Improved Adsorption of the Toxic Herbicide Diuron Using Activated Carbon Obtained from Residual Cassava Biomass (Manihot esculenta)
Abstract
1. Introduction
2. Results and Discussion
2.1. Characterization of Carbon-Based Precursor and Adsorbent Material
2.2. Equilibrium Isotherms
2.3. Thermodynamic Studies
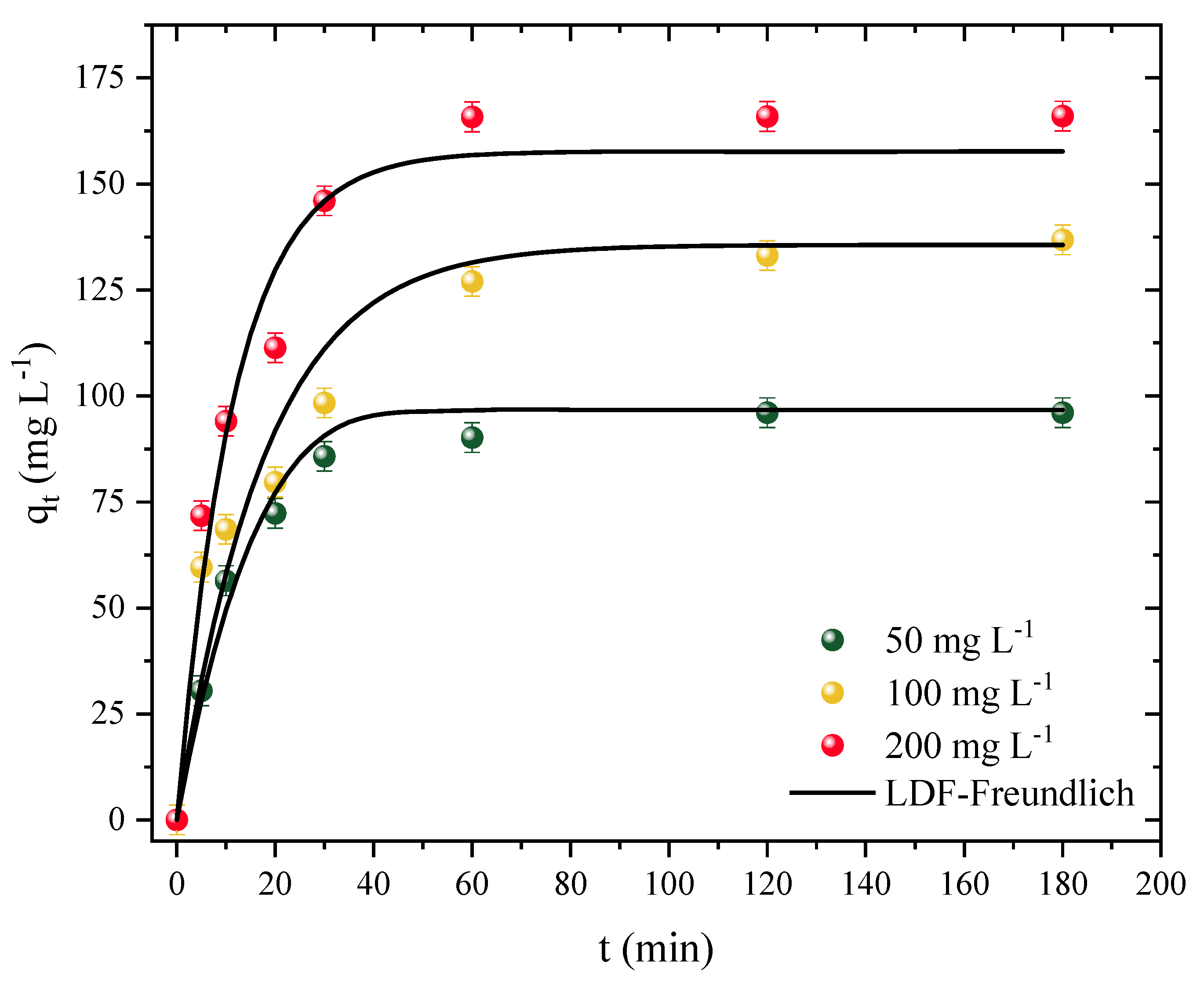
2.4. Diuron Adsorption Kinetics
2.5. Proposal of Adsorption Mechanism
2.6. Adsorption Efficiency against a Simulated Effluent
3. Materials and Methods
3.1. Utilized Chemicals and Reagents
3.2. Obtaining and Characterizing the Precursor Material and Activated Carbon
3.3. Diuron Adsorption Experiments
3.4. Equilibrium Models and Thermodynamic Parameters
3.5. Diuron Adsorption Kinetics
3.6. Model Fitting, Differential Equation Solution, and Model Quality Fit
3.7. Adsorption Performance in a Simulated Effluent Containing Diuron
4. Conclusions
Supplementary Materials
Author Contributions
Funding
Institutional Review Board Statement
Informed Consent Statement
Data Availability Statement
Conflicts of Interest
Sample Availability
References
- Rani, L.; Thapa, K.; Kanojia, N.; Sharma, N.; Singh, S.; Grewal, A.S.; Srivastav, A.L.; Kaushal, J. An extensive review on the consequences of chemical pesticides on human health and environment. J. Clean. Prod. 2021, 283, 124657. [Google Scholar] [CrossRef]
- Khalid, S.; Shahid, M.; Murtaza, B.; Bibi, I.; Natasha; Naeem, M.A.; Niazi, N.K. A critical review of different factors governing the fate of pesticides in soil under biochar application. Sci. Total Environ. 2020, 711, 134645. [Google Scholar] [CrossRef] [PubMed]
- Suzuki, D.; Shoji, R. Toxicological effects of chlorophenols to green algae observed at various pH and concentration of humic acid. J. Hazard. Mater. 2020, 400, 123079. [Google Scholar] [CrossRef] [PubMed]
- Yossa, L.M.N.; Ouiminga, S.K.; Sidibe, S.S.; Ouedraogo, I.W.K. Synthesis of a cleaner potassium hydroxide-activated carbon from baobab seeds hulls and investigation of adsorption mechanisms for Diuron: Chemical activation as alternative route for preparation of activated carbon from baobab seeds hulls and adsorption. Sci. Afr. 2020, 9, e00476. [Google Scholar] [CrossRef]
- Fact Sheets on the European Union, Chemicals and Pesticides. Articles 191 to 193 of the Treaty on the Functioning of the European Union (TFEU). Available online: https://www.europarl.europa.eu/factsheets/en/sheet/78/chemicals-and-pesticides (accessed on 26 September 2022).
- Ihlaseh-Catalano, S.M.; Bailey, K.A.; Cardoso, A.P.F.; Ren, H.; Fry, R.C.; de Camargo, J.L.V.; Wolf, D.C. Dose and temporal effects on gene expression profiles of urothelial cells from rats exposed to Diuron. Toxicology 2014, 325, 21–30. [Google Scholar] [CrossRef]
- Moretto, J.A.S.; Furlan, J.P.R.; Fernandes, A.F.T.; Bauermeister, A.; Lopes, N.P.; Stehling, E.G. Alternative biodegradation pathway of the herbicide diuron. Int. Biodeterior. Biodegrad. 2019, 143, 104716. [Google Scholar] [CrossRef]
- Tekin, Z.; Er, E.Ö.; Günkara, Ö.T.; Bakırdere, S. A novel determination method for Diuron in seaweed samples: Combination of quadruple isotope dilution strategy with liquid chromatography—quadrupole time of flight—tandem mass spectrometry for superior accuracy and precision. J. Chromatogr. A 2020, 1611, 460612. [Google Scholar] [CrossRef]
- Islam, M.T.; Hyder, A.G.; Saenz-Arana, R.; Hernandez, C.; Guinto, T.; Ahsan, M.A.; Alvarado-Tenorio, B.; Noveron, J.C. Removal of methylene blue and tetracycline from water using peanut shell derived adsorbent prepared by sulfuric acid reflux. J. Environ. Chem. Eng. 2019, 7, 102816. [Google Scholar] [CrossRef]
- Smith, A.E.; Aubin, A.J. Metabolites of [14C]-2,4-Dichlorophenoxyacetic Acid in Saskatchewan Soils. J. Agric. Food Chem. 1991, 39, 2019–2021. [Google Scholar] [CrossRef]
- el Imache, A.; Dousset, S.; Satrallah, A.; Dahchour, A. Effects of sewage sludge amendments on pesticide sorption and leaching through undisturbed Mediterranean soils. J. Environ. Sci. Health Part B 2012, 47, 161–167. [Google Scholar] [CrossRef]
- Dotto, G.L.; McKay, G. Current scenario and challenges in adsorption for water treatment. J. Environ. Chem. Eng. 2020, 8, 103988. [Google Scholar] [CrossRef]
- Franco, D.; Silva, L.F.O.; da Boit Martinello, K.; Diel, J.C.; Georgin, J.; Netto, M.S.; Pereira, H.A.; Lima, E.C.; Dotto, G.L. Transforming agricultural waste into adsorbent: Application of Fagopyrum esculentum wheat husks treated with H2SO4 to adsorption of the 2,4-D herbicide. J. Environ. Chem. Eng. 2021, 9, 106872. [Google Scholar] [CrossRef]
- Binh, Q.A.; Nguyen, H.H. Investigation the isotherm and kinetics of adsorption mechanism of herbicide 2,4-dichlorophenoxyacetic acid (2,4-D) on corn cob biochar. Bioresour. Technol. Rep. 2020, 11, 100520. [Google Scholar] [CrossRef]
- Hazrin, H.M.M.N.; Lim, A.; Li, C.; Chew, J.J.; Sunarso, J. Adsorption of 2,4-dichlorophenoxyacetic acid onto oil palm trunk-derived activated carbon: Isotherm and kinetic studies at acidic, ambient condition. Mater. Today Proc. 2021, 64, 1557–1562. [Google Scholar] [CrossRef]
- Cansado, I.P.P.; Mourão, P.A.M.; Gomes, J.A.F.L.; Almodôvar, V. Adsorption of MCPA, 2,4-D and Diuron onto activated carbons from wood composites. Ciênc. Tecnol. Mater. 2017, 29, e224–e228. [Google Scholar] [CrossRef]
- Lazarotto, J.S.; da Boit Martinello, K.; Georgin, J.; Franco, D.S.P.; Netto, M.S.; Piccilli, D.G.A.; Silva, L.F.O.; Lima, E.C.; Dotto, G.L. Preparation of activated carbon from the residues of the mushroom (Agaricus bisporus) production chain for the adsorption of the 2,4-dichlorophenoxyacetic herbicide. J. Environ. Chem. Eng. 2021, 9, 106843. [Google Scholar] [CrossRef]
- Dhaouadi, F.; Sellaoui, L.; Taamalli, S.; Louis, F.; El, A.; Badawi, M.; Georgin, J.; Franco, D.S.P.; Silva, L.F.O. Enhanced adsorption of ketoprofen and 2, 4-dichlorophenoxyactic acid on Physalis peruviana fruit residue functionalized with H2SO4: Adsorption properties and statistical physics modeling. Chem. Eng. J. 2022, 445, 136773. [Google Scholar] [CrossRef]
- Sbizzaro, M.; Sampaio, S.C.; dos Reis, R.R.; de Assis Beraldi, F.; Rosa, D.M.; de Freitas Maia, C.M.B.; de Carvalho Marques dos Santos Cordovil, C.S.; do Nascimento, C.T.; da Silva, E.A.; Borba, C.E. Effect of production temperature in biochar properties from bamboo culm and its influences on atrazine adsorption from aqueous systems. J. Mol. Liq. 2021, 343, 117667. [Google Scholar] [CrossRef]
- Hernandes, P.T.; Franco, D.S.P.; Georgin, J.; Salau, N.P.G.; Dotto, G.L. Investigation of biochar from Cedrella fissilis applied to the adsorption of atrazine herbicide from an aqueous medium. J. Environ. Chem. Eng. 2022, 10, 107408. [Google Scholar] [CrossRef]
- Lazarotto, J.S.; da Boit Martinello, K.; Georgin, J.; Franco, D.S.P.; Netto, M.S.; Piccilli, D.G.A.; Silva, L.F.O.; Lima, E.C.; Dotto, G.L. Application of araçá fruit husks (Psidium cattleianum) in the preparation of activated carbon with FeCl3 for atrazine herbicide adsorption. Chem. Eng. Res. Des. 2022, 180, 67–78. [Google Scholar] [CrossRef]
- Salomón, Y.L.; Georgin, J.; Franco, D.S.P.; Netto, M.S.; Piccilli, D.G.A.; Foletto, E.L.; Pinto, D.; Oliveira, M.L.S.; Dotto, G.L. Adsorption of atrazine herbicide from water by diospyros kaki fruit waste activated carbon. J. Mol. Liq. 2022, 347, 117990. [Google Scholar] [CrossRef]
- Cao, Y.; Jiang, S.; Zhang, Y.; Xu, J.; Qiu, L.; Wang, L. Investigation into adsorption characteristics and mechanism of Atrazine on nano-MgO modified fallen leaf biochar. J. Environ. Chem. Eng. 2021, 9, 105727. [Google Scholar] [CrossRef]
- Tchikuala, E.; Mourão, P.; Nabais, J. Valorisation of Natural Fibres from African Baobab Wastes by the Production of Activated Carbons for Adsorption of Diuron. Procedia Eng. 2017, 200, 399–407. [Google Scholar] [CrossRef]
- Zbair, M.; El Hadrami, A.; Bellarbi, A.; Monkade, M.; Zradba, A.; Brahmi, R. Herbicide diuron removal from aqueous solution by bottom ash: Kinetics, isotherm, and thermodynamic adsorption studies. J. Environ. Chem. Eng. 2020, 8, 103667. [Google Scholar] [CrossRef]
- Chen, G.C.; Shan, X.Q.; Pei, Z.G.; Wang, H.; Zheng, L.R.; Zhang, J.; Xie, Y.N. Adsorption of Diuron and dichlobenil on multiwalled carbon nanotubes as affected by lead. J. Hazard. Mater. 2011, 188, 156–163. [Google Scholar] [CrossRef]
- Sánchez, A.S.; Silva, Y.L.; Kalid, R.A.; Cohim, E.; Torres, E.A. Waste bio-refineries for the cassava starch industry: New trends and review of alternatives. Renew. Sustain. Energy Rev. 2017, 73, 1265–1275. [Google Scholar] [CrossRef]
- Schwantes, D.; Gonçalves, A.C.; Coelho, G.F.; Campagnolo, M.A.; Dragunski, D.C.; Tarley, C.R.T.; Miola, A.J.; Leismann, E.A.V. Chemical modifications of cassava peel as adsorbent material for metals ions from wastewater. J. Chem. 2016, 2016, 3694174. [Google Scholar] [CrossRef]
- Orororo, O.C.; Tonukari, N.J.; Avwioroko, O.J.; Ezedom, T. Effect of Supplementation of Animal Feed with Dried Cassava (Manihot esculenta) Peels, and Stems of Vernonia amygdalina and Pennisetum purpereum on Some Biochemical Parameters in Pigs Niger. Soc. Exp. Biol. 2014, 14, 177–183. [Google Scholar]
- Pongener, C.; Bhomick, P.C.; Supong, A.; Baruah, M.; Sinha, U.B.; Sinha, D. Adsorption of fluoride onto activated carbon synthesized from Manihot esculenta biomass—Equilibrium, kinetic and thermodynamic studies. J. Environ. Chem. Eng. 2018, 6, 2382–2389. [Google Scholar] [CrossRef]
- Beakou, B.H.; El Hassani, K.; Houssaini, M.A.; Belbahloul, M.; Oukani, E.; Anouar, A. Novel activated carbon from Manihot esculenta Crantz for removal of Methylene Blue. Sustain. Environ. Res. 2017, 27, 215–222. [Google Scholar] [CrossRef]
- Wu, J.; Yang, J.; Huang, G.; Xu, C.; Lin, B. Hydrothermal carbonization synthesis of cassava slag biochar with excellent adsorption performance for Rhodamine B. J. Clean. Prod. 2020, 251, 119717. [Google Scholar] [CrossRef]
- Luo, J.; Li, X.; Ge, C.; Müller, K.; Yu, H.; Deng, H.; Shaheen, S.M.; Tsang, D.C.W.; Bolan, N.S.; Rinklebe, J.; et al. Preparation of ammonium-modified Cassava waste-derived biochar and its evaluation for synergistic adsorption of ternary antibiotics from aqueous solution. J. Environ. Manag. 2021, 298, 113530. [Google Scholar] [CrossRef] [PubMed]
- Xie, X.; Xiong, H.; Zhang, Y.; Tong, Z.; Liao, A.; Qin, Z. Preparation magnetic cassava residue microspheres and its application for Cu(II) adsorption. J. Environ. Chem. Eng. 2017, 5, 2800–2806. [Google Scholar] [CrossRef]
- Moreno-Piraján, J.C.; Giraldo, L. Adsorption of copper from aqueous solution by activated carbons obtained by pyrolysis of cassava peel. J. Anal. Appl. Pyrolysis 2010, 87, 188–193. [Google Scholar] [CrossRef]
- Horsfall, M.; Abia, A.A.; Spiff, A.I. Kinetic studies on the adsorption of Cd2+, Cu2+ and Zn2+ ions from aqueous solutions by Cassava (Manihot sculenta Cranz) tuber bark waste. Bioresour. Technol. 2006, 97, 283–291. [Google Scholar] [CrossRef]
- Application, E. Interaction of Lead and Calcium with Biochar Produced from Cassava Waste: Perspectives for Agricultural and Environmental Application. J. Braz. Chem. Soc. 2022, 33, 1402–1413. [Google Scholar]
- Feng, D.; Yu, H.; Deng, H.; Li, F.; Ge, C. Adsorption Characteristics of Norfloxacin by Biochar Prepared by Cassava Dreg: Kinetics, Isotherms, and Thermodynamic Analysis. BioResources 2015, 10, 6751–6768. [Google Scholar] [CrossRef]
- Li, W.; Mo, W.; Kang, C.; Zhang, M.; Meng, M.; Chen, M. Adsorption of nitrate from aqueous solution onto modified Cassava (Manihot esculenta) straw. Ecol. Chem. Eng. 2012, 19, 629–638. [Google Scholar] [CrossRef]
- Navya, A.; Nandhini, S.; Sivamani, S.; Vasu, G.; Sivarajasekar, N.; Hosseini-Bandegharaei, A. Preparation and characterization of cassava stem biochar for mixed reactive dyes removal from simulated effluent. Desalination Water Treat. 2020, 189, 440–451. [Google Scholar] [CrossRef]
- Deng, H.; Li, Y.F.; Tao, S.Q.; Li, A.Y.; Li, Q.Y.; Hu, L.N. Efficient adsorption capability of banana and cassava biochar for malachite green: Removal process and mechanism exploration. Environ. Eng. Res. 2021, 27, 200575. [Google Scholar] [CrossRef]
- Georgin, J.; da Boit Martinello, K.; Franco, D.S.P.; Netto, M.S.; Piccilli, D.G.A.; Foletto, E.L.; Silva, L.F.O.; Dotto, G.L. Efficient removal of naproxen from aqueous solution by highly porous activated carbon produced from Grapetree (Plinia cauliflora) fruit peels. J. Environ. Chem. Eng. 2021, 9, 106820. [Google Scholar] [CrossRef]
- Kerkhoff, C.M.; da Boit Martinello, K.; Franco, D.S.P.; Netto, M.S.; Georgin, J.; Foletto, E.L.; Piccilli, D.G.A.; Silva, L.F.O.; Dotto, G.L. Adsorption of ketoprofen and paracetamol and treatment of a synthetic mixture by novel porous carbon derived from Butia capitata endocarp. J. Mol. Liq. 2021, 339, 117184. [Google Scholar] [CrossRef]
- Georgin, J.; Salomón, Y.L.D.O.; Franco, D.S.P.; Netto, M.S.; Piccilli, D.G.A.; Perondi, D.; Silva, L.F.O.; Foletto, E.L.; Dotto, G.L. Development of highly porous activated carbon from Jacaranda mimosifolia seed pods for remarkable removal of aqueous-phase ketoprofen. J. Environ. Chem. Eng. 2021, 9, 105676. [Google Scholar] [CrossRef]
- Salomón, Y.L.D.O.; Georgin, J.; Franco, D.S.P.; Netto, M.S.; Piccilli, D.G.A.; Foletto, E.L.; Oliveira, L.F.S.; Dotto, G.L. High-performance removal of 2,4-dichlorophenoxyacetic acid herbicide in water using activated carbon derived from Queen palm fruit endocarp (Syagrus romanzoffiana). J. Environ. Chem. Eng. 2021, 9, 104911. [Google Scholar] [CrossRef]
- Franco, D.S.P.; Georgin, J.; Netto, M.S.; Allasia, D.; Oliveira, M.L.S.; Foletto, E.L.; Dotto, G.L. Highly effective adsorption of synthetic phenol effluent by a novel activated carbon prepared from fruit wastes of the Ceiba speciosa forest species. J. Environ. Chem. Eng. 2021, 9, 105927. [Google Scholar] [CrossRef]
- de Oliveira, A.V.B.; Rizzato, T.M.; Barros, B.C.B.; Favaro, S.L.; Caetano, W.; Hioka, N.; Batistela, V.R. Physicochemical modifications of sugarcane and cassava agro-industrial wastes for applications as biosorbents. Bioresour. Technol. Rep. 2019, 7, 100294. [Google Scholar] [CrossRef]
- El-Hendawy, A.N.A. Variation in the FTIR spectra of a biomass under impregnation, carbonization and oxidation conditions. J. Anal. Appl. Pyrolysis 2006, 75, 159–166. [Google Scholar] [CrossRef]
- Boonamnuayvitaya, V.; Sae-Ung, S.; Tanthapanichakoon, W. Preparation of activated carbons from coffee residue for the adsorption of formaldehyde. Sep. Purif. Technol. 2005, 42, 159–168. [Google Scholar] [CrossRef]
- Niazi, L.; Lashanizadegan, A.; Sharififard, H. Chestnut oak shells activated carbon: Preparation, characterization and application for Cr (VI) removal from dilute aqueous solutions. J. Clean. Prod. 2018, 185, 554–561. [Google Scholar] [CrossRef]
- Niazi, N.K.; Bibi, I.; Shahid, M.; Ok, Y.S.; Shaheen, S.M.; Rinklebe, J.; Wang, H.; Murtaza, B.; Islam, E.; Nawaz, M.F.; et al. Arsenic removal by Japanese oak wood biochar in aqueous solutions and well water: Investigating arsenic fate using integrated spectroscopic and microscopic techniques. Sci. Total Environ. 2018, 621, 1642–1651. [Google Scholar] [CrossRef]
- Sen, T.K.; Afroze, S.; Ang, H.M. Equilibrium, kinetics and mechanism of removal of methylene blue from aqueous solution by adsorption onto pine cone biomass of Pinus radiata, Water. Air. Soil Pollut. 2011, 218, 499–515. [Google Scholar] [CrossRef]
- Hamed, M.M.; Ali, M.M.S.; Holiel, M. Preparation of activated carbon from doum stone and its application on adsorption of 60Co and 152+154Eu: Equilibrium, kinetic and thermodynamic studies. J. Environ. Radioact. 2016, 164, 113–124. [Google Scholar] [CrossRef] [PubMed]
- Nanda, S.; Mohanty, P.; Pant, K.K.; Naik, S.; Kozinski, J.A.; Dalai, A.K. Characterization of North American Lignocellulosic Biomass and Biochars in Terms of their Candidacy for Alternate Renewable Fuels. Bioenergy Res. 2013, 6, 663–677. [Google Scholar] [CrossRef]
- Sharma, R.; Sarswat, A.; Pittman, C.U.; Mohan, D. Cadmium and lead remediation using magnetic and non-magnetic sustainable biosorbents derived from Bauhinia purpurea pods. RSC Adv. 2017, 7, 8606–8624. [Google Scholar] [CrossRef]
- Vassilev, S.V.; Baxter, D.; Andersen, L.K.; Vassileva, C.G.; Morgan, T.J. An overview of the organic and inorganic phase composition of biomass. Fuel 2012, 94, 1–33. [Google Scholar] [CrossRef]
- Cheng, Y.T.; Lin, J.A.; Jhang, J.J.; Yen, G.C. Protocatechuic acid-mediated DJ-1/PARK7 activation followed by PI3K/mTOR signaling pathway activation as a novel mechanism for protection against ketoprofen-induced oxidative damage in the gastrointestinal mucosa. Free Radic. Biol. Med. 2019, 130, 35–47. [Google Scholar] [CrossRef]
- Georgin, J.; Dotto, G.L.; Mazutti, M.A.; Foletto, E.L. Preparation of activated carbon from peanut shell by conventional pyrolysis and microwave irradiation-pyrolysis to remove organic dyes from aqueous solutions. J. Environ. Chem. Eng. 2016, 4, 266–275. [Google Scholar] [CrossRef]
- Georgin, J.; Drumm, F.C.; Grassi, P.; Franco, D.; Allasia, D.; Dotto, G.L.; Caroline, F.; Patrícia, D.; Dison, G.; Guilherme, F.; et al. Potential of Araucaria angustifolia bark as adsorbent to remove Gentian Violet dye from aqueous effluents. Water Sci. Technol. 2018, 78, 1693–1703. [Google Scholar] [CrossRef]
- Babas, H.; Khachani, M.; Warad, I.; Ajebli, S.; Guessous, A.; Guenbour, A.; Safi, Z.; Berisha, A.; Bellaouchou, A.; Abdelkader, Z.; et al. Sofosbuvir adsorption onto activated carbon derived from argan shell residue: Optimization, kinetic, thermodynamic and theoretical approaches. J. Mol. Liq. 2022, 356, 119019. [Google Scholar] [CrossRef]
- Neolaka, Y.A.B.; Lawa, Y.; Naat, J.; Riwu, A.A.P.; Darmokoesoemo, H.; Widyaningrum, B.A.; Iqbal, M.; Kusuma, H.S. Indonesian Kesambi wood (Schleichera oleosa) activated with pyrolysis and H2SO4 combination methods to produce mesoporous activated carbon for Pb(II) adsorption from aqueous solution. Environ. Technol. Innov. 2021, 24, 101997. [Google Scholar] [CrossRef]
- Keily, S.; Silva, C.; Gomes, A.; Henrique, R.; Leite, D.L.; Maria, E.; Aroucha, M. Adsorção de corante azul reativo BF-5G utilizando casca de Manihot Esculenta Crantz Adsorption of BF-5G reactive blue dye using Manihot Esculenta Crantz. Rio de Janeiro 2022, 27, e13146. [Google Scholar]
- Sing, K.S.W. Reporting physisorption data for gas/solid systems with special reference to the determination of surface area and porosity (Recommendations 1984). Pure Appl. Chem. 1985, 57, 603–619. [Google Scholar] [CrossRef]
- Thommes, M.; Kaneko, K.; Neimark, A.V.; Olivier, J.P.; Rodriguez-Reinoso, F.; Rouquerol, J.; Sing, K.S.W. Physisorption of gases, with special reference to the evaluation of surface area and pore size distribution (IUPAC Technical Report). Pure Appl. Chem. 2015, 87, 1051–1069. [Google Scholar] [CrossRef]
- Paredes-Laverde, M.; Salamanca, M.; Diaz-Corrales, J.D.; Flórez, E.; Silva-Agredo, J.; Torres-Palma, R.A. Understanding the removal of an anionic dye in textile wastewaters by adsorption on ZnCl2activated carbons from rice and coffee husk wastes: A combined experimental and theoretical study. J. Environ. Chem. Eng. 2021, 9, 105685. [Google Scholar] [CrossRef]
- Jain, A.; Jayaraman, S.; Balasubramanian, R.; Srinivasan, M.P. Hydrothermal pre-treatment for mesoporous carbon synthesis: Enhancement of chemical activation. J. Mater. Chem. A 2014, 2, 520–528. [Google Scholar] [CrossRef]
- Silva, N.F.; Netto, M.S.; Silva, L.F.O.; Mallmann, E.S.; Lima, E.C.; Ferrari, V.; Dotto, G.L. Composite carbon materials from winery composted waste for the treatment of effluents contaminated with ketoprofen and 2-nitrophenol. J. Environ. Chem. Eng. 2021, 9, 105421. [Google Scholar] [CrossRef]
- al Bahri, M.; Calvo, L.; Gilarranz, M.A.; Rodriguez, J.J. Activated carbon from grape seeds upon chemical activation with phosphoric acid: Application to the adsorption of Diuron from water. Chem. Eng. J. 2012, 203, 348–356. [Google Scholar] [CrossRef]
- De Andrade, M.B.; Sestito Guerra, A.C.; Tonial Dos Santos, T.R.; Cusioli, L.F.; De Souza Antônio, R.; Bergamasco, R. Simplified synthesis of new GO-α-γ-Fe2O3-Sh adsorbent material composed of graphene oxide decorated with iron oxide nanoparticles applied for removing Diuron from aqueous medium. J. Environ. Chem. Eng. 2020, 8, 103903. [Google Scholar] [CrossRef]
- Lima, E.C.; Hosseini-Bandegharaei, A.; Moreno-Piraján, J.C.; Anastopoulos, I. A critical review of the estimation of the thermodynamic parameters on adsorption equilibria. Wrong use of equilibrium constant in the Van’t Hoof equation for calculation of thermodynamic parameters of adsorption. J. Mol. Liq. 2019, 273, 425–434. [Google Scholar] [CrossRef]
- Zbair, M.; Ainassaari, K.; El Assal, Z.; Ojala, S.; El Ouahedy, N.; Keiski, R.L.; Bensitel, M.; Brahmi, R. Steam activation of waste biomass: Highly microporous carbon, optimization of bisphenol A, and diuron adsorption by response surface methodology. Environ. Sci. Pollut. Res. 2018, 25, 35657–35671. [Google Scholar] [CrossRef]
- Wong, A.; de Oliveira, F.M.; Tarley, C.R.T.; Sotomayor, M.D.P.T. Study on the cross-linked molecularly imprinted poly(methacrylic acid) and poly(acrylic acid) towards selective adsorption of Diuron. React. Funct. Polym. 2016, 100, 26–36. [Google Scholar] [CrossRef]
- Deng, J.; Shao, Y.; Gao, N.; Deng, Y.; Tan, C.; Zhou, S.; Hu, X. Multiwalled carbon nanotubes as adsorbents for removal of herbicide diuron from aqueous solution. Chem. Eng. J. 2012, 193, 339–347. [Google Scholar] [CrossRef]
- Deokar, S.K.; Bajad, G.S.; Bhonde, P.; Vijayakumar, R.P.; Mandavgane, A.S. Adsorptive Removal of Diuron Herbicide on Carbon Nanotubes Synthesized from Plastic Waste. J. Polym. Environ. 2017, 25, 165–175. [Google Scholar] [CrossRef]
- Beltrán-Flores, E.; Torán, J.; Caminal, G.; Blánquez, P.; Sarrà, M. The removal of Diuron from agricultural wastewaters by Trametes versicolor immobilized on pinewood in simple channel reactors. Sci. Total Environ. 2020, 728, 138414. [Google Scholar] [CrossRef]
- de Souza, F.M.; Santos, O.A.A.d. Adsorption of Diuron from aqueous solution onto commercial organophilic clay: Kinetic, equilibrium and thermodynamic study. Environ. Technol. 2020, 41, 603–616. [Google Scholar] [CrossRef]
- Ali, I.; Al-Othman, Z.A.; Alwarthan, A. Synthesis of composite iron nano adsorbent and removal of ibuprofen drug residue from water. J. Mol. Liq. 2016, 219, 858–864. [Google Scholar] [CrossRef]
- al Bahri, M.; Calvo, L.; Lemus, J.; Gilarranz, M.A.; Palomar, J.; Rodriguez, J.J. Mechanistic understanding of the behavior of Diuron in the adsorption from water onto activated carbon. Chem. Eng. J. 2012, 198, 346–354. [Google Scholar] [CrossRef]
- Essandoh, M.; Wolgemuth, D.; Pittman, C.U.; Mohan, D.; Mlsna, T. Phenoxy herbicide removal from aqueous solutions using fast pyrolysis switchgrass biochar. Chemosphere 2017, 174, 49–57. [Google Scholar] [CrossRef]
- Worch, E. Adsorption technology in water treatment: Fundamentals, processes, and modeling. Adsorpt. Technol. Water Treat. 2012, 345. [Google Scholar] [CrossRef]
- Georgin, J.; Franco, D.S.P.; Netto, M.S.; Piccilli, D.G.A.; Foletto, E.L.; Dotto, G.L. Adsorption investigation of 2,4-D herbicide on acid-treated peanut (Arachis hypogaea) skins. Environ. Sci. Pollut. Res. 2021, 28, 36453–36463. [Google Scholar] [CrossRef]
- Fontecha-Cámara, M.A.; López-Ramón, M.V.; Pastrana-Martínez, L.M.; Moreno-Castilla, C. Kinetics of diuron and amitrole adsorption from aqueous solution on activated carbons. J. Hazard. Mater. 2008, 156, 472–477. [Google Scholar] [CrossRef] [PubMed]
- Benitez, F.J.; Acero, J.L.; Real, F.J.; Garcia, C. Removal of phenyl-urea herbicides in ultrapure water by ultrafiltration and nanofiltration processes. Water Res. 2009, 43, 267–276. [Google Scholar] [CrossRef] [PubMed]
- Freundlich, H. Über die Adsorption in Lösungen. Z. Für Phys. Chem. 1907, 57, 385–470. [Google Scholar] [CrossRef]
- Dubinin, M.M.; Astakhov, V.A.; Bering, B.P.; Gordeeva, V.A.; Dubinin, M.M.; Efimova, L.I.; Serpinskii, V.V. Development of concepts of the volume filling of micropores in the adsorption of gases and vapors by microporous adsorbents—Communication 4. Differential heats and entropies of adsorption. Bull. Acad. Sci. USSR Div. Chem. Sci. 1971, 20, 17–22. [Google Scholar] [CrossRef]
- Langmuir, I. The adsorption of gases on plane surfaces of glass, mica and platinum. J. Am. Chem. Soc. 1918, 40, 1361–1403. [Google Scholar] [CrossRef]
- Tran, H.N.; You, S.J.; Hosseini-Bandegharaei, A.; Chao, H.P. Mistakes and inconsistencies regarding adsorption of contaminants from aqueous solutions: A critical review. Water Res. 2017, 120, 88–116. [Google Scholar] [CrossRef]
- Glueckauf, E. Theory of chromatography. Part 10—Formulæ for diffusion into spheres and their application to chromatography. Trans. Faraday Soc. 1955, 51, 1540–1551. [Google Scholar] [CrossRef]







| Temperature (K) | ||||
|---|---|---|---|---|
| Model | 298 | 308 | 318 | 328 |
| Langmuir | ||||
| qmL (mg g−1) | 150.9 | 172.9 | 186.0 | 199.8 |
| KL (L mg−1) | 0.6685 | 0.8505 | 1.783 | 2.705 |
| R2 | 0.9593 | 0.9546 | 0.9540 | 0.9590 |
| R2adj | 0.9185 | 0.9091 | 0.9081 | 0.9180 |
| ARE (%) | 7.500 | 8.035 | 8.204 | 7.240 |
| MSR (mg g−1)2 | 229.9 | 342.8 | 413.7 | 431.1 |
| Freundlich | 298 | 308 | 318 | 328 |
| KF ((mg g−1)(mg L−1)−1/nF) | 91.5 | 106.3 | 118.0 | 129.5 |
| 1/nF (dimensionless) | 0.1133 | 0.1134 | 0.1135 | 0.1136 |
| R2 | 0.9834 | 0.9819 | 0.9851 | 0.9931 |
| R2adj | 0.9669 | 0.9638 | 0.9702 | 0.9863 |
| ARE (%) | 5.100 | 6.031 | 5.379 | 4.168 |
| MSR (mg g−1)2 | 93.49 | 136.7 | 134.3 | 72.09 |
| Dubinin–Radushkevich | 298 | 308 | 318 | 328 |
| qmDR (mg g−1) | 146.8 | 168.4 | 183.1 | 197.2 |
| Β × 107 (kJ2 mol−1) | 7.856 | 3.754 | 1.108 | 0.5686 |
| R2 | 0.9524 | 0.9467 | 0.9489 | 0.9540 |
| R2adj | 0.9048 | 0.8933 | 0.8978 | 0.9080 |
| ARE (%) | 7.689 | 8.207 | 8.304 | 7.359 |
| MSR (mg g−1)2 | 268.7 | 402.5 | 459.9 | 483.8 |
| Adsorbent | T (K) | C0 | Isotherm Model | qm (mg g−1) | Reference |
|---|---|---|---|---|---|
| CPAC | 328 | 50–200 | Freundlich | 222 | This work |
| AC from baobab seeds hulls | 303 | 5–20 | Langmuir | 65.7 | [4] |
| Bottom ash | 313 | 20 | Langmuir | 349.52 | [71] |
| Natural Fibers from Waste African Baobab | 298 | Langmuir | 400 | [24] | |
| Poly (methacrylic acid) PMMA | 298 | 100 | Langmuir | 14.58 | [72] |
| Poly (acrylic acid) PAA | 298 | 100 | Langmuir | 7.32 | [72] |
| Activated carbon | 318 | 13–38 | Langmuir | 485.11 | [68] |
| Graphene oxide decorated with iron oxide nanoparticles | 318 | 10 | Langmuir | 30.29 | [69] |
| Multiwalled carbon nanotubes | 298 | 1.13–9.07 | Langmuir | 48.60 | [73] |
| Carbon nanotubes synthesized from plastic waste | 303 | 5–25 | Hill | 40.37 | [74] |
| Trametes versicolor immobilized on pinewood | 298 | 0.05 | Langmuir | 0.610 | [75] |
| Commercial organophilic clay | 308 | 5–20 | Langmuir/Freundlich | 56.49 | [76] |
| Carbon nanotubes | 298 | Polanyi–Manes | 182 | [26] |
| T(K) | Ke × 10−7 | ΔG0 (kJ mol−1) | ΔH0 (kJ mol−1) | ΔS0 (kJ mol−1 K−1) |
|---|---|---|---|---|
| 298.1 | 1.911 | −41.52 | 11.47 | 0.0259 |
| 308.1 | 2.216 | −43.29 | ||
| 318.1 | 2.456 | −44.97 | ||
| 328.1 | 2.689 | −46.63 |
| Model | Diuron Concentration (mg L−1) | ||
|---|---|---|---|
| 50 | 100 | 200 | |
| LDF-Freundlich | |||
| qpred (mg g−1) | 96.74 | 135.6 | 157.7 |
| kLDF × 103 (s−1) | 0.7486 | 0.8105 | 1.357 |
| DS × 108 (cm2 s−1) | 0.7798 | 0.8443 | 1.414 |
| R2 | 0.9833 | 0.9529 | 0.9654 |
| ARE (%) | 6.003 | 14.548 | 9.077 |
| MSE (mg g−1)2 | 20.37 | 165.7 | 119.9 |
| qexp (mg g−1) | 96.05 | 136.8 | 166.0 |
Publisher’s Note: MDPI stays neutral with regard to jurisdictional claims in published maps and institutional affiliations. |
© 2022 by the authors. Licensee MDPI, Basel, Switzerland. This article is an open access article distributed under the terms and conditions of the Creative Commons Attribution (CC BY) license (https://creativecommons.org/licenses/by/4.0/).
Share and Cite
Georgin, J.; Pinto, D.; Franco, D.S.P.; Schadeck Netto, M.; Lazarotto, J.S.; Allasia, D.G.; Tassi, R.; Silva, L.F.O.; Dotto, G.L. Improved Adsorption of the Toxic Herbicide Diuron Using Activated Carbon Obtained from Residual Cassava Biomass (Manihot esculenta). Molecules 2022, 27, 7574. https://doi.org/10.3390/molecules27217574
Georgin J, Pinto D, Franco DSP, Schadeck Netto M, Lazarotto JS, Allasia DG, Tassi R, Silva LFO, Dotto GL. Improved Adsorption of the Toxic Herbicide Diuron Using Activated Carbon Obtained from Residual Cassava Biomass (Manihot esculenta). Molecules. 2022; 27(21):7574. https://doi.org/10.3390/molecules27217574
Chicago/Turabian StyleGeorgin, Jordana, Diana Pinto, Dison S. P. Franco, Matias Schadeck Netto, Joseane S. Lazarotto, Daniel G. Allasia, Rutineia Tassi, Luis F. O. Silva, and Guilherme L. Dotto. 2022. "Improved Adsorption of the Toxic Herbicide Diuron Using Activated Carbon Obtained from Residual Cassava Biomass (Manihot esculenta)" Molecules 27, no. 21: 7574. https://doi.org/10.3390/molecules27217574
APA StyleGeorgin, J., Pinto, D., Franco, D. S. P., Schadeck Netto, M., Lazarotto, J. S., Allasia, D. G., Tassi, R., Silva, L. F. O., & Dotto, G. L. (2022). Improved Adsorption of the Toxic Herbicide Diuron Using Activated Carbon Obtained from Residual Cassava Biomass (Manihot esculenta). Molecules, 27(21), 7574. https://doi.org/10.3390/molecules27217574

