Diaza-1,3-butadienes as Useful Intermediate in Heterocycles Synthesis
Abstract
1. Introduction
2. Synthesis of Heterocycles from 1,2-Diaza-1,3-dienes
2.1. Five-Member Heterocycles
2.1.1. Synthesis of 2-Pyrroline
2.1.2. Synthesis of 2-Arylamino 5-Hydrazono Thiophene-3-carboxylates
2.1.3. Synthesis of Indole Derivatives
2.1.4. Synthesis of 1,2,3-Triazole Derivatives
2.1.5. Synthesis of Pyrazoles
2.1.6. Synthesis of Pyrazolone Derivatives
2.1.7. Synthesis of Pyrroles
2.1.8. Synthesis of Thieno [2,3-b] Indoles Derivatives
2.2. Six-Member Heterocycles
2.2.1. Synthesis of 2-Pyridone Derivatives
2.2.2. Synthesis of 6-Aminopyridazine Derivatives
2.2.3. Synthesis of Dihydropyridazinone Derivatives
2.2.4. Synthesis of Spiro[pyridazine] Derivatives
2.2.5. Synthesis of Hydropyridazines
2.2.6. Synthesis of 1,2,4-Triazine Derivatives
2.2.7. Synthesis of 1,3,4-Thiadiazines
2.3. Miscellaneous
3. Synthesis of Heterocycles Using 1,3-Diaza-1,3-butadienes
3.1. Five Membered Rings
3.1.1. Synthesis of Imidazolines
3.1.2. Synthesis of Imidazo[1,2-a]heterocycle Derivatives
3.2. Six Membered Rings
3.2.1. Synthesis of Pyrimidine Derivatives
3.2.2. Synthesis of Dihydropyrimidine Derivatives
3.2.3. Synthesis of Pyrimidinone Derivatives
3.2.4. Synthesis of Quinazoline Derivatives
4. Synthesis of Heterocycles Using 2,3-Diaza-1,3-butadienes
4.1. Five Membered Rings
4.1.1. Synthesis of Perhydro [1,2,4] Triazolo [1,2-a] [1,2,4] Triazole-1,5-dithiones
4.1.2. Synthesis of Pyrazoline Derivatives
4.1.3. Synthesis of [1,2,4]Triazolo[1,5-a]pyridine Derivatives
4.1.4. Synthesis of 4,5-Disubstituted-3-amino-1,2,4-triazoles
4.2. Six Membered Rings
4.2.1. Synthesis of (N′-Substituted)-hydrazo-4-aryl-1,4-dihydropyridines
4.2.2. Synthesis of Isoquinoline Derivatives
5. Synthesis of Heterocycles Using 1,4-Diaza-1,3-butadienes
5.1. Four-Membered Rings
Synthesis of β-Lactams
5.2. Five-Membered Rings
5.2.1. Synthesis of N,N-Diarylimidazolium Salts
5.2.2. Synthesis of Imidazolidines Derivatives
5.2.3. Synthesis of 1,3-Thiazolidine Derivatives
5.2.4. Synthesis of 1,3,2-Diazaphospholenes
5.2.5. Synthesis of Dihydropyrrolo[1,2-a]pyrazine Derivatives
5.2.6. Synthesis of N,N-Disubstituted Exo-2-imidazolidinone Dienes
5.2.7. Synthesis of Pyrrolo[3,2-b]pyrrole-1,4-dione (isoDPP) Derivatives
5.3. Six-Membered Rings
5.3.1. Synthesis of 1,4-Diaza-2,3-diborinines
5.3.2. Synthesis of Dihydroquinoxaline Derivatives
6. Conclusions
Author Contributions
Funding
Institutional Review Board Statement
Informed Consent Statement
Data Availability Statement
Conflicts of Interest
Abbrevaitions
| ∆ | Heat |
| ))) | Ultrasound |
| AgOTf | Silver trifluoromethanesulfonate |
| CALB | Candida antarctica lipase B |
| CPA-5 | Chiral phosphoric acid |
| DADB | 1,4-Diaza-2,3-diborinines |
| DADs | Diaza-1,3-butadienes |
| DAPs | 1,3,2-Diazaphospholenes |
| DCM | Dichloromethane |
| DDQ | 2,3-Dichloro-5,6-dicyano-1,4-benzoquinone |
| DFT | Density functional theory |
| DIBAL-H | Diisobutylaluminium hydride |
| DIPEA | N,N-Diisopropylethylamine, or Hünig’s base |
| DMAD | Dimethyl acetylenedicarboxylate |
| DMF-DMA | N,N-dimethylformamide dimethyl acetal |
| DMSO | Dimethyl sulfoxide |
| EOMCl | Ethyl chloromethyl ether |
| EtOAc | Ethyl acetate |
| GBB | Groebke- Blackburn-Bienaymé reaction |
| IEDDA | Inverse-electron-demand Diels–Alder |
| isoDPP | Pyrrolo[3,2-b]pyrrole- 1,4-diones |
| LEFETs | Organic light-emitting field-effect transistors |
| MeCN | Acetonitrile |
| Mes | Mesityl group |
| MOMCl | Chloromethyl methyl ether |
| MsOH | Methanesulfonic acid |
| MTBD | 7-Methyl-1,5,7- triazabicyclo (4.4.0)dec-5-ene |
| MW | Microwave |
| N3 | Iminic nitrogen |
| NHC | N-Heterocyclic carbene |
| OLEDs | Organic light-emitting diodes |
| OPVs | Organic photovoltaics solar cells |
| pbm | Planetary ball-mill |
| POCl3 | Phosphorus oxychloride |
| SN2 | Substitution nucleophilic bimolecular |
| TBAF | Tetra-n-butylammonium fluoride |
| n-TBAHSO | n-Tetrabutylammonium hydrogensulphate |
| TEMPO | (2,2,6,6-Tetramethylpiperidin-1-yl)oxyl |
| TFA | Trifluoroacetic acid |
| TMSX | Trimethylsilyl halide |
| TsOH | p-Toluenesulfonic acid |
| Xyl | Xylyl group |
References
- Belskaya, N.P.; Eliseeva, A.I.; Bakulev, V.A. Hydrazones as substrates for cycloaddition reactions. Russ. Chem. Rev. 2015, 84, 1226–1257. [Google Scholar] [CrossRef]
- Zelenin, K.N.; Bezhan, I.P.; Matveeva, Z.M. Synthesis of nitrogen heterocycles by (4+2)π-cycloaddition from nitrogen-containing heterodienes (“azadiene synthesis”). Chem. Heterocycl. Compd. 1972, 8, 525–534. [Google Scholar] [CrossRef]
- Sharma, P.; Kumar, R.; Bhargava, G. Recent development in the synthesis of pyrrolin-4-ones/pyrrolin-3-ones. J. Heterocycl. Chem. 2020, 57, 4115–4135. [Google Scholar] [CrossRef]
- Kaur, T.; Wadhwa, P.; Bagchi, S.; Sharma, A. Isocyanide based [4+1] cycloaddition reactions: An indispensable tool in multi-component reactions (MCRs). Chem. Commun. 2016, 52, 6958–6976. [Google Scholar] [CrossRef] [PubMed]
- Moskal, J.; Bronowski, J.; Rogowski, A. Conjugated Schiff bases, XIII. sterically congested 1,4-diazabutadienes as dipolar reagents in 1,3-cycloaddition. Mon. Chem. Chem. Mon. 1981, 112, 1405–1416. [Google Scholar] [CrossRef]
- Rossi, E.; Abbiati, G.; Pini, E. [4+2] and [2+2] cycloaddition reactions of 1-(4-methylphenyl) and 1-benzyl-1,3-diaza-1,3-butadienes with ketenes. Tetrahedron 1997, 53, 14107–14114. [Google Scholar] [CrossRef]
- Barluenga, J.; Tomas, M. Synthesis of heterocycles from azadienes. In Advances in Heterocyclic Chemistry; Katritzky, A.R., Ed.; Academic Press: Cambridge, MA, USA, 1993; Volume 57, pp. 1–80. [Google Scholar]
- Sain, B.; Singh, S.P.; Sandhu, J.S. Diazabutadienes in heterocyclic syntheses. Preparation of pyrimidin-6-ones by reaction of 4-dialkylamino-1,3-diaza-1,3-butadienes with 2-oxazolin-5-ones. Tetrahedron 1992, 48, 4567–4578. [Google Scholar] [CrossRef]
- Skrzyńska, A.; Frankowski, S.; Albrecht, Ł. Cyclic 1-azadienes in the organocatalytic inverse-electron-demand aza-Diels-Alder cycloadditions. Asian J. Org. Chem. 2020, 9, 1688–1700. [Google Scholar] [CrossRef]
- Zhang, J.; Shukla, V.; Boger, D.L. Inverse Electron Demand Diels—Alder Reactions of Heterocyclic Azadienes, 1-Aza-1,3-Butadienes, Cyclopropenone Ketals, and Related Systems. A Retrospective. J. Org. Chem. 2019, 84, 9397–9445. [Google Scholar] [CrossRef]
- Boger, D.L. Diels-Alder reactions of azadienes: Scope and applications. Bull. Sociétés Chim. Belges 1990, 99, 599–615. [Google Scholar] [CrossRef]
- Boger, D.L. Diels-Alder reactions of heterocyclic azadienes. Scope and applications. Chem. Rev. 1986, 86, 781–793. [Google Scholar] [CrossRef]
- Lopes, S.M.M.; Cardoso, A.L.; Lemos, A.; Pinho E Melo, T.M.V.D. Recent advances in the chemistry of conjugated nitrosoalkenes and azoalkenes. Chem. Rev. 2018, 118, 11324–11352. [Google Scholar] [CrossRef] [PubMed]
- Guzmán, A.; Romero, M.; Talamás, F.X.; Villena, R.; Greenhouse, R.; Muchowski, J.M. 1,3-Diaza-1,3-butadienes. Synthesis and conversion into pyrimidines by [4π + 2π] cycloaddition with electron deficient acetylenes. Synthetic utility of 2-(trichloromethyl)pyrimidines. J. Org. Chem. 1996, 61, 2470–2483. [Google Scholar] [CrossRef]
- Medina-Mercado, I.; Zaragoza-Galicia, I.; Olivo, H.; Romero-Ortega, M. 2-Trifluoromethyl-1,3-diazabutadienes as useful intermediates for the construction of 2-trifluoromethylpyrimidine derivatives. Synthesis 2018, 50, 4133–4139. [Google Scholar] [CrossRef]
- Upadyaya, S.; Bhagavath, P.; Sunil, D. Azines as liquid crystalline materials: An up-to-date review. J. Mol. Liq. 2018, 269, 354–370. [Google Scholar] [CrossRef]
- Safari, J.; Gandomi-Ravandi, S. Structure, synthesis and application of azines: A historical perspective. RSC Adv. 2014, 4, 46224–46249. [Google Scholar] [CrossRef]
- Chourasiya, S.S.; Kathuria, D.; Wani, A.A.; Bharatam, P.V. Azines: Synthesis, structure, electronic structure and their applications. Org. Biomol. Chem. 2019, 17, 8486–8521. [Google Scholar] [CrossRef]
- Nikolaevskaya, E.N.; Druzhkov, N.O.; Syroeshkin, M.A.; Egorov, M.P. Chemistry of diazadiene type ligands with extra coordination groups. Prospects of reactivity. Coord. Chem. Rev. 2020, 417, 213353. [Google Scholar] [CrossRef]
- Frye, C.W.; Egger, D.T.; Kounalis, E.; Pearce, A.J.; Cheng, Y.; Tonks, I.A. α-Diimine synthesis via titanium-mediated multicomponent diimination of alkynes with C-nitrosos. Chem. Sci. 2022, 13, 1469–1477. [Google Scholar] [CrossRef]
- tom Dieck, H.; Franz, K.-D. Reductive fixation of cis- and trans-1,4-diazabutadienes. Angew. Chem. Int. Ed. 1975, 14, 249–250. [Google Scholar] [CrossRef]
- Bernauer, J.; Pölker, J.; Jacobi von Wangelin, A. Redox-active BIAN-based diimine ligands in metal-catalyzed small molecule syntheses. ChemCatChem 2022, 14, e202101182. [Google Scholar] [CrossRef]
- Wang, Z.; Liu, Q.; Solan, G.A.; Sun, W.-H. Recent advances in Ni-mediated ethylene chain growth: Nimine-donor ligand effects on catalytic activity, thermal stability and oligo-/polymer structure. Coord. Chem. Rev. 2017, 350, 68–83. [Google Scholar] [CrossRef]
- Lorenz, V.; Hrib, C.G.; Grote, D.; Hilfert, L.; Krasnopolski, M.; Edelmann, F.T. Diazadiene complexes of the heavy alkaline-earth metals strontium and barium: Structures and reactivity. Organometallics 2013, 32, 4636–4642. [Google Scholar] [CrossRef]
- Trifonov, A.A.; Mahrova, T.V.; Luconi, L.; Giambastiani, G.; Lyubov, D.M.; Cherkasov, A.V.; Sorace, L.; Louyriac, E.; Maron, L.; Lyssenko, K.A. Steric control in the metal—Ligand electron transfer of iminopyridine–ytterbocene complexes. Dalt. Trans. 2018, 47, 1566–1576. [Google Scholar] [CrossRef] [PubMed]
- Shestakov, B.G.; Makhrova, T.V.; Lyssenko, K.A.; Trifonov, A.A. Diazadienes in lanthanide chemistry: Transformation in the diamide and enamine amide ligand systems. Synthesis, structures, and properties of complexes (2,6-Pri2C6H3N-C(=CH2)C(=CH2)-NC6H3Pri2-2,6)-Yb(THF)2(μ-Cl)2Li(THF)2 and (2,6-Pri2C6H3N(H)C(Me)=C(Me)-N. Russ. Chem. Bull. 2013, 62, 412–418. [Google Scholar] [CrossRef]
- Kaneko, H.; Nagae, H.; Tsurugi, H.; Mashima, K. End-functionalized polymerization of 2-vinylpyridine through initial C–H bond activation of N-heteroaromatics and internal alkynes by yttrium ene—Diamido complexes. J. Am. Chem. Soc. 2011, 133, 19626–19629. [Google Scholar] [CrossRef] [PubMed]
- Mari, G.; Crescentini, L.D.; Favi, G.; Lombardi, P.; Fiorillo, G.; Giorgi, G.; Mantellini, F. Unprecedented heteroring-annulated pyrrolino-tetrahydroberberine analogues. Asian J. Org. Chem. 2017, 6, 720–727. [Google Scholar] [CrossRef]
- Mari, G.; Catalani, S.; Antonini, E.; De Crescentini, L.; Mantellini, F.; Santeusanio, S.; Lombardi, P.; Amicucci, A.; Battistelli, S.; Benedetti, S.; et al. Synthesis and biological evaluation of novel heteroring-annulated pyrrolino-tetrahydroberberine analogues as antioxidant agents. Bioorg. Med. Chem. 2018, 26, 5037–5044. [Google Scholar] [CrossRef] [PubMed]
- Mari, G.; Verboni, M.; De Crescentini, L.; Favi, G.; Santeusanio, S.; Mantellini, F. Assembly of fully substituted 2,5-dihydrothiophenes: Via a novel sequential multicomponent reaction. Org. Chem. Front. 2018, 5, 2108–2114. [Google Scholar] [CrossRef]
- Mari, G.; De Crescentini, L.; Favi, G.; Santeusanio, S.; Mantellini, F. 1,2-Diaza-1,3-diene-based multicomponent reactions in sequential protocols to synthesize arylamino-5-hydrazonothiophene-3-carboxylates. Eur. J. Org. Chem. 2018, 2018, 6548–6556. [Google Scholar] [CrossRef]
- Mari, G.; De Crescentini, L.; Favi, G.; Santeusanio, S.; Mantellini, F. Metal and oxidant free construction of substituted- and/or polycyclic indoles: A useful alternative to Bischler and related syntheses. Eur. J. Org. Chem. 2020, 2020, 5411–5424. [Google Scholar] [CrossRef]
- Tsyrenova, B.; Nenajdenko, V. Synthesis and spectral study of a new family of 2,5-diaryltriazoles having restricted rotation of the 5-aryl substituent. Molecules 2020, 25, 480. [Google Scholar] [CrossRef] [PubMed]
- Tsyrenova, B.D.; Khrustalev, V.N.; Nenajdenko, V.G. Synthesis of blue light emitting heterocycles via cyclization of 2-pyridine derived 4-azido-r1,2,3-triazoles. Org. Biomol. Chem. 2021, 19, 8140–8152. [Google Scholar] [CrossRef]
- Zhang, X.; Pan, Y.; Wang, H.; Liang, C.; Ma, X.; Jiao, W.; Shao, H. Strategy to construct 1,2,3-triazoles by K2CO3-mediated [4+1] annulation reactions of N-acetyl hydrazones with bifunctional amino reagents. Adv. Synth. Catal. 2021, 363, 459–463. [Google Scholar] [CrossRef]
- Wang, H.; Ning, Y.; Sivaguru, P.; Zanoni, G.; Bi, X. [4 + 1] Annulation of in situ generated azoalkenes with amines: A powerful approach to access 1-substituted 1,2,3-triazoles. Chin. Chem. Lett. 2022, 33, 1550–1554. [Google Scholar] [CrossRef]
- Diotallevi, A.; Scalvini, L.; Buffi, G.; Pérez-Pertejo, Y.; De Santi, M.; Verboni, M.; Favi, G.; Magnani, M.; Lodola, A.; Lucarini, S.; et al. Phenotype screening of an azole-bisindole chemical library identifies URB1483 as a new antileishmanial agent devoid of toxicity on human cells. ACS Omega 2021, 6, 35699–35710. [Google Scholar] [CrossRef]
- Matsuzaki, H.; Takeda, N.; Yasui, M.; Ito, Y.; Konishi, K.; Ueda, M. Synthesis of pyrazoles utilizing the ambiphilic reactivity of hydrazones. Org. Lett. 2020, 22, 9249–9252. [Google Scholar] [CrossRef] [PubMed]
- De Crescentini, L.; Favi, G.; Mari, G.; Ciancaleoni, G.; Costamagna, M.; Santeusanio, S.; Mantellini, F. Experimental and theoretical DFT investigations in the [2,3]-Wittig-type rearrangement of propargyl/allyl-oxy-pyrazolones. Molecules 2021, 26, 6557. [Google Scholar] [CrossRef] [PubMed]
- Mari, G.; Corrieri, M.; De Crescentini, L.; Favi, G.; Santeusanio, S.; Mantellini, F. FeCl3-Catalyzed formal [3+2] cyclodimerization of 4-carbonyl-1,2-diaza-1,3-dienes. Eur. J. Org. Chem. 2021, 2021, 5202–5208. [Google Scholar] [CrossRef]
- Mari, G.; De Crescentini, L.; Favi, G.; Santeusanio, S.; Mantellini, F. A facile protocol for the preparation of 2-carboxylated thieno [2,3-b] indoles: A de novo access to alkaloid thienodolin. Org. Biomol. Chem. 2022, 20, 4167–4175. [Google Scholar] [CrossRef] [PubMed]
- Mari, G.; De Crescentini, L.; Favi, G.; Santeusanio, S.; Lillini, S.; Mantellini, F. Unexpected synthesis of 2,3,5,6-tetrahydro-1H-pyrrolo [3,4-c]pyridine-1,3,6-triones by a double Michael addition/CS2 extrusion/double cyclization sequence. Eur. J. Org. Chem. 2017, 2017, 6291–6298. [Google Scholar] [CrossRef]
- Sergeev, P.G.; Khrustalev, V.N.; Nenajdenko, V.G. Construction of 6-aminopyridazine derivatives by the reaction of malononitrile with dichloro-substituted diazadienes. Eur. J. Org. Chem. 2020, 2020, 4964–4971. [Google Scholar] [CrossRef]
- Sergeev, P.G.; Khrustalev, V.N.; Nenajdenko, V.G. Synthesis of pyridazin-3(2H)-one derivatives by the reaction of CH-acids with dichlorodiazadienes. Eur. J. Org. Chem. 2020, 2020, 6085–6093. [Google Scholar] [CrossRef]
- Yuan, W.-C.; Quan, B.-X.; Zhao, J.-Q.; You, Y.; Wang, Z.-H.; Zhou, M.-Q. [4+2] Annulation reaction of in situ generated azoalkenes with azlactones: Access to 4,5-dihydropyridazin-3(2H)-ones. J. Org. Chem. 2020, 85, 11812–11821. [Google Scholar] [CrossRef] [PubMed]
- Zhou, Y.; Zhou, H.; Xu, J. N-Heterocyclic carbene-promoted [4+2] annulation of α-chloro hydrazones with α-chloro aliphatic aldehydes to access enantioenriched dihydropyridazinones. J. Org. Chem. 2022, 87, 3677–3685. [Google Scholar] [CrossRef] [PubMed]
- Ye, R.; Sun, J.; Han, Y.; Yan, C.G. Molecular diversity of TEMPO-mediated cycloaddition of ketohydrazones and 3-phenacylideneoxindoles. New J. Chem. 2021, 45, 5075–5080. [Google Scholar] [CrossRef]
- Ye, R.; Yan, C.G. Construction of spiro[indoline-3,3′-pyridazines] and spiro[indene-2,3′-pyridazines] via TEMPO-mediated oxidative aza-Diels-Alder reactions. Eur. J. Org. Chem. 2019, 2019, 5882–5886. [Google Scholar] [CrossRef]
- Shi, W.; Sun, J.; Yan, C.-G. Aza-Diels-Alder reaction of both electron-deficient azoalkenes with electron-deficient 3-phencaylideneoxindoles and 3-aryliminooxindol-2-ones. Green Synth. Catal. 2021, 2, 362–366. [Google Scholar] [CrossRef]
- Yin, W.; Fang, L.; Wang, Z.; Gao, F.; Li, Z.; Wang, Z. Synthesis of bicyclo [4.1.0]tetrahydropyridazines by a sequential [4+2] and [1+2] annulation reaction of azoalkenes and crotonate-derived sulfur ylides. Org. Lett. 2019, 21, 7361–7364. [Google Scholar] [CrossRef]
- Feng, J.; He, T.; Xie, Y.; Yu, Y.; Baell, J.B.; Huang, F. I2-Promoted [4+2] cycloaddition of in situ generated azoalkenes with enaminones: Facile and efficient synthesis of 1,4-dihydropyridazines and pyridazines. Org. Biomol. Chem. 2020, 18, 9483–9493. [Google Scholar] [CrossRef]
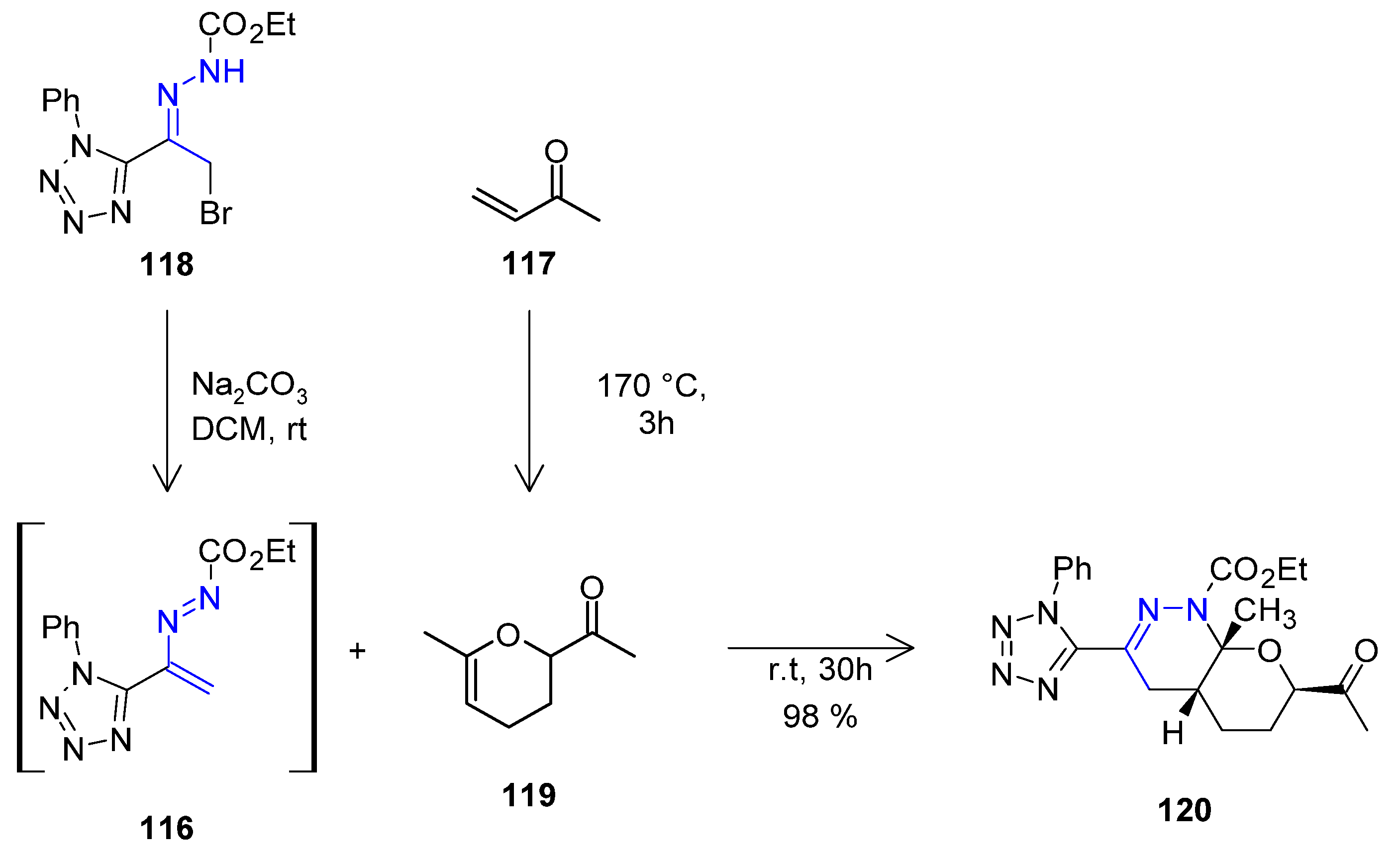
- Lopes, S.M.M.; Lemos, A.; Paixão, J.A.; Pinho e Melo, T.M.V.D. Ethyl 7-acetyl-8a-methyl-3-(1-phenyl-1H-tetrazol-5-yl)-1,4,4a,5,6,8a-hexahydro-7H-pyrano [2,3-c]pyridazine-1-carboxylate. Molbank 2022, 2022, M1338. [Google Scholar] [CrossRef]
- Shen, L.-W.; Li, T.-T.; You, Y.; Zhao, J.-Q.; Wang, Z.-H.; Yuan, W.-C. Inverse electron-demand aza-Diels–Alder reaction of cyclic enamides with 1,2-diaza-1,3-dienes in situ generated from α-halogeno hydrazones: Access to fused polycyclic tetrahydropyridazine derivatives. J. Org. Chem. 2021, 86, 11472–11481. [Google Scholar] [CrossRef] [PubMed]
- Chen, T.; Che, C.; Guo, Z.; Dong, X.-Q.; Wang, C.-J. Diastereoselective synthesis of functionalized tetrahydropyridazines containing indole scaffolds via an inverse-electron-demand aza-Diels—Alder reaction. Org. Chem. Front. 2021, 8, 4392–4398. [Google Scholar] [CrossRef]
- Wang, C.; Fang, L.; Wang, Z. Base-induced inverse-electron-demand aza-Diels-Alder reaction of azoalkenes and 1,3,5-triazinanes: Facile approaches to tetrahydro-1,2,4-triazines. Tetrahedron Lett. 2021, 79, 153303. [Google Scholar] [CrossRef]
- Shen, L.-W.; Zhang, Y.-P.; You, Y.; Zhao, J.-Q.; Wang, Z.-H.; Yuan, W.-C. Inverse electron-demand aza-Diels–Alder reaction of α,β-unsaturated thioesters with in situ-generated 1,2-diaza-1,3-dienes for the synthesis of 1,3,4-thiadiazines. J. Org. Chem. 2022, 87, 4232–4240. [Google Scholar] [CrossRef] [PubMed]
- Ciccolini, C.; Mari, G.; Gatti, F.G.; Gatti, G.; Giorgi, G.; Mantellini, F.; Favi, G. Synthesis of polycyclic fused indoline scaffolds through a substrate-guided reactivity switch. J. Org. Chem. 2020, 85, 11409–11425. [Google Scholar] [CrossRef] [PubMed]
- Mehedi, M.S.A.; Tepe, J.J. Recent advances in the synthesis of imidazolines (2009–2020). Adv. Synth. Catal. 2020, 362, 4189–4225. [Google Scholar] [CrossRef]
- Mehedi, M.S.A.; Tepe, J.J. Diastereoselective one-pot synthesis of oxazolines using sulfur ylides and acyl imines. J. Org. Chem. 2019, 84, 7219–7226. [Google Scholar] [CrossRef]
- Shukla, N.M.; Salunke, D.B.; Yoo, E.; Mutz, C.A.; Balakrishna, R.; David, S.A. Antibacterial activities of Groebke–Blackburn–Bienaymé-derived imidazo [1,2-a]pyridin-3-amines. Bioorg. Med. Chem. 2012, 20, 5850–5863. [Google Scholar] [CrossRef]
- Panda, J.; Raiguru, B.P.; Mishra, M.; Mohapatra, S.; Nayak, S. Recent advances in the synthesis of imidazo [1,2-a]pyridines: A brief review. ChemistrySelect 2022, 7, e202103987. [Google Scholar] [CrossRef]
- Boltjes, A.; Dömling, A. The Groebke-Blackburn-Bienaymé reaction. Eur. J. Org. Chem. 2019, 2019, 7007–7049. [Google Scholar] [CrossRef] [PubMed]
- Shukla, P.; Deswal, D.; Pandit, M.; Latha, N.; Mahajan, D.; Srivastava, T.; Narula, A.K. Exploration of novel TOSMIC tethered imidazo [1,2-a]pyridine compounds for the development of potential antifungal drug candidate. Drug Dev. Res. 2022, 83, 525–543. [Google Scholar] [CrossRef] [PubMed]
- Srinivasulu, V.; Al-Marzooq, F.; Hamad, M.; Khanfar, M.A.; Ramanathan, M.; Soares, N.C.; Al-Tel, T.H. Sequencing Groebke–Blackburn–Bienaymé and aza-Michael addition reactions: A modular strategy for accessing a diverse collection of constrained benzoxazepine and imidazopyrazine systems. Synthesis 2021, 53, 1911–1922. [Google Scholar] [CrossRef]
- Budhiraja, M.; Kondabala, R.; Ali, A.; Tyagi, V. First biocatalytic Groebke-Blackburn-Bienaymé reaction to synthesize imidazo [1,2-a]pyridine derivatives using lipase enzyme. Tetrahedron 2020, 76, 131643. [Google Scholar] [CrossRef]
- Gómez, M.A.R.; Kurva, M.; Gámez-Montaño, R. Synthesis of triphenylamine-imidazo [1,2-a]pyridine via Groebke–Blackburn–Bienaymé reaction. Chem. Proc. 2020, 3, 61. [Google Scholar] [CrossRef]
- Kurva, M.; Pharande, S.G.; Quezada-Soto, A.; Gámez-Montaño, R. Ultrasound assisted green synthesis of bound type bis-heterocyclic carbazolyl imidazo [1,2-a]pyridines via Groebke-Blackburn-Bienayme reaction. Tetrahedron Lett. 2018, 59, 1596–1599. [Google Scholar] [CrossRef]
- Changunda, C.R.K.; Venkatesh, B.C.; Mokone, W.K.; Rousseau, A.L.; Brady, D.; Fernandes, M.A.; Bode, M.L. Efficient one-pot synthesis of functionalised imidazo [1,2-a]pyridines and unexpected synthesis of novel tetracyclic derivatives by nucleophilic aromatic substitution. RSC Adv. 2020, 10, 8104–8114. [Google Scholar] [CrossRef]
- Hussain, M.; Liu, J.; Fu, L.; Hasan, M. Synthesis of imidazo [1,2-a]pyridines via the silver acetate-catalyzed Groebke-Blackburn-Bienayme reaction with ethylene glycol as a biodegradable and sustainable solvent. J. Heterocycl. Chem. 2020, 57, 955–964. [Google Scholar] [CrossRef]
- Mathavan, S.B.R.D.; Yamajala, R. Sustainable synthetic approaches for 3-aminoimidazo-fused heterocycles via Groebke-Blackburn-Bienaymé process. ChemistrySelect 2020, 5, 10637–10642. [Google Scholar] [CrossRef]
- Konstantinidou, M.; Boiarska, Z.; Butera, R.; Neochoritis, C.G.; Kurpiewska, K.; Kalinowska-Tłuscik, J.; Dömling, A. Diaminoimidazopyrimidines: Access via the Groebke–Blackburn–Bienaymé reaction and structural data mining. Eur. J. Org. Chem. 2020, 2020, 5601–5605. [Google Scholar] [CrossRef]
- Srinivasulu, V.; Khanfar, M.; Omar, H.A.; ElAwady, R.; Sieburth, S.M.; Sebastian, A.; Zaher, D.M.; Al-Marzooq, F.; Hersi, F.; Al-Tel, T.H. Sequencing [4+1]-cycloaddition and aza-Michael addition reactions: A diastereoselective cascade for the rapid access of pyrido [2′,1′:2,3]/thiazolo [2′,3′:2,3]imidazo [1,5-a]quinolone scaffolds as potential antibacterial and anticancer motifs. J. Org. Chem. 2019, 84, 14476–14486. [Google Scholar] [CrossRef] [PubMed]
- Devi, N.; Singh, D.; Honey, H.; Mor, S.; Chaudhary, S.; Rawal, R.K.; Kumar, V.; Chowdhury, A.K.; Singh, V. In(OTf)3 catalysed an expeditious synthesis of β-carboline–imidazo [1,2-a]pyridine and imidazo [1,2-a]pyrazine conjugates. RSC Adv. 2016, 6, 43881–43891. [Google Scholar] [CrossRef]
- Kishore, K.G.; Basavanag, U.M.V.; Islas-Jácome, A.; Gámez-Montaño, R. Synthesis of imidazo [1,2-a]pyridin-chromones by a MW assisted Groebke-Blackburn-Bienaymé process. Tetrahedron Lett. 2015, 56, 155–158. [Google Scholar] [CrossRef]
- Li, Y.; Huang, J.H.; Wang, J.L.; Song, G.T.; Tang, D.Y.; Yao, F.; Lin, H.K.; Yan, W.; Li, H.Y.; Xu, Z.G.; et al. Diversity-oriented synthesis of imidazo-dipyridines with anticancer activity via the Groebke-Blackburn-Bienaymé and TBAB-mediated cascade reaction in one pot. J. Org. Chem. 2019, 84, 12632–12638. [Google Scholar] [CrossRef] [PubMed]
- Tber, Z.; Hiebel, M.-A.; El Hakmaoui, A.; Akssira, M.; Guillaumet, G.; Berteina-Raboin, S. Metal free formation of various 3-iodo-1H-pyrrolo [3′,2′:4,5]imidazo-[1,2-a]pyridines and [1,2-b]pyridazines and their further functionalization. J. Org. Chem. 2015, 80, 6564–6573. [Google Scholar] [CrossRef]
- Sarchahi, M.; Esmaeili, A.A. Synthesis of novel trifluoro methylated imidazothiadiazole derivatives via one-pot isocyanide-based three-component reaction under catalyst and solvent-free conditions. Phosphorus Sulfur Silicon Relat. Elem. 2021, 196, 1071–1077. [Google Scholar] [CrossRef]
- Claudio-Catalán, M.Á.; Pharande, S.G.; Quezada-Soto, A.; Kishore, K.G.; Rentería-Gómez, A.; Padilla-Vaca, F.; Gámez-Montaño, R. Solvent- and catalyst-free one-pot green bound-type fused bis-heterocycles synthesis via Groebke–Blackburn–Bienaymé reaction/SNAr/ring-chain azido-tautomerization strategy. ACS Omega 2018, 3, 5177–5186. [Google Scholar] [CrossRef] [PubMed]
- Kaur, M.; Singh, R.; Patil, M.T.; Kumar, K.; Sahoo, S.C.; Singh, K.N.; Chaudhari, V.D.; Salunke, D.B. Microwave-assisted Groebke-Blackburn-Bienaymé multicomponent reaction to synthesize imidazo fused heterocycles via in-situ generated isocyanides from N-formylamines: An undergraduate organic laboratory experiment. J. Heterocycl. Chem. 2022, 59, 319–328. [Google Scholar] [CrossRef]
- Stahlberger, M.; Schwarz, N.; Zippel, C.; Hohmann, J.; Nieger, M.; Hassan, Z.; Bräse, S. Diversity-oriented synthesis of [2.2]paracyclophane-derived fused imidazo [1,2-a]heterocycles by Groebke-Blackburn-Bienaymé reaction: Accessing cyclophanyl imidazole ligands library. Chem. A Eur. J. 2022, 28, e202103511. [Google Scholar] [CrossRef]
- de la Sovera, V.; López, G.V.; Porcal, W. Synthetic Study of 5-Hydroxymethylfurfural in Groebke-Blackburn-Bienaymé Reaction. Eur. J. Org. Chem. 2022, 2022, e202101369. [Google Scholar] [CrossRef]
- Guchhait, S.K.; Saini, M.; Khivsara, V.J.; Giri, S.K. Annulation of conjugated azine-imine with a sulfoxonium ylide in a noncarbenoid route to synthesize multisubstituted imidazole-fused heterocycles. J. Org. Chem. 2021, 86, 5380–5387. [Google Scholar] [CrossRef] [PubMed]
- Carmona-Martínez, V.; Ruiz-Alcaraz, A.J.; Vera, M.; Guirado, A.; Martínez-Esparza, M.; García-Peñarrubia, P. Therapeutic potential of pteridine derivatives: A comprehensive review. Med. Res. Rev. 2019, 39, 461–516. [Google Scholar] [CrossRef] [PubMed]
- Mohamed, S.F.; Abbas, E.M.H.; Khalaf, H.S.; Farghaly, T.A.; Abd El-Shafy, D.N. Triazolopyrimidines and thiazolopyrimidines: Synthesis, anti-HSV-1, cytotoxicity and mechanism of action. Mini-Rev. Med. Chem. 2018, 18, 794–802. [Google Scholar] [CrossRef] [PubMed]
- Trujillo-Lagunas, M.; Medina-Mercado, I.; Zaragoza-Galicia, I.; Olivo, H.; Romero-Ortega, M. A synthesis of 4-chloro-2-(trichloromethyl)pyrimidines and their study in nucleophilic substitution. Synthesis 2019, 51, 530–537. [Google Scholar] [CrossRef]
- Seballos-Resendiz, A.; Lechuga-Eduardo, H.; Barroso-Flores, J.; Martinez-Otero, D.; Romero-Ortega, M. Synthesis and crystal structures of sTable 4-aryl-2-(trichloromethyl)-1,3-diaza-1,3-butadienes. Synthesis 2016, 48, 2205–2212. [Google Scholar] [CrossRef]
- Miao, Y.-H.; Hua, Y.-Z.; Gao, H.-J.; Mo, N.-N.; Wang, M.-C.; Mei, G.-J. Catalytic asymmetric inverse-electron-demand aza-Diels–Alder reaction of 1,3-diazadienes with 3-vinylindoles. Chem. Commun. 2022, 58, 7515–7518. [Google Scholar] [CrossRef] [PubMed]
- Nishimura, Y.; Kubo, T.; Okamoto, Y.; Cho, H. Convergent synthesis of 4,6-unsubstituted 5-acyl-2-phenyldihydropyrimidines by substitution reactions of Weinreb amide group of tetrahydropyrimidines. Tetrahedron Lett. 2016, 57, 4492–4495. [Google Scholar] [CrossRef]
- Nishimura, Y.; Cho, H. Synthesis of 4-unsubstituted dihydropyrimidines having acyl and alkoxycarbonyl groups at 5- and 6-positions by cyclization–elimination reactions using 1,3-diaza-1,3-butadienes. Tetrahedron Lett. 2014, 55, 411–414. [Google Scholar] [CrossRef]
- Gummidi, L.; Kerru, N.; Adeniyi, A.A.; Dhawan, S.; Singh, P. Comparative experimental and DFT analysis of novel indole tagged [1,3,4]thiadiazolo [3,2-a]pyrimidin-5-one hybrid. J. Mol. Struct. 2022, 1263, 133159. [Google Scholar] [CrossRef]
- Gummidi, L.; Kerru, N.; Awolade, P.; Raza, A.; Sharma, A.K.; Singh, P. Synthesis of indole-tethered [1,3,4]thiadiazolo and [1,3,4]oxadiazolo [3,2-a]pyrimidin-5-one hybrids as anti-pancreatic cancer agents. Bioorg. Med. Chem. Lett. 2020, 30, 127544. [Google Scholar] [CrossRef]
- Sharma, R.; Mohan, C. A facile and chemoselective synthesis of novel pyrimido [5,4-b][1,4]thiazines by exo-dig iodocyclization reactions. J. Heterocycl. Chem. 2017, 54, 1833–1839. [Google Scholar] [CrossRef]
- Gupta, R.; Sharma, D.; Verma, P.S.; Jain, A. Insecticidal evaluation and [4+2] aza-Diels-Alder synthesis of 3,7-diaryl-6,7-dihydro-5H-6-substituted thiazolo [3,2-a]pyrimidin-5-ones under coupled ultrasonic irradiation and PTC. J. Heterocycl. Chem. 2016, 53, 38–45. [Google Scholar] [CrossRef]
- Hameed, A.; Al-Rashida, M.; Uroos, M.; Ali, S.A.; Arshia; Ishtiaq, M.; Khan, K.M. Quinazoline and quinazolinone as important medicinal scaffolds: A comparative patent review (2011–2016). Expert Opin. Ther. Pat. 2018, 28, 281–297. [Google Scholar] [CrossRef] [PubMed]
- Lechuga-Eduardo, H.; Olivo, H.F.; Romero-Ortega, M. Syntheses of 4-substituted 2-(trichloromethyl)quinazolines under mild conditions by benzyne [4+2] cycloaddition. Eur. J. Org. Chem. 2014, 2014, 5910–5913. [Google Scholar] [CrossRef]
- Safari, J.; Gandomi-Ravandi, S.; Ghotbinejad, M. Ultrasound-promoted synthesis of novel fused heterocycles by criss-cross cycloaddition. J. Saudi Chem. Soc. 2016, 20, 20–23. [Google Scholar] [CrossRef]
- Safari, J.; Javadian, L. An efficient synthesis of perhydro [1,2,4]triazolo [1,2-a][1,2,4]triazole-1,5-dithiones catalyzed by TiO2 -functionalized nano-Fe3O4 encapsulated-silica particles as a reusable magnetic nanocatalyst. RSC Adv. 2015, 5, 104973–104980. [Google Scholar] [CrossRef]
- Xia, Y.; Zhang, X.; Liu, L.; Sun, H.; Zhao, G.; Zhang, Y. Highly efficient conversion of ketazines to pyrazoline derivatives catalyzed by FeCl3. Ind. Eng. Chem. Res. 2020, 59, 18748–18755. [Google Scholar] [CrossRef]
- Lv, J.; He, Z.; Zhang, J.; Guo, Y.; Han, Z.; Bao, X. One-pot synthesis of [1,2,4]Triazolo [1,5-a]pyridines from azines and benzylidenemalononitriles via copper-catalyzed tandem cyclization. Tetrahedron 2018, 74, 3996–4004. [Google Scholar] [CrossRef]
- Kathuria, D.; Gupta, P.; Chourasiya, S.S.; Sahoo, S.C.; Beifuss, U.; Chakraborti, A.K.; Bharatam, P.V. An unprecedented intramolecular to intermolecular mechanistic switch in 1,1-diaminoazines leading to differential product formation during the I 2 -induced tandem oxidative transformation. Org. Biomol. Chem. 2019, 17, 4129–4138. [Google Scholar] [CrossRef]
- Kallitsakis, M.; Loukopoulos, E.; Abdul-Sada, A.; Tizzard, G.J.; Coles, S.J.; Kostakis, G.E.; Lykakis, I.N. A copper-benzotriazole-based coordination polymer catalyzes the efficient one-pot synthesis of (N′-substituted)-hydrazo-4-aryl-1,4-dihydropyridines from azines. Adv. Synth. Catal. 2017, 359, 138–145. [Google Scholar] [CrossRef]
- Deshmukh, D.S.; Gangwar, N.; Bhanage, B.M. Rapid and atom economic synthesis of isoquinolines and isoquinolinones by C-H/N-N activation using a homogeneous recyclable ruthenium catalyst in PEG media. Eur. J. Org. Chem. 2019, 2019, 2919–2927. [Google Scholar] [CrossRef]
- Deshmukh, D.S.; Yadav, P.A.; Bhanage, B.M. Cp*Co(III)-catalyzed annulation of azines by C–H/N–N bond activation for the synthesis of isoquinolines. Org. Biomol. Chem. 2019, 17, 3489–3496. [Google Scholar] [CrossRef] [PubMed]
- Bains, D.; Kumar, Y.; Singh, P.; Bhargava, G. [2+2] Cycloaddition reactions of butadienyl ketene with 1,4-diazabuta-1,3-dienes: Synthesis of functionalized butadienyl-4-iminomethyl-azetidin-2-ones and butenylidene-butadienyl-[2,2′-biazetidine]-4,4′-diones. J. Heterocycl. Chem. 2016, 53, 1665–1669. [Google Scholar] [CrossRef]
- Nakahara, K.; Yamaguchi, K.; Kansui, H. Stepwise reactions between cyclic 1,4-diazadienes and ketenes: Characteristics and mechanism. Heterocycles 2021, 102, 534. [Google Scholar] [CrossRef]
- Arduengo, A.J.; Harlow, R.L.; Kline, M. A stable crystalline carbene. J. Am. Chem. Soc. 1991, 113, 361–363. [Google Scholar] [CrossRef]
- Neshat, A.; Mastrorilli, P.; Mousavizadeh Mobarakeh, A. Recent advances in catalysis involving bidentate N-heterocyclic carbene ligands. Molecules 2022, 27, 95. [Google Scholar] [CrossRef] [PubMed]
- Baczewska, P.; Śniady, K.; Kośnik, W.; Michalak, M. Acenaphthene-based N-heterocyclic carbene metal complexes: Synthesis and application in catalysis. Catalysts 2021, 11, 972. [Google Scholar] [CrossRef]
- Beillard, A.; Bantreil, X.; Métro, T.X.; Martinez, J.; Lamaty, F. A more sustainable and efficient access to IMes·HCl and IPr·HCl by ball-milling. Green Chem. 2018, 20, 964–968. [Google Scholar] [CrossRef]
- Li, H.; Ai, B.-R.; Hong, M. Stereoselective ring-opening polymerization of rac-lactide by bulky chiral and achiral N-heterocyclic carbenes. Chin. J. Polym. Sci. 2018, 36, 231–236. [Google Scholar] [CrossRef]
- Tarrieu, R.; Dumas, A.; Thongpaen, J.; Vives, T.; Roisnel, T.; Dorcet, V.; Crévisy, C.; Baslé, O.; Mauduit, M. Readily accessible unsymmetrical unsaturated 2,6-diisopropylphenyl N-heterocyclic carbene ligands. Applications in enantioselective catalysis. J. Org. Chem. 2017, 82, 1880–1887. [Google Scholar] [CrossRef]
- Wang, J.; Cheng, X.; Liu, Y.; Zhang, J. Multicomponent synthesis of unsymmetrical 4,5-disubstituted imidazolium salts as N-heterocyclic carbene precursors: Applications in palladium-catalyzed cross-coupling reactions. J. Org. Chem. 2021, 86, 6278–6288. [Google Scholar] [CrossRef] [PubMed]
- Li, D.H.; He, X.X.; Xu, C.; Huang, F.D.; Liu, N.; Shen, D.S.; Liu, F.S. N-Heterocarbene palladium complexes with dianisole backbones: Synthesis, structure, and catalysis. Organometallics 2019, 38, 2539–2552. [Google Scholar] [CrossRef]
- Biancalana, L.; Bresciani, G.; Marchetti, F.; Pampaloni, G. Serendipitous formation of a zwitterionic imidazolium molecule from α-diimine with glyoxal as unusual cyclization agent. ChemistrySelect 2021, 6, 10051–10053. [Google Scholar] [CrossRef]
- Pasyukov, D.V.; Shevchenko, M.A.; Shepelenko, K.E.; Khazipov, O.V.; Burykina, J.V.; Gordeev, E.G.; Minyaev, M.E.; Chernyshev, V.M.; Ananikov, V.P. One-step access to heteroatom-functionalized imidazol(in)ium salts. Angew. Chem. 2022, 134, e202116131. [Google Scholar] [CrossRef]
- Fan, Q.W.; Zhong, Q.D.; Yan, H. Synthesis, antitumor activity, and docking study of 1,3-disubstituted imidazolium derivatives. Russ. J. Gen. Chem. 2017, 87, 3023–3028. [Google Scholar] [CrossRef]
- Yavari, I.; Zahedi, N.; Halvagar, M.R. A tandem synthesis of 4,5-bis(arylimino)-2-(alkylimino)imidazolidines. Mon. Chem. Chem. Mon. 2017, 148, 1439–1444. [Google Scholar] [CrossRef]
- Yavari, I.; Zahedi, N.; Baoosi, L. A one-pot synthesis of functionalized 4,5-bis(phenylimino)-1,3-thiazolidine-2-thiones from primary amines, CS2 and N,N′-diphenyloxalimidoyl dichloride. J. Iran. Chem. Soc. 2016, 13, 1847–1851. [Google Scholar] [CrossRef]
- Yavari, I.; Zahedi, N.; Skoulika, S. Tandem synthesis of thiazolidine derivatives from primary amines, isothiocyanates, and bis(imidoyl) chlorides. J. Iran. Chem. Soc. 2017, 14, 1869–1874. [Google Scholar] [CrossRef]
- Yavari, I.; Zahedi, N.; Baoosi, L.; Skoulika, S. A one-pot synthesis of bis(phenylimino)thiazolidines from ketene N,S-acetals and N,N′-diphenyloxalimidoyl dichloride. Mol. Divers. 2018, 22, 11–19. [Google Scholar] [CrossRef]
- Reed, J.H.; Klett, J.; Steven, C.; Cramer, N. Stay positive: Catalysis with 1,3,2-diazaphospholenes. Org. Chem. Front. 2020, 7, 3521–3529. [Google Scholar] [CrossRef]
- Gudat, D. A very peculiar family of N-heterocyclic phosphines: Unusual structures and the unique reactivity of 1,3,2-diazaphospholenes. Dalt. Trans. 2016, 45, 5896–5907. [Google Scholar] [CrossRef]
- Lundrigan, T.; Welsh, E.N.; Hynes, T.; Tien, C.H.; Adams, M.R.; Roy, K.R.; Robertson, K.N.; Speed, A.W.H. Enantioselective imine reduction catalyzed by phosphenium ions. J. Am. Chem. Soc. 2019, 141, 14083–14088. [Google Scholar] [CrossRef] [PubMed]
- Miaskiewicz, S.; Reed, J.H.; Donets, P.A.; Oliveira, C.C.; Cramer, N. Chiral 1,3,2-diazaphospholenes as catalytic molecular hydrides for enantioselective conjugate reductions. Angew. Chem. Int. Ed. 2018, 57, 4039–4042. [Google Scholar] [CrossRef] [PubMed]
- Lundrigan, T.; Tien, C.-H.; Robertson, K.N.; Speed, A.W.H. Air and water stable secondary phosphine oxides as diazaphospholene precatalysts. Chem. Commun. 2020, 56, 8027. [Google Scholar] [CrossRef]
- Burck, S.; Gudat, D.; Nieger, M.; Du Mont, W.W. P-hydrogen-substituted 1,3,2-diazaphospholenes: Molecular hydrides. J. Am. Chem. Soc. 2006, 128, 3946–3955. [Google Scholar] [CrossRef]
- Veinot, A.J.; Blair, A.D.; Masuda, J.D. Crystal structure of 2-azido-1,3-bis(2,6-diisopropylphenyl)-1,3,2-diazaphospholidine. Acta Crystallogr. Sect. E Crystallogr. Commun. 2017, 73, 905–907. [Google Scholar] [CrossRef] [PubMed]
- Zhang, J.; Yang, J.-D.; Cheng, J.-P. Chemoselective catalytic hydrodefluorination of trifluoromethylalkenes towards mono-/gem-di-fluoroalkenes under metal-free conditions. Nat. Commun. 2021, 12, 2835. [Google Scholar] [CrossRef]
- Nakahara, K.; Yamaguchi, K.; Kansui, H. Reactivity of the enamine tautomer of a cyclic 1,4-diazadiene with a diketone. Heterocycles 2020, 100, 1463. [Google Scholar] [CrossRef]
- Espinoza-Hicks, C.; Montoya, P.; Bautista, R.; Jiménez-Vázquez, H.A.; Rodríguez-Valdez, L.M.; Camacho-Dávila, A.A.; Cossío, F.P.; Delgado, F.; Tamariz, J. Synthesis of exo-imidazolidin-2-one dienes, their isomerization, and selectivity in Diels—Alder cycloadditions. J. Org. Chem. 2018, 83, 5347–5364. [Google Scholar] [CrossRef] [PubMed]
- Zou, X.; Cui, S.; Li, J.; Wei, X.; Zheng, M. Diketopyrrolopyrrole based organic semiconductor materials for field-effect transistors. Front. Chem. 2021, 9, 671294. [Google Scholar] [CrossRef]
- Deng, Z.; Ai, T.; Li, R.; Yuan, W.; Zhang, K.; Du, H.; Zhang, H. Conjugated Polymers Containing Building Blocks 1,3,4,6-Tetraarylpyrrolo [3,2-b]pyrrole-2,5-dione (isoDPP), Benzodipyrrolidone (BDP) or Naphthodipyrrolidone (NDP): A Review. Polymers 2019, 11, 1683. [Google Scholar] [CrossRef]
- Gendron, D.; Gann, E.; Pattison, K.; Maasoumi, F.; McNeill, C.R.; Watkins, S.E.; Burn, P.L.; Powell, B.J.; Shaw, P.E. Synthesis and properties of pyrrolo [3,2-b]pyrrole-1,4-diones (isoDPP) derivatives. J. Mater. Chem. C 2014, 2, 4276–4288. [Google Scholar] [CrossRef]
- Do, T.T.; Stephen, M.; Chan, K.L.; Manzhos, S.; Burn, P.L.; Sonar, P. Pyrrolo [3,2-b]pyrrole-1,4-dione (isoDPP) end capped with napthalimide or phthalimide: Novel small molecular acceptors for organic solar cells. Molecules 2020, 25, 4700. [Google Scholar] [CrossRef] [PubMed]
- Kirkus, M.; Knippenberg, S.; Beljonne, D.; Cornil, J.; Janssen, R.A.J.; Meskers, S.C.J. Synthesis and optical properties of pyrrolo [3,2-b]pyrrole-2,5(1H,4H)-dione (iDPP)-based molecules. J. Phys. Chem. A 2013, 117, 2782–2789. [Google Scholar] [CrossRef]
- Lu, S.; Drees, M.; Yao, Y.; Boudinet, D.; Yan, H.; Pan, H.; Wang, J.; Li, Y.; Usta, H.; Facchetti, A. 3,6-Dithiophen-2-yl-diketopyrrolo [3,2-b]pyrrole (isoDPPT) as an acceptor building block for organic opto-electronics. Macromolecules 2013, 46, 3895–3906. [Google Scholar] [CrossRef]
- Drozdov, F.V.; Surin, N.M.; Peregudova, S.M.; Trukhanov, V.A.; Dmitryakov, P.V.; Chvalun, S.N.; Parashchuk, D.Y.; Ponomarenko, S.A. Synthesis and properties of alternating copolymers based on 4H-cyclopenta [2,1-b:3,4-b′]dithiophene and 4H-dithieno [3,2-b:2′,3′-d]silol. Polym. Sci. Ser. B 2019, 61, 56–76. [Google Scholar] [CrossRef]
- Söyleyici, H.C.; Uyanık, S.; Sevinçek, R.; Fırıncı, E.; Bursalı, B.; Burgaz, O.; Aygün, M.; Şahin, Y. Synthesis and structures of monocyclic 1,4-diaza-2,3-diborine species. Inorg. Chem. Commun. 2015, 61, 214–216. [Google Scholar] [CrossRef]
- Arrowsmith, M.; Braunschweig, H.; Radacki, K.; Thiess, T.; Turkin, A. Facile access to unprecedented electron-precise monohydrodiboranes(4), cis-1,2-dihydrodiboranes(4), and a 1,1-dihydrodiborane(5). Chem. A Eur. J. 2017, 23, 2179–2184. [Google Scholar] [CrossRef] [PubMed]
- Thiess, T.; Ernst, M.; Kupfer, T.; Braunschweig, H. Facile access to substituted 1,4-diaza-2,3-diborinines. Chem. A Eur. J. 2020, 26, 2967–2972. [Google Scholar] [CrossRef]
- Thiess, T.; Bélanger-Chabot, G.; Fantuzzi, F.; Michel, M.; Ernst, M.; Engels, B.; Braunschweig, H. Diborane(4) azides: Surprisingly stable sources of transient iminoboranes. Angew. Chem. Int. Ed. 2020, 59, 15480–15486. [Google Scholar] [CrossRef] [PubMed]
- Huang, R.; Chen, X.; Mou, C.; Luo, G.; Li, Y.; Li, X.; Xue, W.; Jin, Z.; Chi, Y.R. Carbene-catalyzed α-carbon amination of chloroaldehydes for enantioselective access to dihydroquinoxaline derivatives. Org. Lett. 2019, 21, 4340–4344. [Google Scholar] [CrossRef]
- Abraham, C.J.; Paull, D.H.; Scerba, M.T.; Grebinski, J.W.; Lectka, T. Catalytic, enantioselective bifunctional inverse electron demand Hetero-Diels-Alder reactions of ketene enolates and o-benzoquinone diimides. J. Am. Chem. Soc. 2006, 128, 13370–13371. [Google Scholar] [CrossRef] [PubMed]









































































Publisher’s Note: MDPI stays neutral with regard to jurisdictional claims in published maps and institutional affiliations. |
© 2022 by the authors. Licensee MDPI, Basel, Switzerland. This article is an open access article distributed under the terms and conditions of the Creative Commons Attribution (CC BY) license (https://creativecommons.org/licenses/by/4.0/).
Share and Cite
Heredia-Moya, J.; Zurita, D.A.; Cadena-Cruz, J.E.; Alcívar-León, C.D. Diaza-1,3-butadienes as Useful Intermediate in Heterocycles Synthesis. Molecules 2022, 27, 6708. https://doi.org/10.3390/molecules27196708
Heredia-Moya J, Zurita DA, Cadena-Cruz JE, Alcívar-León CD. Diaza-1,3-butadienes as Useful Intermediate in Heterocycles Synthesis. Molecules. 2022; 27(19):6708. https://doi.org/10.3390/molecules27196708
Chicago/Turabian StyleHeredia-Moya, Jorge, Daniel A. Zurita, José Eduardo Cadena-Cruz, and Christian D. Alcívar-León. 2022. "Diaza-1,3-butadienes as Useful Intermediate in Heterocycles Synthesis" Molecules 27, no. 19: 6708. https://doi.org/10.3390/molecules27196708
APA StyleHeredia-Moya, J., Zurita, D. A., Cadena-Cruz, J. E., & Alcívar-León, C. D. (2022). Diaza-1,3-butadienes as Useful Intermediate in Heterocycles Synthesis. Molecules, 27(19), 6708. https://doi.org/10.3390/molecules27196708

