Scalable (Enantioselective) Syntheses of Novel 3-Methylated Analogs of Pazinaclone, (S)-PD172938 and Related Biologically Relevant Isoindolinones
Abstract
1. Introduction
2. Results
2.1. Synthesis of Novel Racemic 3-Methylated Analogs of Bioactive Isoindolinones
- (a)
- Displacement reaction of the mesyl group in 18 by 3,4-dimethylphenylpiperazine;
- (b)
- Reductive amination of the aldehyde 19 with 3,4-dimethylphenylpiperazine.
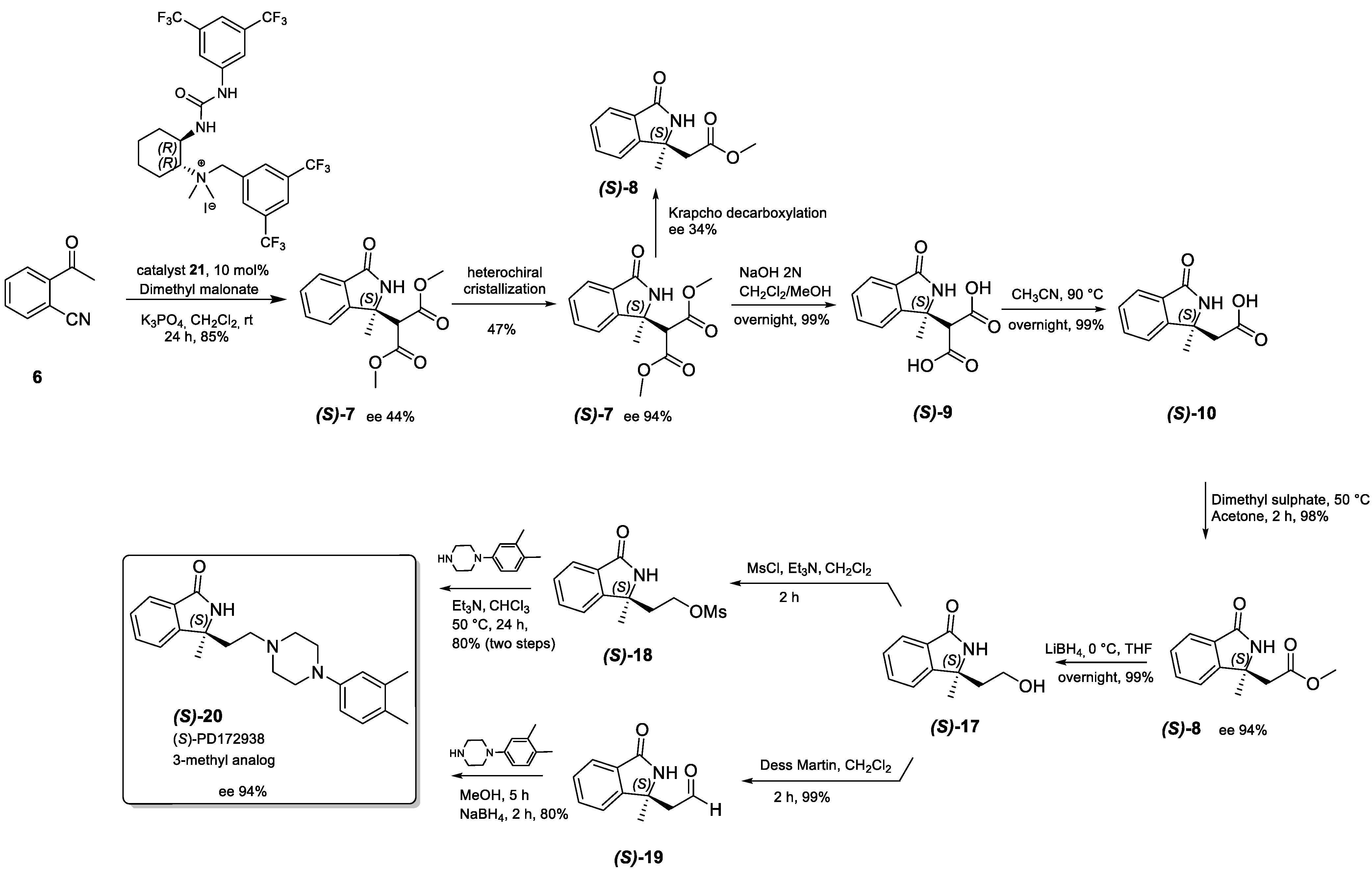
2.2. Asymmetric Synthesis of 3-Methylated Analog of (S)-PD172938
3. Experimental Section
3.1. General Information
3.2. Dimethyl 2-(1-Methyl-3-Oxoisoindolin-1-yl) Malonate (7)
3.3. Methyl 2-(1-Methyl-3-Oxoisoindolin-1-yl) Acetate (8)
3.4. 2-(1-Methyl-3-Oxoisoindolin-1-yl) Malonic Acid (9)
3.5. 2-(1-Methyl-3-Oxoisoindolin-1-yl) Acetic Acid (10)
3.6. 3-Methyl-3-(2-(4-Methylpiperazin-1-yl) -2-Oxoethyl) Isoindolin-1-One (12)
3.7. 3-Methyl-3-(2-(4-Methylpiperazin-1-yl)Acetyl)-2-Phenylisoindolin-1-One (13)
3.8. 3-Methyl-3-(2-oxo-2-(1,4-Dioxa-8-Azaspiro [4.5] Decan-8-yl) Ethyl) Isoindolin-1-One (15)
3.9. 2-(7-Chloro-1,8-Naphthyridin-2-yl)-3-Methyl-3-(2-oxo-2-(1,4-Dioxa-8-Azaspiro [4.5]Decan-8-yl) Ethyl) Isoindolin-1-One (3-Methyl-Pazinaclone, 16)
3.10. 3-(2-Hydroxyethyl)-3-Methylisoindolin-1-One (17)
3.11. 2-(1-Methyl-3-oxoisoindolin-1-yl)ethylmethanesulfonate (18)
3.12. 2-(1-Methyl-3-Oxoisoindolin-1-yl) Acetaldehyde (19)
3.13. 3-(2-(4-(3,4-Dimethylphenyl) Piperazin-1-yl) Ethyl)-3-Methylisoindolin-1-One (3-Methyl-PD172938, 20)
3.14. Asymmetric Synthesis of (S)-PD172938 3-Methylated Analog, (S)-20
4. Conclusions
Author Contributions
Funding
Acknowledgments
Conflicts of Interest
References
- McGrath, N.A.; Brichacek, M.; Njardarson, J.T. A Graphical Journey of Innovative Organic Architectures That Have Improved Our Lives. J. Chem. Educ. 2010, 87, 1348–1349. [Google Scholar] [CrossRef]
- Schçnherr, H.; Cernak, T. Profound Methyl Effects in Drug Discovery and a Call for New C-H Methylation Reactions. Angew. Chem. Int. Ed. 2013, 52, 12256–12267. [Google Scholar] [CrossRef] [PubMed]
- Aynetdinova, D.; Callens, M.C.; Hicks, H.B.; Poh, C.Y.X.; Shennan, B.D.A.; Boyd, A.M.; Lim, Z.H.; Leitch, J.A.; Dixon, D.J. Installing the “magic methyl”–C–H methylation in synthesis. Chem. Soc. Rev. 2021, 50, 5517–5563. [Google Scholar] [CrossRef] [PubMed]
- Barreiro, E.J.; Kummerle, A.E.; Fraga, C.A.M. The Methylation Effect in Medicinal Chemistry. Chem. Rev. 2011, 111, 5215–5246. [Google Scholar] [CrossRef]
- Corcoran, E.B.; Schultz, D.M. Manganese catalyst enables exploration of the magic methyl effect. Nature 2020, 580, 592–593. [Google Scholar] [CrossRef]
- Sheridan, R.P. The most common chemical replacements in drug-like compounds. J. Chem. Inf. Comput. Sci. 2002, 42, 103–108. [Google Scholar] [CrossRef]
- Lewis, R.A. A General Method for Exploiting QSAR Models in Lead Optimization. J. Med. Chem. 2005, 48, 1638–1648. [Google Scholar] [CrossRef]
- Haubertin, D.Y.; Bruneau, P. A Database of Historically-Observed Chemical Replacements. J. Chem. Inf. Model. 2007, 47, 1294–1302. [Google Scholar] [CrossRef]
- Hajduk, P.; Sauer, D.R. Statistical Analysis of the Effects of Common Chemical Substituents on Ligand Potency. J. Med. Chem. 2008, 51, 553–564. [Google Scholar] [CrossRef]
- Gleeson, P.; Bravi, G.; Modi, S.; Lowe, D. ADMET rules of thumb II: A comparison of the effects of common substituents on a range of ADMET parameters. Bioorganic Med. Chem. 2009, 17, 5906–5919. [Google Scholar] [CrossRef]
- Sun, S.; Fu, J. Methyl-containing pharmaceuticals: Methylation in drug design. Bioorganic Med. Chem. Lett. 2018, 28, 3283–3289. [Google Scholar] [CrossRef]
- LaVoie, E.J.; Patani, G.A. Bioisosterism: A Rational Approach in Drug Design. Chem. Rev. 1996, 96, 3147–3176. [Google Scholar]
- Lipinski, C.A. Drug-like properties and the causes of poor solubility and poor permeability. J. Pharmacol. Toxicol. Methods 2000, 44, 235–249. [Google Scholar] [CrossRef]
- Di Mola, A.; Palombi, L.; Massa, A. An overview on asymmetric synthesis of 3-substituted indolinones. Targets Heterocycl. Syst. 2014, 18, 113–140. [Google Scholar]
- Sharma, U.; Kumar, P.; Kumar, N.; Singh, S. Recent advances in the chemistry of phthalimide analogues and their therapeutic potential. Mini Rev. Med. Chem. 2010, 10, 678–704. [Google Scholar] [CrossRef]
- Hiraga, K.; Saji, Y. Condensed Pyrrolinone Derivatives, Their Production and Use. US Patent Number 4,590,184, 1986. [Google Scholar]
- Kanamitsu, N.; Osaki, T.; Itsuji, Y.; Yoshimura, M.; Tsujimoto, H.; Soga, M. Novel Water-Soluble Sedative-Hypnotic Agents: Isoindolin-1-one Derivatives. Chem. Pharm. Bull. 2007, 55, 1682–1688. [Google Scholar] [CrossRef] [PubMed]
- Di Mola, A.; Gatta, E.; Petronzi, C.; Cupello, A.; De Caprariis, P.; Robello, M.; Massa, A.; Filosa, R. Synthesis and pharmacological evaluation of functionalized isoindolinones on GABA-activated chloride currents in rat cerebellum granule cells in culture. Bioorg. Med. Chem. Lett. 2016, 26, 5284–5289. [Google Scholar] [CrossRef]
- Wada, T.; Nakajima, R.; Kurihara, E.; Narumi, S.; Masuoka, Y.; Goto, G.; Saji, Y.; Fukuda, N. Pharmacologic characterization of a novel non-benzodiazepine selective anxiolytic, DN-2327. Jpn. J. Pharmacol. 1989, 49, 337–349. [Google Scholar] [CrossRef]
- Kondo, T.; Yoshida, K.; Tanayama, S. Absorption of the anxiolytic Pazinaclone in animals as a criterion for species selection for toxicity studies. Arzneimittel-Forschung 1996, 46, 839–843. [Google Scholar]
- Belliotti, T.R.; Brink, W.A.; Kesten, S.K.; Rubin, J.; Wustrow, D.J.; Zoski, K.T.; Whetzel, S.Z.; Corbin, A.E.; Pugsley, T.A.; Heffner, T.G.; et al. Isoindolinone enantiomers having affinity for the dopamine D4 receptor. Bioorganic Med. Chem. Lett. 1998, 8, 1499–1502. [Google Scholar] [CrossRef]
- Di Mola, A.; Tiffner, M.; Scorzelli, F.; Palombi, L.; Filosa, R.; de Caprariis, P.; Waser, M.; Massa, A. Bifunctional Phase-Transfer Catalysis in the Asymmetric Synthesis of Biologically Active Isoindolinones. Beilstein J. Org. Chem. 2015, 11, 2591–2599. [Google Scholar] [CrossRef] [PubMed]
- Christophers, J.; Baro, A. (Eds.) Quaternary stereocenters: Challenges and Solutions for Organic Synthesis; Wiley-VCH: Weinheim, Germany, 2005. [Google Scholar]
- Corey, E.J.; Guzman-Perez, A. The Catalytic Enantioselective Construction of Molecules with Quaternary Carbon Stereocenters. Angew. Chem. Int. Ed. 1998, 37, 388–401. [Google Scholar] [CrossRef]
- Comins, D.L.; Hiebel, A.C. Asymmetric synthesis of 3,3-disubstituted isoindolinones. Tetrahedron Lett. 2005, 46, 5639–56428. [Google Scholar] [CrossRef]
- Ye, B.; Cramer, N. Asymmetric Synthesis of Isoindolones by Chiral Cyclopentadienyl-Rhodium(III)-Catalyzed C-H Functionalizations. Angew. Chem. Int. Ed. 2014, 53, 7896–7899. [Google Scholar] [CrossRef]
- Wu, X.; Wang, B.; Zhou, Y.; Liu, H. Propargyl Alcohols as One-Carbon Synthons: Redox-Neutral Rhodium(III)-Catalyzed C–H Bond Activation for the Synthesis of Isoindolinones Bearing a Quaternary Carbon. Org. Lett. 2017, 19, 1294–1297. [Google Scholar] [CrossRef]
- Fang, K.; Huang, W.; Shan, C.; Qu, J.; Chen, Y. Synthesis of 3,3-Dialkyl-Substituted Isoindolinones Enabled by Nickel-Catalyzed Reductive Dicarbofunctionalization of Enamides. Org. Lett. 2021, 23, 5523–5527. [Google Scholar] [CrossRef]
- Gao, R.D.; Shuler, S.A.; Watson, D.A. Tandem aza-Heck Suzuki and carbonylation reactions of O-phenyl hydroxamic ethers: Complex lactams via carboamination. Chem. Sci. 2021, 12, 8859–8864. [Google Scholar] [CrossRef]
- Petronzi, C.; Collarile, S.; Croce, G.; Filosa, R.; De Caprariis, P.; Peduto, A.; Palombi, L.; Intintoli, V.; Mola, A.; Massa, A. Synthesis and Reactivity of the 3-Substituted Isoindolinone Framework to Assemble Highly Functionalized Related Structures. Eur. J. Org. Chem. 2012, 2012, 5357–5365. [Google Scholar] [CrossRef]
- Di Mola, A.; Di Martino, M.; Capaccio, V.; Pierri, G.; Palombi, L.; Massa, A. Synthesis of 2-Acetylbenzonitriles and Their Reactivity in Tandem Reactions with Carbon and Hetero Nucleophiles: Easy Access to 3,3-Disubstituted Isoindolinones. Eur. J. Org. Chem. 2018, 2018, 1699–1708. [Google Scholar] [CrossRef]
- Macchia, A.; Summa, F.F.; Di Mola, A.; Tedesco, C.; Pierri, G.; Ofial, A.R.; Monaco, G.; Massa, A. Base-Promoted Cascade Reactions for the Synthesis of 3,3-Dialkylated Isoindolin-1-ones and 3-Methyleneisoindolin-1-ones. J. Org. Chem. 2021, 86, 15128–15138. [Google Scholar] [CrossRef]
- Monaco, G.; Tiffner, M.; Di Mola, A.; Herrebout, W.; Massa, A.; Waser, M. Chiral Phase Transfer Catalysis in the Asymmetric Synthesis of a 3,3-Disubstituted Isoindolinone and Determination of Its Absolute Configuration by VCD Spectroscopy. Molecules 2020, 25, 2272. [Google Scholar] [CrossRef]
- Scorzelli, F.; Di Mola, A.; De Piano, F.; Tedesco, C.; Palombi, L.; Filosa, R.; Waser, M.; Massa, A. A systematic study on the use of different organocatalytic activation modes for asymmetric conjugated addition reactions of isoindolinones. Tetrahedron 2017, 73, 819–828. [Google Scholar] [CrossRef]
- Serusi, L.; Palombi, L.; Pierri, G.; Di Mola, A.; Massa, A. Asymmetric cascade Aza-Henry/lactamization reaction in the highly enantioselective organocatalytic synthesis of 3-(nitromethyl)isoindolin-1-ones from α-amido sulfones. J. Org. Chem. 2022, 87, 8420–8428. [Google Scholar] [CrossRef]
- Di Mola, A.; Macchia, A.; Palombi, L.; Massa, A. Methyl 2-(1-methyl-3-oxoisoindolin-1-yl)acetate. Molbank 2020, 2020, M1131. [Google Scholar] [CrossRef]
- Krapcho, A.P.; Weimaster, J.F.; Eldridge, J.M.; Jahngen, E.G.E.; Lovey, A.J.; Stephens, W.P. Synthetic applications and mechanism studies of the decarbalkoxylations of geminal diesters and related systems effected in dimethyl sulfoxide by water and/or by water with added salts. J. Org. Chem. 1978, 43, 138–147. [Google Scholar] [CrossRef]
- Yamada, S.I.; Kasai, Y.; Shioiri, T.S. Diethylphosphoryl cyanide. A new reagent for the synthesis of amides. Tetrahedron Lett. 1973, 14, 1595–1598. [Google Scholar] [CrossRef]
- Sughara, M.; Ukita, T. A Facile Copper-Catalyzed Ullmann Condensation: N-Arylation of Heterocyclic Compounds Containing an -NHCO- Moiety. Chem. Pharm. Bull. 1997, 45, 719–721. [Google Scholar] [CrossRef][Green Version]
- Liu, C.; Zhang, Q.; Li, H.; Guo, S.; Xiao, B.; Deng, W.; Liu, L.; He, W. Cu/Fe Catalyzed Intermolecular Oxidative Amination of Benzylic C−H Bonds. Chem. A Eur. J. 2016, 22, 6208–6212. [Google Scholar] [CrossRef]
- Hudlicky, M. Reductions in Organic Chemistry; Ellis Horwood Limited: Chichester, UK, 1984; pp. 164–171. [Google Scholar]
- Tiffner, M.; Novacek, J.; Busillo, A.; Gratzer, K.; Massa, A.; Waser, M. Design of chiral urea-quaternary ammonium salt hybrid catalysts for asymmetric reactions of glycine Schiff bases. RSC Adv. 2015, 5, 78941–78948. [Google Scholar] [CrossRef]
- Prithidipa, S.; Sujoy, D.; Himadri, S.; Kalipada, M.; MdRaihan, U.; Sukhendu, M. Selective fluorescence sensing and quantification of uric acid by naphthyridine-based receptor in biological sample. Biorgan. Chem. 2017, 1, 315–324. [Google Scholar]
- Newkome, G.R.; Garbis, S.J.; Majestic, V.K.; Fronczek, F.R.; Chiari, G. Chemistry of Heterocyclic Compounds. Synthesis and Conformational Studies of Macrocycles Possessing 1,8- or 1,5-Naphthyridino Subunits Connected by Carbon-Oxygen Bridges. J. Org. Chem. 1981, 46, 833–839. [Google Scholar] [CrossRef]








Publisher’s Note: MDPI stays neutral with regard to jurisdictional claims in published maps and institutional affiliations. |
© 2022 by the authors. Licensee MDPI, Basel, Switzerland. This article is an open access article distributed under the terms and conditions of the Creative Commons Attribution (CC BY) license (https://creativecommons.org/licenses/by/4.0/).
Share and Cite
Di Mola, A.; Nicastro, G.; Serusi, L.; Filosa, R.; Waser, M.; Massa, A. Scalable (Enantioselective) Syntheses of Novel 3-Methylated Analogs of Pazinaclone, (S)-PD172938 and Related Biologically Relevant Isoindolinones. Molecules 2022, 27, 5647. https://doi.org/10.3390/molecules27175647
Di Mola A, Nicastro G, Serusi L, Filosa R, Waser M, Massa A. Scalable (Enantioselective) Syntheses of Novel 3-Methylated Analogs of Pazinaclone, (S)-PD172938 and Related Biologically Relevant Isoindolinones. Molecules. 2022; 27(17):5647. https://doi.org/10.3390/molecules27175647
Chicago/Turabian StyleDi Mola, Antonia, Giorgia Nicastro, Lorenzo Serusi, Rosanna Filosa, Mario Waser, and Antonio Massa. 2022. "Scalable (Enantioselective) Syntheses of Novel 3-Methylated Analogs of Pazinaclone, (S)-PD172938 and Related Biologically Relevant Isoindolinones" Molecules 27, no. 17: 5647. https://doi.org/10.3390/molecules27175647
APA StyleDi Mola, A., Nicastro, G., Serusi, L., Filosa, R., Waser, M., & Massa, A. (2022). Scalable (Enantioselective) Syntheses of Novel 3-Methylated Analogs of Pazinaclone, (S)-PD172938 and Related Biologically Relevant Isoindolinones. Molecules, 27(17), 5647. https://doi.org/10.3390/molecules27175647

