Abstract
New CoII substituted malonate field-induced molecular magnets {[Rb6Co3(cpdc)6(H2O)12]∙6H2O}n (1) and [Cs2Co(cpdc)2(H2O)6]n (2) (where cpdc2− stands for cyclopropane-1,1-dicarboxylic acid dianions) were synthesized. Both compounds contain mononuclear bischelate fragments {CoII(cpdc)2(H2O)2}2− where the quasi-octahedral cobalt environment (CoO6) is complemented by water molecules in apical positions. The alkali metal atoms play the role of connectors between the bischelate fragments to form 3D and 2D polymeric structures for 1 and 2, respectively. Analysis of dc magnetic data using the parametric Griffith Hamiltonian for high-spin CoII supported by ab initio calculations revealed that both compounds have an easy axis of magnetic anisotropy. Compounds 1 and 2 exhibit slow magnetic relaxation under an external magnetic field (HDC = 1000 and 1500 Oe, respectively).
1. Introduction
The synthesis and study of paramagnetic complexes are of vital importance for achieving various goals, such as finding efficient magnetic refrigerators, elements for high-density data storage devices, and quantum computing [1,2,3,4,5,6]. Paramagnetic metal complexes that exhibit slow magnetic relaxation belong to the classes of single-molecule magnets (SMMs) or single-ion magnets (SIMs) [7]. A distinctive feature of SMMs is that exchange interactions exist in polynuclear molecules [8]. Usually, SIMs are mononuclear complexes in which the magnetic effects are determined by the magnetic anisotropy of the metal ion [9,10]. The properties of these compounds can be varied by changing the local geometry of the metal ion, the nature of the ligands, and the isolation of the paramagnetic centers in the crystal lattice. Currently, complexes of this kind are subject to studies in the field of spintronics, which is based on the effect of an external magnetic field on the spin states of a magnetic material [11,12].
3d-metal ions, for example, FeII or CoII, can exhibit magnetic anisotropy that depends on the geometry of the coordination environment [10,13,14,15,16,17,18]. The choice of 3d-metal undoubtedly affects the anisotropy and magnetic properties of the resulting coordination compounds [19,20,21]; however, selection of organic ligands that significantly affect both the structure of compounds and the possibility of exchanges between the metal centers is no less important. Dicarboxylic acids, for example, malonic acid and its substituted analogues, are versatile ligands since their anions can manifest both chelate and bridging coordination in binding metal atoms [22,23]. Varying substituents at the carbon atoms in acids and inorganic/organic cations makes it possible to expand the structural diversity of the resulting compounds [24,25,26]. The cobalt(II) atom in carboxylate complexes usually has an octahedral coordination environment, which leads to an unquenched orbital contribution to the t2g set and closely spaced excited states. Some of these compounds exhibit slow magnetic relaxation. Identification of relaxation paths is an important part of the analysis associated with magnetic data, supported by ab initio calculations.
Previously, the possibility to obtain field-induced SIMs on cobalt(II) malonates was shown for complexes with anions of benzylmalonic acid [27]. Here, we report two new polymeric cobalt(II) complexes with anions of cyclopropane-1,1-dicarboxylic acid and rubidium and cesium atoms. Both compounds showed slow relaxation of magnetization in the applied field.
2. Results and Discussion
2.1. Synthesis and Crystal Structure
The reaction of cobalt(II) acetate with M2cpdc (M = Rb, Cs) in water with heating results in the compounds {[Rb6Co3(cpdc)6(H2O)12]·6H2O}n (1) and [Cs2Co(cpdc)2(H2O)6]n (2). Compound 1 can also be prepared in a higher yield by refluxing the reaction mixture for 3 h in water.
In the IR spectra, we observe the preservation of asymmetric stretching vibrations and skeletal vibrations of the cyclopropane moiety: 3033 and 3031 cm−1 for 1 and 2; and δ = 1042 and 1043 cm−1 for 1 and 2, respectively. Moreover, the appearance of characteristic peaks of the COO− groups is observed for complexes 1 and 2: νas = 1523 and 1526 cm−1; νsym = 1402 and 1405 cm−1; and δ = 926 and 933 cm−1, respectively [28].
Complexes 1 and 2 crystallize in triclinic (group P-1) and monoclinic (group P21/c) crystal systems, respectively. The structures of these compounds are based on the {CoII(cpdc)2(H2O)2}2− bischelate moiety. Earlier, coordination compounds with dimethylmalonic acid anions in the cesium–cobalt(II) system were reported, in which the {CoII(R2mal)2}2− bischelate moiety (where R2mal2− is the dianion of the substituted malonic acid) was not formed [29].
The study of 1 and 2 by powder diffraction confirmed the conjunction with the structure of the corresponding single crystals and purity of the obtained powders (Supplementary Materials: S-1).
Compound {[Rb6Co3(cpdc)6(H2O)12]·6H2O}n (1) is a framework polymer (Figure 1a–d) in which the {Co(cpdc)2(H2O)2}2− bischelate moieties are bound through the rubidium atoms. The complex contains two structurally non-equivalent cobalt(II) atoms, Co1 and Co2, each being located in a distorted octahedral environment, CoO6 (Figure 1d). The bischelate moiety {Co1(cpdc)2(H2O)2}2− is centrosymmetric; the inversion center passes through the Co1 atom, and the cpdc2− anion that forms a {Co1/O1/C1/C2/C3/O2} 6-membered ring exhibits a κ2,μ5-type coordination (Supplementary Materials, Figure S2.1), and is bound to the Rb1 and Rb2 atoms (Co1-O (cpdc2−) 2.029(3)-2.054(2) Å, Rb1-O1 2.980(2) Å, Rb1-O2 3.098(2) Å, Rb2-O1 (cpdc2−) 3.059(3) Å, Rb2-O2 3.156(3) Å).
Figure 1.
(a) The framework fragment of complex 1; (b,c) the fragment of complex 1 along axis a and c, respectively; (d) a fragment of the independent part of the cell complex (hydrogen atoms, carbon substituents, and solvent molecules are hidden for clarity).
The {Co2(cpdc)2(H2O)2}2− moiety occupies a general position. The cpdc2− dianion also involved in the formation of the {Co2/O5/C6/C7/C8/O6} 6-membered ring has a κ2,μ4-type coordination mode and is bound to the all types of Rb atoms (Figure S2.1, Co2-O(cpdc2−) 2.027(3)-2.056(3) Å, Rb1-O6 2.884(3) Å, Rb2-O5 3.034(3) Å, Rb3-O5 3.222(3) Å), while the second cpdc2− dianion in the {Co2/O9/C11/C12/C13/O10} cycle has a κ2,μ5-type coordination (Co2-O(cpdc2−) 2.036(2)-2.056(3) Å, Rb1-O9 2.895(3) Å, Rb2-O10 2.995(2) Å, Rb3-O10 2.979(2)Å, Rb3-O12 2.897(3)Å). Due to the large number of water molecules coordinated to rubidium atoms, a framework is formed (Figure 1a). The coordination spheres of the Co atoms are complemented by two µ3-H2O (Co1-O1W 2.127(2) Å) or two µ2-H2O (Co2-O(H2O) 2.138(3), 2.145(3) Å) molecules to form a distorted octahedral geometry (SQ(Co1) = 0.060, SQ(Co2) = 0.152) [30]. The Rb atoms in 1 are in three structurally non-equivalent positions. The coordination environment of the Rb atoms is formed by O atoms of the cpdc2− dianion and water molecules and corresponds to a capped octahedron for Rb1 (RbO7), biaugmented trigonal prism for Rb2 (RbO8), and capped trigonal prism for Rb3 (RbO7) [30]. The main interatomic distances are indicated in Table S1.
Replacement of Rb atoms with Cs leads to a decrease in the dimensionality of the polymer form from 3D to 2D. The {Co1(cpdc)2(H2O)2}2− bischelate moiety is centrosymmetric; the inversion center coincides with the coordinates of the Co1 atom. The distorted octahedral environment of the Co atom (CoO6, SQ = 0.109) in the symmetrical {CoII(H2O)2(cpdc)2}2− moiety is formed by two cpcd2− dianions that exhibit a κ2,μ5-type coordination and form {Co1/O1/C1/C2/C3/O2} 6-membered chelate rings, as well as by two bridging O atoms of water (Co-O(cpdc2−) 2.0510(16)-2.0550(15) Å, Co-O1W 2.1258(17) Å, Cs-O(cpdc2−) 3.1920(2)-3.5114(17) Å, Cs-O1W 3.2245(18) Å) (Figure 2a). The layer in 2 is formed by Cs atoms via carbonyl and O1W atoms of the bidentate water (Figure 2b). The Cs atoms have a coordination environment, which is formed by O atoms of cpdc2− dianions and water molecules and corresponds to sphenocorona (CsO9) [30] (Cs-O(cpdc2−) 3.1920(2)-3.5114(17)Å, Cs-O(H2O) 3.0940(2)-3.3240(2)Å). The interatomic distances Co···Co for complexes 1 and 2 are 6.485 to 5.265 Å, respectively.
Figure 2.
(a) A fragment of complex 2; (b) the layer fragment (hydrogen atoms and carbon substituents in (b) are hidden for clarity).
2.2. Magnetic Properties
2.2.1. Ab Initio Calculation of the Electronic Structure and the Griffith Hamiltonian Approach
It has been widely discussed that the ZFS spin-Hamiltonian (SH) is not always applicable to the description of pseudo-octahedral cobalt(II) complexes due to the significant contribution of the unquenched orbital angular momentum [31,32]. The ground term of the crystal field of the high-spin Co2+ ion in octahedral geometry is the 4T1g orbital triplet (L = 1). The axial crystal field that arises due to distortion splits the 4T1g term into an orbital doublet 4Eg and an orbital singlet 4A2g (Figure 3). The SOC further splits the 4Eg term into four Kramers doublets (first-order effect) and also mixes 4Eg and 4A2g, resulting in the splitting of the 4A2g term into two Kramers doublets (second-order effect) (Table 1). When the axial parameter Δax is positive, the ground term proves to be the orbital singlet 4A2g, while in the opposite case, when Δax is negative, the orbital doublet 4Eg becomes the ground state [27,33].
Figure 3.
Energy level diagram for six-coordinate high-spin CoII complexes; term splitting in spherical symmetry, splitting due to lowering to D4h symmetry, and further splitting after inclusion of SOC (in a double-group notation).
Table 1.
SA-CASSCF-calculated spin-free and spin-orbit state energies (cm−1) for 1 and 2.
Using the SA-CASSCF method, it was shown by calculations that 1 and 2 are characterized by the presence of an “easy axis” of magnetization; that is, the orbital doublet proves to be the ground term in the axially distorted octahedron, while the rhombic crystal field splits the 4Eg-term, thus resulting in tri-axial magnetic anisotropy [17,34]. This system can be described by the Griffith Hamiltonian (GH) equation, which takes both the crystal field (CF) and the Zeeman interaction into account:
where λ is the spin-orbit coupling parameter, which typically ranges from –180 cm−1 to –130 cm−1; κ is the orbital reduction factor, which can vary from 0.6 to 1.0, depending on the complex; and; and Ŝ are the orbital angular momentum and spin operator, respectively.
2.2.2. Theoretical Modeling the Orbital Splitting
As expected for pseudo-octahedral complexes, two sets of split t2g and eg orbitals were found in 1 and 2. The AO splitting diagram (Figure 4) was obtained from AILFT analysis [35]. The relative energies of the orbitals are given in the Table S2.
Figure 4.
(a) Co2+ ion d-AO splitting in {Co1(cpdc)2(H2O)}2− (left) and {Co2(cpdc)2(H2O)}2− (right) anions in complex 1; (b) Co2+ ion d-AO splitting in [Co1(cpdc)2(H2O)]2− anion in complex 2.
For the Co12+ and Co22+ ions of complex 1, the splitting of the d-orbitals perfectly fits the D4h octahedral geometry of the coordination environment. A similar arrangement of orbitals for cobalt(II) complexes with easy-axis magnetization types was described [36,37]. The splitting of d-orbitals for the Co2+ ion of complex 2 does not corresponds to D4h. The presence of cesium atoms in the structure of complex 2 causes strong destabilization of the dx2-y2-orbital (planar elongation) [38]. This is confirmed by the Co–O bond lengths (cpdc2−) (Table S1).
The calculated data obtained for complexes 1 and 2 are in good agreement with the typical values characteristic of cobalt complexes in a distorted octahedral environment (from −500 to −2000 cm−1) [36,37,39,40,41]. Since complex 1 contains two independent cobalt(II) ions with different degrees of the polyhedra deviation from the ideal geometry, it can be assumed that the largest contribution to the transition states is made by the Co2 atom. The total magnetization reversal barrier was higher than found for complex 2. This can be explained by the larger Δax. Furthermore, the values of the remagnetization barrier in the applied field are characteristic of such quasi-octahedral complexes with high axial anisotropy [36,38,42]. The second factor that can be taken into account is a decrease in the dimensionality of the polymer and a lower isolation of the paramagnetic centers; in other words, shortening the Co∙∙∙Co distance, and thereby increasing the long-range magnetic dipole–dipole interactions and increasing the relaxation time of the magnetization [43,44].
2.2.3. DC Magnetic Data
The magnetic properties of 1 and 2 were investigated in the temperature range of 2–300 K in an external magnetic field of 5000 Oe to obtain the χMT(T) plots (Figure 5). For compounds in an octahedral environment, the χMT values at 300 K (3.31 cm3·K·mol−1 and 3.26 cm3·K·mol−1 for 1 and 2, respectively) significantly exceed the theoretical values for one magnetically isolated Co2+ ion (1.875 cm3·K·mol−1). This difference is most likely due to the large contribution of the spin-orbital moment to the total magnetic moment of the Co2+ ion. In both cases, the decrease in χMT slowly accelerates with decreasing temperature, from 3.31 cm3 K/mol and 3.26 cm3·K·mol−1(at 300 K) to 1.82 cm3·K·mol−1 and 1.53 cm3·K·mol−1(at 2 K) for for 1 and 2, respectively. In the case of Co2+ complexes, this magnetic behavior is caused by the anisotropy of the Co2+ ions and the Zeeman effect caused by the applied field [45,46].
Figure 5.
Temperature dependence of χMT for 1 (a) and 2 (b) (calculated per one Co atom) measured at H = 5000 Oe. The lines show approximations by the Griffith Hamiltonian equation [31].
These values were then fixed to fit the dc magnetic properties in order to reduce the number of varied parameters in the GH to only two, namely, λ and κ [31]. By simultaneous fitting of the temperature dependence (Figure 4), we obtained the best-fit values: average λ = −175.5 cm−1, κ = 0.87, χtip = 1.84·10−3 cm3·K·mol−1, and zJ = 0 cm−1 for 1; and λ = −175.4 cm−1, κ = 1.03, χtip = 1.12·10−3 cm3·K·mol−1, and zJ = –0.051 cm−1 for 2. The calculation for 2 takes into account weak intermolecular interactions, which may be due to the closer arrangement of cobalt atoms in the crystal lattice compared to 1.
2.2.4. AC Magnetic Data
Recently, considerable attention has been paid to the slow magnetic relaxation of complexes of d-elements and especially Co2+; in other words, to their properties as molecular magnets [9,15,16,18,47]. In order to check the presence of slow magnetic relaxation for the complexes obtained, studies of the dynamic magnetic susceptibility of all the compounds were carried out (Figure 6 and Figure 7). As a result of these measurements, the frequency dependences of the real (in-phase, χ′) and imaginary (out-of-phase, χ″) components of magnetic susceptibility in magnetic fields from 0 to 5000 Oe at 2 K (Figures S3.1 and S3.2) were obtained.
Figure 6.
Frequency dependences of the real χ′ (a) and imaginary χ″ (b) components of the ac magnetic susceptibility of 1 in the 1000 Oe field (lines are guides for the eyes (χ′), approximation using the generalized Debye model (χ″)).
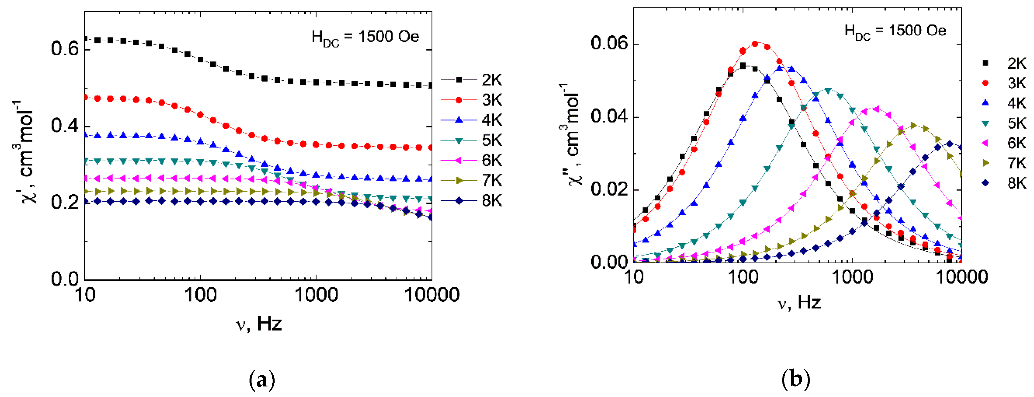
Figure 7.
Frequency dependence of the real χ′ (a) and imaginary χ″ (b) components of the ac magnetic susceptibility of 2 in the 1500 Oe field (lines are guides for the eyes (χ′), approximation using the generalized Debye model (χ″)).
In the zero dc magnetic field, no significant out-of-phase signals were observed for both complexes. In this case, deviations of the χ″(ν) dependences from zero are within the measurement error of the magnetometer. In order to reduce the possible effect of the quantum tunneling of magnetization (QTM), which can increase the relaxation rate significantly, subsequent measurements of the ac magnetic susceptibility of 1 and 2 were carried out in external magnetic fields of various strengths up to 5000 Oe.
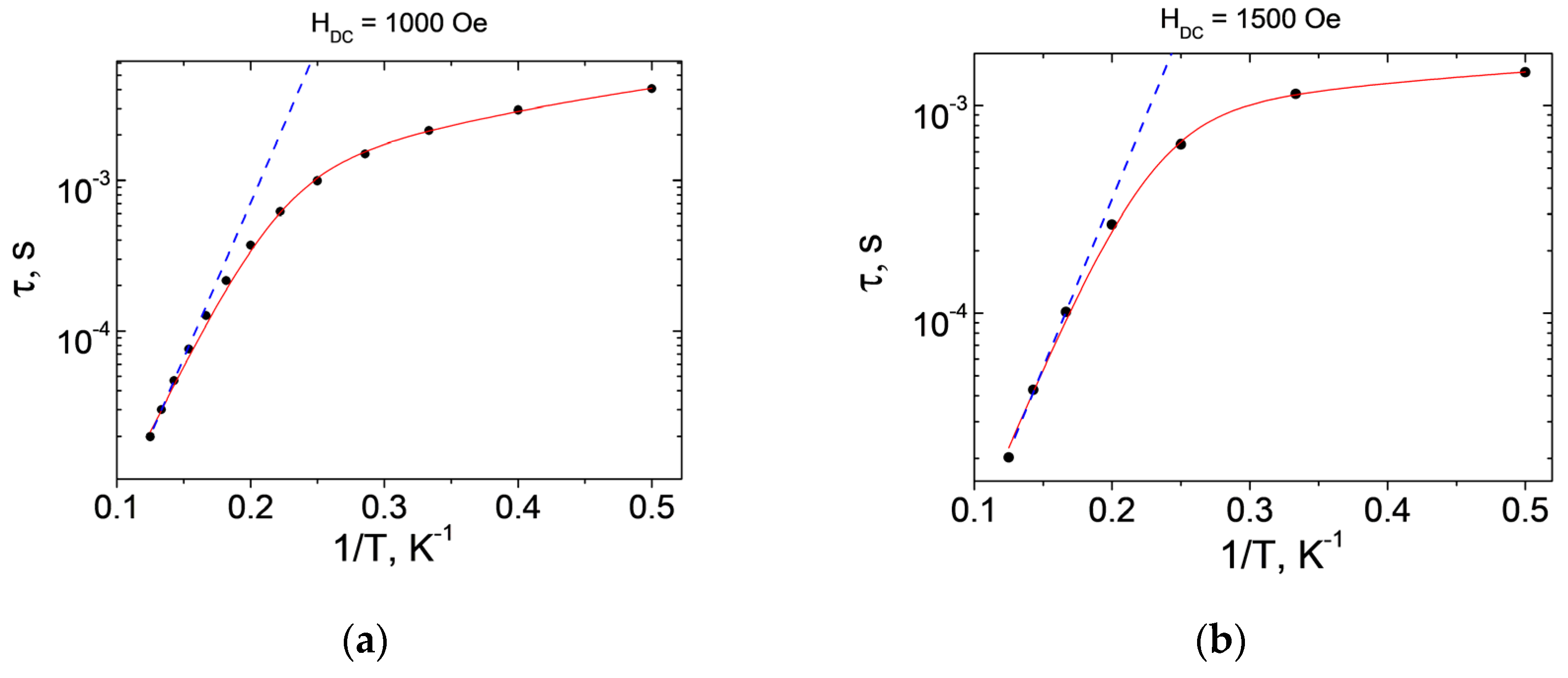
Applying an external magnetic field made it possible to study slow magnetic relaxation in 1 and 2. The optimal dc magnetic fields corresponding to the largest values of the relaxation time are 1000 Oe for 1 and 1500 Oe for 2 (Figures S3.1 and 3.2). The frequency dependences of the in-phase and out-of-phase signals were obtained in the optimal magnetic fields (Figure 6 and Figure 7). According to the results of the approximation of isotherms χ″(ν) using the generalized Debye model, the dependences of the relaxation time on inverse temperature τ(1/T) were obtained (Figure 8).
Figure 8.
The τ(1/T) plots of the relaxation time of 1 (a) and 2 (b). Blue dashed lines—approximations of the high-temperature region using the Orbach relaxation mechanism; red solid lines—approximations using the sum of the Orbach and Raman mechanisms in the entire temperature range.
In order to be able to compare the energy barrier height in the determination of the relaxation process parameters for compounds 1 and 2, the high-temperature regions (Table 2) of the τ(1/T) plots were approximated by the Orbach relaxation mechanism τOr−1 = τ0−1 exp(−ΔE/kBT), where ΔE is the height of the energy barrier of magnetization reversal, kB is the Boltzmann constant, τ0 is the shortest relaxation time, and T is the temperature. The best-fit approximations were obtained using the sets of parameters for 1 and 2 presented in Table 2. The deviation from linearity (Figure 8) seen in the τ(1/T) plots in semi-logarithmic coordinates suggests that other than just Orbach mechanisms participate in magnetic relaxation.
Table 2.
Approximation of the τ(1/T) plots for complexes 1 and 2 using various relaxation mechanisms.
The best-fit approximation of the τ(1/T) experimental data for complexes 1 and 2 was achieved using the sum of the Orbach and Raman relaxation mechanisms (τ−1 = τ0−1 exp(−ΔE/kBT) + CRamanTn_Raman), where CRaman and nRaman are parameters of the Raman relaxation mechanism. The best-fit results were found using the relaxation parameters presented in Table 2. The use of other mechanisms or sets of relaxation mechanisms results in values of parameters that are unacceptable from a physical point of view or in overparameterization. The two-phonon Raman process [48] dominates at low temperatures for both compounds.
The higher remagnetization barrier for 1 may be related to the higher axial component and lower rhombicity [33,36]. The second reason: the calculated first excited KD (268.9 and 237.9 cm−1) were higher for complex 1.
3. Materials and Methods
3.1. Synthesis
3.1.1. General Details
The new compounds were synthesized using distilled water and commercially available cobalt(II) acetate tetrahydrate (99%, Chempur, Karlsruhe, German), cyclopropane-1,1-dicarboxylic acid (97%, Sigma-Aldrich, Shanghai, China), rubidium hydroxide hydrate (Sigma-Aldrich, Shanghai, China), and cesium hydroxide monohydrate (Acros Organics, Great Britain). IR spectra of the complexes were recorded on a Perkin Elmer Spectrum 65 instrument using the ATR method in the frequency range of 4000–400 cm−1. Elemental analysis of the resulting compounds was carried out with an EA-3000 CHNS-analyzer (EuroVector, Pavia, Italy).
3.1.2. Synthesis of New Compounds
- {[Rb6Co3(cpdc)6(H2O)12]·6H2O}n (1).
Method 1. Co(OAc)2·4H2O (0.05 g, 0.20 mmol) was added to a solution of Rb2cpdc (obtained from RbOH∙xH2O (0.10 g, 0.80 mmol) and H2cpdc (0.05 g, 0.40 mmol)) in H2O (30 mL). The reaction mixture was stirred for 1 h with weak heating (T = 55 °C). The crimson solution thus obtained was slowly concentrated in an Erlenmeyer flask in air at room temperature within one month. The resulting crimson crystals were suitable for X-ray diffraction analysis. The yield of 1 was 0.05 g (42% counting per Co).
Method 2. A mixture of RbOH∙xH2O (1.93 g, 16.08 mmol), H2cpdc (1.05 g, 8.04 mmol), and Co(OAc)2·4H2O (0.50 g, 2.01 mmol) in water (50 mL) was refluxed for 3 h in an oil bath. The crimson solution thus obtained was slowly concentrated in an Erlenmeyer flask in air at room temperature within one week. The resulting crimson crystals were suitable for X-ray diffraction analysis. The yield of 1 was 1.04 g (87% counting per Co).
Calc. (%) for C₃₀H₆₀Co₃O₄₂Rb₆: C 20.22; H 3.39. Found (%): C 20.41; H 3.62. IR spectra, ν/cm−1 (s = strong, m = middle, w = weak): 3264 m, 3033 m, 2284 w, 1523 s, 1434 s, 1402 s, 1241 m, 1208 s, 1078 w, 1042 w, 970 m, 926 m, 879 m, 863 m, 727 s, 614 s, 540 s, 454 s, 412 s.
- [Cs2Co(cpdc)2(H2O)6]n (2).
Co(OAc)2·4H2O (0.10 g, 0.40 mmol) was added to a solution of Cs2cpdc (obtained from CsOH∙H2O (0.40 g, 2.40 mmol) and H2cpdc (0.16 g, 1.20 mmol)) in H2O (30 mL). The reaction mixture was stirred for 1 h with weak heating (T = 55 °C). The crimson solution thus obtained was slowly concentrated in air at room temperature within two weeks. The resulting crimson crystals were suitable for X-ray diffraction analysis. The yield of 2 was 0.19 g (70% counting per Co). Calc. (%) for C10H20CoCs2O14: C 17.43; H 2.93. Found (%) C 17.62; H 3.04. IR spectra, ν/cm−1: 3232 m, 3031 s, 1661 w, 1526 s, 1428 m, 1405 s, 1377 s, 1239 m, 1213 m, 1186 m, 1076 m, 1043 m, 968 m, 933 m, 877 m, 802 m, 740 s, 586 s, 542 s, 446 m, 435 m, 420 m.
3.2. Single-Crystal X-ray Diffraction Analysis
X-ray diffraction analysis was carried out on a Bruker Apex-II CCD diffractometer (graphite monochromator, λ = 0.71073 Å). An absorption correction was applied empirically using the SADABS program [49]. All the structures were solved in the OLEX2 and SHELXT programs [50,51] using the Intrinsic Phasing method and refined with SHELXL [52] using Least Squares refinement on F2. Nonhydrogen atoms were refined in anisotropic approximation. The hydrogens atoms of the methylene and water moieties were calculated according to the idealized geometry and refined with constraints applied to the C–H and O–H bond lengths and equivalent displacement parameters (Ueq(H) = 1.2Ueq(C); Ueq(H) = 1.5Ueq(O)).
The crystallographic parameters and refinement statistics are given in Supplementary Materials: Table S3. CCDC numbers 2161285 (for 1) and 2161284 (for 2) contain the supplementary crystallographic data for the reported compounds. These data can be obtained free of charge from The Cambridge Crystallographic Data Centre.
3.3. Powder X-ray Diffraction
The powder patterns of 1 and 2 were measured on Bruker D8 Advance (Bragg–Brentano geometry; sample dispersed thinly on a zero-background Si sample holder; CuKa radiation λ = 1.5418 Å (Ni filter); and θ/θ scan with variable slits) and Bruker D8 Advance Vario (transmission mode; sample deposited between two mylar films; CuKa1 radiation λ = 1.5406 Å (Ge monochromator); and θ/2θ scan) diffractometers, respectively, with a LynxEye detector from 5° to 60° 2θ, with a step size of 0.020°. The powder patterns Rietveld refinement was performed in TOPAS 5 software.
3.4. Magnetic Measurements
The magnetic properties of complexes 1 and 2 were investigated by dc and ac magnetic susceptibility measurements on a Quantum Design PPMS-9 magnetometer. The dc measurements were performed in the temperature range of 2–300 K in a constant external magnetic field of 5000 Oe. For the ac measurements, alternating fields of 5, 3, and 1 Oe in the frequency ranges 10–100, 100–1000, and 10–1,0000 Hz, respectively, were used. This procedure makes it possible to prevent overheating of the samples at low temperatures and produce the best signal-to-noise ratio. All magnetic behavior studies were carried out on milled polycrystalline samples sealed in plastic bags and frozen in mineral oil to prevent crystallite orientation in a magnetic field. The paramagnetic component of magnetic susceptibility (χ) was determined taking into account both the diamagnetic contribution of the sample itself, estimated from the Pascal constant, and the diamagnetic contributions of the mineral oil and the holder.
3.5. Computational Details
Ab initio (post Hartree–Fock) calculations of the zero-field splitting (ZFS) parameters and the g-tensor were performed based on the state-averaged complete-active-space self-consistent-field (SA-CASSCF) wave function [53] complemented by the N-electron valence second-order perturbation theory (NEVPT2) [54], using the ORCA program package (version 5.0.1) [55]. The calculations were performed with the geometry of the experimentally determined X-ray structures. The active space of the CASSCF calculations was composed of seven electrons in five d-orbitals of Co2+ ions (S = 3/2): CAS(7,5). The state-averaged approach was used, in which all 10 quartet (S = 3/2) and 40 doublet (S = 1/2) states were averaged with equal weights. The polarized triple-ӡ-quality def2-TZVP basis set was used for all the atoms [56]. An auxiliary def2/JK Coulomb fitting basis set was used in the calculation [57].
Both the zero-field splitting parameter (D) and transverse anisotropy (E), based on dominant spin-orbit coupling contributions from excited states, were calculated through the quasi-degenerate perturbation theory (QDPT) [58], in which approximation to the Breit–Pauli form of the spin-orbit coupling operator (SOMF) [59] and an effective Hamiltonian approach [60] were applied. The splitting of the d-orbitals was analysed within the ab initio ligand field theory (AILFT) [35,61].
4. Conclusions
New coordination compounds of cobalt(II) with anions of cyclopropane-1,1-dicarboxylic acid were obtained. In these complexes, the mononuclear fragments {CoII(cpdc)2(H2O)}2− are bound by rubidium or cesium atoms to form 3D and 2D polymers, respectively. Both compounds demonstrate slow magnetic relaxation in a non-zero field (HDC = 1000 and 1500 Oe). Ab initio calculations indicated the presence of an easy axis of magnetization in both complexes with a negative axial crystal field. Analysis of the magnetization relaxation mechanisms for complexes 1 and 2 suggest that a sum of the Orbach and Raman relaxation mechanisms operates. This may be implemented through under-barrier relaxation mechanisms.
Supplementary Materials
The following supporting information can be downloaded at: https://www.mdpi.com/article/10.3390/molecules27196537/s1, Figures S1.1 and S1.2: Powder X-ray diffraction data; Figures S2.1 and S2.2: Coordination modes of the cyclopropane-1,1-dicarboxylate dianions; Figures S3.1 and S3.2: AC data; Table S1: Interatomic distances and angles; Table S2: Relative energies of d-AO for 1 and 2; Table S3: Crystal data and structure refinement for 1 and 2; Table S4: H-bonds.
Author Contributions
Conceptualization, validation, E.N.Z.-T.; methodology, A.K.M. and E.N.Z.-T.; investigation, A.S.G., K.A.B. and N.N.E.; writing—original draft preparation, A.K.M., E.N.Z.-T. and N.N.E.; writing—review and editing, M.A.K.; supervision, I.L.E. All authors have read and agreed to the published version of the manuscript.
Funding
This research was funded by Russian Science Foundation, grant number 19-73-10181-P.
Data Availability Statement
The data presented in this study are available in this article and Supplementary Materials.
Acknowledgments
The authors are grateful to Denis V. Korchagin for help with ab initio calculations. Single-crystal X-ray diffraction, IR spectroscopy, elemental analysis, and magnetochemical studies were performed using the equipment of the Center for Collective Use of Physical Investigation Methods of the Kurnakov Institute of General and Inorganic Chemistry, Russian Academy of Sciences. Powder X-ray diffraction data were obtained using the equipment of the Center for Studies of Molecular Structure of the Nesmeyanov Institute of Organoelement Compounds, Russian Academy of Sciences.
Conflicts of Interest
The authors declare no conflict of interest.
Sample Availability
Samples of the compounds are available from the authors.
References
- Leuenberger, M.N.; Loss, D. Quantum computing in molecular magnets. Nature 2001, 410, 789–793. [Google Scholar] [CrossRef]
- Tejada, J. Quantum behaviour of molecule-based magnets: Basic aspects (quantum tunneling and quantum coherence) and applications (hardware for quantum computers and magnetic refrigeration). Polyhedron 2001, 20, 1751–1756. [Google Scholar] [CrossRef]
- Evangelisti, M.; Brechin, E.K. Recipes for enhanced molecular cooling. Dalton Trans. 2010, 39, 4672–4676. [Google Scholar] [CrossRef] [PubMed]
- Aromí, G.; Aguilà, D.; Gamez, P.; Luis, F.; Roubeau, O. Design of magnetic coordination complexes for quantum computing. Chem. Soc. Rev. 2012, 41, 537–546. [Google Scholar] [CrossRef] [PubMed]
- Kaminski, D.; Webber, A.L.; Wedge, C.J.; Liu, G.; Timco, G.A.; Vitorica-Yrezabal, I.J.; McInnes, E.J.L.; Winpenny, R.E.P.; Ardavan, A. Quantum spin coherence in halogen-modified Cr7Ni molecular nanomagnets. Phys. Rev. 2014, B90, 184419. [Google Scholar] [CrossRef]
- Ferrando-Soria, J.; Pineda, E.M.; Chiesa, A.; Fernandez, A.; Magee, S.A.; Carretta, S.; Santini, P.; Vitorica-Yrezabal, I.J.; Tuna, F.; Timco, G.A.; et al. A modular design of molecular qubits to implement universal quantum gates. Nature Comm. 2016, 7, 11377. [Google Scholar] [CrossRef]
- Ferrando-Soria, J.; Vallejo, J.; Castellano, M.; Martínez-Lillo, J.; Pardo, E.; Cano, J.; Castro, I.; Lloret, F.; Ruiz-García, R.; Julve, M. Molecular magnetism, quo vadis? A historical perspective from a coordination chemist viewpoint. Coord. Chem. Rev. 2017, 339, 17–103. [Google Scholar] [CrossRef]
- McInnes, E.J.L.; Winpenny, R.E.P. 4.14—Molecular Magnets. Comprehensive Inorganic Chemistry II; Elsevier: Edinburgh, UK, 2013; Volume 4, pp. 371–396. [Google Scholar] [CrossRef]
- Craig, G.A.; Murrie, M. 3d single-ion magnets. Chem. Soc. Rev. 2015, 44, 2135–2147. [Google Scholar] [CrossRef]
- Sarkar, A.; Dey, S.; Rajaraman, G. Role of Coordination Number and Geometry in Controlling the Magnetic Anisotropy in FeII, CoII, and NiII Single-Ion Magnets. Chem. Eur. J. 2020, 62, 14036–14058. [Google Scholar] [CrossRef]
- Bogani, L.; Wernsdorfer, W. Molecular spintronics using single-molecule magnets. Nat. Mater. 2008, 7, 179. [Google Scholar] [CrossRef]
- Song, X.; Liu, J.; Zhang, T.; Chen, L. 2D conductive metal-organic frameworks for electronics and spintronics. Sci. China Chem. 2020, 63, 1391–1401. [Google Scholar] [CrossRef]
- Zhang, Y.-Z.; Gómez-Coca, S.; Brown, A.J.; Saber, M.R.; Zhang, X.; Dunbar, K.R. Trigonal antiprismatic Co(II) single molecule magnets with large uniaxial anisotropies: Importance of Raman and tunneling mechanisms. Chem. Sci. 2016, 7, 6519–6527. [Google Scholar] [CrossRef] [PubMed]
- Bar, A.K.; Pichona, C.; Sutter, J.-P. Magnetic anisotropy in two- to eight-coordinated transition–metal complexes: Recent developments in molecular magnetism. Coord. Chem. Rev. 2016, 308, 346–380. [Google Scholar] [CrossRef]
- Nemec, I.; Herchel, R.; Trávníček, Z. Ferromagnetic coupling mediated by Co⋯π non-covalent contacts in a pentacoordinate Co(II) compound showing field-induced slow relaxation of magnetization. Dalton Trans. 2016, 45, 12479–12482. [Google Scholar] [CrossRef]
- Mondal, A.K.; Mondal, A.; Dey, B.; Konar, S. Influence of the Coordination Environment on Easy-Plane Magnetic Anisotropy of Pentagonal Bipyramidal Cobalt(II) Complexes. Inorg. Chem. 2018, 57, 9999–10008. [Google Scholar] [CrossRef]
- Rajnak, C.; Varga, F.; Titiš, J.; Moncoľ, J.; Roman Boča, R. Field-Supported Single-Molecule Magnets of Type [Co(bzimpy)X2]. Eur. J. Inorg. Chem. 2017, 13, 1915–1922. [Google Scholar] [CrossRef]
- Tripathi, S.; Dey, A.; Shanmugam, M.; Narayanan, R.S.; Chandrasekhar. Cobalt(II) Complexes as Single-Ion Magnets. Top. Organomet. Chem. 2019, 64, 35–75. [Google Scholar] [CrossRef]
- Frost, J.M.; Harriman, K.L.M.; Murugesu, M. The rise of 3-d single-ion magnets in molecular magnetism: Towards materials from molecules? Chem. Sci. 2016, 7, 2470–2491. [Google Scholar] [CrossRef]
- Krzystek, J.; Ozarowski, A.; Telser, J. Multi-frequency, high-field EPR as a powerful tool to accurately determine zero-field splitting in high-spin transition metal coordination complexes. Coord. Chem. Rev. 2006, 250, 2308–2324. [Google Scholar] [CrossRef]
- Gomez-Coca, S.; Cremades, E.; Aliaga-Alcalde, N.; Ruiz, E. Mononuclear Single-Molecule Magnets: Tailoring the Magnetic Anisotropy of First-Row Transition-Metal Complexes. J. Am. Chem. Soc. 2013, 135, 7010–7018. [Google Scholar] [CrossRef]
- Pasán, J.; Sanchiz, J.; Fabelo, Ó.; Cañadillas-Delgado, L.; Déniz, M.; Díaz-Gallifa, P.; Martínez-Benito, C.; Lloret, F.; Julve, M.; Ruiz-Pérez, C. Influence of the coligand in the magnetic properties of a series of copper(II)–phenylmalonate complexes. CrystEngComm 2014, 16, 8106–8118. [Google Scholar] [CrossRef]
- Zorina, E.N.; Zauzolkova, N.V.; Sidorov, A.A.; Aleksandrov, G.G.; Lermontov, A.S.; Kiskin, M.A.; Bogomyakov, A.S.; Mironov, V.S.; Novotortsev, V.M.; Eremenko, I.L. Novel polynuclear architectures incorporating Co2+ and K+ ions bound by dimethylmalonate anions: Synthesis, structure, and magnetic properties. Inorg. Chim. Acta. 2013, 396, 108–118. [Google Scholar] [CrossRef]
- Zorina-Tikhonova, E.N.; Chistyakov, A.S.; Matyukhina, A.K.; Efimov, N.N.; Shmelev, M.A.; Skabitsky, I.V.; Kiskin, M.A.; Sidorov, A.A.; Eremenko, I.L. Effect of substituent in malonate anions on the structure of Zn(II) coordination polymers. J. Struct. Chem. 2021, 62, 1209–1217. [Google Scholar] [CrossRef]
- Dobrokhotova, Z.V.; Gogoleva, N.V.; Zorina-Tikhonova, E.N.; Kiskin, M.A.; Chernyshev, V.V.; Emelina, A.L.; Bukov, M.A.; Goloveshkin, A.S.; Bushmarinov, I.S.; Sidorov, A.A.; et al. The use of malonate coordination polymers with CuII and BaII atoms for barium cuprate preparation. Eur. J. Inorg. Chem. 2015, 19, 3116–3127. [Google Scholar] [CrossRef]
- Bazhina, E.S.; Aleksandrov, G.G.; Sidorov, A.A.; Eremenko, I.L. The formation of polymeric structures in the M2+–VO2+ systems (M2+ = Sr2+, Ca2+) containing substituted malonate anions. Russian J. of Coord. Chem. 2015, 41, 730–740. [Google Scholar] [CrossRef]
- Zorina-Tikhonova, E.N.; Matyukhina, A.K.; Skabitskiy, I.V.; Shmelev, M.A.; Korchagin, D.V.; Babeshkin, K.A.; Efimov, N.N.; Kiskin, M.A.; Eremenko, I.L. Cobalt(II) Complexes Based on Benzylmalonate Anions Exhibiting Field-Induced Single-Ion Magnet Slow Relaxation Behavior. Crystals 2020, 10, 1130. [Google Scholar] [CrossRef]
- Bellamy, L.J. The Infra-Red Spectra of Complex Molecules; Springer: Dordrecht, The Netherlands, 1975. [Google Scholar] [CrossRef]
- Zorina-Tikhonova, E.N.; Matyukhina, A.K.; Aleksandrov, G.G.; Kiskin, M.A.; Sidorov, A.A.; Eremenko, I.L. Effect of initial CoII salts on the composition and structure of Cs-CoII dimethylmalonates. Russ. J. Inorg. Chem. 2020, 66, 179–186. [Google Scholar] [CrossRef]
- Alvarez, S.; Avnir, D.; Llunell, M.; Pinsky, M. Continuous symmetry maps and shape classification. The case of six-coordinated metal compounds. New J. Chem. 2002, 26, 996–1009. [Google Scholar] [CrossRef]
- Griffith, J.S. The Theory of Transition Metal Ions; Cambridge University Press: Cambridge, UK, 1964. [Google Scholar]
- Lloret, F.; Julve, M.; Cano, J.; Ruiz-García, R.; Pardo, E. Magnetic properties of six-coordinated high-spin cobalt(II) complexes: Theoretical background and its application. Inorg. Chim. Acta 2008, 361, 3432–3445. [Google Scholar] [CrossRef]
- Palii, A.V.; Korchagin, D.V.; Yureva, E.A.; Akimov, A.V.; Misochko, E.Y.; Shilov, G.V.; Talantsev, A.D.; Morgunov, R.B.; Aldoshin, S.M.; Tsukerblat, B.S. Single-Ion Magnet Et4N[CoII(hfac)3] with Nonuniaxial Anisotropy: Synthesis, Experimental Characterization, and Theoretical Modeling. Inorg. Chem. 2016, 55, 9696–9706. [Google Scholar] [CrossRef]
- Tupolova, Y.P.; Shcherbakov, I.N.; Popov, L.D.; Lebedev, V.E.; Tkachev, V.V.; Zakharov, K.V.; Vasiliev, A.N.; Korchagin, D.V.; Palii, A.V.; Aldoshin, S.M. Field-induced single-ion magnet behaviour of a hexacoordinated Co(II) complex with easy-axis-type magnetic anisotropy. Dalton Trans. 2019, 48, 6960–6970. [Google Scholar] [CrossRef] [PubMed]
- Singh, S.K.; Eng, J.; Atanasov, M.; Neese, F. Covalency and Chemical Bonding in Transition Metal Complexes: An Ab Initio Based Ligand Field Perspective. Coord. Chem. Rev. 2017, 344, 2–25. [Google Scholar] [CrossRef]
- Benelli, C.; Gatteschi, D. Magnetism of Lanthanides in Molecular Materials with Transition-Metal Ions and Organic Radicals. Chem. Rev. 2002, 102, 2369–2387. [Google Scholar] [CrossRef] [PubMed]
- Petrosyants, S.P.; Babeshkin, K.A.; Gavrikov, A.V.; Ilyukhin, A.B.; Belova, E.N.; Efimov, N.N. Towards comparative investigation of Er- and Yb-based SMMs: The effect of the coordination environment configuration on the magnetic relaxation in the series of heteroleptic thiocyanate complexes. Dalton Trans. 2019, 48, 12644–12655. [Google Scholar] [CrossRef] [PubMed]
- Murrie, M. Co(II) single-molecule magnets. Chem. Soc. Rev. 2010, 39, 1986–1995. [Google Scholar] [CrossRef] [PubMed]
- Gómez-Coca, S.; Urtizberea, A.; Cremades, E.; Alonso, P.J.; Camón, A.; Ruiz, E.; Luis, F. Origin of slow magnetic relaxation in Kramers ions with non-uniaxial anisotropy. Nat. Commun. 2014, 5, 4300. [Google Scholar] [CrossRef]
- Rigamonti, L.; Bridonneau, N.; Poneti, G.; Tesi, L.; Sorace, L.; Pinkowicz, D.; Jover, J.; Ruiz, E.; Sessoli, R.; Cornia, A. A Pseudo-Octahedral Cobalt(II) Complex with Bispyrazolylpyridine Ligands Acting as a Zero-Field Single-Molecule Magnet with Easy Axis Anisotropy. Chem. Eur. J. 2018, 24, 8857–8868. [Google Scholar] [CrossRef]
- Tripathi, S.; Vaidya, S.; Ahmed, N.; Klahn, E.A.; Cao, H.; Spillecke, L.; Koo, C.; Spachmann, S.; Klingeler, R.; Rajaraman, G.; et al. Structure-property correlation in stabilizing axial magnetic anisotropy in octahedral Co(II) complexes. Cell Rep. Phys. Sci. 2021, 2, 100404. [Google Scholar] [CrossRef]
- Tupolova, Y.P.; Shcherbakov, I.M.; Korchagin, D.V.; Tkachev, V.V.; Lebedev, V.E.; Popov, L.D.; Zakharov, K.V.; Vasiliev, A.N.; Palii, A.V.; Aldoshin, S.M. Fine-Tuning of Uniaxial Anisotropy and Slow Relaxation of Magnetization in the Hexacoordinate Co(II) Complexes with Acidoligands. J. Phys. Chem. C. 2020, 124, 25957–25966. [Google Scholar] [CrossRef]
- Świtlicka, A.; Machura, B.; Penkala, M.; Bieńko, A.; Bieńko, D.C.; Titiš, J.; Rajnák, C.; Boča, R.; Ozarowski, A. Slow magnetic relaxation in hexacoordinated cobalt(II) field-induced single-ion magnets. Inorg. Chem. Front. 2020, 7, 2637–2650. [Google Scholar] [CrossRef]
- Świtlicka-Olszewska, A.; Palion-Gazda, J.; Klemens, T.; Machura, V.B.; Vallejo, J.; Cano, J.; Lloret, F.; Julve, M. Single-ion magnet behaviour in mononuclear and two-dimensional dicyanamide-containing cobalt(ii) complexes. Dalton Trans. 2016, 45, 10181–10193. [Google Scholar] [CrossRef] [PubMed]
- Palion-Gazda, J.; Klemens, T.; Machura, B.; Vallejo, J.; Lloret, F.; Julve, M. Single ion magnet behavior in a two-dimensional network of dicyanamide-bridged cobalt(II) ions. Dalton Trans. 2015, 44, 2989–2992. [Google Scholar] [CrossRef] [PubMed]
- Nemec, I.; Fellner, O.F.; Indruchová, B.; Herchel, R. Trigonally Distorted Hexacoordinate Co(II) Single-Ion Magnets. Materials 2022, 15, 1064. [Google Scholar] [CrossRef] [PubMed]
- Wynn, C.M.; Gîrtu, M.A.; Brinckerhoff, W.B.; Sugiura, K.-I.; Miller, J.S.; Epstein, A.J. Magnetic Dipole-Dipole Interaction and Single-Ion Anisotropy: Revisiting a Classical Approach to Magnets. Chem. Mater. 1997, 9, 2156–2163. [Google Scholar] [CrossRef]
- Wang, J.; Dong, H.; Li, S.-W. Magnetic dipole-dipole interaction induced by the electromagnetic field. Phys. Rev. 2018, 97, 013819. [Google Scholar] [CrossRef]
- Krause, L.; Herbst-Irmer, R.; Sheldrick, G.M.; Stalke, D. Comparison of silver and molybdenum microfocus X-ray sources for single-crystal structure determination. J. Appl. Cryst. 2015, 48, 3–10. [Google Scholar] [CrossRef]
- Dolomanov, O.V.; Bourhis, L.J.; Gildea, R.J.; Howard, J.A.K.; Puschmann, H. OLEX2: A complete structure solution, refinement and analysis program. J. Appl. Cryst. 2009, 42, 339–341. [Google Scholar] [CrossRef]
- Sheldrick, G.M. A short history of SHELX. Acta Cryst. Sect. A. 2008, 64, 112–122. [Google Scholar] [CrossRef]
- Sheldrick, G.M. Crystal structure refinement with SHELXL. Acta Cryst. Sect. C. 2015, C71, 3–8. [Google Scholar] [CrossRef]
- Malmqvist, P.-Å.; Roos, B.O. The CASSCF state interaction method. Chem. Phys. Lett. 1989, 155, 189–194. [Google Scholar] [CrossRef]
- Angeli, C.; Cimiraglia, R.; Evangelisti, S.; Leininger, T.; Malrieu, J.P. Introduction of n-electron valence states for multireference perturbation theory. J. Chem. Phys. 2001, 114, 10252–10264. [Google Scholar] [CrossRef]
- Neese, F. The ORCA program system. Wiley Interdiscip. Rev. Comput. Mol. Sci. 2012, 2, 73–78. [Google Scholar] [CrossRef]
- Schäfer, A.; Huber, C.; Ahlrichs, R. Fully optimized contracted Gaussian basis sets of triple zeta valence quality for atoms Li to Kr. J. Chem. Phys. 1994, 100, 5829–5835. [Google Scholar] [CrossRef]
- Neese, F. An improvement of the resolution of the identity approximation for the formation of the Coulomb matrix. J. Comput. Chem. 2003, 24, 1740–1747. [Google Scholar] [CrossRef] [PubMed]
- Ganyushin, D.; Neese, F. First-principles calculations of zero-field splitting parameters. J. Chem. Phys. 2006, 125, 024103. [Google Scholar] [CrossRef] [PubMed]
- Neese, F. Efficient and accurate approximations to the molecular spin-orbit coupling operator and their use in molecular g-tensor calculations. J. Chem. Phys. 2005, 122, 034107. [Google Scholar] [CrossRef]
- Maurice, R.; Bastardis, R.; De Graaf, C.; Suaud, N.; Mallah, T.; Guihery, N. Universal Theoretical Approach to Extract Anisotropic Spin Hamiltonians. J. Chem. Theory Comput. 2009, 5, 2977–2984. [Google Scholar] [CrossRef]
- Mingos, D.M.P.; Day, P.; Dahl, J.P. Molecular Electronic Structures of Transition Metal Complexes II; Springer: Berlin/Heidelberg, Germany, 2012; Volume 143, pp. 149–220. [Google Scholar] [CrossRef]
Publisher’s Note: MDPI stays neutral with regard to jurisdictional claims in published maps and institutional affiliations. |
© 2022 by the authors. Licensee MDPI, Basel, Switzerland. This article is an open access article distributed under the terms and conditions of the Creative Commons Attribution (CC BY) license (https://creativecommons.org/licenses/by/4.0/).







