Novel Uracil-Based Inhibitors of Acetylcholinesterase with Potency for Treating Memory Impairment in an Animal Model of Alzheimer’s Disease
Abstract
1. Introduction
2. Results and Discussion
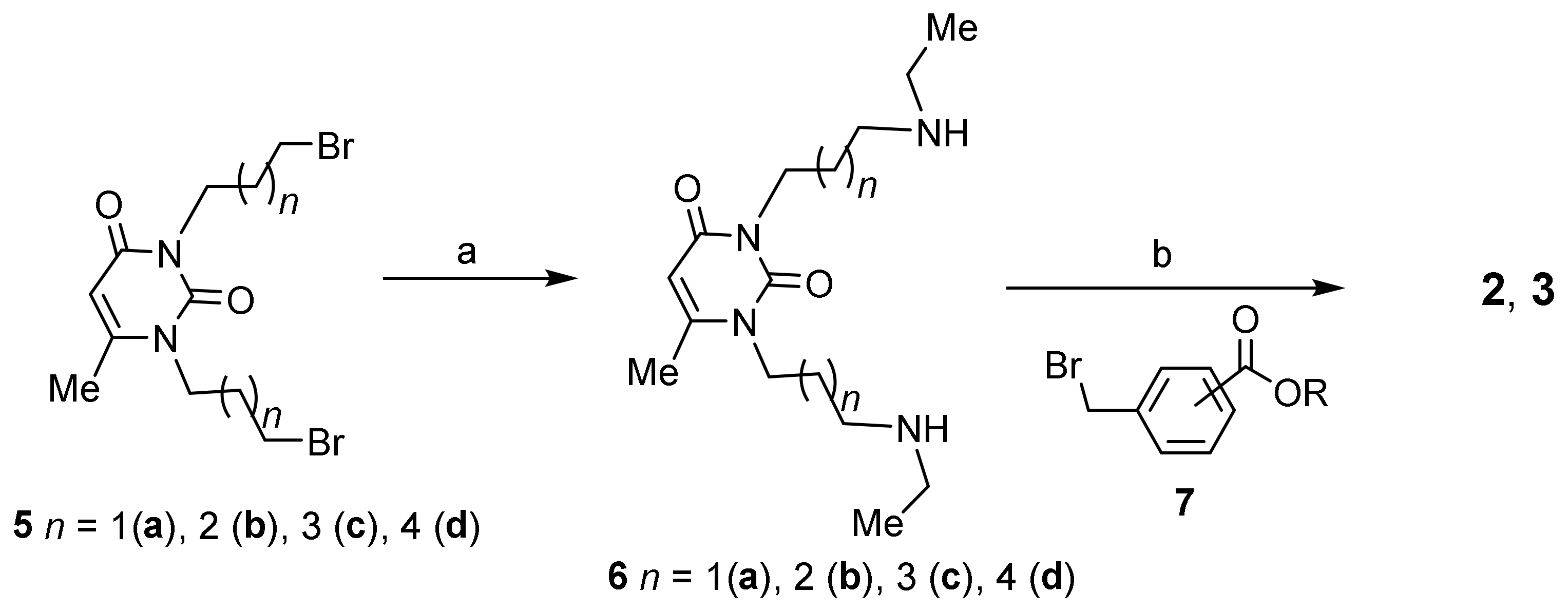
2.1. Synthesis of 1,3-Bis[ω-(benzylethylamino)alkyl]uracils with Benzoate Moieties
2.2. Inhibitory Activity towards Cholinesterases and Acute Toxicity of 6-Methyluracils and Quinazoline-2,4-diones
2.3. Molecular Docking Study of Lead Compound
2.4. In Vivo Biological Assays
3. Experimental Section
3.1. Chemistry
3.1.1. General Methods
3.1.2. Synthesis of Cholinesterase Inhibitors, 1,3-Bis[ω-(benzylethylamino)alkyl]-6-methyl Uracils and Quinazoline-2,4-Diones with Methyl Benzoate Moieties
3.1.3. Conversion of 6-Methyl Derivatives with Methyl Benzoate Moieties in Salt and Acid Forms
3.2. Molecular Modeling
3.3. Biological Studies
3.3.1. In Vitro Cholinesterase Inhibition Assay
3.3.2. Analysis of Compound 2c Stability in the Presence of AChE
3.3.3. Acute Toxicity Evaluation and Brain AChE Inhibition Assay
3.3.4. Animals and Treatments
Scopolamine Mouse Model
Transgenic Mouse Model
Memory Performance Study
Aβ Plaques Quantification
Statistical Analysis
4. Conclusions
Supplementary Materials
Author Contributions
Funding
Institutional Review Board Statement
Informed Consent Statement
Data Availability Statement
Acknowledgments
Conflicts of Interest
Sample Availability
References
- Scheltens, P.; De Strooper, B.; Kivipelto, M.; Holstege, H.; Chételat, G.; Teunissen, C.E.; Cummings, J.; van der Flier, W.M. Alzheimer’s Disease. Lancet 2021, 397, 1577–1590. [Google Scholar] [CrossRef]
- Jellinger, K.A. View of Neuropathology of the Alzheimer’s Continuum: An Update. Available online: https://www.uni-muenster.de/Ejournals/index.php/fnp/article/view/3050/3041 (accessed on 12 October 2022).
- Moreta, M.P.G.; Burgos-Alonso, N.; Torrecilla, M.; Marco-Contelles, J.; Bruzos-Cidón, C. Efficacy of Acetylcholinesterase Inhibitors on Cognitive Function in Alzheimer’s Disease. Review of Reviews. Biomedicines 2021, 9, 1689. [Google Scholar] [CrossRef]
- Davies, P.; Maloney, A.J.F. Selective Loss of Central Cholinergic Neurons in Alzheimer’s Disease. Lancet 1976, 2, 1403. [Google Scholar] [CrossRef]
- Perry, E.K.; Perry, R.H.; Blessed, G.; Tomlinson, B.E. Necropsy Evidence of Central Cholinergic Deficits in Senile Dementia. Lancet 1977, 1, 189. [Google Scholar] [CrossRef]
- Birks, J. Cholinesterase Inhibitors for Alzheimer’s Disease. Cochrane Database Syst. Rev. 2006, 2006, CD005593. [Google Scholar] [CrossRef]
- Lane, R.M.; Darreh-Shori, T. Understanding the Beneficial and Detrimental Effects of Donepezil and Rivastigmine to Improve Their Therapeutic Value. J. Alzheimer’s Dis. JAD 2015, 44, 1039–1062. [Google Scholar] [CrossRef]
- Cummings, J.; Lee, G.; Ritter, A.; Sabbagh, M.; Zhong, K. Alzheimer’s Disease Drug Development Pipeline: 2020. Alzheimer’s Dement. 2020, 6, e12050. [Google Scholar] [CrossRef]
- Sevigny, J.; Chiao, P.; Bussière, T.; Weinreb, P.H.; Williams, L.; Maier, M.; Dunstan, R.; Salloway, S.; Chen, T.; Ling, Y.; et al. The Antibody Aducanumab Reduces Aβ Plaques in Alzheimer’s Disease. Nature 2016, 537, 50–56. [Google Scholar] [CrossRef]
- Reyes, A.E.; Chacón, M.A.; Dinamarca, M.C.; Cerpa, W.; Morgan, C.; Inestrosa, N.C. Acetylcholinesterase-Abeta Complexes Are More Toxic than Abeta Fibrils in Rat Hippocampus: Effect on Rat Beta-Amyloid Aggregation, Laminin Expression, Reactive Astrocytosis, and Neuronal Cell Loss. Am. J. Pathol. 2004, 164, 2163–2174. [Google Scholar] [CrossRef]
- Inestrosa, N.C.; Alvarez, A.; Pérez, C.A.; Moreno, R.D.; Vicente, M.; Linker, C.; Casanueva, O.I.; Soto, C.; Garrido, J. Acetylcholinesterase Accelerates Assembly of Amyloid-Beta-Peptides into Alzheimer’s Fibrils: Possible Role of the Peripheral Site of the Enzyme. Neuron 1996, 16, 881–891. [Google Scholar] [CrossRef]
- Semenov, V.E.; Zueva, I.V.; Mukhamedyarov, M.A.; Lushchekina, S.V.; Kharlamova, A.D.; Petukhova, E.O.; Mikhailov, A.S.; Podyachev, S.N.; Saifina, L.F.; Petrov, K.A.; et al. 6-Methyluracil derivatives as bifunctional acetylcholinesterase inhibitors for the treatment of Alzheimer’s disease. ChemMedChem 2015, 10, 1863–1874. [Google Scholar] [CrossRef]
- Zueva, I.; Dias, J.; Lushchekina, S.; Semenov, V.; Mukhamedyarov, M.; Pashirova, T.; Babaev, V.; Nachon, F.; Petrova, N.; Nurullin, L.; et al. New Evidence for Dual Binding Site Inhibitors of Acetylcholinesterase as Improved Drugs for Treatment of Alzheimer’s Disease. Neuropharmacology 2019, 155, 131–141. [Google Scholar] [CrossRef]
- Semenov, V.E.; Zueva, I.V.; Mukhamedyarov, M.A.; Lushchekina, S.V.; Petukhova, E.O.; Gubaidullina, L.M.; Krylova, E.S.; Saifina, L.F.; Lenina, O.A.; Petrov, K.A. Novel Acetylcholinesterase Inhibitors Based on Uracil Moiety for Possible Treatment of Alzheimer Disease. Molecules 2020, 25, 4191. [Google Scholar] [CrossRef] [PubMed]
- Ellman, G.L.; Courtney, K.D.; Andres, V.; Featherstone, R.M. A New and Rapid Colorimetric Determination of Acetylcholinesterase Activity. Biochem. Pharmacol. 1961, 7, 88–95. [Google Scholar] [CrossRef]
- Chemaxon. Available online: https://chemaxon.com/ (accessed on 13 October 2022).
- Pan, X.; Wang, H.; Li, C.; Zhang, J.Z.H.; Ji, C. MolGpka: A Web Server for Small Molecule p Ka Prediction Using a Graph-Convolutional Neural Network. J. Chem. Inf. Model. 2021, 61, 3159–3165. [Google Scholar] [CrossRef] [PubMed]
- MolGpKa. Available online: https://xundrug.cn/molgpka (accessed on 13 October 2022).
- Zhang, Y.; Kua, J.; McCammon, J.A. Role of the catalytic triad and oxyanion hole in acetylcholinesterase catalysis: An ab initio QM/MM study. J. Am. Chem. Soc. 2002, 124, 10572–10577. [Google Scholar] [CrossRef]
- Nemukhin, A.V.; Lushchekina, S.V.; Bochenkova, A.V.; Golubeva, A.A.; Varfolomeev, S.D. Characterization of a complete cycle of acetylcholinesterase catalysis by ab initio QM/MM modeling. J. Mol. Model. 2008, 14, 409–416. [Google Scholar] [CrossRef]
- Schmidt, M.W.; Baldridge, K.K.; Boatz, J.A.; Elbert, S.T.; Gordon, M.S.; Jensen, J.H.; Koseki, S.; Matsunaga, N.; Nguyen, K.A.; Su, S.; et al. General Atomic and Molecular Electronic Structure System. J. Comput. Chem. 1993, 14, 1347–1363. [Google Scholar] [CrossRef]
- Cheung, J.; Rudolph, M.J.; Burshteyn, F.; Cassidy, M.S.; Gary, E.N.; Love, J.; Franklin, M.C.; Height, J.J. Structures of Human Acetylcholinesterase in Complex with Pharmacologically Important Ligands. J. Med. Chem. 2012, 55, 10282–10286. [Google Scholar] [CrossRef]
- Morris, G.; Goodsell, D.; Halliday, R.S.; Huey, R.; Hart, W.; Belew, R.; Olson, A. Automated Docking Using a Lamarckian Genetic Algorithm and an Empirical Binding Free Energy Function. J. Comput. Chem. 1998, 19, 1639–1662. [Google Scholar] [CrossRef]
- Morris, G.M.; Ruth, H.; Lindstrom, W.; Sanner, M.F.; Belew, R.K.; Goodsell, D.S.; Olson, A.J. AutoDock4 and AutoDockTools4: Automated Docking with Selective Receptor Flexibility. J. Comput. Chem. 2009, 30, 2785–2791. [Google Scholar] [CrossRef] [PubMed]
- Cornish Bowden, A. A Simple Graphical Method for Determining the Inhibition Constants of Mixed, Uncompetitive and Non-Competitive Inhibitors (Short Communication). Biochem. J. 1974, 137, 143. [Google Scholar] [CrossRef]
- Weiss, E.S.; Statistician, F.A.P.H.A. An Abridged Table of Probits for Use in the Graphic Solution of the Dosage—Effect Curve. Am. J. Public Health Nations Health 1948, 38, 22. [Google Scholar] [CrossRef] [PubMed]
- Dingova, D.; Leroy, J.; Check, A.; Garaj, V.; Krejci, E.; Hrabovska, A. Optimal detection of cholinesterase activity in biological samples: Modifications to the standard Ellman’s assay. Anal. Biochem. 2014, 462, 67–75. [Google Scholar] [CrossRef] [PubMed]
- Sacks, D.; Baxter, B.; Campbell, B.C.V.; Carpenter, J.S.; Cognard, C.; Dippel, D.; Eesa, M.; Fischer, U.; Hausegger, K.; Hirsch, J.A.; et al. Multisociety Consensus Quality Improvement Revised Consensus Statement for Endovascular Therapy of Acute Ischemic Stroke. Int. J. Stroke Off. J. Int. Stroke Soc. 2018, 13, 612–632. [Google Scholar] [CrossRef] [PubMed]
- Smith, G. Animal Models of Alzheimer’s Disease: Experimental Cholinergic Denervation. Brain Res. 1988, 472, 103–118. [Google Scholar] [CrossRef]
- Querfurth, H.W.; LaFerla, F.M. Alzheimer’s Disease. N. Engl. J. Med. 2010, 362, 329–344. [Google Scholar] [CrossRef]
- Savonenko, A.; Xu, G.M.; Melnikova, T.; Morton, J.L.; Gonzales, V.; Wong, M.P.F.; Price, D.L.; Tang, F.; Markowska, A.L.; Borchelt, D.R. Episodic-like Memory Deficits in the APPswe/PS1dE9 Mouse Model of Alzheimer’s Disease: Relationships to Beta-Amyloid Deposition and Neurotransmitter Abnormalities. Neurobiol. Dis. 2005, 18, 602–617. [Google Scholar] [CrossRef]
- Deacon, R.M.J.; Rawlins, J.N.P. T-Maze Alternation in the Rodent. Nat. Protoc. 2006, 1, 7–12. [Google Scholar] [CrossRef]
- Corcoran, K.A.; Lu, Y.; Turner, R.S.; Maren, S. Overexpression of HAPPswe Impairs Rewarded Alternation and Contextual Fear Conditioning in a Transgenic Mouse Model of Alzheimer’s Disease. Learn. Mem. 2002, 9, 243–252. [Google Scholar] [CrossRef]










![]() | ||||
|---|---|---|---|---|
| Compound | IC50 [nM] [1] | AChE Selectivity [2] | LD50, mg/kg [3,5] | |
| AChE | BChE | |||
| 1a[4] | 3.5 ± 0.3 | 35,000 ± 500 | 10,000 | 51 |
| 1b[4] | 5.6 ± 0.7 | 20,000 ± 2000 | 35,714 | 49 |
| 1c[4] | 7.3 ± 0.6 | 100,000 ± 12,000 | 14,286 | 138 |
| 2a | 210,000 ± 40,000 | 16,000 ± 600 | 0.08 | 170.5 |
| 2b | 27 ± 3 | 19,500 ± 7100 | 722 | 120.5 |
| 2c | 0.29 ± 0.1 | 10,000 ± 1000 | 34,483 | 147 |
| 2d | 4.7 ± 0.17 | 1340 ± 330 | 285 | 47.5 |
| 2e | 13 ± 1 | ≈2.1 ± 0.5 × 107 | 1.6 × 106 | 170 |
| 9 (2c 2HBr) | 298 ± 60 | 3450 ± 780 | 12 | 96 |
| 3a | 3300 ± 580 | 128,000 ± 4000 | 39 | 51 |
| 3b | 768 ± 80 | 273,000 ± 50,000 | 355.5 | 188 |
| 3c | 27 ± 7 | 59,900 ± 6900 | 2218 | 87 |
| 3d | 4.6 ± 0.4 | >1 × 108 | >2.2 × 107 | 168 |
| 4a | 460 ± 95 | 3160 ± 390 | 7 | 120.5 |
| 4b | 290 ± 42 | 2380 ± 490 | 8.2 | 93 |
| Donepezil | 11.3 ± 0.1 | 5260 ± 270 | 465.5 | 5 |
Publisher’s Note: MDPI stays neutral with regard to jurisdictional claims in published maps and institutional affiliations. |
© 2022 by the authors. Licensee MDPI, Basel, Switzerland. This article is an open access article distributed under the terms and conditions of the Creative Commons Attribution (CC BY) license (https://creativecommons.org/licenses/by/4.0/).
Share and Cite
Semenov, V.E.; Zueva, I.V.; Lushchekina, S.V.; Suleimanov, E.G.; Gubaidullina, L.M.; Shulaeva, M.M.; Lenina, O.A.; Petrov, K.A. Novel Uracil-Based Inhibitors of Acetylcholinesterase with Potency for Treating Memory Impairment in an Animal Model of Alzheimer’s Disease. Molecules 2022, 27, 7855. https://doi.org/10.3390/molecules27227855
Semenov VE, Zueva IV, Lushchekina SV, Suleimanov EG, Gubaidullina LM, Shulaeva MM, Lenina OA, Petrov KA. Novel Uracil-Based Inhibitors of Acetylcholinesterase with Potency for Treating Memory Impairment in an Animal Model of Alzheimer’s Disease. Molecules. 2022; 27(22):7855. https://doi.org/10.3390/molecules27227855
Chicago/Turabian StyleSemenov, Vyacheslav E., Irina V. Zueva, Sofya V. Lushchekina, Eduard G. Suleimanov, Liliya M. Gubaidullina, Marina M. Shulaeva, Oksana A. Lenina, and Konstantin A. Petrov. 2022. "Novel Uracil-Based Inhibitors of Acetylcholinesterase with Potency for Treating Memory Impairment in an Animal Model of Alzheimer’s Disease" Molecules 27, no. 22: 7855. https://doi.org/10.3390/molecules27227855
APA StyleSemenov, V. E., Zueva, I. V., Lushchekina, S. V., Suleimanov, E. G., Gubaidullina, L. M., Shulaeva, M. M., Lenina, O. A., & Petrov, K. A. (2022). Novel Uracil-Based Inhibitors of Acetylcholinesterase with Potency for Treating Memory Impairment in an Animal Model of Alzheimer’s Disease. Molecules, 27(22), 7855. https://doi.org/10.3390/molecules27227855


