Anthocyanins Formulated with Carboxymethyl Starch for Gastric and Intestinal Delivery
Abstract
1. Introduction
2. Results and Discussion
2.1. Characterization of the Samples
2.1.1. Scanning Electron Microscopy (SEM)
2.1.2. FTIR Analysis
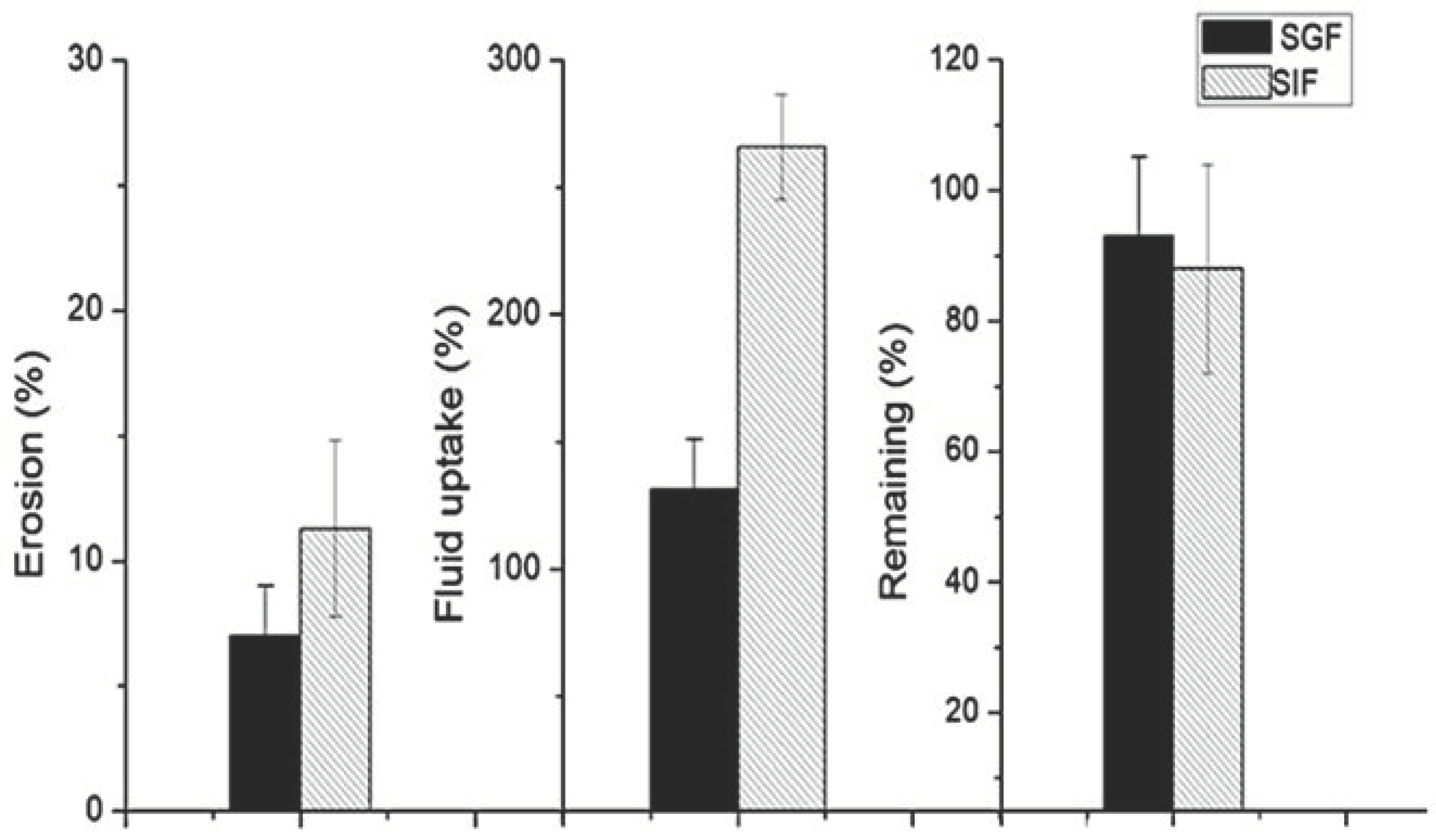
2.1.3. Erosion and Fluid Uptake
2.2. In Vitro Anthocyanins Release Study
2.2.1. ACNs’ Release from the CMS-Based Tablets in Simulated Gastric and Intestinal Media
2.2.2. Anthocyanins Release Modeling
2.2.3. Optimization of Formulation
2.3. Antioxidant Capacity of the ACNs Released in Simulated Media
3. Materials and Methods
3.1. Chemicals
3.2. Plant Material and Anthocyanins (ACNs) Extraction
3.3. Synthesis of Carboxymethyl Starch (CMS)
3.4. Tablet Preparation
3.4.1. Preparation of Anthocyanins Powders
3.4.2. Formulations
3.4.3. Tablet Preparation
3.5. Anthocyanins Dissolution Assay
3.6. Characterization of the Tablets
3.6.1. Scanning Electron Microscopy (SEM)
3.6.2. Fourier Transform Infrared Spectroscopy (FTIR)
3.6.3. Erosion and Fluid Uptake
3.7. Antioxidant Capacity
3.8. Statistical Analysis
4. Conclusions
Supplementary Materials
Author Contributions
Funding
Institutional Review Board Statement
Informed Consent Statement
Data Availability Statement
Acknowledgments
Conflicts of Interest
Sample Availability
Abbreviations
References
- Galvano, F.; La Fauci, L.; Lazzarino, G.; Fogliano, V.; Ritieni, A.; Ciappellano, S.; Battistini, N.C.; Tavazzi, B.; Galvano, G. Cyanidins: Metabolism and biological properties. J. Nutr. Biochem. 2004, 15, 2–11. [Google Scholar] [CrossRef] [PubMed]
- Long, H.; Zhang, F.; Wang, H.L.; Yang, W.; Hou, H.; Yu, J.K.; Liu, B. Mulberry anthocyanins improves thyroid cancer progression mainly by inducing apoptosis and autophagy cell death. Kaohsiung J. Med. Sci. 2018, 34, 255–262. [Google Scholar] [CrossRef] [PubMed]
- Del Bò, C.; Ciappellano, S.; Klimis-Zacas, D.; Martini, D.; Gardana, C.; Riso, P.; Porrini, M. Anthocyanin absorption, metabolism, and distribution from a wild blueberry-enriched diet (Vaccinium angustifolium) is affected by diet duration in the sprague-dawley rat. J. Agric. Food Chem. 2010, 58, 2491–2497. [Google Scholar] [CrossRef] [PubMed]
- Fernandes, A.; Rocha, M.A.; Santos, L.; Brás, J.; Oliveira, J.; Mateus, N.; Freitas, V. Blackberry anthocyanins: β-Cyclodextrin fortification for thermal and gastrointestinal stabilization. Food Chem. 2018, 245, 426–431. [Google Scholar] [CrossRef] [PubMed]
- Wang, Z.; Li, Y.; Chen, L.; Xin, X.; Yuan, Q. A study of controlled uptake and release of anthocyanins by oxidized starch microgels. J. Agric. Food Chem. 2013, 61, 5880–5887. [Google Scholar] [CrossRef]
- Fernandes, I.; Faria, A.; Calhau, C.; de Freitas, V.; Mateus, N. Bioavailability of anthocyanins and derivatives. J. Funct. Foods 2014, 7, 54–66. [Google Scholar] [CrossRef]
- Pepato, M.T.; Mori, D.M.; Baviera, A.M.; Harami, J.B.; Vendramini, R.C.; Brunetti, I.L. Fruit of the jambolan tree (Eugenia jambolana Lam.) and experimental diabetes. J. Ethnopharmacol. 2005, 96, 43–48. [Google Scholar] [CrossRef]
- Arayne, M.S.; Sultana, N.; Mirza, A.Z.; Zuberi, M.H.; Siddiqui, F.A. In Vitro hypoglycemic activity of methanolic extract of some indigenous plants. Pak. J. Pharm. Sci. 2007, 20, 268–273. [Google Scholar]
- Bhanuprakash, V.; Hosamani, M.; Balamurugan, V.; Gandhale, P.; Naresh, R.; Swarup, D.; Singh, R.K. In vitro antiviral activity of plant extracts on goatpox virus replication. Indian J. Exp. Biol. 2008, 46, 120–127. [Google Scholar]
- Sharma, S.B.; Prabhu, A.N.K.M.; Murthy, P.S. Antihyperglycemic effect of the fruit-pulp of Eugenia jambolana in experimental diabetes mellitus. J. Ethonopharmacol. 2006, 104, 367–373. [Google Scholar] [CrossRef]
- Do Nascimento, S.N.R.R.; Bastos, R.P.; Da Silva, F.A. Jambolan (Syzygium cumini (L.) Skeels): A review on its nutrients, bioactive compounds and health benefits. J. Food Compos. Anal. 2022, 109, 104491. [Google Scholar] [CrossRef]
- Hepburn, J.S.; Eberhard, H.M.; Ricketts, R.; Rieger, C.L.W. Temperature of the gastrointestinal tracthe effect thereon of hot and cold foods and of physical therapeutic agents. Arch. Intern. Med. 1933, 52, 603–615. [Google Scholar] [CrossRef]
- Fernandes, I.; Faria, A.; De Freitas, V.; Calhau, C.; Mateus, N. Multiple-approach studies to assess anthocyanin bioavailability. Phytochem. Rev. 2015, 14, 899–919. [Google Scholar] [CrossRef]
- Crozier, A.; Jaganath, I.B.; Clifford, M.N. Dietary phenolics: Chemistry, bioavailability and effects on health. Nat. Prod. Rep. 2009, 26, 1001–1043. [Google Scholar] [CrossRef] [PubMed]
- Bouayed, J.; Hoffmann, L.; Bohn, T. Total phenolics, flavonoids, anthocyanins and antioxidant activity following simulated gastro-intestinal digestion and dialysis of apple varieties: Bioaccessibility and potential uptake. Food Chem. 2011, 128, 14–21. [Google Scholar] [CrossRef]
- Castañeda-Ovando, A.; Pacheco-Hernánde, M.D.L.; Páez-Hernández, M.E.; Rodríguez, J.A.; Galán-Vidal, C.A. Chemical studies of anthocyanins: A review. Food Chem. 2009, 113, 859–871. [Google Scholar] [CrossRef]
- Czank, C.; Cassidy, A.; Zhang, Q.; Morrison, D.J.; Preston, T.; Kroon, P.A.; Botting, N.P.; Kay, C.D. Human metabolism and elimination of the anthocyanin, cyanidin-3-glucoside: A 13 C-tracer study 1–3. Am. J. Clin. Nutr. 2013, 97, 995–1003. [Google Scholar] [CrossRef]
- Passamonti, S.; Vrhovsek, U.; Mattivi, F. The interaction of anthocyanins with bilitranslocase. Biochem. Biophys. Res. Commun. 2002, 296, 631–636. [Google Scholar] [CrossRef]
- Braga, A.R.C.; Murador, D.C.; De Souza, M.L.M.; De Rosso, V.V. Bioavailability of anthocyanins: Gaps in knowledge, challenges and future research. J. Food Compos. Anal. 2018, 68, 31–40. [Google Scholar] [CrossRef]
- Celli, G.B.; Brooks, M.S.L.; Ghanem, A. Development and evaluation of a novel alginate-based in situ gelling system to modulate the release of anthocyanins. Food Hydrocoll. 2016, 60, 500–508. [Google Scholar] [CrossRef]
- Celli, G.B.; Kalt, W.; Brooks, M.S.L. Gastroretentive systems—A proposed strategy to modulate anthocyanin release and absorption for the management of diabetes. Drug Deliv. 2016, 23, 1892–1901. [Google Scholar] [CrossRef] [PubMed][Green Version]
- Cheng, M.; Zhang, X.; Cao, J.; Zheng, X.; Zhang, Z. Caco-2 cell transport of purple sweet potato anthocyanins-phospholipids complex. J. Food Sci. Technol. 2018, 55, 304–312. [Google Scholar] [CrossRef] [PubMed]
- Do Carmo, E.L.; Teodoro, R.A.R.; Félix, P.H.C.; Fernandes, R.V.D.B.; de Oliveira, R.; Veiga, T.R.L.A.; Borges, S.; Botrel, D.A. Stability of spray-dried beetroot extract using oligosaccharides and whey proteins. Food Chem. 2018, 249, 51–59. [Google Scholar] [CrossRef] [PubMed]
- He, B.; Ge, J.; Yue, P.; Yue, X.; Fu, R.; Liang, J.; Gao, X. Loading of anthocyanins on chitosan nanoparticles influences anthocyanin degradation in gastrointestinal fluids and stability in a beverage. Food Chem. 2017, 221, 1671–1677. [Google Scholar] [CrossRef] [PubMed]
- Shen, Y.; Zhang, N.; Tian, J.; Xin, G.; Liu, L.; Sun, X.; Li, B. Advanced approaches for improving bioavailability and controlled release of anthocyanins. J. Control Release 2022, 341, 285–299. [Google Scholar] [CrossRef]
- Akhavan, M.S.; Jafari, S.M.; Assadpoor, E.D.D. Microencapsulation optimization of natural anthocyanins with maltodextrin, gum Arabic and gelatin. Int. J. Biol. Macromol. 2016, 85, 379–385. [Google Scholar] [CrossRef]
- Chatterjee, D.; Bhattacharjee, P. Encapsulation of colour from peels of eggplant in calcium alginate matrix. Nutrafoods 2015, 14, 87–96. [Google Scholar] [CrossRef]
- Calinescu, C.; Mulhbacher, J.; Nadeau, É.; Fairbrother, J.M.; Mateescu, M.A. Carboxymethyl high amylose starch (CM-HAS) as excipient for Escherichia coli oral formulations. Eur. J. Pharm. Biopharm. 2005, 60, 53–60. [Google Scholar] [CrossRef]
- Blemur, L.; Le, T.C.; Marcocci, L.; Pietrangeli, P.; Mateescu, M.A. Carboxymethyl starch/alginate microspheres containing diamine oxidase for intestinal targeting. Biotechnol. Appl. Biochem. 2016, 63, 344–353. [Google Scholar] [CrossRef]
- Friciu, M.M.; Le, T.C.; Ispas-Szabo, P.; Mateescu, M.A. Carboxymethyl starch and lecithin complex as matrix for targeted drug delivery: I. Monolithic Mesalamine forms for colon delivery. Eur. J. Pharm. Biopharm. 2013, 85, 521–530. [Google Scholar] [CrossRef]
- Assaad, E.; Wang, Y.J.; Zhu, X.X.; Mateescu, M.A. Polyelectrolyte complex of carboxymethyl starch and chitosan as drug carrier for oral administration. Carbohydr. Polym. 2011, 84, 1399–1407. [Google Scholar] [CrossRef]
- Assaad, E.; Mateescu, M.A. The influence of protonation ratio on properties of carboxymethyl starch excipient at various substitution degrees: Structural insights and drug release kinetics. Int. J. Pharm. 2010, 394, 75–84. [Google Scholar] [CrossRef] [PubMed]
- Pereira, J.V.A.; De Arruda, I.N.Q.; Stefan, R. Active chitosan/PVA fi lms with anthocyanins from Brassica oleraceae (Red Cabbage) as time e temperature indicators for application in intelligent food packaging. Food Hidrocoll. 2015, 43, 180–188. [Google Scholar] [CrossRef]
- Akhavan, M.S.; Jafari, S.M.; Assadpour, E.; Ghorbani, M. Storage stability of encapsulated barberry’s anthocyanin and its application in jelly formulation. J. Food Eng. 2016, 181, 59–66. [Google Scholar] [CrossRef]
- Ge, J.; Yue, P.; Chi, J.; Liang, J.; Gao, X. Formation and stability of anthocyanins-loaded nanocomplexes prepared with chitosan hydrochloride and carboxymethyl chitosan. Food Hydrocoll. 2018, 74, 23–31. [Google Scholar] [CrossRef]
- Limsitthichaikoon, S.; Saodaeng, K.; Priprem, A.; Damrongrungruang, T. Anthocyanin complex: Characterization and cytotoxicity studies. IJCME 2015, 9, 147–153. [Google Scholar]
- Da Silva, H.M.; Mageste, A.B.; Silva, S.J.B.S.; Ferreira, G.M.D.; Ferreira, G.M.D. Anthocyanin immobilization in carboxymethylcellulose/starch films: A sustainable sensor for the detection of Al(III) ions in aqueous matrices. Carbohydr. Polym. 2020, 230, 115679. [Google Scholar] [CrossRef]
- Escobar-Puentes, A.A.; García-Gurrol, A.; Rincón, S.; Zepeda, A.; Martínez-Bustos, F. Effect of amylose/amylopectin content and succinylation on properties of corn starch nanoparticles as encapsulants of anthocyanins. Carbohydr. Polym. 2020, 250, 116972. [Google Scholar] [CrossRef]
- Jaipal, A.; Pandey, M.M.; Charde, S.Y.; Raut, P.P.; Prasanth, K.V.; Prasad, R.G. Effect of HPMC and mannitol on drug release and bioadhesion behavior of buccal discs of buspirone hydrochloride: In-vitro and in-vivo pharmacokinetic studies. Saudi. Pharm. J. 2015, 23, 315–326. [Google Scholar] [CrossRef]
- Laborde, B.; Moine-Ledoux, V.; Richard, T.; Saucier, C.; Dubourdieu, D.; Monti, J.-P. PVPP-polyphenol complexes: A molecular approach. J. Agric. Food Chem. 2006, 54, 4383–4389. [Google Scholar] [CrossRef]
- McDougall, G.J.; Fyffe, S.; Dobson, P.; Stewart, D. Anthocyanins from red cabbage—Stability to simulated gastrointestinal digestion. Phytochemistry 2007, 68, 1285–1294. [Google Scholar] [CrossRef] [PubMed]
- De Moura, S.C.S.R.; Berling, C.L.; Garcia, A.O.; Queiroz, M.B.; Alvim, I.D.; Hubinger, M.D. Release of anthocyanins from the hibiscus extract encapsulated by ionic gelation and application of microparticles in jelly candy. Food Res. Int. 2019, 121, 542–552. [Google Scholar] [CrossRef] [PubMed]
- Fernandes, I.; Nave, F.; Gonçalves, R.; De Freitas, V.; Mateus, N. On the bioavailability of flavanols and anthocyanins: Flavanol-anthocyanin dimers. Food Chem. 2012, 135, 812–818. [Google Scholar] [CrossRef]
- Oidtmann, J.; Schantz, M.; Mäder, K.; Baum, M.; Berg, S.; Betz, M.; Kulozik, U.; Leick, S.; Rehage, H.; Schwarz, K.; et al. Preparation and comparative release characteristics of three anthocyanin encapsulation systems. J. Agric. Food Chem. 2012, 60, 844–851. [Google Scholar] [CrossRef] [PubMed]
- Betz, M.; Steiner, B.; Schantz, M.; Oidtmann, J.; Mäder, K.; Richling, E.; Kulozik, U. Antioxidant capacity of bilberry extract microencapsulated in whey protein hydrogels. Food Res. Int. 2012, 47, 51–57. [Google Scholar] [CrossRef]
- Glaessl, B.; Siepmann, F.; Tucker, I.; Rades, T.; Siepmann, J. Mathematical modeling of drug release from Eudragit RS-based delivery systems. J. Drug Deliv. Sci. Technol. 2010, 20, 127–133. [Google Scholar] [CrossRef]
- Sriamornsak, P.; Thirawong, N.; Korkerd, K. Swelling, erosion and release behavior of alginate-based matrix tablets. Eur. J. Pharm. Biopharm. 2007, 66, 435–450. [Google Scholar] [CrossRef]
- Prasad, R.M.R.; Shelar, S.U. Controlled release ion sensitive floating oral in situ gel of a prokinetic drug using gellan gum. Indian J. Pharm. Educ. Res. 2015, 49, 158–167. [Google Scholar] [CrossRef]
- Sharma, S.N.; Sonawane, R.S. Role of superdisintegrants in immediate release tablets: A review. J. Pharm. Biosci. 2017, 5, 1. [Google Scholar] [CrossRef]
- Desai, P.M.; Er, P.X.H.; Liew, C.V.; Heng, P.W.S. Functionality of disintegrants and their mixtures in enabling fast disintegration of tablets by a quality by design approach. AAPS PharmSciTech 2014, 15, 1093–1104. [Google Scholar] [CrossRef]
- Zhao, N.; Augsburger, L.L. The influence of product brand-to-brand variability on superdisintegrant performance a case study with croscarmellose sodium. Pharm. Dev. Technol. 2006, 11, 179–185. [Google Scholar] [CrossRef] [PubMed]
- McGhie, T.K.; Walton, M.C. The bioavailability and absorption of anthocyanins: Towards a better understanding. Mol. Nutr. Food Res. 2007, 51, 702–713. [Google Scholar] [CrossRef] [PubMed]
- Kurilich, A.C.; Clevidence, B.A.; Britz, S.J.; Simon, P.W.; Novotny, J.A. Plasma and urine responses are lower for acylated vs. nonacylated anthocyanins from raw and cooked purple carrots. J. Agric. Food Chem. 2005, 53, 6537–6542. [Google Scholar] [CrossRef] [PubMed]
- Pojer, E.; Mattivi, F.; Johnson, D.; Stockley, C.S. The case for anthocyanin consumption to promote human health: A review. Compr. Rev. Food Sci. Food Saf. 2013, 12, 483–508. [Google Scholar] [CrossRef]
- Sabino, L.B.S.; Filho, E.G.A.; Fernandes, F.A.N.; De Brito, E.S.; Júnior, I.J.S. Optimization of pressurized liquid extraction and ultrasound methods for recovery of anthocyanins present in jambolan fruit (Syzygium cumini L.). Food Bioprod. Process 2021, 127, 77–89. [Google Scholar] [CrossRef]
- US Pharmacopeia. US Pharmacopeia National Formulary U.S.P. XXIV, NF XIX; United States Pharmacopeial Convention Inc.: Rockville, MD, USA, 2000. [Google Scholar]
- Korsmeyer, R.W.; Gurn, Y.R.; Doelker, E.; Buri, P.; Peppas, N.A. Mechanisms of solute release from porous hydrophilic polymers. Int. J. Pharm. 1983, 15, 25–35. [Google Scholar] [CrossRef]
- Konan, K.V.; Le, T.C.; Mateescu, M.A. Electrolysis-induced fast activation of the ABTS reagent for an antioxidant capacity assay. Anal. Methods 2016, 8, 5638–5644. [Google Scholar] [CrossRef]











| Korsmeyer–Peppas Model | |||||
|---|---|---|---|---|---|
| Media | Samples | n | log (k) | R2 | Mechanism |
| F1 | 0.5 | 1.47 | 0.97 | Anomalous | |
| SGF | F2 | 0.75 | 1.44 | 0.95 | Anomalous |
| F3 | 0.90 | 1.50 | 0.97 | Anomalous | |
| F4 | 0.74 | 1.45 | 0.99 | Anomalous | |
| F1 | 0.51 | 1.47 | 0.96 | Anomalous | |
| SGF/SIF | F2 | 0.41 | 1.40 | 0.95 | Fickian diffusion |
| F3 | 0.80 | 1.50 | 0.97 | Anomalous | |
| F4 | 0.46 | 1.44 | 0.98 | Fickian diffusion | |
Publisher’s Note: MDPI stays neutral with regard to jurisdictional claims in published maps and institutional affiliations. |
© 2022 by the authors. Licensee MDPI, Basel, Switzerland. This article is an open access article distributed under the terms and conditions of the Creative Commons Attribution (CC BY) license (https://creativecommons.org/licenses/by/4.0/).
Share and Cite
De Sousa Sabino, L.B.; Copes, F.; Saulais, S.; De Brito, E.S.; Da Silva Júnior, I.J.; Le, T.C.; Mateescu, M.A.; Mantovani, D. Anthocyanins Formulated with Carboxymethyl Starch for Gastric and Intestinal Delivery. Molecules 2022, 27, 7271. https://doi.org/10.3390/molecules27217271
De Sousa Sabino LB, Copes F, Saulais S, De Brito ES, Da Silva Júnior IJ, Le TC, Mateescu MA, Mantovani D. Anthocyanins Formulated with Carboxymethyl Starch for Gastric and Intestinal Delivery. Molecules. 2022; 27(21):7271. https://doi.org/10.3390/molecules27217271
Chicago/Turabian StyleDe Sousa Sabino, Luiz Bruno, Francesco Copes, Solène Saulais, Edy Sousa De Brito, Ivanildo José Da Silva Júnior, Tien Canh Le, Mircea Alexandru Mateescu, and Diego Mantovani. 2022. "Anthocyanins Formulated with Carboxymethyl Starch for Gastric and Intestinal Delivery" Molecules 27, no. 21: 7271. https://doi.org/10.3390/molecules27217271
APA StyleDe Sousa Sabino, L. B., Copes, F., Saulais, S., De Brito, E. S., Da Silva Júnior, I. J., Le, T. C., Mateescu, M. A., & Mantovani, D. (2022). Anthocyanins Formulated with Carboxymethyl Starch for Gastric and Intestinal Delivery. Molecules, 27(21), 7271. https://doi.org/10.3390/molecules27217271

