 121, 105690. [Google Scholar] [CrossRef] [PubMed]
- Vázquez-Ortega, P.G.; López-Miranda, J.; Rojas-Contreras, J.A.; Ilina, A.; Soto-Cruz, N.O.; Páez-Lerma, J.B. Expression of a β-Glucosidase from Trichoderma Reesei in Escherichia coli Using a Synthetic Optimized Gene and Stability Improvements by Immobilization Using Magnetite Nano-Support. Protein Expr. Purif. 2021, 190, 106009. [Google Scholar] [CrossRef] [PubMed]
- Bradford, M.M. A Rapid and Sensitive Method for the Quantitation of Microgram Quantities of Protein Utilizing the Principle of Protein-Dye Binding. Anal. Biochem. 1976, 72, 248–254. [Google Scholar] [CrossRef]
- Sheldon, R.; van Pelt, S. Enzyme Immobilisation in Biocatalysis: Why, What and How. Chem. Soc. Rev. 2013, 42, 6223–6235. [Google Scholar] [CrossRef] [Green Version]
- Sunna, A.; Chi, F.; Bergquist, P.L. A Linker Peptide with High Affinity towards Silica-Containing Materials. N. Biotechnol. 2013, 30, 485–492. [Google Scholar] [CrossRef]
- Li, L.; Long, L.; Ding, S. Direct Affinity-Immobilized Phenolic Acid Decarboxylase by a Linker Peptide on Zeolite for Efficient Bioconversion of Ferulic Acid into 4-Vinylguaiacol. ACS Sustain. Chem. Eng. 2020, 8, 14732–14742. [Google Scholar] [CrossRef]
- Desai, M.P.; Pawar, K.D. Immobilization of Cellulase on Iron Tolerant Pseudomonas Stutzeri Biosynthesized Photocatalytically Active Magnetic Nanoparticles for Increased Thermal Stability. Mater. Sci. Eng. C 2020, 106, 110169. [Google Scholar] [CrossRef]
- Huang, C.; Feng, Y.; Patel, G.; Xu, X.; Qian, J.; Liu, Q.; Kai, G. Production, Immobilization and Characterization of Beta-Glucosidase for Application in Cellulose Degradation from a Novel Aspergillus Versicolor. Int. J. Biol. Macromol. 2021, 177, 437–446. [Google Scholar] [CrossRef]
- Naseer, S.; Ouyang, J.; Chen, X.; Pu, S.; Guo, Y.; Zhang, X.; Li, D.; Yang, C. Immobilization of β-Glucosidase by Self-Catalysis and Compared to Crosslinking with Glutaraldehyde. Int. J. Biol. Macromol. 2020, 154, 1490–1495. [Google Scholar] [CrossRef]
- Karami, F.; Ghorbani, M.; Sadeghi Mahoonak, A.; Khodarahmi, R. Fast, Inexpensive Purification of β-Glucosidase from Aspergillus Niger and Improved Catalytic/Physicochemical Properties upon the Enzyme Immobilization: Possible Broad Prospects for Industrial Applications. LWT 2020, 118, 108770. [Google Scholar] [CrossRef]
- Sirisha, V.L.; Jain, A.; Jain, A. Chapter Nine-Enzyme Immobilization: An Overview on Methods, Support Material, and Applications of Immobilized Enzymes. In Marine Enzymes Biotechnology: Production and Industrial Applications, Part II—Marine Organisms Producing Enzymes; Kim, S.-K., Toldrá, F.B.T.-A., Eds.; Academic Press: Cambridge, MA, USA, 2016; Volume 79, pp. 179–211. ISBN 1043-4526. [Google Scholar]
- Ivanova, V. Immobilization of Cyclodextrin Glucanotransferase from Paenibacillus Macerans ATCC 8244 on Magnetic Carriers and Production of Cyclodextrins. Biotechnol. Biotechnol. Equip. 2010, 24, 516–528. [Google Scholar] [CrossRef]
- Matsui, M.; Kiyozumi, Y.; Yamamoto, T.; Mizushina, Y.; Mizukami, F.; Sakaguchi, K. Selective Adsorption of Biopolymers on Zeolites. Chem. A Eur. J. 2001, 7, 1555–1560. [Google Scholar] [CrossRef]
- Lopes, M.M.; Coutinho, T.C.; Malafatti, J.O.D.; Paris, E.C.; de Sousa, C.P.; Farinas, C.S. Immobilization of Phytase on Zeolite Modified with Iron(II) for Use in the Animal Feed and Food Industry Sectors. Process Biochem. 2021, 100, 260–271. [Google Scholar] [CrossRef]
- Park, H.J.; Driscoll, A.J.; Johnson, P.A. The Development and Evaluation of β-Glucosidase Immobilized Magnetic Nanoparticles as Recoverable Biocatalysts. Biochem. Eng. J. 2018, 133, 66–73. [Google Scholar] [CrossRef]
- Vaghari, H.; Jafarizadeh, H.; Mohammadlou, M.; Berenjian, A.; Anarjan, N.; Jafari, N.; Nasiri, S. Application of Magnetic Nanoparticles in Smart Enzyme Immobilization. Biotechnol. Lett. 2016, 38, 223–233. [Google Scholar] [CrossRef] [PubMed]
- Tran, D.N.; Balkus, K.J. Perspective of Recent Progress in Immobilization of Enzymes. ACS Catal. 2011, 1, 956–968. [Google Scholar] [CrossRef]
- Sannino, F.; Costantini, A.; Ruffo, F.; Aronne, A.; Venezia, V.; Califano, V. Covalent Immobilization of β-Glucosidase into Mesoporous Silica Nanoparticles from Anhydrous Acetone Enhances Its Catalytic Performance. Nanomaterials 2020, 10, 108. [Google Scholar] [CrossRef] [Green Version]
- Moon, D.-S.; Lee, J.-K. Tunable Synthesis of Hierarchical Mesoporous Silica Nanoparticles with Radial Wrinkle Structure. Langmuir 2012, 28, 12341–12347. [Google Scholar] [CrossRef]
- Venezia, V.; Costantini, A.; Landi, G.; Di Benedetto, A.; Sannino, F.; Califano, V. Immobilization of β-Glucosidase over Structured Cordierite Monoliths Washcoated with Wrinkled Silica Nanoparticles. Catalysts 2020, 10, 889. [Google Scholar] [CrossRef]
- Fan, G.; Xu, Y.; Zhang, X.; Lei, S.; Yang, S.; Pan, S. Characteristics of Immobilised β-Glucosidase and Its Effect on Bound Volatile Compounds in Orange Juice. Int. J. Food Sci. Technol. 2011, 46, 2312–2320. [Google Scholar] [CrossRef]
- Barraza-González, E.A.; Fernández-Lafuente, R.; Zazueta-Alvarez, D.E.; Rojas-Contreras, J.A.; Miranda, J.L.; Cruz, N.O.S.; Vázquez-Ortega, P.G. Immobilization of β-Glucosidase from Almonds on MANAE- Agarose Supports by Using the Chemistry of Glutaraldehyde. Rev. Mex. Ing. Química 2022, 21, 1. [Google Scholar] [CrossRef]
- Mariam, I.; Deng, Y.; Chen, Q.; Yang, C.; Zhu, Y.; Chen, Z.; Wang, J.; Hu, K.; He, G.; Li, D. The Effect of Nano-Calcium Carbonate on β-Glucosidase Immobilized by Alginate and Chitosan. Green Synth. Catal. 2022, 103, 7003–7015. [Google Scholar] [CrossRef]
- Zhou, Y.; Pan, S.; Wei, X.; Wang, L.; Liu, Y. Immobilization of β-Glucosidase onto Magnetic Nanoparticles and Evaluation of the Enzymatic Properties. Bioresources 2013, 8, 2605–2619. [Google Scholar] [CrossRef]
- Califano, V.; Sannino, F.; Costantini, A.; Avossa, J.; Cimino, S.; Aronne, A. Wrinkled Silica Nanoparticles: Efficient Matrix for β-Glucosidase Immobilization. J. Phys. Chem. C 2018, 122, 8373–8379. [Google Scholar] [CrossRef]
- Chen, B.; Qiu, J.; Mo, H.; Yu, Y.; Ito, K.; Sakai, E.; Feng, H. Synthesis of Mesoporous Silica with Different Pore Sizes for Cellulase Immobilization: Pure Physical Adsorption. New J. Chem. 2017, 41, 9338–9345. [Google Scholar] [CrossRef]
- Hartono, S.B.; Qiao, S.Z.; Liu, J.; Jack, K.; Ladewig, B.P.; Hao, Z.; Lu, G.Q.M. Functionalized Mesoporous Silica with Very Large Pores for Cellulase Immobilization. J. Phys. Chem. C 2010, 114, 8353–8362. [Google Scholar] [CrossRef]
- Costantini, A.; Venezia, V.; Pota, G.; Bifulco, A.; Califano, V.; Sannino, F. Adsorption of Cellulase on Wrinkled Silica Nanoparticles with Enhanced Inter-Wrinkle Distance. Nanomaterials 2020, 10, 1799. [Google Scholar] [CrossRef]
- Sprey, B.; Lambert, C. Titration Curves of Cellulases from Trichoderma Reesei: Demonstration of a Cellulase-Xylanase-β-Glucosidase-Containing Complex. FEMS Microbiol. Lett. 1983, 18, 217–222. [Google Scholar] [CrossRef]







| Run | Support (mg) | Temperature (°C) | Time (min) |
|---|---|---|---|
| 1 | 50 | 25 | 150 |
| 2 | 100 | 25 | 150 |
| 3 | 75 | 25 | 120 |
| 4 | 75 | 25 | 180 |
| 5 | 50 | 30 | 180 |
| 6 | 100 | 30 | 180 |
| 7 | 50 | 30 | 120 |
| 8 | 100 | 30 | 120 |
| 9 | 75 | 30 | 150 |
| 10 | 100 | 35 | 150 |
| 11 | 50 | 35 | 150 |
| 12 | 75 | 35 | 120 |
| 13 | 75 | 35 | 180 |
| Factor | Coef | EE Coef | T Value | p-Value | FIV |
|---|---|---|---|---|---|
| Intercept | 13.06 | 5.37 | 2.43 | 0.093 | - |
| Amount support (mg) (50, 100) | 6.41 | 1.90 | 3.38 | 0.043 | 1.00 |
| Immobilization temperature (°C) (25, 35) | 3.92 | 1.90 | 2.07 | 0.131 | 1.00 |
| Immobilization time (minutes) (120, 180) | 2.41 | 1.90 | 1.27 | 0.293 | 1.00 |
| Amount support (mg) × amount support (mg) | 3.35 | 3.55 | 0.94 | 0.414 | 1.35 |
| Immobilization temperature (°C) × immobilization temperature (°C) | 8.33 | 3.55 | 2.35 | 0.100 | 1.35 |
| Immobilization time (minutes) × immobilization time (minutes) | −3.34 | 3.55 | −0.94 | 0.417 | 1.35 |
| Amount support (mg) × immobilization temperature (°C) | −2.46 | 2.68 | −0.92 | 0.426 | 1.00 |
| Amount support (mg) × immobilization time (minutes) | 0.58 | 2.68 | 0.22 | 0.841 | 1.00 |
| Immobilization temperature (°C) × immobilization time (minutes) | 2.74 | 2.68 | 1.02 | 0.383 | 1.00 |
| Enzyme | KM (mM) | Vmax (µmol/min mg) | Kcat (min−1) | Kcat/KM (min−1 mM) |
|---|---|---|---|---|
| Free β-glucosidase | 50.186 ± 3.73 | 116.28 ± 2.36 | 448.53 ± 3.47 | 8.93 |
| Immobilized β-glucosidase | 4.42 ± 0.83 | 60.97 ± 1.91 | 360.97 ± 2.618 | 81.66 |
Publisher’s Note: MDPI stays neutral with regard to jurisdictional claims in published maps and institutional affiliations. |
© 2022 by the authors. Licensee MDPI, Basel, Switzerland. This article is an open access article distributed under the terms and conditions of the Creative Commons Attribution (CC BY) license (https://creativecommons.org/licenses/by/4.0/).
Share and Cite
Ramírez-Ramírez, L.G.; Zazueta-Álvarez, D.E.; Fileto-Pérez, H.A.; Reyes-Jáquez, D.; Núñez-Núñez, C.M.; Galindo-De la Rosa, J.d.D.; López-Miranda, J.; Vázquez-Ortega, P.G. Improvement in the Thermostability of a Recombinant β-Glucosidase Immobilized in Zeolite under Different Conditions. Molecules 2022, 27, 4105. https://doi.org/10.3390/molecules27134105
Ramírez-Ramírez LG, Zazueta-Álvarez DE, Fileto-Pérez HA, Reyes-Jáquez D, Núñez-Núñez CM, Galindo-De la Rosa JdD, López-Miranda J, Vázquez-Ortega PG. Improvement in the Thermostability of a Recombinant β-Glucosidase Immobilized in Zeolite under Different Conditions. Molecules. 2022; 27(13):4105. https://doi.org/10.3390/molecules27134105
Chicago/Turabian StyleRamírez-Ramírez, Luis Gerardo, David Enrique Zazueta-Álvarez, Héctor Alonso Fileto-Pérez, Damián Reyes-Jáquez, Cynthia Manuela Núñez-Núñez, Juan de Dios Galindo-De la Rosa, Javier López-Miranda, and Perla Guadalupe Vázquez-Ortega. 2022. "Improvement in the Thermostability of a Recombinant β-Glucosidase Immobilized in Zeolite under Different Conditions" Molecules 27, no. 13: 4105. https://doi.org/10.3390/molecules27134105
APA StyleRamírez-Ramírez, L. G., Zazueta-Álvarez, D. E., Fileto-Pérez, H. A., Reyes-Jáquez, D., Núñez-Núñez, C. M., Galindo-De la Rosa, J. d. D., López-Miranda, J., & Vázquez-Ortega, P. G. (2022). Improvement in the Thermostability of a Recombinant β-Glucosidase Immobilized in Zeolite under Different Conditions. Molecules, 27(13), 4105. https://doi.org/10.3390/molecules27134105

