The Selective CO2 Adsorption and Photothermal Conversion Study of an Azo-Based Cobalt-MOF Material
Abstract
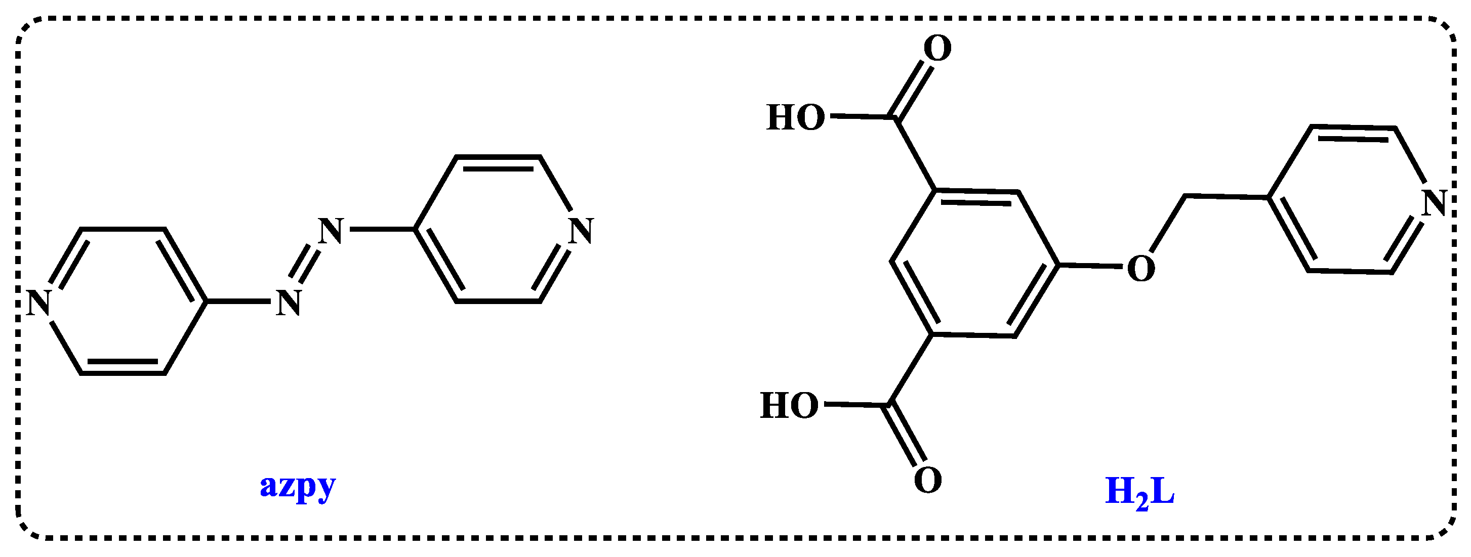
1. Introduction
2. Results
2.1. Crystal Structural Description
2.2. PXRD and Thermal Properties
2.3. Adsorption Properties
2.4. Photothermal Conversion Properties
3. Experiment
3.1. Materials and Methods
3.2. Synthesis of Compound 1
3.3. Single-Crystal X-ray Structure Determination
4. Conclusions
Author Contributions
Funding
Institutional Review Board Statement
Informed Consent Statement
Data Availability Statement
Conflicts of Interest
References
- Fan, Y.L.; Zhang, H.P.; Yin, M.J.; Krishna, R.; Feng, X.F.; Wang, L.; Luo, M.B.; Luo, F. High adsorption capacity and selectivity of SO2 over CO2 in a metal–organic framework. Inorg. Chem. 2021, 60, 4–8. [Google Scholar] [CrossRef] [PubMed]
- Gu, S.F.; Xiong, X.H.; Gong, L.L.; Zhang, H.P.; Xu, Y.; Feng, X.F.; Luo, F. Classified encapsulation of an organic dye and metal–organic complex in different molecular compartments for white-light emission and selective adsorption of C2H2 over CO2. Inorg. Chem. 2021, 60, 8211–8217. [Google Scholar] [CrossRef] [PubMed]
- Belmabkhout, Y.; Bhatt, P.M.; Adil, K.; Pillai, R.S.; Cadiau, A.; Shkurenko, A.; Maurin, G.; Liu, G.; Koros, W.J.; Eddaoudi, M. Natural gas upgrading using a fluorinated MOF with tuned H2S and CO2 adsorption selectivity. Nat. Energy 2018, 3, 1059–1066. [Google Scholar] [CrossRef]
- Qin, J.H.; Xiao, Z.; Xu, P.; Li, Z.H.; Lu, X.Y.; Yang, X.G.; Lu, W.W.; Ma, L.F.; Li, D.S. Anionic porous Zn-Metalated porphyrin metal–organic framework with PtS topology for gas-phase photocatalytic CO2 reduction. Inorg. Chem. 2022, 61, 13234–13238. [Google Scholar] [CrossRef] [PubMed]
- Sun, T.Y.; Gao, Y.B.; Du, Y.Y.; Zhou, L.; Chen, X. Recent advances in developing lanthanide metal–organic frameworks for ratiometric fluorescent sensing. Front. Chem. 2020, 8, 624592. [Google Scholar] [CrossRef]
- Liu, X.J.; Zhang, Y.H.; Chang, Z.; Li, A.L.; Tian, D.; Yao, Z.Q.; Jia, Y.Y.; Bu, X.H. A water-stable metal–organic framework with a double-helical structure for fluorescent sensing. Inorg. Chem. 2016, 55, 7326–7328. [Google Scholar] [CrossRef]
- Li, Y.L.; Zhao, Y.; Wang, P.; Kang, Y.S.; Liu, Q.; Zhang, X.D.; Sun, W.Y. Multifunctional metal–organic frameworks with fluorescent sensing and selective adsorption properties. Inorg. Chem. 2016, 55, 11821–11830. [Google Scholar] [CrossRef]
- Liu, X.B.; Lin, H.; Xiao, Z.Y.; Fan, W.D.; Huang, A.; Wang, R.M.; Zhang, L.L.; Sun, D.F. Multifunctional lanthanide–organic frameworks for fluorescent sensing, gas separation and catalysis. Dalton Trans. 2016, 45, 3743–3749. [Google Scholar] [CrossRef]
- Li, T.; Dang, L.; Zhao, C.; Lv, Z.; Yang, X.; Zhao, Y.; Zhang, S. A self-sensitized Co (II)-MOF for efficient visible-light-driven hydrogen evolution without additional cocatalysts. J. Solid State Chem. 2021, 304, 122609–122614. [Google Scholar] [CrossRef]
- Qin, J.; Xu, P.; Huang, Y.; Xiao, L.; Lu, W.; Yang, X.; Ma, L.; Zang, S. High loading of Mn(II)-metalated porphyrin in MOF for photocatalytic CO2 reduction in gas−solid condition. Chem. Commun. 2021, 57, 8468–8471. [Google Scholar] [CrossRef]
- Qin, J.-H.; Qin, W.-J.; Xiao, Z.; Yang, J.-K.; Wang, H.-R.; Yang, X.-G.; Li, D.-S.; Ma, L.-F. Efficient energy-transfer-induced high photoelectric conversion in a dye-encapsulated ionic pyrene-based metal–organic framework. Inorg. Chem. 2021, 60, 18593–18597. [Google Scholar] [CrossRef] [PubMed]
- Chang, X.H.; Qin, J.H.; Han, M.L.; Ma, L.F.; Wang, L.Y. Exploring the structural diversities and magnetic properties of copper(II) and manganese (II) complexes based on 5-methoxyisophthalate and flexible bis (imidazole) ligands. CrystEngComm 2014, 16, 870–882. [Google Scholar] [CrossRef]
- Zhou, Z.; Wang, Y.; Peng, F.; Meng, F.; Zha, J.J.; Ma, L.; Du, Y.H.; Peng, N.; Ma, L.F.; Zhang, Q.H.; et al. Intercalation-activated layered MoO3 nanobelts as biodegradable nanozymes for tumor-specific photo-enhanced catalytic therapy. Angew. Chem. Int. Ed. 2022, 61, e202115939. [Google Scholar]
- Yang, X.G.; Zhai, Z.M.; Lu, X.M.; Ma, L.F.; Yan, D.P. Fast crystallization-deposition of orderly molecule level heterojunction thin films showing tunable up-conversion and ultrahigh photoelectric response. ACS Cent. Sci. 2020, 6, 1169–1178. [Google Scholar] [CrossRef]
- Yang, X.G.; Qin, J.H.; Huang, Y.D.; Zhai, Z.M.; Ma, L.F.; Yan, D.P. Highly enhanced UV-vis-NIR light harvesting and photoelectric conversion of pyrene MOF by encapsulation of D-π-A cyanine dye. J. Mater. Chem. C 2020, 8, 17169–17175. [Google Scholar] [CrossRef]
- Chang, X.H.; Zhao, Y.; Han, M.L.; Ma, L.F.; Wang, L.Y. Five Cd(II) coordination polymers based on 2,3′,5,5′-biphenyltetracarboxylic acid and N-donor coligands: Syntheses, structures and fluorescent properties. CrystEngComm 2014, 16, 6417–6424. [Google Scholar] [CrossRef]
- Chang, X.H.; Qin, W.J.; Zhang, X.Y.; Jin, X.; Yang, X.G.; Dou, C.X.; Ma, L.F. Angle-Dependent Polarized Emission and Photoelectron Performance of Dye-Encapsulated Metal-Organic Framework. Inorg. Chem. 2021, 60, 10109–10113. [Google Scholar] [CrossRef]
- Yang, X.; Zhai, Z.; Lu, X.; Qin, J.; Li, F.; Ma, L. Hexanuclear Zn(II)-Induced Dense π-Stacking in a Metal–Organic Framework Featuring Long-Lasting Room Temperature Phosphorescence. Inorg. Chem. 2020, 59, 10395–10399. [Google Scholar] [CrossRef]
- Yang, X.; Lu, X.; Zhai, Z.; Qin, J.; Chang, X.; Han, M.; Li, F.; Ma, L. π-Type halogen bonding enhanced the long-lasting room temperature phosphorescence of Zn(ii) coordination polymers for photoelectron response applications. Inorg. Chem. Front. 2020, 7, 2224–2230. [Google Scholar] [CrossRef]
- Zhang, H.P.; Gong, L.L.; Yin, M.J.; Xiong, X.H.; Zhang, Q.Y.; Feng, X.F.; Luo, F.; Carney, J.B.; Yue, Y.F. Efficient organic iodide capture by a mesoporous bimetallic-organic framework. Cell Rep. Phys. Sci. 2022, 3, 100830. [Google Scholar] [CrossRef]
- Yang, X.G.; Lu, X.M.; Zhai, Z.M.; Zhao, Y.; Liu, X.Y.; Ma, L.F.; Zang, S.Q. Facile synthesis of micro-scale MOF host-guest with long-last phosphorescence and enhanced optoelectronic performance. Chem. Commun. 2019, 55, 11099–11102. [Google Scholar] [CrossRef] [PubMed]
- Qin, J.; Zhang, H.; Sun, P.; Huang, Y.; Shen, Q.; Yang, X.; Ma, L. Ionic liquid induced highly dense assembly of porphyrin in MOF nanosheets for photodynamic therapy. Dalton Trans. 2020, 49, 17772–17778. [Google Scholar] [CrossRef] [PubMed]
- Zhao, Y.; Yang, X.; Lu, X.; Yang, C.; Fan, N.; Yang, Z.; Wang, L.; Ma, L. {Zn6} cluster based metal-organic framework with enhanced room-temperature phosphorescence and optoelectronic performances. Inorg Chem. 2019, 58, 6215–6221. [Google Scholar] [CrossRef] [PubMed]
- Dang, L.; Li, T.; Cui, Z.; Sui, D.; Ma, L.; Jin, G. Selective construction and stability studies of molecular trefoil knot and solomon link. Dalton Trans. 2021, 50, 16984–16989. [Google Scholar] [CrossRef] [PubMed]
- Wang, Y.; Yang, G.P.; Zhang, P.F.; Ma, L.L.; Wang, J.M.; Li, G.P.; Wang, Y.Y. Microporous Cd(II) Metal–Organic Framework for CO2 Catalysis, Luminescent Sensing, and Absorption of Methyl Green. Cryst. Growth Des. 2021, 21, 2734–2743. [Google Scholar] [CrossRef]
- Liu, J.; Hang, M.; Wu, D.; Jin, J.; Cheng, J.G.; Yang, G.P.; Wang, Y.Y. Fine-tuning the porosities of the entangled isostructural Zn(II)-based metal–organic frameworks with active sites by introducing different N-auxiliary ligands: Selective gas sorption and efficient CO2 conversion. Inorg. Chem. 2020, 59, 2450–2457. [Google Scholar] [CrossRef] [PubMed]
- Xue, D.X.; Wang, Q.; Bai, J.F. Amide-functionalized metal–organic frameworks: Syntheses, structures and improved gas storage and separation properties. Coord. Chem. Rev. 2019, 378, 2–16. [Google Scholar] [CrossRef]
- Dang, L.; Li, T.; Zhao, C.; Zhang, T.; Ye, X.; Sun, X.; Wang, H.; Ma, L. Supramolecular Rh6 catalytic system promoting directed [4+4] cycloaddition reaction of anthracene under UV irradiation. J. Solid State Chem. 2022, 306, 122785–122792. [Google Scholar] [CrossRef]
- Li, J.; Xiong, L.; Fu, L.; Bo, W.; Du, Z.; Feng, X. Structural diversity of Mn(II) and Cu(II) complexes based on 2-carboxyphenoxyacetate linker: Syntheses, conformation comparison and magnetic properties. J. Solid State Chem. 2022, 305, 122636. [Google Scholar] [CrossRef]
- Li, J.; Zhang, Y.; Du, Z.; Feng, X. One-pot solvothermal synthesis of mononuclear and oxalate-bridged binuclear nickel compounds: Structural analyses, conformation alteration and magnetic properties. Inorg. Chim. Acta 2022, 530, 120697. [Google Scholar] [CrossRef]
- Daglar, H.; Gulbalkan, H.C.; Avci, G.; Aksu, G.O.; Altundal, O.F.; Altintas, C.; Erucar, I.; Keskin, S. Effect of metal–organic framework (MOF) database selection on the assessment of gas storage and separation potentials of mofs. Angew. Chem. Int. Ed. 2021, 60, 7828–7837. [Google Scholar] [CrossRef] [PubMed]
- Dhainaut, J.; Bonneau, M.; Ueoka, R.; Kanamori, K.; Furukawa, S. Formulation of metal–organic framework inks for the 3D printing of robust microporous solids toward high-pressure gas storage and separation. ACS Appl. Mater. Interfaces 2020, 12, 10983–10992. [Google Scholar] [CrossRef] [PubMed]
- Li, J.R.; Sculley, J.; Zhou, H.C. Metal–organic frameworks for separations. Chem. Rev. 2012, 112, 869–932. [Google Scholar] [CrossRef] [PubMed]
- Zhang, J.P.; Zhang, Y.B.; Lin, J.B.; Chen, X.M. Metal azolate frameworks: From crystal engineering to functional materials. Chem. Rev. 2012, 112, 1001–1033. [Google Scholar] [CrossRef] [PubMed]
- Wang, H.R.; Yang, X.G.; Qin, J.H.; Ma, L.F. Long-lived room temperature phosphorescence of organic–inorganic hybrid systems. Inorg. Chem. Front. 2021, 8, 1942–1950. [Google Scholar] [CrossRef]
- Wang, H.; Meng, W.; Wu, J.; Ding, J.; Hou, H.; Fan, Y. Crystalline central-metal transformation in metal-organic frameworks. Coord. Chem. Rev. 2016, 307, 130–146. [Google Scholar] [CrossRef]
- Dang, L.L.; Li, T.T.; Zhang, T.T.; Zhao, Y.; Chen, T.; Gao, X.; Ma, L.F.; Jin, G.X. Highly selective synthesis and near-infrared photothermal conversion of metalla-Borromean ring and [2]catenane assemblies. Chem. Sci. 2022, 13, 5130–5140. [Google Scholar] [CrossRef]
- Wang, Y.F.; Li, S.H.; Ma, L.F.; Geng, J.L.; Wang, L.Y. Syntheses, crystal structures, and magnetic studies of two cobalt(II) coordination polymers based on concurrent ligand extension. Inorg. Chem. Commun. 2015, 62, 42–46. [Google Scholar] [CrossRef]
- Liu, X.T.; Jia, Y.Y.; Zhang, Y.H.; Ren, G.J.; Feng, R.; Zhang, S.Y.; Zaworotko, M.J.; Bu, X.H. A new Co(ii) metal–organic framework with enhanced CO2 adsorption and separation performance. Inorg. Chem. Front. 2016, 3, 1510–1515. [Google Scholar] [CrossRef]
- Pal, A.; Chand, S.; Das, M.C. A water-stable twofold interpenetrating microporous MOF for selective CO2 adsorption and separation. Inorg. Chem. 2017, 56, 13991–13997. [Google Scholar] [CrossRef]
- Yuan, J.Q.; Li, J.T.; Che, S.T.; Li, G.H.; Liu, X.Y.; Sun, X.D.; Zou, L.F.; Zhang, L.R.; Liu, Y.L. Two unique copper cluster-based metal–organic frameworks with high performance for CO2 adsorption and separation. Inorg. Chem. Front. 2019, 6, 556–561. [Google Scholar] [CrossRef]
- Dang, L.L.; Zhang, T.T.; Chen, T.; Zhao, Y.; Zhao, C.C.; Aznarez, F.; Sun, K.X.; Ma, L.F. Coordination assembly and NIR photothermal conversion of Cp*Rh-based supramolecular topologies based on distinct conjugated systems. Org. Chem. Front. 2022, 9, 5505–5515. [Google Scholar] [CrossRef]
- Dang, L.-L.; Chen, T.; Zhang, T.-T.; Li, T.-T.; Sun, J.L.; Zhang, K.J.; Ma, L.-F. Size-induced highly selective synthesis of organometallic rectangular macrocycles and heterometallic cage based on half-sandwich rhodium building block. Molecules 2022, 27, 3756. [Google Scholar] [CrossRef] [PubMed]
- Guo, L.J.; Feng, X.F.; Gao, Z.; Krishna, R.; Luo, F. Robust 4d–5f bimetal–organic framework for efficient removal of trace SO2 from SO2/CO2 and SO2/CO2/N2 mixtures. Inorg. Chem. 2021, 60, 1310–1314. [Google Scholar] [CrossRef]
- Fan, C.B.; Gong, L.L.; Huang, L.; Luo, F.; Krishna, R.; Yi, X.F.; Zheng, A.M.; Zhang, L.; Pu, S.Z.; Feng, X.F.; et al. Significant enhancement of C2H2/C2H4 separation by a photochromic diaryletheneunit: A temperature- and Light-Responsive separation switch. Angew. Chem. Int. Ed. 2017, 56, 7900–7906. [Google Scholar] [CrossRef]
- Xu, Z.Z.; Xiong, X.H.; Xiong, J.B.; Krishna, R.; Li, L.B.; Fan, Y.L.; Luo, F.; Chen, B.L. A robust Th-azole framework for highly efficient purification of C2H4 from a C2H4/C2H2/C2H6 mixture. Nat. Commun. 2020, 11, 3163. [Google Scholar] [CrossRef]
- Luo, F.; Fan, C.B.; Luo, M.B.; Wu, X.L.; Zhu, Y.; Pu, S.Z.; Xu, W.Y.; Guo, G.C. Photoswitching CO2 capture and release in a photochromic diarylethene metal–organic framework. Angew. Chem. Int. Ed. 2014, 53, 9298–9301. [Google Scholar] [CrossRef]
- Dang, L.-L.; Zhang, T.-T.; Li, T.-T.; Chen, T.; Zhao, Y.; Zhao, C.-C.; Ma, L.-F. Stable Zinc-Based Metal-Organic Framework Photocatalyst for Effective Visible-Light-Driven Hydrogen Production. Molecules 2022, 27, 1917. [Google Scholar] [CrossRef]
- Pei, X.R.; Dang, L.L.; Zhang, T.T.; Chen, T.; Ren, F.X.; Liu, S.R. Stable nickel-based metal–organic framework containing thiophene/diimidazole units for effective near-infrared photothermal conversion. Catalysts 2022, 12, 777. [Google Scholar] [CrossRef]
- Caskey, S.R.; Wong-Foy, A.G.; Matzger, A.J. Dramatic tuning of carbon dioxide uptake via metal substitution in a coordination polymer with cylindrical pores. J. Am. Chem. Soc. 2008, 130, 10870–10871. [Google Scholar] [CrossRef]
- Wang, H.; Qin, J.; Huang, C.; Han, Y.; Xu, W.; Hou, H. Mono/bimetallic water-stable lanthanide coordination polymers as luminescent probes for detecting cations, anions and organic solvent molecules. Dalton Trans. 2016, 45, 12710–12716. [Google Scholar] [CrossRef]
- Mason, J.A.; Sumida, K.; Herm, Z.R.; Krishna, R.; Long, J.R. Evaluating metal–organic frameworks for post-combustion carbon dioxide capture via temperature swing adsorption. Energy Environ. Sci. 2011, 4, 3030–3040. [Google Scholar] [CrossRef]
- Lyu, Y.; Fang, Y.; Miao, Q.Q.; Zhen, X.; Ding, D.; Pu, K.Y. Intraparticle molecular orbital engineering of semiconducting polymer nanoparticles as amplified theranostics for in vivo photoacoustic imaging and photothermal therapy. ACS Nano 2016, 10, 4472–4481. [Google Scholar] [CrossRef] [PubMed]
- Pu, K.; Shuhendler, A.J.; Jokerst, J.V.; Mei, J.G.; Gambhir, S.S.; Bao, Z.N.; Rao, J.H. Semiconducting polymer nanoparticles as photoacoustic molecular imaging probes in living mice. Nat. Nanotechnol. 2014, 9, 233–2393. [Google Scholar] [CrossRef] [PubMed]
- Yan, T.; Li, Y.Y.; Gu, Q.Y.; Li, J.; Su, J.; Wang, H.Y.; Zuo, J.L. A Tetrathiafulvalene/Naphthalene Diimide-Containing Metal–Organic Framework with fsc Topology for Highly Efficient Near-Infrared Photothermal Conversion. Inorg. Chem. 2022, 61, 3078–3085. [Google Scholar] [CrossRef]
- Liu, Y.G.; Liu, G.L.; Peng, T.; Gu, C.; Gu, C.; Li, J.J.; Liu, X.Q.; Sun, L.B. Near-infrared light triggered release of ethane from a photothermal metal-organic framework. Chem. Eng. J. 2021, 420, 130490. [Google Scholar] [CrossRef]
- Lyndon, R.; Konstas, K.; Ladewig, B.P.; Southon, P.D.; Kepert, C.J.; Hill, M.R. Dynamic photo-switching in metal–organic frameworks as a route to low-energy carbon dioxide capture and release. Angew. Chem. Int. Ed. 2013, 52, 3695–3698. [Google Scholar] [CrossRef]
- Chen, B.L.; Ma, S.Q.; Eric, J.; Hurtado, E.J.; Lobkovsky, E.B.; Zhou, H.C. A triply interpenetrated microporous metal-organic framework for selective sorption of gas molecules. Inorg. Chem. 2007, 46, 8490–8492. [Google Scholar] [CrossRef]
- Yu, W.; Qiu, F.-Y.; Luo, S.-T.; Shi, H.-T.; Yuan, G.; Wei, X. Coordination Assembly and Host–Guest Chemistry of a triply Interlocked [2]Catenane. Inorg. Chem. Front. 2021, 8, 2356–2364. [Google Scholar] [CrossRef]
- Gao, X.; Cui, Z.; Shen, Y.-R.; Liu, D.; Lin, Y.-J.; Jin, G.-X. Synthesis and near-infrared photothermal conversion of discrete supramolecular topologies featuring half-sandwich [Cp*Rh] Units. J. Am. Chem. Soc. 2021, 143, 17833–17842. [Google Scholar] [CrossRef]
- Wang, Y.; Zhu, W.; Du, W.; Liu, X.; Zhang, X.; Dong, H.; Hu, W. Cocrystals strategy towards materials for near-infrared photothermal conversion and imaging. Angew. Chem. Int. Ed. 2018, 57, 3963–3967. [Google Scholar] [CrossRef]
- Liu, J.C.; Wang, J.F.; Han, Q.; Guan, P.S.; Liu, L.L.; Chen, L.J.; Zhao, J.W.; Streb, C.; Song, Y.F. Multicomponent self-assembly of a giant heterometallic polyoxotungstate supercluster with antitumor activity. Angew. Chem. Int. Ed. 2021, 60, 11153–11157. [Google Scholar] [CrossRef] [PubMed]
- Zhou, Z.; Li, X.Q.; Hu, T.T.; Xue, B.L.; Chen, H.; Ma, L.F.; Liang, R.Z.; Tan, C.L. Molybdenum-Based Nanomaterials for Photothermal Cancer Therapy. Adv. NanoBiomed Res. 2022. [Google Scholar] [CrossRef]
- Sheldrick, G.M. SHELXS-97, Program for the Solution of Crystal Structure; University of Göttingen: Göttingen, Germany, 1997. [Google Scholar]
- Sheldrick, G.M. SHELXL-97, Program for the Crystal Structure Refinement; University of Göttingen: Göttingen, Germany, 1997. [Google Scholar]
- Sheldrick, G.M. SADABS Siemens Area Correction Absorption Program; University of Göttingen: Göttingen, Germany, 1994. [Google Scholar]









| MOF | Adsorption (CO2) | Temperature | Ref (doi) |
|---|---|---|---|
| ZSM-5 | 1.630 mmol/g | 363 K | J. Porous Mater.2022, 29, 19. |
| SBA-16 | 1.630 mmol/g | 363 K | J. Porous Mater.2022, 29, 19. |
| Zn3(OH)(p-cdc)2.5 | 0.586 mmol/g | 298 K | Sci. Total Environ.2020, 707, 135090. |
| PEI-MCM-41 | 5.495 mmol/g | 373 K | Doi:10.1080/09593330.2021.1958012. |
| HPS−PEHA-70 | 4.5 mmol/g | 343 K | Materials2016, 9(10), 835. |
| Cu-OATA | 2.236 mmol/g | 298 K | ACS Appl. Mater. Interfaces2021, 13, 33188. |
| Cd-OATA | 0.509 mmol/g | 298 K | ACS Appl. Mater. Interfaces2021, 13, 33188. |
| MOF-177 | 33.5 mmol/g | 298.15 K | Environ. Sci. Pollut. Res.2019, 26, 36214. |
| Mg-MOF-74 | 3.7 mmol/g | 77 K | ACS. Omega2021, 6, 7739. |
| MCFs | 0.45 mmol/g | 77 K | ACS. Omega2021, 6, 7739. |
| {[Co2(2,6-NDC)2(L)2]·xG}n | 3.35 mmol/g | 273 K | Inorg. Chem.2019, 58, 11553. |
| {[Co2(2,6-NDC)2(L)2]·xG}n | 2.70 mmol/g | 295 K | Inorg. Chem.2019, 58, 11553. |
| [Co2(L)2(azpy)]n | 1.845 mmol/g | 273 K | This work |
| Complex | 1 |
|---|---|
| Empirical formula | C38H26Co2N6O10·3[H2O] |
| Formula weight | 898.55 |
| Temperature/K | 293(2) |
| Crystal system | monoclinic |
| Space group | P21/c |
| a/Å | 20.0316(9) |
| b/Å | 16.1623(5) |
| c/Å | 15.9700(6) |
| α/° | 90 |
| β/° | 103.454(5) |
| γ/° | 90 |
| Volume/Å3 | 5028.5(3) |
| Z | 4 |
| ρcalc/g cm−3 | 1.187 |
| µ/mm−1 | 0.717 |
| F(000)/e | 1840.0 |
| 2θ range for data collection/° | 6.584 to 50.054 |
| Reflections collected | 22293 |
| Independent reflections | 8824 [Rint = 0.0404, Rsigma = 0.0615] |
| Data/restraints/parameters | 8824/0/505 |
| Goodness-of-fit on F2 | 1.029 |
| Largest diff. peak/hole/, e Å−3 | 0.35/−0.38 |
| Final R indexes [I> =2σ (I)] | R1 = 0.0481, wR2 = 0.1098 |
| Final R indexes [all data] | R1 = 0.0662, wR2 = 0.1182 |
Publisher’s Note: MDPI stays neutral with regard to jurisdictional claims in published maps and institutional affiliations. |
© 2022 by the authors. Licensee MDPI, Basel, Switzerland. This article is an open access article distributed under the terms and conditions of the Creative Commons Attribution (CC BY) license (https://creativecommons.org/licenses/by/4.0/).
Share and Cite
Dang, L.-L.; Zong, D.-X.; Lu, X.-Y.; Zhang, T.-T.; Chen, T.; Sun, J.-L.; Zhao, J.-Z.; Liu, M.-Y.; Liu, S.-R. The Selective CO2 Adsorption and Photothermal Conversion Study of an Azo-Based Cobalt-MOF Material. Molecules 2022, 27, 6873. https://doi.org/10.3390/molecules27206873
Dang L-L, Zong D-X, Lu X-Y, Zhang T-T, Chen T, Sun J-L, Zhao J-Z, Liu M-Y, Liu S-R. The Selective CO2 Adsorption and Photothermal Conversion Study of an Azo-Based Cobalt-MOF Material. Molecules. 2022; 27(20):6873. https://doi.org/10.3390/molecules27206873
Chicago/Turabian StyleDang, Li-Long, De-Xi Zong, Xiao-Yan Lu, Ting-Ting Zhang, Tian Chen, Jiu-Long Sun, Jiu-Zhou Zhao, Meng-Yang Liu, and Shui-Ren Liu. 2022. "The Selective CO2 Adsorption and Photothermal Conversion Study of an Azo-Based Cobalt-MOF Material" Molecules 27, no. 20: 6873. https://doi.org/10.3390/molecules27206873
APA StyleDang, L.-L., Zong, D.-X., Lu, X.-Y., Zhang, T.-T., Chen, T., Sun, J.-L., Zhao, J.-Z., Liu, M.-Y., & Liu, S.-R. (2022). The Selective CO2 Adsorption and Photothermal Conversion Study of an Azo-Based Cobalt-MOF Material. Molecules, 27(20), 6873. https://doi.org/10.3390/molecules27206873

