Luminescent Hybrid Material Based on Boron Organic Phosphor and Silica Aerogel Matrix
Abstract
:1. Introduction
2. Materials and Methods
2.1. Synthesis of BLCs and Photoluminescence Measurements in Solutions
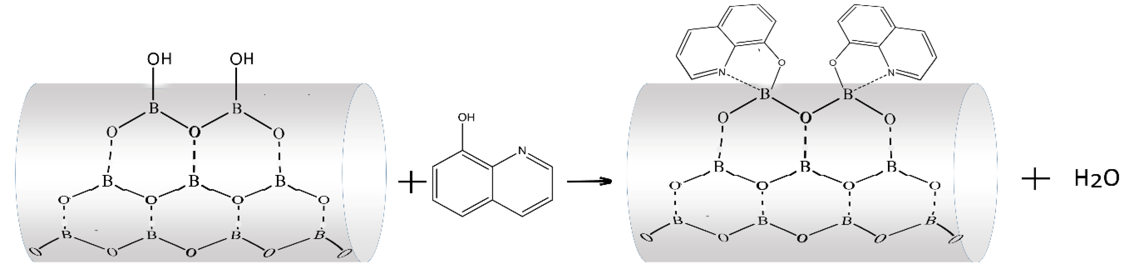
2.2. One-Step Heterophase Synthesis of BLCs
2.3. Aerogel Synthesis
2.3.1. Hydrophilic Boron-Containing Aerogel Synthesis
2.3.2. Hydrophobic Boron-Containing Aerogel Synthesis
2.4. Measurement Techniques
2.4.1. Aerogel Physical Properties
2.4.2. Luminescence Measurements
2.4.3. ICP-MS Analysis
2.4.4. TEM Analysis
3. Results and Discussion
3.1. Boron-Based Luminescent Complexes
- Lattice parameter 3.2 ± 0.5 Å. Taking into account the limited number of elements in the reaction components (H, C, N, O, and B), we searched for appropriate crystalline structures and came to the conclusion that the only suitable phase with a 3.2 ± 0.5 Å lattice parameter could be C3N4 [18]. There are several polymorphs of C3N4 that meet the search lattice parameter. The small clusters of C3N4 could be formed as a result of 8-Hq decay at high temperatures and crystal lattice compression. This assumption needs further investigation, but it could be very interesting to synthesize C3N4 in such soft conditions.
- The lattice parameter of 4.2 ± 0.5 Å could be attributed to crystalline B2O3 (space group P3121) [19].
- Single-crystal planes are mainly formed by a lattice with a lattice parameter of 3.2 Å. The fraction of planes with a lattice of 4.2 Å is very small and their size is an order of magnitude smaller than that of the former.
- The same 3.2 Å lattice forms nanosized clusters with diameters of up to 20 nm of a rather spherical shape (Figure 12).
- A crystal lattice with a parameter of 4.2 Å also forms clusters, including two types of small irregularly shaped clusters up to 10 nm in size: four neighboring atoms in this lattice form a rhombus with an angle of 60 degrees (Figure 13) and clusters with a shell (dot sizes of 8–12 nm and core sizes of 4–6 nm, Figure S2).
- Nanotubes are formed only by a crystal lattice with a parameter of 3.2 Å (Figure 14). The dimensions of the tubes are small; the length range is from 20 to 50 nm, with diameters of 4 to 15 nm. We also observed multilayer tubes (up to 16 layers, with 2.4 A between layers).
3.2. BoronLightSil
4. Conclusions
Supplementary Materials
Author Contributions
Funding
Institutional Review Board Statement
Informed Consent Statement
Data Availability Statement
Acknowledgments
Conflicts of Interest
Sample Availability
References
- Aegerter, M.A.; Leventis, N.; Koebel, M.M. (Eds.) Aerogels Handbook; Springer: New York, NY, USA, 2011. [Google Scholar] [CrossRef]
- Koebel, M.; Rigacci, A.; Achard, P. Aerogel-based thermal superinsulation: An overview. J. Sol. Gel Sci. Technol. 2012, 63, 315–339. [Google Scholar] [CrossRef]
- Lebedev, A.; Suslova, E.; Runina, K.; Khomyakov, A.; Zykova, M.; Petrova, O.; Avetisov, R.; Shepel, D.; Astafiev, A.; Menshutina, N.; et al. New efficient lighting device. Part 1. hybrid materials based on inorganic aerogel and metal-organic phosphor. J. Solid State Chem. 2021, 302, 122358. [Google Scholar] [CrossRef]
- Available online: https://www.sigmaaldrich.com/EG/en/product/aldrich/697737 (accessed on 12 July 2022).
- Wong, K.-Y. Topics in Applied Quantum Mechanics—Molecular Modeling; Technical Report; The Chinese Univ. of Hong Kong: Hong Kong, China, 2001. [Google Scholar]
- Keller, P.C.; Marks, R.L.; Rund, J.V. Reactions of diborane with aromatic heterocycles–21: Reactions with nitrogen-containing heterocycles related to pyridine. Polyhedron 1983, 2, 595–602. [Google Scholar] [CrossRef]
- Durka, K.; Głowacki, I.; Luliński, S.; Łuszczyńska, B.; Smętek, J.; Szczepanik, P.; Serwatowski, J.; Wawrzyniak, U.E.; Wesela-Bauman, G.; Witkowska, E.; et al. Efficient 8-oxyquinolinato emitters based on a 9,10-dihydro-9,10-diboraanthracene scaffold for applications in optoelectronic devices. J. Mater. Chem. C 2015, 3, 1354–1364. [Google Scholar] [CrossRef]
- Kobayashi, J.; Kato, K.; Agou, T.; Kawashima, T. Synthesis of dibenzochalcogenaborins and systematic comparisons of their optical properties by changing a bridging chalcogen atom. Chem. Asian J. 2009, 4, 42–49. [Google Scholar] [CrossRef] [PubMed]
- Zykova, M.; Runina, K.; Popkova, L.; Petrova, O.; Barkanov, A.; Do, D.T.; Ta, T.T.; Nguyen, V.L.; Khomyakov, A.; Avetissov, I.; et al. Luminescent properties of organic–inorganic hybrid films fabricated by capillary coating technique. Appl. Phys. A 2022, 128, 240–252. [Google Scholar] [CrossRef]
- Joo, C.; Werner-Zwanziger, U.; Zwanziger, J.W. The ring structure of boron trioxide glass. J. Non-Cryst. Solids 2000, 261, 282–286. [Google Scholar] [CrossRef]
- Avetisov, R.; Kazmina, K.; Barkanov, A.; Zykova, M.; Khomyakov, A.; Pytchenko, A.; Avetissov, I. One-Step Synthesis of High Pure Tris(8-Hydroxyquinoline)Aluminum for Optics and Photonics. Materials 2022, 15, 734–741. [Google Scholar] [CrossRef] [PubMed]
- DAS-6. Operation Manual. Part Number J81119 Rev. A. Available online: https://www.horiba.com/fileadmin/uploads/Scientific/Downloads/UserArea/Fluorescence/Manuals/DAS67_Manual.pdf (accessed on 25 January 2022).
- Pruszkowski, E.; Lifem, P. Total Quant Analysis of Teas and Wines by ICP-MS, Perkin Elmer Life and Analytical Sciences, Field Application Report, ICP Mass Spectrometry, USA. 2004. Available online: https://ru.scribd.com/document/102447386/TotalQuant-Analysis-of-Teas-and-Wines-by-ICP-MS (accessed on 1 July 2021).
- Avetissov, I.C.; Akkuzina, A.A.; Avetisov, R.I.; Khomykov, A.V.; Safutyarov, R.R. Non-stoichiometry of tris(8-hydroxyquinoline) aluminium: Is it possible? CrystEngComm 2016, 18, 2182–2188. [Google Scholar] [CrossRef]
- Brinkmann, M.; Gadret, G.; Muccini, M.; Taliani, C.; Mas Ciocchi, N.; Sironi, A. Correlation between Molecular Packing and Optical Properties in Different Crystalline Polymorphs and Amorphous Thin Films of mer-Tris(8-hydroxyquinoline)aluminum(III). Amer. Chem. Soc. 2000, 122, 5147–5157. [Google Scholar] [CrossRef]
- Muccini, M.; Loi, M.A.; Kenevey, K.; Zamboni, R.; Masciocchi, N.; Sironial, A. Blue Luminescence of Facial Tris(quinolin-8-olato)aluminium(III) in Solution, Crystals, and Thin Films. Adv. Mater. 2004, 16, 861–886. [Google Scholar] [CrossRef]
- Akkuzina, A. High-Purity Coordination Compounds of 8-Hyoxyquinoline with S- and P-Element Metals for Organic Light-Emitting Diode Structures. Ph.D. Thesis, D. Mendeleev University of Chemical Technology of Russia, Moscow, Russia, 2019. Available online: https://diss.muctr.ru/author/270/ (accessed on 15 July 2022).
- Fan, Q.Y.; Chai, C.C.; Wei, Q.; Yang, Y.T. Two Novel C3N4 Phases: Structural, Mechanical and Electronic Properties. Materials 2016, 9, 427–445. [Google Scholar] [CrossRef] [PubMed]
- Karki, B.; Dhobi, S.H.; Yadav, K.; Gupta, S.P.; Nakarmi, J.J.; Pal, A. Comparative study of boron oxides crystal with different sources X-ray production sources (Cu, Ag, Mo, and Fe). Mater. Lett. X 2022, 13, 100110. [Google Scholar] [CrossRef]
- So, F. Organic Electronics: Materials, Processing, Devices and Applications; CRC Press: Boca Raton, FL, USA, 2010. [Google Scholar]



















| Sample ID | H3BO3, wt% | TMCS X, wt% | Water Affinity |
|---|---|---|---|
| BLS-0.01-HL | 0.01 | 0 | Hydrophilic |
| BLS-0.05-HL | 0.05 | 0 | Hydrophilic |
| BLS-0.10-HL | 0.10 | 0 | Hydrophilic |
| BLS-0.05-HB-3 | 0.05 | 3 | Hydrophobic |
| BLS-0.05-HB-5 | 0.05 | 5 | Hydrophobic |
| Sample ID | PL Peak Characteristics | Lifetime ns | CIE Color Coordinate | |||||
|---|---|---|---|---|---|---|---|---|
| Area, nm × cps | FWHM, nm | Center, nm | Height, cps | τ1 | τ2 | X | Y | |
| B-Hq-Dir(459) | 0.59 × 109 | 107 | 459 | 0.49 × 107 | 2.16 | 32.3 | 0.2839 | 0.4840 |
| B-Hq-Dir(493) | 1.43 × 109 | 117 | 493 | 2.72 × 107 | 6.42 | 29.6 | 0.3022 | 0.4860 |
| Sample ID | ρbulk, g/cm3 | L, % | SBET, m2/g | D, nm | VBJH, cm3/g | Vpor, cm3/g | ω, % | ρsk, g/cm3 | ε |
|---|---|---|---|---|---|---|---|---|---|
| HL | 0.114 | 6.2 | 1087 | 15.2 | 4.4 | 8.3 | 53.1 | 2.07 | 0.94 |
| HB | 0.089 | 3.4 | 1239 | 10.3 | 3.5 | 10.7 | 32.6 | 1.95 | 0.95 |
| BLS-0.01-HL | 0.212 | 19.5 | 1021 | 15.7 | 3.2 | 4.1 | 77.4 | 1.70 | 0.88 |
| BLS-0.05 HL | 0.226 | 21.2 | 1010 | 13.4 | 3.1 | 3.8 | 80.8 | 1.72 | 0.87 |
| BLS-0.10-HL | 0.203 | 18.4 | 1015 | 14.2 | 3.7 | 4.3 | 85.1 | 1.70 | 0.88 |
| BLS-0.05-HB-3 | 0.148 | 4.35 | 1186 | 9.8 | 3.1 | 6.2 | 50.3 | 1.68 | 0.91 |
| BLS-0.05-HB-5 | 0.142 | 2.34 | 1150 | 9.1 | 3.0 | 6.5 | 46.4 | 1.72 | 0.92 |
| Sample ID | PL Peak Characteristics | Lifetime, ns | CIE Color Coordinate | QY, % | ||||||
|---|---|---|---|---|---|---|---|---|---|---|
| Area, nm × cps | FWHM, nm | Center, nm | Height, cps | τ1 | τ2 | τ3 | X | Y | ||
| BLS-0.01-HL | 0.59 × 108 | 107 | 509 | 0.49 × 106 | 2.3 | 9.9 | 158 | 0.2839 | 0.4840 | 24 |
| BLS-0.05-HL | 1.43 × 108 | 117 | 513 | 1.12 × 106 | 2.5 | 10.5 | 168 | 0.3022 | 0.4860 | 33 |
| BLS-0.10-HL | 0.15 × 108 | 112 | 518 | 0.16 × 106 | 2.4 | 10.6 | 180 | 0.3140 | 0.4991 | 11 |
| BLS-0.05-HB-3 | 1.39 × 109 | 115 | 494 | 1.11 × 107 | 2.5 | 13.0 | 74 | 0.2472 | 0.3939 | 45 |
| BLS-0.05-HB-5 | 1.39 × 109 | 114 | 498 | 1.10 × 107 | 1.3 | 11.9 | 148 | 0.2480 | 0.3983 | 44 |
Publisher’s Note: MDPI stays neutral with regard to jurisdictional claims in published maps and institutional affiliations. |
© 2022 by the authors. Licensee MDPI, Basel, Switzerland. This article is an open access article distributed under the terms and conditions of the Creative Commons Attribution (CC BY) license (https://creativecommons.org/licenses/by/4.0/).
Share and Cite
Avetisov, R.; Lebedev, A.; Suslova, E.; Kazmina, K.; Runina, K.; Kovaleva, V.; Khomyakov, A.; Barkanov, A.; Zykova, M.; Petrova, O.; et al. Luminescent Hybrid Material Based on Boron Organic Phosphor and Silica Aerogel Matrix. Molecules 2022, 27, 5226. https://doi.org/10.3390/molecules27165226
Avetisov R, Lebedev A, Suslova E, Kazmina K, Runina K, Kovaleva V, Khomyakov A, Barkanov A, Zykova M, Petrova O, et al. Luminescent Hybrid Material Based on Boron Organic Phosphor and Silica Aerogel Matrix. Molecules. 2022; 27(16):5226. https://doi.org/10.3390/molecules27165226
Chicago/Turabian StyleAvetisov, Roman, Artem Lebedev, Ekaterina Suslova, Ksenia Kazmina, Kristina Runina, Vlada Kovaleva, Andrew Khomyakov, Artem Barkanov, Marina Zykova, Olga Petrova, and et al. 2022. "Luminescent Hybrid Material Based on Boron Organic Phosphor and Silica Aerogel Matrix" Molecules 27, no. 16: 5226. https://doi.org/10.3390/molecules27165226
APA StyleAvetisov, R., Lebedev, A., Suslova, E., Kazmina, K., Runina, K., Kovaleva, V., Khomyakov, A., Barkanov, A., Zykova, M., Petrova, O., Mukhsinova, A., Shepel, D., Astafiev, A., Menshutina, N., & Avetissov, I. (2022). Luminescent Hybrid Material Based on Boron Organic Phosphor and Silica Aerogel Matrix. Molecules, 27(16), 5226. https://doi.org/10.3390/molecules27165226

