Synthesis and Characterization of New Ruthenium (II) Complexes of Stoichiometry [Ru(p-Cymene)Cl2L] and Their Cytotoxicity against HeLa-Type Cancer Cells
Abstract
1. Introduction
2. Results and Discussion
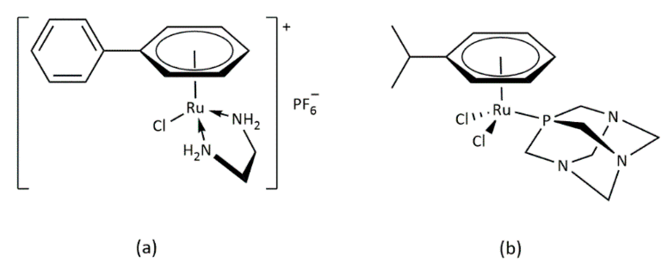
2.1. Molecular Structure
2.2. Supramolecular Structure
2.3. In Vitro Cytotoxicity
3. Materials and Methods
3.1. X-ray Data Collection, Structure Solution and Refinement for II and III
3.2. Synthesis of the Complexes
3.3. Cytotoxicity Assays
3.3.1. Cell Culture
3.3.2. MTT Assay
4. Conclusions
Supplementary Materials
Author Contributions
Funding
Institutional Review Board Statement
Informed Consent Statement
Data Availability Statement
Conflicts of Interest
Sample Availability
References
- Rosenberg, B.; Vancamp, L.; Trosko, J.E.; Mansour, V.H. Platinum Compounds: A New Class of Potent Antitumour Agents. Nature 1969, 222, 385–386. [Google Scholar] [CrossRef] [PubMed]
- Cleare, M.J.; Hoeschele, J.D. Anti-Tumour Platinum Compounds. Relationship Between Structure and Activity. Platin. Met. Rev. 1973, 17, 2–13. [Google Scholar]
- Cleare, M.J.; Hoeschele, J.D. Studies on the antitumor activity of group VIII transition metal complexes. Part I. Platinum (II) complexes. Bioinorg. Chem. 1973, 2, 187–210. [Google Scholar] [CrossRef]
- Boulikas, T.; Vougiouka, M. Cisplatin and platinum drugs at the molecular level (Review). Oncol. Rep. 2003, 10, 1663–1682. [Google Scholar] [CrossRef]
- Kelland, L. The resurgence of platinum-based cancer chemotherapy. Nat. Rev. Cancer 2007, 7, 573–584. [Google Scholar] [CrossRef]
- Graham, J.; Mushin, M.; Kirkpatrick, P. Oxaliplatin. Nat. Rev. Drug Discov. 2004, 3, 11–12. [Google Scholar] [CrossRef]
- Wang, D.; Lippard, S.J. Cellular processing of platinum anticancer drug. Nat. Rev. Drug Discov. 2005, 4, 307–320. [Google Scholar] [CrossRef]
- Dabrowiak, J.C. Metals in Medicine, 2nd ed.; John Wiley & Sons: Hoboken, NJ, USA, 2017. [Google Scholar]
- Morris, R.E.; Aird, R.E.; del Socorro Murdoch, P.; Chen, H.; Cummings, J.; Hughes, N.D.; Parsons, S.; Parkin, A.; Boyd, G.; Jodrell, D.I.; et al. Inhibition of cancer cell growth by ruthenium (II) arene complexes. J. Med. Chem. 2001, 44, 3616–3621. [Google Scholar] [CrossRef]
- Bugarcic, T.; Habtemariam, A.; Stepankova, J.; Heringova, P.; Kasparkova, J.; Deeth, R.J.; Johnstone, R.D.L.; Prescimone, A.; Parkin, A.; Parsons, S.; et al. The Contrasting Chemistry and Cancer Cell Cytotoxicity of Bipyridine and Bipyridinediol Ruthenium(II) Arene Complexes. Inorg. Chem. 2008, 47, 11470–11486. [Google Scholar] [CrossRef]
- Bugarcic, T.; Nováková, O.; Halámiková, A.; Zerzánková, L.; Vrána, O.; Kašpárková, J.; Habtemariam, A.; Parsons, S.; Sadler, P.J.; Brabec, V. Cytotoxicity, cellular uptake, and DNA interactions of new monodentate ruthenium(II) complexes containing terphenyl arenes. J. Med. Chem. 2008, 51, 5310–5319. [Google Scholar] [CrossRef]
- Scolaro, C.; Chaplin, A.B.; Hartinger, C.G.; Bergamo, A.; Cocchietto, M.; Keppler, B.K.; Sava, G.; Dyson, P.J. Tuning the hydrophobicity of ruthenium(II)-arene (RAPTA) drugs to modify uptake, biomolecular interactions and efficacy. Dalt. Trans. 2007, 2, 5065–5072. [Google Scholar] [CrossRef] [PubMed]
- Wee, H.A.; Dyson, P.J. Classical and non-classical ruthenium-based anticancer drugs: Towards targeted chemotherapy. Eur. J. Inorg. Chem. 2006, 2006, 4003–4018. [Google Scholar] [CrossRef]
- Zeng, J.; Zhao, Y.; Li, K.; Long, D.; Li, W.; Liang, L. A coordinated ruthenium-rifampicin complex reprogramming the colon carcinoma micro-environment mediated by modulation of p53/AkT/mTOR/VEGF pathway. Toxicol. Appl. Pharmacol. 2021, 426, 115618. [Google Scholar] [CrossRef]
- Shen, J.; Rees, T.W.; Ji, L.; Chao, H. Recent advances in ruthenium(II) and iridium(III) complexes containing nanosystems for cancer treatment and bioimaging. Coord. Chem. Rev. 2021, 443, 214016. [Google Scholar] [CrossRef]
- Coverdale, J.P.C.; Laroiya-McCarron, T.; Romero-Canelón, I. Designing ruthenium anticancer drugs: What have we learnt from the key drug candidates? Inorganics 2019, 7, 31. [Google Scholar] [CrossRef]
- Lakshmi, B.A.; Reddy, A.S.; Sangubotla, R.; Hong, J.W.; Kim, S. Ruthenium(II)-curcumin liposome nanoparticles: Synthesis, characterization and their effects against cervical cancer. Colloids Surf. B Biointerfaces 2021, 204, 111773. [Google Scholar] [CrossRef]
- García, G.; Solano, I.; Sánchez, G.; Santana, M.D.; López, G.; Casabó, J.; Molins, E.; Miravitlles, C. Reactivity of [(η6-arene)RuCl(μ-Cl)2] towards some potentially bidentate ligands. Molecular structure of [(η6-p-cymene)RuCl(taz)]PF6 (p-cymene = p-MeC6H4CH-Me2; taz = 2,6-dimethy. J. Organomet. Chem. 1994, 467, 119–126. [Google Scholar] [CrossRef]
- Habtemariam, A.; Sadler, P.J. Ruthenium Compounds. U.S. Patent Application No. US7241913B2, 10 July 2007. [Google Scholar]
- Iida, J.; Bell-Loncella, E.T.; Purazo, M.L.; Lu, Y.; Dorchak, J.; Clancy, R.; Slavik, J.; Cutler, M.L.; Shriver, C.D. Inhibition of cancer cell growth by ruthenium complexes. J. Transl. Med. 2016, 14, 48. [Google Scholar] [CrossRef]
- Yan, X.-W.; Xie, Y.-R.; Jin, Z.-M.; Hu, M.-L.; Zhou, L.-P. Three Arene-Ru(II) compounds of 2-halogen-5-aminopyridine: Synthesis, characterization and cytotoxicity. Appl. Organomet. Chem. 2017, 32, e3923. [Google Scholar] [CrossRef]
- Ballester, F.J.; Ortega, E.; Porto, V.; Kostrhunova, H.; Davila-Ferreira, N.; Bautista, D.; Brabec, V.; Domínguez, F.; Santana, M.D.; Ruiz, J. New half-sandwich ruthenium(ii) complexes as proteosynthesis inhibitors in cancer cells. Chem. Commun. 2019, 55, 1140–1143. [Google Scholar] [CrossRef]
- Ismail, L.A.; Alfaifi, M.Y.; Elbehairi, S.E.I.; Elshaarawy, R.F.M.; Gad, E.M.; El-Sayed, W.N. Hybrid organoruthenium(II) complexes with thiophene-β-diketo-benzazole ligands: Synthesis, optical properties, CT-DNA interactions and anticancer activity. J. Organomet. Chem. 2021, 949, 121960. [Google Scholar] [CrossRef]
- Pujante-Galian, M.A.; Pérez, S.A.; Montalbán, M.G.; Carissimi, G.; Fuster, M.G.; Víllora, G.; García, G. p-Cymene Complexes of Ruthenium (II) as Antitumor Agents. Molecules 2020, 55, 5063. [Google Scholar] [CrossRef] [PubMed]
- Gupta, D.K.; Sahay, A.N.; Pandey, D.S.; Narendra, K.J.; Sharma, P.; Espinosa, G.; Cabrera, A.; Puerta, M.C.; Valerga, P. Synthesis, characterization, reactivity and structure of some mono and binuclear (η6-p-cymene)ruthenium(II) complexes. J. Organomet. Chem. 1998, 568, 13–20. [Google Scholar] [CrossRef]
- Cheng, B.; Tehrani, A.; Hu, M.-L.; Morsali, A. Supramolecular assemblies of Ru(II) organometallic half-sandwich complexes. CrystEngComm 2014, 16, 9125–9134. [Google Scholar] [CrossRef]
- Aronson, R.; Elsegood, M.R.J.; Steed, J.W.; Tocher, D.A. The reactions of [Ru(η6-arene)Cl2]2 compounds with a series of aminopyridine ligands: X-ray crystal structures of [Ru(η6-1,4-MeC6H4CHMe2)Cl2(NC5H4NH2)] and [Ru(η6-C16H16)Cl2(NC5H4NH2)]. Polyhedron 1991, 10, 1727–1732. [Google Scholar] [CrossRef]
- McKinnon, J.J.; Spackman, M.A.; Mitchell, A.S. Novel tools for visualizing and exploring intermolecular interactions in molecular crystals. Acta Cryst. 2004, 60, 627–668. [Google Scholar] [CrossRef]
- Spackman, M.A.; Jayatilaka, D. Hirshfeld surface analysis. CrystEngComm 2009, 11, 19–32. [Google Scholar] [CrossRef]
- Spackman, M.A.; McKinnon, J.J. Fingerprinting intermolecular interactions in molecular crystals. CrystEngComm 2002, 4, 378–392. [Google Scholar] [CrossRef]
- Khan, B.A.; Hamdani, S.S.; Ahmed, M.N.; Hameed, S.; Ashfaq, M.; Ahmed, M.S.; Ibrahim, M.A.A.; Sidhom, P.A. Synthesis, X-ray diffraction analysis, quantum chemical studies and α-amylase inhibition of probenecid derived S-alkylphthalimide-oxadiazole-benzenesulfonamide hybrids. J. Enzym. Inhib. Med. Chem. 2022, 37, 1464–1478. [Google Scholar] [CrossRef]
- Nakamoto, K. Infrared and Raman Spectra of Inorganic and Coordination Compounds: Part B: Applications in Coordination, Organometallic and Bioinorganic Chemistry, 6th ed.; John Wiley & Sons: Hoboken, NJ, USA, 2008; ISBN 9780470405888. [Google Scholar]
- Fuster, M.G.; Montalbán, M.G.; Carissimi, G.; Víllora, G. Improving Anticancer Therapy with Naringenin-Loaded Silk Fibroin Nanoparticles. Nanomaterials 2020, 10, 718. [Google Scholar] [CrossRef]
- Bennett, M.A.; Huang, T.N.; Matheson, T.W.; Smith, K. Inorganic Synthesis; John Wiley & Sons: Hoboken, NJ, USA, 1982; Volume 21, pp. 74–77. [Google Scholar]
- Sheldrick, G.M. Crystal structure refinement with SHELXL. Acta Crystallogr. Sect. C Struct. Chem. 2015, 71, 3–8. [Google Scholar] [CrossRef] [PubMed]
- Sheldrick, G.M. A short history of SHELX. Acta Crystallogr. Sect. A Found. Crystallogr. 2007, 64, 112–122. [Google Scholar] [CrossRef] [PubMed]
- International Union of Crystallography. checkCIF. Available online: https://checkcif.iucr.org/ (accessed on 13 September 2022).
- Spackman, P.R.; Turner, M.J.; McKinnon, J.J.; Wolff, S.K.; Grimwood, D.J.; Jayatilaka, D.; Spackman, M.A. A program for Hirshfeld surface analysis, visualization and quantitative analysis of molecular crystals. J. Appl. Crystallogr. 2021, 54, 1006–1011. [Google Scholar] [CrossRef] [PubMed]






| Comp. | Color | Yield (%) | Analysis a (%) | Exact Mass a (g/mol) | M.P. b (°C) | ||||
|---|---|---|---|---|---|---|---|---|---|
| C | H | N | [M-H]+ | [M-Cl]+ | [M-2Cl]+ | ||||
| I | Yellow–orange | 70 | 48.09 (48.12) | 4.73 (4.75) | 6.40 (6.60) | 388.8792 (388.8812) | - | 69 | |
| II | Yellow–orange | 90 | 48.25 (48.12) | 4.77 (4.75) | 6.53 (6.60) | 425.3591 (425.3418) | - | - | 90 |
| III | Orange | 85 | 44.86 (45.01) | 5.06 (5.04) | 6.83 (7.00) | - | - | 329.0595 (329.4365) | 78 |
| IV | Light Brown | 90 | 44.70 (45.01) | 4.87 (5.04) | 6.95 (7.00) | - | 329.0599 (329.4365) | 72 | |
| RuCl2(p-Cymene)(4-Aminobenzonitrile) | RhCl2(p-Cymene)(2-Aminopyridine) | ||
|---|---|---|---|
| Ru-N | 2.1756(18) Å | Ru-N | 2.1693(14) Å |
| Ru-Cl(1) | 2.4260(5) Å | Ru-Cl(1) | 2.4545(8) Å |
| Ru-Cl(2) | 2.4219(5) Å | Ru-Cl(2) | 2.4153(8) Å |
| N-Ru-Cl(1) | 82.57(5)o | N-Ru-Cl(1) | 88.14(3)o |
| N-Ru-Cl(2) | 80.17(5)o | N-Ru-Cl(2) | 88.86(3)o |
| Cl(1)-Ru-Cl(2) | 89.261(17)o | Cl(1)-Ru-Cl(2) | 86.22(3)o |
| Ru-Centroide(p-cymene) | 1.421 Å | Ru-Centroide(p-cymene) | 1.432 Å |
| Hydrogen bond N(2)-H(01)···Cl(1) [Å and o] d(N-H): 0.851(16); d(H···Cl): 2.418(17); d(N···Cl): 3.1917(16); <(NHCl): 151(2). | |||
| Molecular surface | 537.2 Å2 | Molecular surface | 491.6 Å2 |
| Molecular volume | 299.9 Å3 | Molecular volume | 280.8 Å3 |
| Ovality | 1.730 | Ovality | 1.669 |
| Complex | 1H δ(SiMe4) (in CD2CCl2) | Ligand Structure |
|---|---|---|
| I | 7.37–7.28 (m, Hb + Hd) 6.82 (d, Ha, Jab = 8.1Hz) 6.67 (t, Hc, Jbc = 8.1Hz) 5.88–5.72 (dd, –C6H4, J = 6.2 Hz) 5.47 (s, br, –NH2) 2.78 (spt, 1H, –CH(CH3)2, J = 6.9 Hz) 1.61 (s, –CH3) 1.30 (d, –CH(CH3)2, J = 6.9 Hz) | ![]() |
| II | 7.23 (m, Ha) 6.54 (m, Hb) 5.75–5.53 (dd, –C6H4, J = 6.2 Hz) 4,72 (s, br, –NH2) 2.65 (spt, –CH(CH3)2) 2.07 (s, –CH3) 1.18 (d, 6H, –CH(CH3)2, J = 6.8 Hz) | ![]() |
| III | 8.54 (d, Hd, J = 4.8 Hz) 7.42 (pst, Hc) 6.62 (pst, Hb) 6.58 (d, Ha, J = 8.0 Hz) 6.12 (s, br, –NH2) 5.53–5.31 (dd, –C6H4, J = 6.0 Hz) 2.93 (spt, –CH(CH3)2, J = 7.2 Hz) 1.96 (s, –CH3) 1.28 (d, 6H, –CH(CH3)2, J = 6.8 Hz) | ![]() |
| IV | 8.33 (d, Ha, J = 6.9 Hz) 6.43 (d, Hb, J = 6.9 Hz) 4.55 (s, br, –NH2) 5.37–5.137 (dd, –C6H4, J = 6.0 Hz) 2.90 (spt, –CH(CH3)2, J = 6.9 Hz) 2.12 (s, –CH3) 1.27 (d, –CH(CH3)2, J = 6.9 Hz) | ![]() |
| Compound | IC50, mM |
|---|---|
| Complex I | >2 |
| Complex II | >2 |
| Complex III | >2 |
| Complex IV | 1.60 ± 0.004 |
| cisplatin | 0.06 ± 0.002 |
| II | III | |
|---|---|---|
| formula | C17H20Cl2N2Ru | C15H20Cl2N2Ru |
| fw | 424.32 | 400.30 |
| cryst color, habit | orange, prism | orange, prism |
| cryst size (mm) | 0.090 × 0.050 × 0.030 | 0.18 × 0.07 × 0.04 |
| cryst syst | monoclinic | monoclinic |
| space group | P21/n (#14) | P21/c (#14) |
| a (Å) | 8.9362(9) | 16.509(7) |
| b (Å) | 12.8438(12) | 13.112(5) |
| c (Å) | 14.9730(16) | 7.167(2) |
| α (°) | 90 | 90 |
| β (°) | 91.063(4) | 93.90(2) |
| γ (°) | 90 | 90 |
| V (Å3) | 1718.2(3) | 1547.8(10) |
| Z value | 4 | 4 |
| Dcalcd (g/cm3) | 1.640 | 1.718 |
| F000 | 856 | 808 |
| no. of reflns measd | 37,748 | 69,142 |
| no. of observations | 5265 | 4719 |
| no. of variables | 208 | 192 |
| R1 | 0.0271 | 0.0180 |
| wR2 | 0.0563 | 0.0434 |
| goodness of fit | 1.050 | 0.903 |
Publisher’s Note: MDPI stays neutral with regard to jurisdictional claims in published maps and institutional affiliations. |
© 2022 by the authors. Licensee MDPI, Basel, Switzerland. This article is an open access article distributed under the terms and conditions of the Creative Commons Attribution (CC BY) license (https://creativecommons.org/licenses/by/4.0/).
Share and Cite
Fuster, M.G.; Moulefera, I.; Montalbán, M.G.; Pérez, J.; Víllora, G.; García, G. Synthesis and Characterization of New Ruthenium (II) Complexes of Stoichiometry [Ru(p-Cymene)Cl2L] and Their Cytotoxicity against HeLa-Type Cancer Cells. Molecules 2022, 27, 7264. https://doi.org/10.3390/molecules27217264
Fuster MG, Moulefera I, Montalbán MG, Pérez J, Víllora G, García G. Synthesis and Characterization of New Ruthenium (II) Complexes of Stoichiometry [Ru(p-Cymene)Cl2L] and Their Cytotoxicity against HeLa-Type Cancer Cells. Molecules. 2022; 27(21):7264. https://doi.org/10.3390/molecules27217264
Chicago/Turabian StyleFuster, Marta G., Imane Moulefera, Mercedes G. Montalbán, José Pérez, Gloria Víllora, and Gabriel García. 2022. "Synthesis and Characterization of New Ruthenium (II) Complexes of Stoichiometry [Ru(p-Cymene)Cl2L] and Their Cytotoxicity against HeLa-Type Cancer Cells" Molecules 27, no. 21: 7264. https://doi.org/10.3390/molecules27217264
APA StyleFuster, M. G., Moulefera, I., Montalbán, M. G., Pérez, J., Víllora, G., & García, G. (2022). Synthesis and Characterization of New Ruthenium (II) Complexes of Stoichiometry [Ru(p-Cymene)Cl2L] and Their Cytotoxicity against HeLa-Type Cancer Cells. Molecules, 27(21), 7264. https://doi.org/10.3390/molecules27217264





