Abstract
Cyclic and polyphosphazenes are extremely interesting and versatile substrates characterized by the presence of -P=N- repeating units. The chlorine atoms on the P atoms in the starting materials can be easily substituted with a variety of organic substituents, thus giving rise to a huge number of new materials for industrial applications. Their properties can be designed considering the number of repetitive units and the nature of the substituent groups, opening up to a number of peculiar properties, including the ability to give rise to supramolecular arrangements. We focused our attention on the extensive scientific literature concerning their biomedical applications: as antimicrobial agents in drug delivery, as immunoadjuvants in tissue engineering, in innovative anticancer therapies, and treatments for cardiovascular diseases. The promising perspectives for their biomedical use rise from the opportunity to combine the benefits of the inorganic backbone and the wide variety of organic side groups that can lead to the formation of nanoparticles, polymersomes, or scaffolds for cell proliferation. In this review, some aspects of the preparation of phosphazene-based systems and their characterization, together with some of the most relevant chemical strategies to obtain biomaterials, have been described.
1. Introduction
Phosphazenes are interesting and versatile chemical substrates characterized by the presence of -P=N- repeating units giving rise to low-molecular-weight cyclic structures with three or four units up to polymers containing thousands of -P=N- moieties, where the P atom in the starting material (i.e., hexachlorocyclotriphosphazene, HCCP) bears two chlorine atoms [1].
The chemistry and the properties of phosphazenes, in view of industrial applications, have been reviewed in a series of books [2,3] and articles [4] stemming from papers published in 1964–1965, when Allcock and coworkers [5,6,7] first reported the synthesis of linear poly(organophosphazenes) (POPs) through the thermal-induced ring-opening of the HCCP and the subsequent substitution of the chlorine atoms with suitable organic groups to achieve a wide variety of new derivatives (Scheme 1 and Scheme 2).
Scheme 1.
From hexachlorocyclotriphosphazene (HCCP) to polyphosphazenes (POPs).
Scheme 2.
From HCCP and polydichlorocyclophosphazene (PolyDCCP) to a wide variety of derivatives by nucleophilic substitution.
The scientific and applicative interest for phosphazenes arises from the relatively easy substitution of the chlorine atoms with an enormous variety of substituents, thus giving rise to an extremely wide number of new materials whose properties can be designed, in principle, based on the nature of the substituents in addition to the specific characteristics of the -P=N- backbone. Phosphorus is one of the most important elements preventing the combustion of organic materials, with a synergistic effect of nitrogen. Thus, not only is the -P=N- backbone nonflammable but it also quenches the combustion of other compounds in contact with it, likely due to both the interruption of the free radical processes and the formation of an intumescent barrier to the oxygen entrance [8,9]. Furthermore, the nature of the P-N bond guarantees an extremely low torsion barrier of the backbone, thus showing glass transition temperatures of some polyphosphazenes in the −100 °C region [10,11].
It is noteworthy that a lot of patents have been deposited over time based on phosphazenes, exhibiting specific properties of industrial interest. The most intriguing properties, which can be modulated on the bases of the molecular weight, structure, nature, and combination of substituents, range from the thermal resistance of the polymers, the tuneable low-glass-transition temperature, the hydrophilic/hydrophobic behavior and the water/solvent solubility to the compatibility with inorganic materials, owing to the possibility to introduce organosilicon moieties as substituents [11], and the formation of aerogels with various densities by the crosslinking of cyclotriphosphazenes and polysiloxanes [12].
Cyclophosphazenes have been proposed as hydraulic fluids, lubricant stabilizers and additives, in particular with trifluoromethylphenoxy substituents [3], as substrates for supramolecular assemblies [13,14,15], and as supports for metal catalysts, either through metal coordination by the nitrogen atoms of the backbone or through the presence of ligands as substituents [11,16,17].
Upon the polymerization and substitution of the reactive chlorine atoms, they give rise to a wide variety of new polyphosphazenes, containing from 100 to 15,000 or more repeating units (with molecular weights ranging from 2 to 10 × 106 Da) with an unusually broad range of useful properties. Polyphosphazenes with elastomeric [18,19], optical [20], proton-conducting [21], electrochemical [22], and fire-resistant [23] properties have been investigated and applied in the development of membranes [24], fuel cells [25], and hybrid materials [12]. New elastomeric inorganic silicon-based compounds, and specifically fire-resistant elastomers and plastics, have been studied for military purposes [26,27].
Due to the huge number of phosphazene applications, we decided to delimit the topics of this review, focusing our attention on the intriguing results of the investigations on phosphazene systems in the biomedical field. Thus, we gathered the scientific literature published after the books edited by Andrianov in 2009 [15] and by Teasdale [28] with the aim to collect the most fascinating aspects of the chemistry of these materials based on their synthetic versatility. The patents in the field have not been considered.
2. Synthesis and Characterizations
2.1. The Syntheses and the Architectures
Cyclic phosphazenes [NPCl2]n, with n < 20, are classically prepared by reaction of PCl5 with NH4Cl in a high-boiling chlorinated solvent (i.e., tetrachloroethane, 132–145 °C, 6–20 h) followed by the rapid distillation of the solvent, separation from the rubber-forming higher polymers, a final fractionation of the trimeric and tetrameric compounds, which are the major products, and purification through recrystallization and sublimation [29,30]. The effects of different reaction conditions have been investigated, even if the reaction mechanism remains difficult to interpret. Reasonably, the reaction proceeds through the formation of NH4PCl6, which decomposes to NH=PCl3, which then polymerizes with the elimination of HCl or reacts with PCl5 [31].
NH4Cl + PCl5 → NHPCl6 → NH=PCl3 → (NPCl2)n
As summarized in Figure 1, different frameworks can be achieved based on the -P=N- backbone: cyclic structures, linear polymers, copolymers [11,15,32,33,34,35] (regular or random diblock or triblock copolymers), combs, stars with or without a cyclophosphazene core, dendrimers, cyclolinear and cyclomatrix polymers, and polymers with pendent cyclotriphosphazene rings.
Figure 1.
The different frameworks of the P=N backbone.
The availability of a wide range of organic substituents on the -P=N-skeleton also allows the achievement of different 3D architectures in supramolecular arrangements, from electrospun scaffolds [36] to micelles and polymersomes [37], when amphiphilic moieties are bonded to the P atoms or through noncovalent interactions (Figure 2) [38,39,40].
Figure 2.
Some supramolecular arrangements of phosphazenes: tapes and polymersomes.
Different strategies have been proposed and optimized to produce polymers with substituents not easily available and to give different structures [41].
- (i)
- Thermal-ring-opening method: from HCCP at 250 °C under a vacuum through a cationic chain-growth polymerization process, due to the formation of the cationic species [P3N3Cl5]+ by chlorine loss [41], which initiates the opening of a second ring, thus propagating the polymerization (Scheme 3).
Scheme 3. Proposed mechanism for the cationic chain–growth polymerization process.
A drawback of the nucleophilic substitution of the chlorine atoms in the P=N backbone is that all reactions cannot reach 100% substitution of chlorine atoms. As a consequence, the unreacted P-Cl quickly reacts with moisture, giving P-OH moieties and leading to uncontrolled crosslinking and degradation, thus compromising the properties of the final polymers. To achieve control over the molecular weight and polydispersity, various catalysts have been used [42].
- (ii)
- Living cationic polymerization method by the reaction of (Cl3P=NSiMe3) with PCl5 [43]. An intriguing study concerning the mechanism of the ambient temperature PCl5-initiated living cationic chain growth polycondensation of Cl3P=NSiMe3 provided evidence that, under the usual polymerization conditions, the propagation occurs at both chain ends and identified factors to potentially control the molecular weight and broadening of the molecular weight distribution [44]. It has been observed that good control over the molecular weight and polydispersity can be achieved for short polymer chains (up to 50 units), while in the case of longer polymer chains, a lower control can be obtained. Detailed kinetic studies have been carried out to investigate the mechanism of the reactions and optimize the polymerization conditions (Scheme 4) [42,45,46]. A wide variety of reactions, from enhancing the basicity of the backbone N atoms to the electrophilic substitution on the phenyl ring or the exploitation of the relative acidity of the P-CH3 groups for the formation of carbanions, which can react with a wide variety of electrophiles, have been investigated (Scheme 5).
Scheme 4. Some living polymerization processes.
Scheme 5. Some reactions carried out on –[P(Me)(Ph)=N]n–polyphosphazenes.
For R = Ph and R’ = Me, many subsequent reactions can be carried out (Scheme 5) [47].
Of note is that phosphazene moieties bearing π-donating dialkylamino substituents bonded at phosphorus have been reported to be Bronsted superbases, with an excellent delocalization of the engendered positive charge of the cations, thus being able to deprotonate weakly acidic compounds [48,49].
- (iii)
- Synthesis of cyclomatrix polyphosphazenes, through the chlorine substitution with bifunctional reactive spacer groups, such as diamines or diols, which can give rise to different self-assembled geometries (microspheres, hollow spheres, nanotubes, nanofibers, and sheets) (Figure 3) [3,50,51].
Figure 3. Schematization of a cyclomatrix polyphosphazene.
2.2. The Characterization
Cyclotriphosphazenes feature a nearly planar ring structure that provides a rigid D3h symmetrical support for the six P-bonded substituents arranged on opposite sides with respect to the plane of the N=P cycle and outside, as shown in Figure 4 [17].
Figure 4.
Arrangement of the substituents on the P atoms of the cyclotriphosphazene ring.
Changes in the molecular parameters of cyclophosphazenes have been studied as a function of substituents at fixed positions, observing specific trends. As an example, the progressive substitution of chlorine atoms in the HCCP structure with HNBut moieties increases the P-N bond lengths involving the P atom bearing the substituents and the remaining P-Cl bonds [52].
Spectroscopically, the presence of intense absorptions at about 1200 cm−1 (P-N-P stretching mode) and at 700–950 cm−1 in the FTIR spectra of the compounds indicates the presence of the phosphazene ring. The 31P NMR technique allows investigating the number, the nature, and the position of the substituents, starting from the singlet at 21.23 ppm (in CD3COCD3) for HCCP [53,54] until the characterization of dendrimeric structures (Figure 5) [3].
Figure 5.
31P NMR spectra in CD3COCD3 of (a) = 2,2–dichloro–4,4,6,6,-bis[spiro(2′,2″–dioxi–1′,1″–biphenyl)]cyclotriphospazene and (b) = 2,2–bis(4–formylphenosy)–4,4,6,6,–bis[spiro(2′,2″–dioxi–1′,1″–biphenyl)]cyclotriphospazene.
Depending on the number and position of substituents, up to three chiral centers can be achieved, giving rise to racemic and diastereoisomers species. Many investigations have been carried out, mainly on >P(spiro) systems bearing a bidentate moiety on two of the P atoms and different ones on the third (Figure 5) [55].
As for polyphosphazenes, their stereogenic properties attracted a great deal of attention in polymer science, as well as biological, pharmaceutical, and medicinal science, because of their high potential for application in advanced materials. In the case of linear [N=P(RR’)]n polymers, the phosphazene moiety has a chiral center and the polymer is stereogenic. In the case of cyclolinear and cyclomatrix polymers, the stereogenic properties depend on whether there is more than one type of substituent in the “monomer” unit. These polymers can be optically active, giving rise to meso, racemic, or diastereoisomeric mixtures. Again, 31P NMR studies can help the understanding of the structure and the properties of these systems [56,57].
2.3. Computational Approaches to Phosphazenes
In this section, we will briefly describe the computational approaches to the description of the P-N bond in phosphazenes, as well as the Molecular Dynamics (MD) methods to deal with macrosystems, such as the polyphosphazenes employed in biochemical systems.
2.3.1. Quantum Chemical View of the P-N Bond in Phosphazenes
Substituted cyclotriphosphazenes (Scheme 1 and Scheme 2), often in the relevant HCCP form, and polyorganophosphazenes (POPs) represent the building blocks of a huge substitution chemistry.
The nature of the P-N bond in these inorganic systems is a matter of long debate. The P-N bond length in phosphazenes is about 1.60 Å, while related saturated phosphazenes show a P-N bond length of about 1.80 Å [53]. Moreover, the cyclotriphosphazene ring is planar without bond length alternation. From the standpoint of the valence bond (VB) theory, the bond in the ring in cyclotriphosphazene should have a multiple bond character and the presence of six π valence electrons should also confer aromaticity, thus further stabilization, to the ring. Incidentally, this picture has been rationalized by Dewar in the so-called “island model” [58], where the Pdπ-Npπ overlap causes electron density “islands” along the P-N-P units with nodes on the P atoms. Concerning the POPs, also in this class of compounds, the P-N bonds present characteristics almost alike to cyclotriphosphazenes. It is worthy of note that the lack of bond length alternation is not a constant feature of these systems. Indeed, bond alternation has been sometimes observed both for substituted cyclotriphosphazenes and polymers. On these grounds, the quest concerning the nature of the P-N bond in phosphazenes has been focused on specific topics, i.e.,: (i) if dπ of the P are involved in the π electrons delocalization and (ii) if there is ring aromaticity when 4n + 2 π electrons are involved in the delocalization. In this context, it has been shown by charge density, Natural Bond Orbital (NBO), and Energy Decomposition Analysis–Natural Orbitals for Chemical Valence (EDA-NOCV) approaches that, both for cyclic- and polyphosphazenes, the PN bond is highly polar, with a remarkable ionic character [59,60,61,62] along with the presence of a negative hyperconjugation involving the N lone pair with the σ*PX (X = ligand at the P atom) and, to a lesser extent, the σ*PN orbitals [59,60,61,62,63]. These outcomes discarded the hypervalent character of the P due to the participation of P dπ orbitals in the delocalization of π electrons. Moreover, a charge density investigation [63] showed that the cyclophosphazenes show electron density “islands” in chloro tri- and tetracyclophosphazenes, allowing the separation in modular units of Cl2PN. These outcomes resemble Dewar’s “island” models where, however, no P dπ orbitals are involved. The P-N bond picture obtained, i.e., a highly polarized P-N bond and Np→σ*PX, σ*PN negative hyperconjugation, also satisfactorily explain the P-N bond length alternation, mainly in POP systems. Indeed, it has been shown that the extent of the NBO overlap of the orbitals involved in the hyperconjugation is responsible for the P-N-P angles which, in turn, affect the P-N bond polarity. These outcomes explain the alternating P-N bond in the most stable cis,trans-POP configuration (Figure 6) due to the different NBO overlaps between the cis and trans P-N bond patterns [59,64].
Figure 6.
Configuration of the most stable cis,trans-POP isomer.
The role of the substituents on the properties of the P-N bond has also been investigated by several computational methods, e.g., electron density, NBO, and EDA-NOCV analysis [59,60,62,65]. The donor/acceptor as well as the electron-withdrawing behavior of the ligands bonded to the P modulates the electron density at the P center without affecting the electron density on N. Thus, a withdrawing group causes an electron density depletion at the P and then an increasing P-N polarization, leading to a shortening of the P-N bond and vice versa (Figure 7).
Figure 7.
Examples of NBO charges on P and N atoms depending on the nature of substituents on the P atoms in cyclophosphazenes [56]. Of note is the independence of the charge on N from the substituent on P.
Finally, the aromaticity of the cyclotriphosphazene rings was also investigated. Chaplin et al. [59] cautiously proposed the presence of aromaticity in cyclotriphosphazenes according to the Nucleus-Independent Chemical Shift (NICS) analysis. Indeed, the seminal NICS(0) and NICS(1) descriptors may also be affected by the contribution of currents, leading to erroneous conclusions [66]. Experimental charge density studies on the HCCP definitely assessed the lack of pseudoaromatic delocalization. Moreover, the very-high-similarity behavior of the P-N bond in HCCP and octachlorocyclotetraphosphazene enforced the guess that the ring planarity in cyclotriphosphazenes represents the more stable conformation [63].
2.3.2. Molecular Dynamic Simulations of Phosphazenes
One of the peculiar characteristics of POPs which entitle them as ideal candidates for a wide variety of industrial applications is due to the flexibility of the backbone due to the P-N bonds. Indeed, this bond favors the membrane formation in biological environments, and many substituent groups, bonded to the phosphorus, can easily modulate the hydrolytic instability and consequently the biodegradability [15]. With respect to this habit, the molecule dynamic (MD) simulations allow for gaining important insight into the molecular properties of these polymers and establishing the structure–property relationships. Despite their usefulness, only a few numbers of MD studies are reported in the literature and are often limited to small oligomers that do not allow for the reproduction of the behavior of long-chain polymers [67,68,69]. About 20 years ago, some studies demonstrated that a modified CHARMm [68,70,71], AMBER [72], or DREIDING [73] force field can reproduce the geometrical parameters (bond lengths, valence, and torsional angles) in polyphosphazenes with almost 20 repeat unit chains. The COMPASS force field was used since 1998 by Fried et al. [74,75,76,77,78] to consider also the condensed-phase properties such as the glass transition temperature, diffusion coefficients, and density. In more recent years, Kroger and Fried focused their attention on polyphosphazenes for biomedical applications [79]. Their MD simulations allow them to determine the bulk properties and investigate the atomic interactions. They correlate the hydrogen bonds with the electrostatic interactions and the solubility of the polymers. All these aspects are crucial when these polymers are used to control drug release [80], in drug delivery applications [81,82], or as a microencapsulation material, as well as an immunoadjuvant [15]. In very recent work, Wang et al. rationalized the effect of the side groups on the glass transition polymers starting from a system with 150 repeat units [83], but a great advance in the MD simulations has been made by Chen et al. [84]. In this study, the DREIDING force field with the Lennard–Jones potential was used, and they obtained an in situ dynamic polymerization procedure to make, test, and tune the thermos-mechanical properties of polyphosphazenes via MD simulations, which was obtained. The bonds between monomers were formed during the simulations and this allowed, for example, to consider the different end-to-end polymer interactions that influence the macroscopic properties. Moreover, differently from the previous models, a dynamic procedure was more versatile, and the properties of the POPs could be tested also as a function of the degree of polymerization and not on fixed repeat units.
3. Biomedical Applications
During the last 20 years, a wide variety of new phosphazene systems, either trimeric or polymeric, have been developed as biomaterials in view of different applications. The materials to apply in biomedical applications should be biocompatible, in other words nontoxic themselves, as well as their degradation products. Moreover, both the materials and their degradation products also should not induce an inflammatory, carcinogenic, pyrogenic, or allergic response. The degradation products of many polyphosphazenes form a buffering system (ammonium phosphate) and maintain a neutral pH through the degradation [85,86]. The most important advantage of polyphosphazenes over other polymers is the possibility to introduce side groups with specific chemical–physical and biological behavior to design biomaterials for tailored applications. Fluorinated chains improve the hydrophobicity, giving rise to materials suitable for surface modifications, and have been approved as dental liner materials because of their antimicrobial properties and biological inertness [15,87]. The introduction of amino acid esters improves the degradation of the polymers: the backbone degradation gives rise to nontoxic products (phosphate and ammonia) and can be affected significantly by the presence of residual chlorine atoms and hydroxyl groups along the chain, together with the introduction of hydrolytically labile side groups: a number of amino acid esters have been introduced, also in combination, observing that their steric hindrance can modulate the hydrolysis rate. The materials can be used for drug delivery, tissue engineering, or shape–memory polymers for cardiovascular or bile duct stents, as examples, where the material can be either biostable or biodegradable into nontoxic end-products according to a modulable designed degradation rate (i.e., such as the rate of tissue growth or according to a desired therapeutic release rate) [42,88]. It has been observed that the presence of only small amino acids as substituents such as glycine and alanine induced a quicker degradation than phosphazenes bearing larger or phenoxy substituents. The modulation of the degradation rate could also be obtained with a combination of hydrophilic and hydrophobic side groups (i.e., carbohydrates or steroidal substituents) [89,90,91,92]. The degradation mechanism involves the attack of water molecules on organic side groups on the POPs, with the formation of P-OH units by the migration of protons from oxygen to nitrogen, thus sensitizing the polymer backbone to hydrolysis, yielding nontoxic degradation products which comprise mainly NH3, phosphate, and the corresponding side groups, as depicted in Scheme 6 [93,94].
Scheme 6.
Hydrolytic degradation mechanism of POPs.
It was observed that the degradation rates in polymers with side groups linked through the N-atom or the O-atom are different [95]. In the case of tyrosine, which can be attached to the polymer backbone either by amino or by phenolic moiety, only the polyphosphazene-bearing N-tyrosine side groups are biodegradable, while the phenolic group makes the polymers nondegradable but pH-sensitive (Scheme 7) [96,97,98,99]. The degradation rate of some water-soluble polyphosphazenes (bearing amino acid ester units, or pyrrolidinyl, or carboxylatophenoxy moieties) has been studied as a function of the pH, observing a considerably faster degradation at lower pH values. The hydrolytic stability can be tailored by the careful choice of the amino acid spacer and increased by the steric shielding of the polymeric backbone [100,101,102].
Scheme 7.
Degradation process of the tyrosine substituted POP.
The introduction of functionalities into phosphazene pendant groups allows for the attachment of specific molecules into the system that can increase the affinity for the desired species. An example could be aminoethoxyethanol: the oxygen atom can be bonded to P and the amino unit can be used to bind, for instance, galactose or polyethylene glycol moieties, giving rise to materials able to interact with DNA [103,104].
As for tissue engineering applications, other properties must be explored:
- (i)
- Glass transition temperature compared with the physiological temperature: as for bone tissue engineering, a glass transition temperature higher than the physiological one to maintain structural integrity in an in vivo environment is required [105];
- (ii)
- Mechanical properties: substituents must be chosen in order to match the mechanical properties of the POPs (compressive and tensile strengths) and those of the native tissues;
- (iii)
- Porosity and porous interconnectivity of biomaterials plays a key role either in drug delivery applications, due to their controlled degradability, or in tissue engineering, aging as materials scaffolds for cells proliferation;
- (iv)
- Stimuli-responsive site behavior: temperature, ultrasound, light, pH, ionic strength, oxidative conditions, and enzyme presence are important stimuli for biomedical applications. Several stimuli-responsive materials have been prepared for tissue engineering and drug delivery due to the possibility of tuning the properties from combinations of different side groups [105,106,107,108]. The reaction of hexakis [4-(acrylamido)phenoxy]cyclotriohosphazene] with N-isopropylacrilamide and N-vinyl imidazole in the presence of ammoniumpersulfate gave crosslinked hydrogels which exhibited in vitro pH-responsive drug-release behavior [107].
In a quite recent review [109], the opportunity to combine the benefits of an inorganic backbone and a wide variety of organic (or organometallic) side groups in POPs have been considered for future bioapplications, such as the use of cyclomatrix polyphosphazenes to encapsulate particles suitable for imaging applications [110] or to apply POPs in a prototype of an artificial heart [111].
3.1. Phosphazenes in Drug Delivery
3.1.1. Biological Activity of Cyclophosphazenes
The substitution of the chlorine atoms in trimers or tetramers with N-monodentate, N-N, or N-O bidentate moieties gave the formation of a series of phosphazene systems for which the antimicrobial activity against Gram-positive and Gram-negative pathogenic bacteria and fungi was tested.
The tetrapyrrolidino derivatives reported in Scheme 8 were found to inhibit the bacteria E. coli ATCC 25922, P. aeuroginosa, B. cereus, and P. vulgaris in a comparable extent as control antibiotics and demonstrated to be more active than Ketokonazole against C. albicans and C. tropicalis, exhibiting higher activity than the analogue PCl2-derivatives [112,113]. It has been demonstrated that the interaction of cyclophosphazenes with DNA caused a decrease in the mobility and intensities of form I and form II DNA due to the binding of the compounds with DNA to A/A and G/G nucleotides [114,115,116]. Similar compounds have been converted to protic salts, as reported in Figure 8, for which an antiproliferative effect on tumor cell lines (A549, Hep 3B and FL) higher than both 5-fluorouracile and cisplatin was demonstrated, the most active being the compounds (a) and (b) [117].
Scheme 8.
Cyclotriphosphazenes bearing N-N bidentate moieties with antibacterial activity.
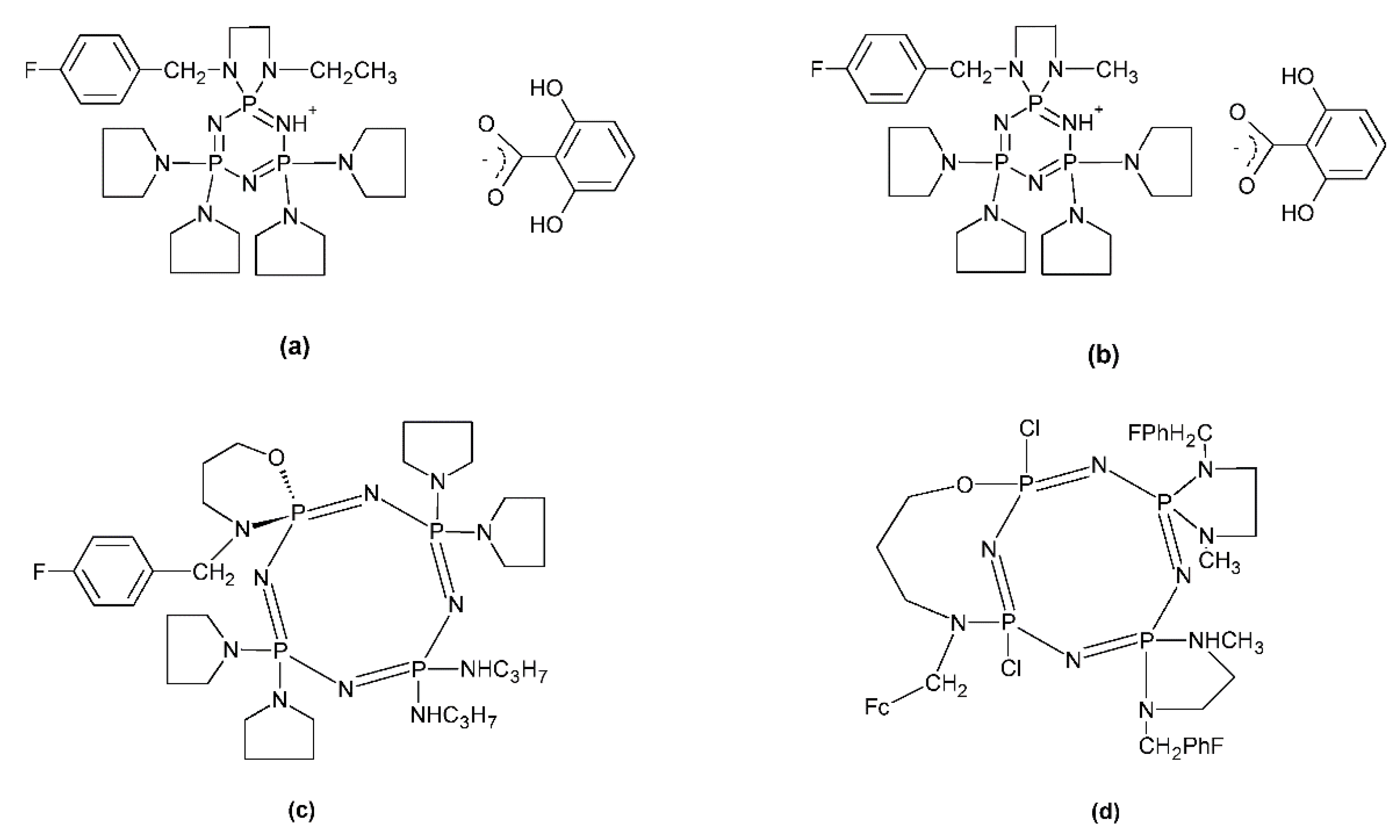
Figure 8.
(a,b): Protic phosphazene salts; (c,d) Neutral cyclotetraphosphazenes. (Fc=Ferrocenyl).
Tetramers similar to compound (c) showed greater inhibitory activity against K. Pneumonia, C. tropicalis, and C. albicans, and in the latter case, more efficient than Ketokonazole [118,119]. Additionally, trimers and tetramers bearing the N/O donor-type bidentate ligands containing a mono-ferrocenyl group have been shown to demonstrate antituberculosis and cytotoxic activity [120,121,122]. Some ansa-spiro cyclotriphosphazenes have been synthesized [123] which exhibited antimicrobial activity against bacteria, one yeast strain, and cytotoxic, apoptotic, and necrotic effects against L929 fibroblast and A549 lung cancer cells. The biological activity of mono-ferrocenyl-2-cis-4-dichloro-ansa and mono-ferrocenyl-spiro-tetracyclophosphazenes has been investigated as well, observing a proliferative effect on L929 fibroblast and MCF7 breast cells up to 200 mg/mL, but a significant antituberculosis effect against the M. tuberculosis H37Rv reference strain (compound d of Figure 6) [124]. Dimeric cyclophosphazenes have been achieved by the reaction of HCCP with symmetric N2N2 or N2O2 tetradentate donor ligands: antibacterial activity against Gram-positive and Gram-negative bacteria has been observed. In Figure 9, the compound on the left also exhibited high cytotoxicity against fibroblast cells, while the compound on the right was found to be active against yeast strain C. tropicalis [125,126].
Figure 9.
Dimeric cyclophosphazenes with biological activity. The compound on the left also exhibited high cytotoxicity against fibroblast cells; the compound on the right was found to be active against yeast strain C. tropicalis.
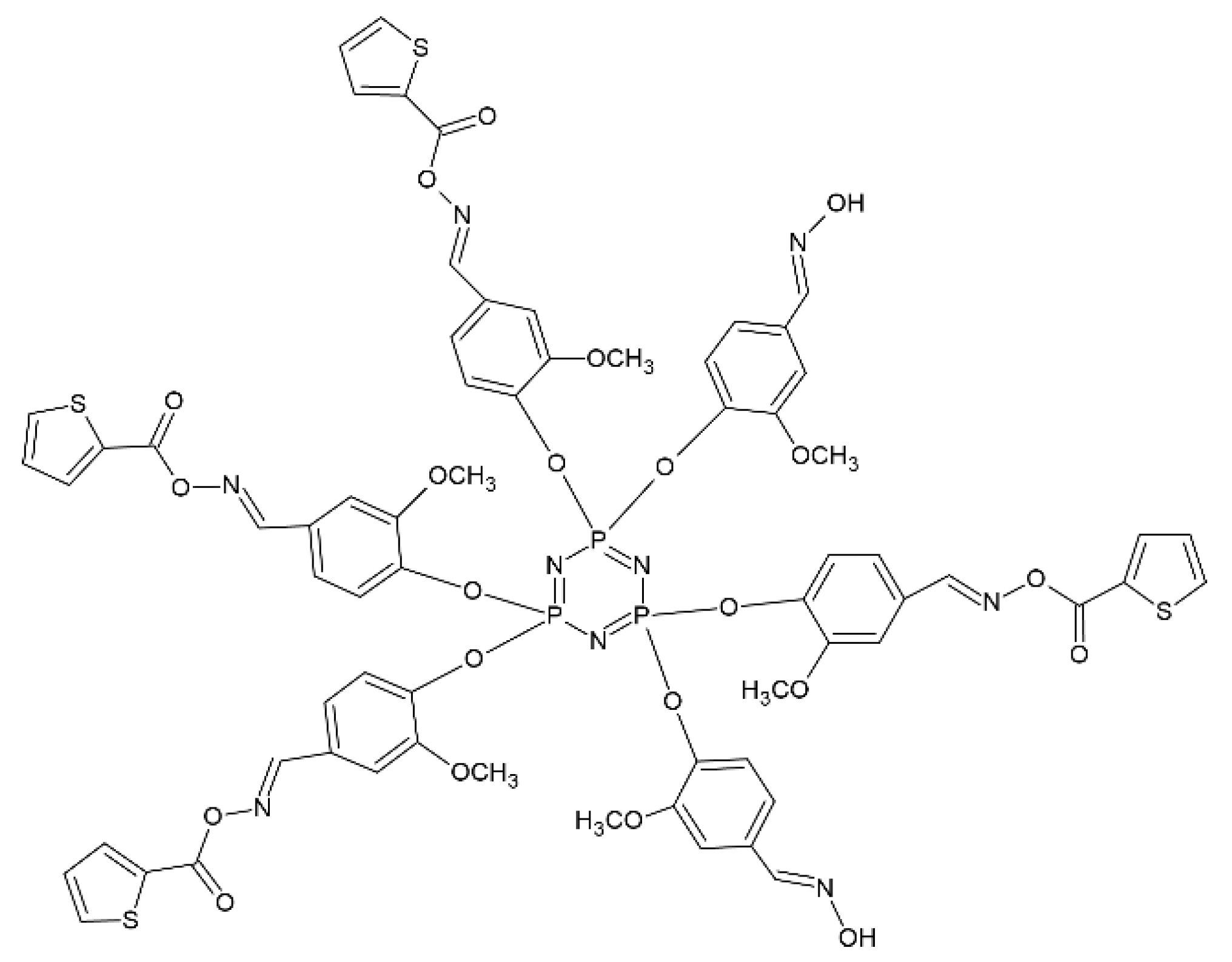
A series of cyclophosphazenes bearing oxime groups as substituents have been reported [127] to exhibit a significant antimicrobial activity against Gram-positive (S. aureus and E. faecalis) and Gram-negative (E. coli and K. pneumoniae) microbes. In particular, the cyclotriphosphazene bearing four thiophene-2-carbonyl derivatives reported in Figure 10 also showed antifungal activity (against A. niger and C. albicans).
Figure 10.
The oxime cyclotriphosphazene derivative exhibiting antimicrobial activity comparable to Ciprofloxacin and Fluconazole.
To improve the antimicrobial activity, AgL complexes (L = PPh3, PPh2Me) have been bonded to N-ring atoms of the cyclophosphazene to achieve the compound [N3P3(NHCy)6{Ag(PPh2)}3](TfO)3, which showed a significantly higher antitumor activity against MCF7 and HepC2 cell lines compared to cisplatin and very low MIC (μM) values against S. aureus, M. bovis (BCG), and M. tuberculosis(H37Rv) [128].
Molecular docking studies showed that cyclophosphazene systems bearing 4-oxyphenyl-3-(substituted-phenyl)prop-2-en-1-one [129] and heteroring chalcones [130] arms interact at the tubulin-binding cavity, similarly to colchicine, and with DNA on active sites of Bcl-2, p-53, Caspase-3, and SRC-kinase enzymes, respectively. The chalcone-cyclophosphazene compounds with the structure depicted in Figure 11 have been shown to be active in vitro against human prostate PC-3 and LNCaP cancer cell lines, the most active being the F-substituted derivatives [131].
Figure 11.
Chalcone-cyclophosphazene derivatives.
A biodegradable water-soluble cyclotriphosphazene bearing doxorubicin, methoxy-poly(ethylene glycol)350 and a tumor-specific tetrapeptide (Gly-Phe-Leu-Gly) have been prepared to study the effect of the enzymatically controlled release on the cytotoxicity against the leukemia L12110 cell line. A lower activity than that of free doxorubicin has been observed but a higher in vitro cytotoxicity, such as cisplatin (Figure 12) [132].
Figure 12.
A biodegradable cyclophosphazene prodrug of doxorubicin.
3.1.2. Polyphosphazenes
The tunable degradation rates of polyphosphazenes with the formation of nontoxic products make them largely advantageous for drug delivery applications together with the possibility to design stimuli-responsive frameworks. Polymeric drug delivery systems have been prepared according to two different categories:
- (i)
- To achieve controlled drug release systems where the role of the polymer is to extend the half-time of the drug;
- (ii)
- To achieve targeted drug delivery systems carrying drugs to the sites of action, being usually severely cytotoxic drugs, such as anticancer ones with tumor selectivity [42].
The polymer was designed to perform three different functions in the delivery system owing to the nature of the interactions (H-bonds, π–π, or noncovalent interactions) occurring between the polyphosphazene side-chains and the drug or directly bearing the drugs bonded as substituents on the polymeric chain. Thus, the polyphosphazene can:
- (i)
- Improve interpolymer complexation during the formation of the mixed polyelectrolyte;
- (ii)
- Promote the release of polynucleotides from endolysosomal compartments;
- (iii)
- Reduce polycations caused by toxicity.
Polyphosphazenes bearing polyethylenglycol (PEG)-type arms have been tested for the drug delivery of reference drugs such as platinum derivatives [133]. Doxorubicin and paclitaxel in conventional micelle, hydrogels, or nanoparticles, but also new polymer-drug-conjugated forms have been developed, behaving as prodrugs. Different polyphosphazene systems have been studied to bind Pt(II) systems, such as [NP(PEG550 or 350)x(GlyGluPt(dach))2−x] (dach=1,2-diaminocyclohexane), or to behave as macromolecular Pt(IV), ruthenium, and rhodium prodrugs, of which the kinetics of release and in vitro and in vivo antitumor activity have been investigated against selected tumor cell lines, observing a 5 µM-higher activity with respect cisplatin with reduced systemic effects [134,135,136,137].
Three different polyphosphazenes containing tocopherol or testosterone glycinate and hydrophilic Jeffamine M1000 via the living cationic polymerization of Cl3P=NSiMe3 have been prepared and used to encapsulate and deliver camptothecin and epirubicin on MCF-7 cancer cells and MCF-7 spheroids. The hydrodynamic diameter of these nanoaggregates ranged from 142 to 253 nm, with the appropriate size to allow an extruded serum circulation with reduced renal clearance, showing similar or higher toxicity to MCF-7 human breast cancer cells as compared to the parent anticancer drugs, causing significant cell-cycle arrest in the G2/M phase and inducing significant apoptosis. Furthermore, camptothecin and epirubicin-loaded nanocarriers exhibited lower IC50 values than the parent anticancer drugs in MCF-7 spheroids [138].
Polyphosphazenes containing the fluoroquinolone antibiotic substituents ciprofloxacin or norfloxacin (Figure 13) from 12 to 25 mol% and from about 88 to 75 mol% of amino acid esters, including alanine, glycine, and phenylalanine, have been prepared and the hydrolytic behavior has been studied, observing that it occurred at about a neutral environment. Antibacterial tests against E. coli showed activity as long as the antibiotic was released, thus suggesting the possibility to design devices for the controlled release of antibiotics [139].
Figure 13.
Some drugs easily encapsulated in polyphosphazenes bearing amino acid esters as side groups.
Through the living cationic polymerization process, a series of multisubstituted POPs with controlled molecular weight and aqueous solubility bearing folic acid as tumor-targeting groups and hydrophobic anticancer molecules (through a pH labile linker) have been prepared. The polymers (tested at 25 °C and pH 7.4) showed to be stable over a short period of time in an aqueous environment but degraded over longer periods under simulated physiological conditions, thus demonstrating the potential of POPs to create tunable systems for the targeted delivery of anticancer drugs [140].
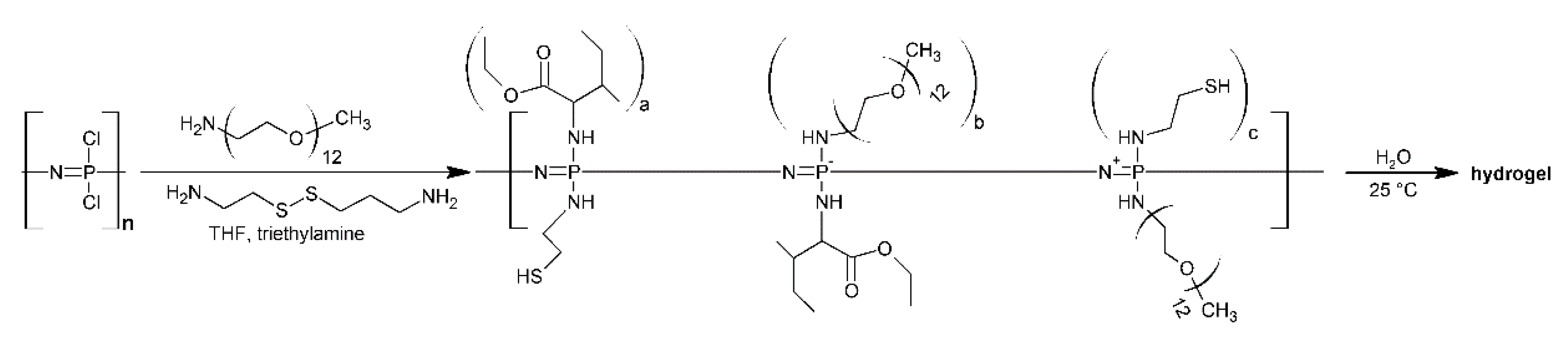
A series of chemically crosslinkable and thermoresponsive POPs as injectable biomaterial by using thiol, hydrophobic isoleucine ethyl ester, and hydrophilic amino-polyethylenglycol side groups, whose aqueous solutions at body temperature formed hydrogels suitable for administration by injection, have been prepared [141].
The copolymerization of hydrophobic systems such as polylactic acid and hydrophilic systems such as polyethylene oxide in thermosensitive poly(organophosphazene) hydrogel (based on hydrophobic isoleucine ethyl esters group and hydrophilic α-amino-ω-methoxy-PEG550) has been investigated for the delivery of hydrophobic drugs, such as doxorubicin and paclitaxel, even via intratumoral injection (Scheme 9) [142,143].
Scheme 9.
Injectable polyphosphazene–based hydrogel.
The hydrogel strategy has also been studied to achieve enzyme immobilization: a hydrogel based on methacrylate-substituted phosphazenes was demonstrated to immobilize lipase to an extent, depending on the hydrogel composition (maximum 24.02 mg/g); the immobilized enzyme activity decreased by about 50% only after four cycles of batch operation [144].
3.1.3. Polyphosphazenes in Gene Therapy
Cationic POPs can, in principle, give rise to electrostatic interactions with anionic biomolecules such as DNA. Gene therapy involves the provision of cells with the required genetic information to produce specific proteins to modulate a given disease. Thus, the DNA must be delivered to the target cells and protected during derivation from metabolic processes. These results can be achieved through the preparation of cationic polymers which undergo noncovalent interactions with negatively charged plasmid DNA. In this frame, POPs bearing amines on P atoms have been proposed, observing a lower toxicity with respect the use of poly(2-dimethylaminoethyl)methacrylate [145]. POPs cosubstituted with 2-dimethylaminoethylamine and imidazole showed higher transfection activity compared to the corresponding systems without imidazole [146]. A series of poly[bis(2-(2-aminoethoxyethoxy)phosphazenes] have been investigated for their use in gene delivery [147], observing that the partial substitution of amine moieties with imidazoles improved the activity [148].
It has been reported that the presence of the polyphosphazenes was able to increase the efficacy/toxicity ratio over one order of magnitude, showing superior efficacies in a clinically relevant glioblastome primary cell-line (a synthetic strategy for the preparation of a library of polyphosphazenes of interest for gene delivery), thus establishing a new versatile, biodegradable polymeric gene delivery based on POPs with a high capacity for gene transfer efficacy in vitro and upon in situ treatment in vivo; for instance, forming polyelectrolyte nanoparticles by the coincubation of alkylamine and alkoxycarboxylate-POPs or by preparing water-soluble cationic POPs bearing alkylamine and imidazole groups [149,150,151]. The application of polyphosphazenes for gene delivery has remained relatively unexplored. A polyphosphazene platform, containing side-chain double-bond units to be reacted with alkanethiols, has been reported, which, combined with malic acids, were able to generate mixed polyelectrolyte complexes with a sufficient positive charge to bind polynucleotides and promote cell internalization but with the ability to destabilize cell membranes in response to pH. Then, systems have been elaborated as gene carriers to deliver nucleic acids as a potential means to treat glioblastoma, one of the most aggressive and malignant cancers (classified as class IV by the World Health Organization). A new strategy after surgical resection to prevent tumor relapse involves the delivery of either suicide genes or gene knockdown by siRNA directly to glioblastoma via intratumor administration. In vitro and in vivo evaluation has been carried out for gene delivery by using biodegradable poly [2-(2-aminoethoxyoxyethoxy)phosphazene] modified with lactobionic acid bearing a galactose group as a targeting ligand. Nanoparticles with a size around 130 nm have been achieved by condensing pDNA, which showed a higher transfection for BEL-7402 cells with lower cytotoxicity, with respect to the galactose-free systems and exhibited the selectivity of gene expression at a distant tumor site. Thus, the system could be a potential gene transfer vehicle for tumor targeting with low toxicity after intravenous administration [152].
Moreover, the potentiality of gene silencing mediated by siRNA has been explored for the treatment of genetic disorders and cancer where siRNA drugs can inhibit gene expression. Rapid enzymatic degradation in the blood of siRNA could be avoided by the use of hydrogel-based polyphosphazenes designed for the localized and long-term delivery of siRNA [153].
3.1.4. Micelles, Liposomes, Polymersomes
Amphiphilic copolymers tend to self-assemble into a wide range of self-assembled nanostructures such as micelles and polymersomes in an aqueous environment due to different interactions of corresponding hydrophilic and hydrophobic groups. Polyphosphazenes have been studied either as carrier substrates by encapsulation using microspheres or micelles or by homogeneous dispersion of a drug in a biodegradable hydrogel or solid matrix. Liposomes were prepared by evaporating a chloroform solution of phosphatidylcholine and the phosphazenes polymer, treating with PEG and then hydration with HBS. Macrospheres, liposomes, and polymersomes have been prepared from amphiphilic ionizable polyphosphazenes by the incorporation of three critical moieties: polyethylene glycol octadecyl ether (C18(EO)10), aminobutyric acid (ABA), and ethylene oxide ethyl ether (EEE). The three units provide liposome-anchoring capabilities and are pH- and temperature-responsive, respectively. EEE was selected as having a lower critical solution temperature close to the physiological temperature (32 °C); ABA helps to modulate the critical solution temperature with respect to environmental pH and can confer biodegradability. These liposomes displayed pH-dependent release but were unstable under physiological temperature (37 °C) at a pH of 7.4 [154].
Of particular interest is the release of anticancer drugs. Many anticancer drugs currently used for chemotherapy are low-molecular-weight compounds (<1000 Da). They are administrated systematically orally or locally. Such molecules are known to have a short half-life (<2 h), a fast clearance in the blood circulation system, and attack not only tumor cells and tissues but, according to their level of selectivity, also normal cells, thus causing severe toxicity and side effects (nephrotoxicity, neurotoxicity, cardiotoxicity) which represent key dose-limiting factors in chemotherapy. Thus, different approaches to overcome such problems have been investigated and proposed. The strategies are continuously evolving based on new knowledge acquired on the physiological evolution of tumors.
Polyphosphazenes can either bind active tumor-targeting molecules (based on the affinity or reactivity of specific antigen/receptor overexpressed in the tumor cells or tumor tissues) and contemporary polyethylene glycol moieties to improve water solubility together with the drug, usually bonded through a stimuli-responsive spacer group.
The passive targeting strategies are some physical aspects of the interaction between the polymers and tumor cells. As an example, it was discovered that: (i) polymers with specific molecular weight can be preferentially accumulated in the solid tumor issues [155], (ii) macromolecules (i.e., nanoparticles) cannot permeate through the blood vessel pores of normal tissues with a regular structure, and (iii) it is difficult for polymer particles which have entered in the tumor tissue to be drained off, as they are not present in the lymphatic vessel [156].
In this frame, polyphosphazenes represent an excellent resource to develop newly designed drug carriers for tumor targeting, tailored to meet various requirements such as water solubility, chemical stability, biodegradability, compatibility with the drug, and targeting properties forming micelles or microspheres, which, upon diffusion and degradation, can release the targeted drug [15]. One-pot synthesis of crosslinked POPs dopamine microspheres for controlled drug delivery has been reported by reacting in acetonitrile HCCP, triethylamine, and dopamine at 50 °C for 3 h under ultrasonic irradiation (53 kHz, 150 W). Cyclomatrix polyphosphazene microspheres have been achieved which are able to absorb acriflavine (19.5 mg acriflavine/gram of microsphere), as a model drug, and which release the drug for a long time depending on the pH (29% released in acidic medium; 47% at neutral pH) for up to 7 days [157]. A new class of tripodal amphiphiles for self-assembly to bilayered polymersomes, based on cyclotriphosphazenes bearing equimolar amounts of hydrophilic polyethylene glycol and a hydrophobic oligopeptide, have been proposed, for which the shape (micelles or polymersomes) resulted depended on the hydrophobicity of the oligopeptide [158]. The reaction of HCCP and 4,4′-sulphonyldiphenol in the presence of triethylamine in acetone at 30 °C in an ultrasonic bath (100 W, 80 kHz) for 4 h gave hollow microspheres via a self-assembly process [159].
Cyclomatrix polymers with quercetin as bridging moieties have been used to prepare nanospheres to study the release of acriflavine as a model drug, which can be stored in the nanosphere at 37 °C up to 41% and released in 11 days at a pH of 7.4. The hydrogen-bonding interaction between acriflavine molecules and quercetin nanospheres may also contribute to the steady release rate (Scheme 10) [160]. Radical-containing microspheres based on a cyclophosphazene core and phloretin polymeric arms have been prepared by reaction with (2,2,6,6-Tetramethylpiperidin-1-yl)oxyl (TEMPO) and used as drug loading (camptothecin) while investigating the drug release at different pH levels: it was reported that 41% of camptothecin was released at a pH of 4.0 and 32.6% at a pH of 7.4 from microspheres after 350 h, respectively (Scheme 10) [161].
Scheme 10.
The pH–responsive nanospheres and microspheres for drug delivery.
A related strategy has been used to prepare biodegradable and antioxidant phosphazene tannic acid nanospheres [162]. Polymersomes present unique structural architectures with an interior aqueous core surrounded by a typical bilayer membrane formed by the association of hydrophobic parts. The bilayer membrane is the characteristic of polymersomes, which allows to separate the inside and outside aqueous environments with different compositions and concentrations based on the selective permeability of the membrane. A wide variety of polymersomes have been developed and their stimuli-responsive properties have been investigated, thus allowing drug release. The hydrodynamic diameter ranges between 150 and 250 nm. Cancer cells have reductive and acidic environments as compared to normal body cells, thus reductive/acidic-responsive polymersomes may play a crucial role in cancer therapy to release the loaded drug. Three different reductive/acidic-responsive polyphosphazene bearing mPEG-SS-amino and N,N-diisopropylethylenediamine arms in different amounts have been prepared which self-assembled in polymersomes. Hydrophilic/hydrophobic drugs (Doxorubicin/HCl and Doxorubicin) have been encapsulated into polymersomes with high-loading and high-encapsulation efficacy due to the strong intermolecular interaction. The drug release rates were observed to depend on the acidity/reductive properties of the medium (Figure 14) [163].
Figure 14.
Polyphosphazene-based polymersomes.
Colic acid has a high-binding affinity to the foresaid X receptor (FXR, which is overexpressed in most of the cancer cells), thus colic acid has been grafted to poly(bis-carboxyphenoxy phosphazene)poly diallyl dimethylammonium chloride to prepare nanomicelles with a hydrodynamic diameter of around 218 nm. Colic-acid-conjugated hybrid polymeric micelles targeted the FXR with paclitaxel loading have been shown to improve the therapeutic efficiency without systemic toxicity [164,165]. Thermoresponsive nanoparticles based on poly[bis(carboxyphenoxy)phosphazene]-polylactic acid polymers demonstrated the capacity to encapsulate the hydrophobic drug paclitaxel with a pH-dependent release capability due to the pH-responsive quenching of the polymers. [151] The kinetics of the encapsulated probe release of 8-hydroxypyrene-1,3,6-trisulfonic acid has been studied to improve the lifetime as can be achieved by introducing PEGilated chains acting as sterical barriers between opsonin and other siero-proteins [166].
Cyclophosphazenes bearing and oligopeptide arms of the type [NP(mPEG350)(GlyPheLeuAspEt2)]3 have been used to prepare very stable micelles due to their ability to self-assemble, where the hydrophobic blocks of the copolymers form the core of the micelle and the hydrophobic block the coronas or outer shell of the micelle [167]. These micelles, used as new drug systems, offer many advantages: they have a very low critical micelle concentration (about 0.1 mg/L), are thermoresponsive, biodegradable, and allow high solubilization of hydrophobic drugs. Furthermore, the trimer backbone is monodispersed, thus showing control of the molecular weight, and the variety of functionalization allows a design for specific drugs. Some preliminary intriguing results have been reported [168].
Microspheres based on cyclophosphazenes have also been proposed as ibuprofen [169] and antibiotic (trimethoprime) carriers and their controlled release (Figure 15) [170].
Figure 15.
Some drugs encapsulated in polyphosphazene-based microspheres.
Microspheres for application in periodontal disease and implant surgery have been prepared by dissolving succinylsulfathiazole or naproxen and a polyphosphazene-bearing phenylalanine ethyl ester and imidazole as side groups. In vivo release studies and surgical trials (on male rabbits) have been carried out observing no signs of inflammation, but no reparative bone or osteoid tissue was found [81].
3.1.5. Nanoparticles
An intriguing aspect of this biochemistry is represented by the hydrodynamic diameters of the nanoparticles: if higher than 200 nm, they are considerably bigger than the renal filtration clearance limit (about 5.5 nm), thus leading to a long circulation time in the bloodstream; if they are of smaller size than 400 nm, their possible retention in the vascular regions after intravenous administration in close contact to tumor sites can be achieved [155]. Nanoparticles (NPs) of poly[(ethylamino benzoate)(ethylglycinate)]phosphazene have been prepared and loaded with camptothecin: the in vitro drug release behaviors were studied at a pH of 7.4 and 5.6. The ability of the nanoparticles to interact with the hydrophobic drug has been explained by a π–π interaction between the aromatic ring of camptothecin and the polymer, modulating the drug loading and release depending on the benzoate amount along the polymeric chain (Figure 16) [155].
Figure 16.
The π–π stacking between the polyphosphazene and camptothecin. Epirubicin and paclitaxel can give similar π–π stacking with the polymeric chain.
Nanohybrid systems based on gold-poly(carboxyphenoxy)phosphazene have been prepared and investigated as a stimuli-responsive drug delivery of AuNPs: it was observed that the drug loss is low at a neutral pH, whereas rapid drug release was noticed after the internalization of nanoparticles by the cancer cells. Recently, the designed preparation of polymer-functionalized AuNPs has attracted increasing interest either for improving the stability of NPs or to tailor the chemical/physical/surface properties of NPs [108,171].
Poly[bis(carboxy phenoxy)phosphazenes] nanohybrid systems exhibited excellent dispersity and stability, reducing the loss of drugs in normal tissues with an efficient internalization of AuNPs into tested cells (MDA-MB-231) with a strong cytotoxic effect through the induction of apoptosis. Moreover, pH- and thermoresponsive-NPs composed via choli acid poly(biscarboxyphenyl)phosphazene-polylactic acid have been reported which showed reversible gelation behavior in the temperature range 20–37 °C and a drug-release capability at an acidic pH due to the pH-responsive quenching effect of the hybrid polymer. The release of paclitaxel was observed over 12 days. It is noted that the drug release from the NPs was effectively controlled by the mechanical strength of the polymer [165]. Multilayered NPs have been prepared by poly[di(sodium carboxyphenoxy)phosphazene] and poly(diallyldimethyl ammonium chloride) deposited on the CaCO3 nanoparticles’ surface of a diameter of 237 nm, exhibiting a high-drug-loading content with enhanced cellular uptake. Under acidic conditions, the multilayer structure controls burst release, providing sustained drug release for a long period. Chrysin (an angiogenesis-inhibitor-activating ROS species) and cisplatin have been incorporated and have been tested against oral carcinoma cells, observing a 92% regression volume as compared to cisplatin alone loaded in the same nanoparticle. The work provided a simple method to formulate multiple drugs in single nanosystems [172]. Nanocarriers with sizes ranging from 200 to 240 nm have been prepared by dissolving POPs substituted with 2-propoxy, 4-acetamidophenoxy, 4-formylphenoxy, or 4-ethoxycarbonylanilino arms in dichloromethane together with the antimalarial drugs primaquine and Dihydroartemisinin (Figure 17) by emulsioning in the presence of a surfactant under mechanical stirring. In vivo (mice) antimalarial efficacy was tested: it was shown that nanoparticle formulations were effective in eradicating completely the parasites after 14 days, but at a lower dose than standard drug combinations [173].
Figure 17.
The two antimalarial drugs tested in polyphosphazene nanoparticles.
3.1.6. Nanofibers
Electrospinning methodology has been reported to prepare nanofibers, membranes, and scaffolds in view of different applications [36,174]. A core sheath nanofiber membrane with poly[bis(p-methylphenoxy)phosphazene] and polyacrylonitrile has been prepared and studied for enzyme (lipase) immobilization [175]. Coelectrospun composite nanofibers (with a diameter ranging from 240 to 430 nm) of blends of poly[(amino acid ester)phosphazene] (alanino ethyl and glycinoethyl) and gelatin have been studied as scaffolds for cells adhesion and growth [176]. Eletrospun fibers have been prepared using polyphosphazene bearing l-proline methyl ester and 4-hydroxy-l-proline methyl ester as side arms to achieve a new bioactive material for bone repair. The biomimetic mineralization was tested on the fibers and on the bulk polymer, observing in both cases bioactivity with the formation of an abundant calcium phosphate layer after 24 h and the adhesion of calcium phosphate crystals to the fiber mimicking the hydroxyapatite growth in collagen fibers [177]. Poly[(ethyl alanato)(p-methyl-phenoxy)phosphazene] has been used to modify the surface of the electrospun fibers of poly(ε-caprolactame) for tendon tissue engineering, to improve the hydrophobicity of the matrix, and to enhance the protein synthesis by seeded Human Mesenchymal Cells (hMSCs). The work demonstrated the enhanced cellular response with cell adhesion and long-term cell infiltration through the matrices with the phosphazene-modified surface [178].
3.2. Phosphazenes as Immunoadjuvants
Some reviews on polymeric genomics stimulated the investigation on the role of polymers in the induction of specifically genetically controlled responses to antigens, focusing on the cooperative interactions of polymers with plasma cell membranes and the trafficking of polymers to intracellular organelles [179]. In this frame, POPs can exploit a significant role to investigate a possible structure–activity relationship with the aim to design suitable controlled supramolecular assemblies, forming nanospheres or microspheres [15,180]. Thanks to chemical versatility, POPs have been proposed as immune adjuvants, having a flexible backbone, hydrophobic spacers, a high molecule weight, and a partially dissociated ionic group of molecules able to form water-soluble complexes with many biological targets, including proteins, which are essential for their immunostimulating activity through a long-lasting immune response with high-antibody titers [181,182]. The immune adjuvant polymers must be water soluble and usually contain carboxylic acid groups. Poly[di(carboxylatophenoxy)phosphazene] can form noncovalent interactions with protein antigens and demonstrate activity in animal and human clinical trials. Examples are the complexation with group-specific antigen (Gag antigen), for which the presence of the polymer induced the maintenance of the immunostimulation and facilitated the effective delivery of the antigen to the target cells [183]. Combination with H5N1 influenza vaccine, of which thermal stability resulted enhanced in solution, provided for a dose-sparing effect in vivo [184].
Polyphosphazene adjuvant technology evolves through the discovery of new and more potent derivatives and the investigation of alternative delivery routes, such as mucosal and intradermal. It was reported that formulations based on poly[(sodium carboxylate ethyl phenoxy)phosphazene] containing different doses of the influenza X-31 antigen or bovine serum albumin were shown in mice to enhance the antibody responses up to 1000-fold. Even if the detailed immunological mechanism deserves further investigation, some empirical evidence has shown to have a relevant role: the molecular weight of POPs linked to complex stability, the degree of complex compaction linked to antigen presentation and antigen loading, together with the ability of the antigen–POP complexes to adsorb on the cell surface, stimulating intracellular ionic fluxes. Some results of clinical trials have been published. A phase I clinical study on the A/Johannesburg/33/94(H3N2) strain with a 500 µg dose of poly[di(carboxylatophenoxy)phosphazene] showed to be very efficient. The adjuvanted vaccine produced a 14.7-fold increase in antibody titers compared to a 3.1-fold increase for the nonadjuvanted one, with no serious adverse events [185]. The role of the POPs was also investigated in clinical trials with 100 mg of oligomeric HW-1 Gp 160 mm/LAI-2-vaccine in HIV-seronegative volunteers, observing a higher immunization without serious adverse vaccine-related events [186].
Intradermal administration of the vaccine is an intriguing objective, as the skin acts as a natural barrier against infections and has a high density of dendritic cells (such as Langerhans cells) whose formation is to recognize foreign pathogens. To overcome the stratum corneum barrier and increase skin permeability, different approaches have been explored:
- (i)
- The use of microneedles, submillimeter structures capable of penetrating the stratum corneum and releasing the vaccine in the appropriate skin compartment: hollow microneedles which allow infusion of liquids formulation into the skin or microneedles with solid state vaccine formulation [15,187];
- (ii)
- Nanoscale constructs [188], as in the case of the spontaneous self-assembly of Resiquimod with a water-soluble poly[di(carboxylatophenoxy)phosphazene] forming an ionically paired system and a ternary one, including the Hepatitis C virus antigen. It was demonstrated that the supramolecular assembly enabled high immunostimulation in cellular assays (mouse macrophage reporter cell line) and in vitro hemocompatibility (human erythrocytes). Moreover, in vivo studies gave quite promising results (Scheme 11) [189].
Scheme 11. The ionic interaction between the water soluble polyacid–polyphosphazene and Resiquimod.
The adjuvant platform based on water-soluble poly[di(sodiumcarboxylatoethylphenoxy)phosphazene] for the needle-free intradermal subunit vaccine, the Bovine Viral Diarrhea Virus (BVDV) type-2 E2 protein/TriAdj against bovine viral diarrhea virus, which is one of the most serious pathogens in cattle, has been developed. It was observed that the intradermal vaccine induced robust humoral and cell-mediated immune responses equivalent to the 1M delivery, indicating that the intradermal route is very suitable and practical for vaccination in cattle, being less painful and with the possibility to reduce the antigen dose [190]. A similar strategy has been proposed for intradermal immunization with inactivated Suine Influenza Virus (SIV) H1N1 coadministrated with poly[di(sodium carboxylatoethylphenoxy)phosphazene]. A stimulated significant anti-SIV antibody titer, an increment of neutralizing antibodies, and a significant reduction of lung virus load with the limited reduction of gross lung lesions after a challenge with virulent SIV-H1N1 relative to control animals was observed [191,192].
Cancer immunotherapy is one of the most attractive innovative approaches, having identified some specific tumor antigens. TSA/TAA soluble proteins must be presented by antigen-presenting cells (APCs) but are generally weak in immunogenicity, thus requiring a delivery vehicle that can improve cellular uptake, reducing the elimination from circulation. Various nanosystems have been used for protein delivery, such as liposomes, nanogels, micelles, and solid nanoparticles, even if some problems still remain in their application, such as poor loading due to high water solubility and the big bulk size of proteins. Polymersomes containing an aqueous interior could offer protein high-loading but it is more stable than liposomes: polymers responsive to various stimulations (pH, temperature, redox conditions, light) must be used to form polymersomes. Once these stimuli have been applied, they will provide the disintegration of polymersomes or the “breathing” vesicles with enhanced permeability to release small drugs, even if they have been rarely reported for antigen delivery [193,194,195]. POPs with N,N-diisopropylethylene diamine as hydrophobic side groups and water-soluble polyethylene glycol have been used to achieve polymersomes to deliver ovalbumin, a model antigen for immunological studies [196].
Human respiratory syncytial virus (RSV) and parainfluenza virus type 3 (PIV3) are major causes of serious lower respiratory tract disease in infants: currently, no licensed vaccines against RSV and PIV3 are known. Mice, cotton rats, and hamsters were immunized intramuscularly with a formulated chimeric glycoprotein based on poly[di(sodium carboxylatoethoxyphenoxy)phosphazene], thus representing a safe, effective, potential bivalent vaccine against both RSV and PIV3 [197].
Recently, poly[di(carboxylatomethylphenoxy)phosphazene] and poly[di(carboxylatoethylphenoxy)phosphazene] have been proposed as immunoadjuvants for in vivo experiments with human papillomavirus-like particles based on the RG1-VLPs vaccine. Stabilization of the antigenic particles was observed and immunization in mice demonstrated increased immune responses (Scheme 12) [198,199].
Scheme 12.
Virus-like particles in polyacid–polyphosphazene. (Virus image by brgfx on Freepik).
The multifunctionality of polyphosphazenes has also been exploited in the preparation of layered liposomes based on poly[di(carboxyphenoxy)phosphazene] functionalized with arginine able to encapsulate rifampicin and isoniazid drugs against tuberculosis, observing a controlled intracellular release and an immunomodulation effect with the activation of macrophages (Figure 18) [200].
Figure 18.
The polyphosphazene–arginine–layered liposome.
3.3. Phosphazenes in Tissue Engineering
One of the most intriguing applications of polyphosphazenes materials is represented by tissue engineering as scaffolding materials. Materials resembling natural bone must display inductive effects in stimulating bone repair. Biodegradable polyphosphazenes have demonstrated advantages over polyesters in inducing bone regeneration due to the PN backbone and the organic side groups designed to confer the physicochemical and biological properties of the resulting materials. It was shown that the osteogenic differentiation of osteoblasts and bone mesenchymal stromal cells is significantly enhanced on polyphosphazenes both in vivo and in vitro in comparison with biodegradable polyesters. Polyphosphazenes with hydrolytically labile side groups (i.e., glycolyl, glycerol, imidazolyl, glycolide, and amino acids) can be used as biomaterials in both tissue engineering and drug delivery, with degradation rates dependent on the combination of the side groups [201]. Amino-acid-ester-substituted polyphosphazenes can hydrolyze into nontoxic compounds such as amino acids, phosphate, and ammonium ions. Polyphosphazenes bearing smaller amino acids such as glycine or alanine are mechanically soft and fast degrading, while bulkier groups such as lysine result in slow degrading. Cosubstituted polyphosphazenes were developed to achieve polymers with designed and tunable mechanical and degradation properties [88]. The additional properties exhibited by these materials, such as the glass transition temperature in a large range (from −40 to +42 °C), the tensile modulus from 30 to 450 GPa, and the lower surface energy, render polyphosphazenes versatile materials for tissue engineering applications. Furthermore, biodegradable polyphosphazenes have been processed into different porous scaffolds via salt leaching, microsphere sintering, and electrospinning, or blended with other biodegradable polymers such as poly(lactic acid- gluconic acid) [202].
3.3.1. Bone Tissue Engineering
Polyphosphazenes are good choices for the objective of developing multifunctional materials with antibacterial and antioxidant activity, electroactivity, and osteoinductivity for the efficient regeneration of infected bone defects, owing to the chemical flexibility and biodegradable alternate phosphorus and nitrogen atoms backbone, which can be easily functionalized with amino acid esters, giving rise to biocompatible materials for in vivo implementation with the inherent capacity to provide osteogenesis. Among all the biodegradable polymers developed for bone regeneration, polyphosphazene is especially worth mentioning, as it is easily modified and tailored to the physicochemical properties of bone regeneration.
Bone tissue consists of mineral, collagen, and noncollagenous proteins, where hydroxyapatite [Ca10(PO4)6(OH)2] represents about 70% by weight. Phosphazene–hydroxyapatite composites (Figure 19) have been produced via a reaction of calcium phosphates with poly[(ethyloxybenzoate)phosphazene], poly[(propyloxybenzoate)]phosphazene, and poly[bis(sodium or potassium carboxylatophenoxy)phosphazene] [203,204,205], whose chemical, physical, and morphological properties have been investigated to match the structure of bone and to propose these materials as bone cement. Polyphosphazene/nano-hydroxyapatite composite microspheres have been reported which showed good osteoblast cell adhesion.
Figure 19.
Polyphosphazene–calcium phosphate composites.
Different strategies have been explored within the time to achieve the most suitable polyphosphazene system for bone regeneration (Figure 20).
Figure 20.
Evolution of design of polyphosphazenes for bone regeneration.
The first generation of biodegradable polyphosphazenes was designed with an imidazole side group (a biocompatible group able to confer hydrolytic instability to the backbone and nontoxic degradation products): they showed significant enhancement in alkaline phosphate activity when compared to poly(lactic-acid-co-glycolic-acid)(PLAGA), but a decrease of cell attachment and growth with the increase in the content of imidazolyl groups [206]. Histological studies demonstrated that poly[(50% p-methylphenoxy)-(50% ethylglycinato)phosphazene] and poly[bis(ethylglycinato)phosphazene] appeared to support bone growth to a comparable extent to the control PLAGA [207]. The second generation amino-acid-ester-containing polyphosphazenes were developed to achieve a higher biocompatibility. An increase in the content of the ethyl glycinate groups favored increased cell attachment and growth, with a controlled degradation rate depending on the hydrophobic and steric hindrance side groups [208]. Some inflammatory responses for the PLAGA materials used for bone regeneration and the unexpected structure failure have been observed and partially solved by blends with polyphosphazenes. Poly[(glycineethylester-co-alanine ethyl)phosphazene] gave honeycomb-patterned films with enhanced protein adsorption and apatite deposition in simulated body fluid and showed great advantages in promoting osteogeneous differentiation [209]. It was demonstrated that the nature and the ratio of the pendent groups bonded to the P=N backbone play a relevant role in determining the mechanical properties of the resulting polymers and the cell adhesion (Figure 21) [210]. The third generation of dipeptide-substituted polyphosphazenes was developed to achieve more miscible blends with poly(lactic acid-glycolic acid), PLAGA, by substituting the ethylglycinate side groups with glycylglycine ethyl ester side groups, thus achieving PLAGA blends with intermolecular H-bonds. It was observed that this material was self-assembled into interconnected microspheres (Figure 22) [211].
Figure 21.
Biodegradable glycine containing polyphosphazenes for bone regeneration.
Figure 22.
H-bonds between polymeric chains in polyphosphazene–PLAGA blends.
To improve the osteoblast activity, choline chloride and glycine, alanine, valine, and phenylalanine ethyl ester were bonded to the P=N backbone in cyclic trimers and polymer phosphazenes were blended with PLAGA, achieving materials with osteoblast proliferation with high osteoblast phenotype expression (Figure 22 and Scheme 13) [212,213]. Injectable hydrogels based on polyphosphazenes able to promote osteogenesis were also prepared for a bone regeneration effect by bone morphogenetic protein-2 release [214] and systems bearing l-isoleucineethylesters, α-amino-ω-methoxy PEG750, and 4-(2-aminoethoxy)4-oxobutanoic acid as side-chains were tested on three young male beagle dogs with mandibular defects to induce bone augmentation in the alveolar bone for the successful placement of dental implants. Twelve weeks after the treatment, significant bone generation occurred with high-osseointegration levels [215].
Scheme 13.
Synthesis of poly[(aminoethylester)x(choline chloride)y–phosphazene].
A key point to understand the role of phosphazenes in bone tissue engineering is the mechanism of stimulation of osteogenesis and osteogenic differentiation. Comparative cell (mesenchymal stromal cells) culture experiments were performed by culturing on poly(ethylalanate)0.3(ethylglycinate)0.7]phosphazenes and poly[(ethylphenylalanate)0.3(ethylglycinate)0.7]phosphazenes by adding quantitative inorganic phosphate as polyphosphazene degradation products into trans good chambers. The results revealed that both the films and the degradation products play a significant role in regulating cell behaviors, with poly[phenylglycinate]phosphazene (PPGP) films able to give great promotion in osteogenic differentiation via the contact effect [216], likely due to the slower degradation rate (Scheme 14).
Scheme 14.
Synthesis of poly(ethylalanate)0.3(ethylglycinate)0.7]phosphazenes and poly[(ethylphenylalanate)0.3(ethylglycinate)0.7]phosphazenes.
A further aspect to consider for designing bone tissue engineering materials is to imitate the composition, morphology, and physiological characteristics of natural bone tissue, including sensitivity to electrical stimulation, originated by the structural arrangement of collagen fibers and hydroxyapatite nanocrystals. This feature suggested the use of electrical stimulation to accelerate bone regeneration and some intriguing and promising results upon seeding mesenchymal stromal cells on polymeric conductive substrates on polypyrrole and polyaniline [217,218,219] and in conductive composites based on polylactic acid incorporating carbon nanotubes [220]. Carbon nanotubes (CNT) have also been dispersed in solutions of alanine ethyl ester and glycine ethyl ester cosubstituted polyorganophosphazenes, thus preparing conductive composite films on which assays on cell attachment, proliferation, and differentiation were conducted. It was observed that appropriate electrostimulation (1.5 V, 2 h per day) improved the increment in the expression of osteogenic markers as alkaline phosphatase. Collagen I and calcium deposition occurred, likely due to the higher amounts of ions attracted together with the activation of voltage-gated Ca2+ channels on cell membranes, thus increasing the level of intracellular Ca2+ and thus promoting osteogenesis [221]. A biocompatible composite able to induce cell proliferation and osteoblastic differentiation has been achieved by the hydrothermal crosslinking of water-soluble phosphazene containing hydroxy groups and Ti(OBu)4, as seen in Scheme 15 [222].
Scheme 15.
Synthesis of a Ti(OBut)4–phosphazene composite.
New porous scaffolds based on polyphosphazene bearing dimethyalminoethane/calcium phosphate containing chitosan microspheres showed a very good osteogenic potential of cells, thus suggesting that they can be successfully utilized in bone tissue engineering [223]. Scaffold materials based on electrospun polydopamine-modified polyphosphazene have been reported to exhibit a higher osteocompatibility than aliphatic polyesters, with significant enhancement in MC3T3-E1 cell attachment and proliferation [224].
Also in vivo, tests have been carried out by using glycylglycine ethyl-ester-substituted polyphosphazene and poly(lactic-co-glycolic acid)blends in a rabbit critical-sized bone defect model. Based on radiological and histological analyses, bone regeneration and a mild inflammatory response were observed, proving these materials to be viable for matrix-based bone regenerative engineering [225].
A recent improvement in this topic is the preparation of AgNPs loaded with poly[(aniline tetramer)(ethyl glycyl)]phosphazene, followed by polydopamine (PDA) modification, forming PATGP@PDA+Ag microspheres, which demonstrated strong antibacterial activity against S. aureus and the most abundant neobone formation after coimplantation of these microspheres with S. aureus into rat calvarian defects. The data revealed that AgNP-loaded scaffolds made of conductive polyphosphazene were promising for the regeneration of infected bone defects [226].
3.3.2. Polyphosphazenes in Nerve and Cardiac Tissue Engineering
The ability of polyphosphazenes to yield materials able to promote cell adhesion, proliferation, and differentiation, depending on the nature of the substituents bonded to the P=N backbone, allowed us to design systems suitable for restoring or replacing damaged tissues [227]. Electrospun nanofibers (0.1–2.3 µm diameter) based on poly[(ethyl phenylalanato)1.4(ethylglycinato)0.6phosphazene] have been prepared and characterized. The degree of the endothelial cell proliferation after 4 days on the scaffolds prepared with these fibers was higher than that on the polystyrene tissue-culture plates [228]. Three-dimensional porous scaffolds for tissue regeneration with tuneable degradability and morphology have been also prepared through the photopolymerization of glycine-substituted polyphosphazenes bearing thiol moieties. Adipose-derived stem cells, with high potential for tissue engineering, have been successfully tested both for adhesion and proliferation [229].
Electrospun polycaprolactone nanofiber (400–4000 nm diameter) matrices functionalized with poly[(ethyl alanato(p-methyl phenoxy)phosphazene] have been reported to improve adhesion, proliferation, and differentiation of osteogenic and chondrogenic cell lines BMP-2 and BMP-7, respectively, in a higher extent with respect nonfunctionalized polycaprolactone, thus being promising materials for tendon/tear repair [230]. Amino-acid-ester-substituted POPs have been studied and considered good candidates for ligament and tendon engineering due to the tendency to form films, a tuneable hydrolysis rate, and designed mechanical properties depending on the steric hindrance of amino acid esters and the presence of UV-curable citronellol [231].
Tubular matrices of poly[bis(ethylalanato)phosphazene] have been tested as guides for nerve regeneration [232]. The insertion on the P=N backbone of electroactive moieties suggested the possibility to design suitable POPs for nerve tissue engineering [233].
The fibers of poly[bis(ethylalanato)] and poly[(ethylphenylalanato)0.8(ethylalanato)0.8(ethyl glycinato)0.4phosphazene] have been shown to possess high cell adhesion and proliferation: their capacity to improve rat neuromicrovascular endothelial cell growth has been tested [234].
Fluoroalkoxy-substituted polyphosphazenes have been prepared and their elastomeric, hydrophobic, and antimicrobial properties have been explored for a possible application in cardiac tissue engineering [235].
3.4. Other Biomedical Applications
Polyphosphazenes bearing octafluoropentoxy chains blended with polyurethane or crosslinked gave textured films which showed the inhibition of adhesion and biofilm formation [236], thus representing a good biomaterial to prevent pathogenic infections and thrombosis in the application of blood-contacting medicinal devices [237,238,239]. Poly[bis(trifluoroethoxy)phosphazene nanocoated-stainless-steel stents were implanted in the renal and iliac arteries of minipigs. Reduced stent stenosis and lower inflammation response have been observed (Scheme 16) [240].
Scheme 16.
Synthesis of hydrophobic trifluoroethoxy-phosphazenes bearing tertiary amino groups linked to the phosphazenes backbone (a) via oxy bridge and (b) via amino bridge.
Nontoxic, superhydrophobic hybrid nanowires composed of poly[bis(2,2,2-trifluoroethoxy)phosphazene]-Al2O3 (PTFEP/Al2O3) have been reported to show a topographic feature with a dual-scale roughness (micro and nano), forming a stable air cushion able to reduce the contact area between the surface and blood in contact below the liquid. A study is in progress to achieve 3D geometries for new coatings for cardiovascular devices (Scheme 17) [241,242].
Scheme 17.
Schematic description for preparation of hydrophobic fluorinated-phosphazene-aluminum-oxide nanowires as coatings for cardiovascular stents. (Stent picture from https://free3d.com/3d-model/medical-stent-5591.html, accessed on 20 October 2022).
Hydrophobic and superhydrophobic membranes by the casting or electrospinning of polyphosphazene fibers bearing the substituents reported in Figure 23 have been prepared: contact angles varied from 86° for the –[N=P(OCH2CF3)2]x–[Si(CH3)2–O]y systems to 159° for the –[N=P(OCH2CF3)2]– one.
Figure 23.
Hydrophobic polyphosphazenes.
Funding
This research was funded by the Department of Industrial Engineering, University of Padova (Italy), SID Project 2022.
Acknowledgments
Dedicated to Mario Gleria, the friend who disclosed us the rainbow of phosphazenes.
Conflicts of Interest
The authors declare no conflict of interest.
References
- Mark, J.E.; Allcock, H.R.; West, R. Inorganic Polymers, 2nd ed.; Oxford University Press: Oxford, UK, 2005; Volume 22, pp. 1–353. [Google Scholar]
- Gleria, M.; Jaeger, R. Phosphazenes: A Worldwide Insight; Science Publishing: Hauppage, NY, USA, 2004; p. 1047. [Google Scholar]
- Gleria, M.; de Jaeger, R. Applicative Aspects of Cyclophosphazenes; Science Publishing: Hauppage, NY, USA, 2004; p. 3. [Google Scholar]
- Gleria, M.; de Jaeger, R. Aspects of Phosphazene Research. J. Inorg. Organomet. Polym. 2001, 11, 1–45. [Google Scholar] [CrossRef]
- Allcock, H.R.; Kugel, R.L. Synthesis of High Polymeric Alkoxy-and Aryloxyphosphonitriles. J. Am. Chem. Soc. 1965, 87, 4216–4217. [Google Scholar] [CrossRef]
- Allcock, H.R.; Kugel, R.L.; Valan, K.J. Phosphonitrilic Compounds. VI. High Molecular Weight Poly(Alkoxy-and Aryloxyphosphazenes). Inorg. Chem. 1966, 5, 1709–1715. [Google Scholar] [CrossRef]
- Allcock, H.R.; Kugel, R.L. Phosphonitrilic Compounds. VII. High Molecular Weight Poly(Diaminophosphazenes). Inorg. Chem. 1966, 5, 1716–1718. [Google Scholar] [CrossRef]
- Sun, X.; Li, L.; Yang, Y.; Jia, C.; Zhang, X.; Wu, J.; Zhu, Z.; Wang, J.; Yang, J. Flame-Retardant Effect of Hyperbranched Phosphazene-Based Microspheres in Poly(L-Lactic Acid). J. Mater. Sci. 2022, 57, 1516–1535. [Google Scholar] [CrossRef]
- Zarybnicka, L.; Machotova, J.; Kopecka, R.; Sevcik, R.; Hudakova, M.; Pokorny, J.; Sal, J. Effect of Cyclotriphosphazene-Based Curing Agents on the Flame Resistance of Epoxy Resins. Polymers 2020, 13, 8. [Google Scholar] [CrossRef]
- Gleria, M.; de Jaeger, R. Polyphosphazenes: A Review. Top. Curr. Chem. 2005, 250, 165–251. [Google Scholar] [CrossRef]
- Allcock, H.R. Chapter 7. Phosphazene High Polymers. In Phosphorus-Based Polymers: From Synthesis to Applications; RSC Polymer Chemistry Series; Royal Society of Chemistry: Cambridge, UK, 2014; pp. 125–150. [Google Scholar] [CrossRef]
- Khanin, D.A.; Kononevich, Y.N.; Temnikov, M.N.; Morgalyuk, V.P.; Vasil’ev, V.G.; Popov, A.Y.; Brel, V.K.; Papkov, V.S.; Muzafarov, A.M. New Hybrid Materials Based on Cyclophosphazene and Polysiloxane Precursors: Synthesis and Properties. Polymer 2020, 186, 122011. [Google Scholar] [CrossRef]
- Inoue, K.; Itaya, T. Synthesis and Functionality of Cyclophosphazene-Based Polymers. Bull. Chem. Soc. Jpn. 2001, 74, 1381–1395. [Google Scholar] [CrossRef]
- Kato, F.; Chandra, A.; Tokita, M.; Asano, H.; Shimomoto, H.; Ihara, E.; Hayakawa, T. Self-Assembly of Hierarchical Structures Using Cyclotriphosphazene-Containing Poly(Substituted Methylene) Block Copolymers. ACS Macro. Lett. 2018, 7, 37–41. [Google Scholar] [CrossRef]
- Andrianov, A.K. Polyphosphazenes for Biomedical Applications; John Wiley & Son: Hoboken, NJ, USA, 2009; p. 462. [Google Scholar]
- Belluco, U.; Bertani, R.; Michelin, R.A.; Mozzon, M.; Zingales, F.; Gleria, M. Organometallic Phosphazenes: Synthesis and Characterization of Pt(II) and Pt(0) Cinnammonitrile Cyclophosphazene Derivatives. Inorg. Chim. Acta 1995, 229, 13–15. [Google Scholar] [CrossRef]
- Chistyakov, E.; Yudaev, P.; Nelyubina, Y. Crystallization of Nano-Sized Macromolecules by the Example of Hexakis-[4-{(N-Allylimino)Methyl}phenoxy]Cyclotriphosphazene. Nanomaterials 2022, 12, 2268. [Google Scholar] [CrossRef] [PubMed]
- De Jaeger, R.; Gleria, M. Synthesis and Characterizations of Poly (Organophosphazenes); Nova Science Publishers, Inc.: Hauppauge, NY, USA, 2004; p. 372. [Google Scholar]
- Allcock, H.R. A Perspective of Polyphosphazene Research. J. Inorg. Organomet. Polym. Mater. 2006, 16, 277–294. [Google Scholar] [CrossRef]
- Zhang, L.; Shi, J.; Yang, Z.; Huang, M.; Chen, Z.; Gong, Q.; Cao, S. Photorefractive Properties of Polyphosphazenes Containing Carbazole-Based Multifunctional Chromophores. Polymer 2008, 49, 2107–2114. [Google Scholar] [CrossRef]
- Burjanadze, M.; Paulsdorf, J.; Kaskhedikar, N.; Karatas, Y.; Wiemhöfer, H.D. Proton Conducting Membranes from Sulfonated Poly[Bis(Phenoxy)Phosphazenes] with an Interpenetrating Hydrophilic Network. Solid State Ion. 2006, 177, 2425–2430. [Google Scholar] [CrossRef]
- Ali, Z.; Basharat, M.; Wu, Z. A Review on the Morphologically Controlled Synthesis of Polyphosphazenes for Electrochemical Applications. ChemElectroChem 2021, 8, 759–782. [Google Scholar] [CrossRef]
- Gleria, M.; Bertani, R.; de Jaeger, R.; Lora, S. Fluorine Containing Phosphazene Polymers. J. Fluor. Chem. 2004, 125, 329–337. [Google Scholar] [CrossRef]
- Allcock, H.R.; Phelps, M.V.B.; Barrett, E.W.; Pishko, M.V.; Koh, W.G. Ultraviolet Photolithographic Development of Polyphosphazene Hydrogel Microstructures for Potential Use in Microarray Biosensors. Chem. Mater. 2006, 18, 609–613. [Google Scholar] [CrossRef]
- Wycisk, R.; Pintauro, P.N. Polyphosphazene Membranes for Fuel Cells. Adv. Polym. Sci. 2008, 216, 157–183. [Google Scholar] [CrossRef]
- Amin, A.M.; Wang, L.; Wang, J.; Yu, H.; Huo, J.; Gao, J.; Xiao, A. Recent Research Progress in the Synthesis of Polyphosphazene and Their Applications. Des. Monomers Polym. 2009, 12, 357–375. [Google Scholar] [CrossRef]
- Singler, R.E. Historical Overview of the Army Contributions to Phosphazene Chemistry. J. Inorg. Organomet. Polym. Mater. 2007, 16, 307–309. [Google Scholar] [CrossRef]
- Teasdale, I.; Brüggemann, O. Polyphosphazenes for Medical Applications; Smithers Rapra: Shropshire, UK, 2014. [Google Scholar]
- Nielsen, M.L.; Cranford, G.; Quimby, O.T. Trimeric Phosphonitrile Chloride and Tetrameric Phosphonitrile Chloride. J. Am. Chem. Soc. 2007, 6, 94–97. [Google Scholar] [CrossRef]
- Bowers, D.J.; Wright, B.D.; Scionti, V.; Schultz, A.; Panzner, M.J.; Twum, E.B.; Li, L.L.; Katzenmeyer, B.C.; Thome, B.S.; Rinaldi, P.L.; et al. Structure and Conformation of the Medium-Sized Chlorophosphazene Rings. Inorg. Chem. 2014, 53, 8874–8886. [Google Scholar] [CrossRef] [PubMed]
- Shaw, R.A.; Fitzsimmons, B.W.; Smith, B.C. The Phosphazenes (Phosphonitrilic Compounds). Chem. Rev. 1962, 62, 247–281. [Google Scholar] [CrossRef]
- Stewart, F.F. Phosphazenes. In Organophosphorus Chemistry; RSC Publishing: Cambridge, UK, 2013; Volume 42, pp. 216–262. [Google Scholar] [CrossRef]
- Stewart, F.F. Phosphazenes. In Organophosphorus Chemistry; RSC Publishing: Cambridge, UK, 2014; Volume 43, pp. 366–412. [Google Scholar] [CrossRef]
- Allcock, H.R. Recent Developments in Polyphosphazene Materials Science. Curr. Opin. Solid State Mater. Sci. 2006, 10, 231–240. [Google Scholar] [CrossRef]
- Ahmad, M.; Nawaz, T.; Hussain, I.; Chen, X.; Imran, M.; Hussain, R.; Assiri, M.A.; Ali, S.; Wu, Z. Phosphazene Cyclomatrix Network-Based Polymer: Chemistry, Synthesis, and Applications. ACS Omega 2022, 7, 28694–28707. [Google Scholar] [CrossRef] [PubMed]
- Sedláková, V.; Voráč, Z.; Jaroš, J.; Bačovská, R.; Kloučková, M.; Svoboda, M.; Streit, L.; Dumková, J.; Vašíčková, K.; Alberti, M.; et al. Enhanced Bioactivity of Electrospun PCL and PLLA Scaffolds Blended with Amino-Phosphazene. Mater. Lett. 2018, 228, 339–343. [Google Scholar] [CrossRef]
- Fu, J.; Qiu, L. Optimizing Hydrophobic Groups in Amphiphiles to Induce Gold Nanoparticle Complex Vesicles for Stability Regulation. Langmuir 2017, 33, 12291–12299. [Google Scholar] [CrossRef]
- Henke, H.; Brüggemann, O.; Teasdale, I. Branched Macromolecular Architectures for Degradable, Multifunctional Phosphorus-Based Polymers. Macromol. Rapid Commun. 2017, 38, 1600644. [Google Scholar] [CrossRef]
- Tian, Z.; Chen, C.; Allcock, H.R. Synthesis and Assembly of Novel Poly(Organophosphazene) Structures Based on Noncovalent “Host-Guest” Inclusion Complexation. Macromolecules 2014, 47, 1065–1072. [Google Scholar] [CrossRef]
- Bertani, R.; Chaux, F.; Gleria, M.; Metrangolo, P.; Milani, R.; Pilati, T.; Resnati, G.; Sansotera, M.; Venzo, A. Supramolecular Rods via Halogen Bonding-Based Self-Assembly of Fluorinated Phosphazene Nanopillars. Inorg. Chim. Acta 2007, 360, 1191–1199. [Google Scholar] [CrossRef]
- Rothemund, S.; Teasdale, I. Preparation of Polyphosphazenes: A Tutorial Review. Chem. Soc. Rev. 2016, 45, 5200–5215. [Google Scholar] [CrossRef] [PubMed]
- Khan, R.U.; Wang, L.; Yu, H.; Zain-ul-Abdin; Akram, M.; Wu, J.; Haroon, M.; Ullah, R.S.; Deng, Z.; Xia, X. Poly(Organo)Phosphazenes: Recent Progress in the Synthesis and Applications in Tissue Engineering and Drug Delivery. Russ. Chem. Rev. 2018, 87, 109–150. [Google Scholar] [CrossRef]
- Wang, B. Development of a One-Pot in Situ Synthesis of Poly(Dichlorophosphazene) from PCl3. Macromolecules 2005, 38, 643–645. [Google Scholar] [CrossRef]
- Blackstone, V.; Lough, A.J.; Murray, M.; Manners, I. Probing the Mechanism of the PCl5-Initiated Living Cationic Polymerization of the Phosphoranimine Cl3P=NSiMe3 Using Model Compound Chemistry. J. Am. Chem. Soc. 2009, 131, 3658–3667. [Google Scholar] [CrossRef] [PubMed]
- Allcock, H.R.; Crane, C.A.; Morrissey, C.T.; Olshavsky, M.A. A New Route to the Phosphazene Polymerization Precursors, Cl3P=NSiMe3 and (NPCl2)3. Inorg. Chem. 1999, 38, 280–283. [Google Scholar] [CrossRef]
- Allcock, H.R.; Crane, C.A.; Morrissey, C.T.; Nelson, J.M.; Reeves, S.D.; Honeyman, C.H.; Manners, I. “Living” Cationic Polymerization of Phosphoranimines as an Ambient Temperature Route to Polyphosphazenes with Controlled Molecular Weights. Macromolecules 1996, 29, 7740–7747. [Google Scholar] [CrossRef]
- Wisian-Neilson, P.; Neilson, R.H.; Graaskamp, J.M.; Dunn, B.S. Poly (Dimethylphosphazene) and Poly (Methylphenylphosphazene): {Poly[Nitrilo (Dimethylphosphoranylidyne)] and Poly[Nitrilo (Methylphenylphosphoranylidyne)]}. Inorg. Synth. 1989, 25, 69–74. [Google Scholar] [CrossRef]
- Schwesinger, R.; Schlemper, H. Peralkylated Polyaminophosphazenes—Extremely Strong, Neutral Nitrogen Bases. Angew. Chem. Int. Ed. Engl. 1987, 26, 1167–1169. [Google Scholar] [CrossRef]
- Weitkamp, R.F.; Neumann, B.; Stammler, H.G.; Hoge, B. Phosphorus-Containing Superbases: Recent Progress in the Chemistry of Electron-Abundant Phosphines and Phosphazenes. Chem. Eur. J. 2021, 27, 10807–10825. [Google Scholar] [CrossRef]
- Huang, Z.; Chen, S.; Lu, X.; Lu, Q. Water-Triggered Self-Assembly Polycondensation for the One-Pot Synthesis of Cyclomatrix Polyphosphazene Nanoparticles from Amino Acid Ester. Chem. Commun. 2015, 51, 8373–8376. [Google Scholar] [CrossRef] [PubMed]
- Wan, C.; Huang, X. Cyclomatrix Polyphosphazenes Frameworks (Cyclo-POPs) and the Related Nanomaterials: Synthesis, Assembly and Functionalisation. Mater. Today Commun. 2017, 11, 38–60. [Google Scholar] [CrossRef]
- Bartlett, S.W.; Coles, S.J.; Davies, D.B.; Hursthouse, M.B.; Ibişoǧlu, H.; Kiliç, A.; Shaw, R.A.; Ün, I. Structural Investigations of Phosphorus-Nitrogen Compounds. 7. Relationships between Physical Properties, Electron Densities, Reaction Mechanisms and Hydrogen-Bonding Motifs of N3P3Cl(6-n)(NHBut)n Derivatives. Acta Cryst. B 2006, 62, 321–329. [Google Scholar] [CrossRef] [PubMed]
- Allcock, H.R. Recent Advances in Phosphazene (Phosphonitrilic) Chemistry. Chem. Rev. 1972, 72, 315–356. [Google Scholar] [CrossRef]
- Ün, Ş.Ş.; Özcan, E.; Uslu, A.; Yuksel, F.; Kiliç, A. Cyclotriphosphazene Derivatives with Three Different Chiral Centres: Synthesis, Characterization and Investigation of Their Stereogenic Properties. Polyhedron 2013, 62, 250–259. [Google Scholar] [CrossRef]
- Asmafiliz, N. Syntheses of Chiral Phosphazenes with Stereogenic Centers: NMR Behavior in the Presence of a Chiral Solvating Agent. Heteroat. Chem. 2014, 25, 83–94. [Google Scholar] [CrossRef]
- Yeşilot, S.; Uslu, A. Stereochemical Aspects of Polyphosphazenes. Polym. Rev. 2017, 57, 213–247. [Google Scholar] [CrossRef]
- Uslu, A.; Yeşilot, S. Chiral Configurations in Cyclophosphazene Chemistry. Coord. Chem. Rev. 2015, 291, 28–67. [Google Scholar] [CrossRef]
- Dewar, M.J.S.; Lucken, E.A.C.; Whitehead, M.A. The Structure of the Phosphonitrilic Halides. J. Chem. Soc. 1960, 2423–2429. [Google Scholar] [CrossRef]
- Chaplin, A.B.; Harrison, J.A.; Dyson, P.J. Revisiting the Electronic Structure of Phosphazenes. Inorg. Chem. 2005, 44, 8407–8417. [Google Scholar] [CrossRef]
- Calichman, M.; Derecskei-Kovacs, A.; Allen, C.W. The Origin of Endocyclic Bond Length Variations in Disubstituted Cyclotriphosphazenes. Inorg. Chem. 2007, 46, 2011–2016. [Google Scholar] [CrossRef] [PubMed]
- Guajardo Maturana, R.; Valenzuela, M.L.; Schott, E.; Rojas-Poblete, M. Bonding and Optical Properties of Spirocyclic-Phosphazene Derivatives. A DFT Approach. Phys. Chem. Chem. Phys. 2017, 19, 31479–31486. [Google Scholar] [CrossRef]
- Linares-Flores, C.; Ramirez-Tagle, R.; Rojas-Poblete, M.; Arratia-Perez, R.; Muñoz-Castro, A.; Guajardo-Maturana, R. Role of Donor-Acceptor Functional Groups in N3P3 Cyclic-Triphosphazene Backbone. Unraveling Bonding Characteristics from Natural Orbitals within an Extended Transition State-Natural Orbital for the Chemical Valence Scheme. Int. J. Quantum Chem. 2020, 120, e26057. [Google Scholar] [CrossRef]
- Jancik, V.; Cortés-Guzmán, F.; Herbst-Irmer, R.; Matínez-Otero, D. Is Hexachloro-Cyclo-Triphosphazene Aromatic? Evidence from Experimental Charge Density Analysis. Chem. Eur. J. 2017, 23, 6964–6968. [Google Scholar] [CrossRef] [PubMed]
- Vorontsov, I.I.; Tur, D.R.; Papkov, V.S.; Antipin, M.Y. X-ray Crystal Structures and DFT Calculations of Differently Charged Aminocyclophosphazenes. J. Mol. Struct. 2009, 928, 1–11. [Google Scholar] [CrossRef]
- Calichman, M.; Allen, C.W. Organophophazenes 28: The Nature of the Exocyclic Phosphorus–Carbon Bond in Organophosphazenes. Phosphorus Sulfur Silicon Relat. Elem. 2015, 190, 2110–2115. [Google Scholar] [CrossRef]
- Gershoni-Poranne, R.; Stanger, A. NICS—Nucleus Independent Chemical Shift in Aromaticity. Modern Computational Methods and Applications; Fernandez, I., Ed.; Elsevier: Amsterdam, The Netherlands, 2021. [Google Scholar]
- Jaeger, R.; Vancso, G.J. An Ab Initio and Force Field Study on the Conformation and Chain Flexibility of the Dichlorophosphazene Trimer. Macromol. Theory Simul. 1996, 5, 673–689. [Google Scholar] [CrossRef]
- Caminiti, R.; Gleria, M.; Lipkowitz, K.B.; Lombarde, G.M.; Pappalardo, G.C. Molecular Dynamics Simulations Combined with Large Angle X-Ray Scattering Technique for the Determination of the Structure, Conformation, and Conformational Dynamics of Polyphosphazenes in Amorphous Phase: Study of Poly[Di(4-Methylphenoxy)Phosphazene]. J. Am. Chem. Soc. 1997, 119, 2196–2204. [Google Scholar] [CrossRef]
- Laguna, M.T.R.; Saiz, E.; Tarazona, M.P. Solution Properties of Poly(Diphenoxyphosphazene) below the θ Temperature Obtained by SEC/MALLS. Polymer 2000, 41, 7993–8000. [Google Scholar] [CrossRef]
- Amato, M.E.; Grassi, A.; Lipkowitz, K.B.; Lombardo, G.M.; Pappalardo, G.C.; Sadun, C. Molecular Dynamics Simulations of Polyphosphazenes: Poly[Bis(Chloro)Phosphazene][NPCl2] n. J. Inorg. Organomet. Polym. 1996, 6, 237–253. [Google Scholar] [CrossRef]
- Caminiti, R.; Gleria, M.; Lipkowitz, K.B.; Lombardo, G.M.; Pappalardo, G.C. Molecular Modeling and Large-Angle x-Ray Scattering Studies of the Structure of Semicrystalline Poly [Bis(Phenoxy)Phosphazene]. Chem. Mater. 1999, 11, 1492–1497. [Google Scholar] [CrossRef]
- Tarazona, M.P.; Saiz, E. A Conformational Model for Poly(Dichlorophosphazene) Derived from Molecular Dynamics Simulations. Polymer 2000, 41, 3337–3347. [Google Scholar] [CrossRef]
- Wang, Y.; Balbuena, P.B. Combined Ab Initio Quantum Mechanics and Classical Molecular Dynamics Studies of Polyphosphazene Polymer Electrolytes: Competitive Solvation of Li+ and LiCF3SO3. J. Phys. Chem. B 2004, 108, 15694–15702. [Google Scholar] [CrossRef]
- Sun, H. The COMPASS Force Field: Parameterization and Validation for Phosphazenes. Comput. Theor. Polym. Sci. 1998, 8, 229–246. [Google Scholar] [CrossRef]
- Fried, J.R.; Ren, P. Molecular Simulation of the Glass Transition of Polyphosphazenes. Comput. Theor. Polym. Sci. 1999, 9, 111–116. [Google Scholar] [CrossRef]
- Fried, J.R.; Ren, P. The Atomistic Simulation of the Gas Permeability of Poly(Organophosphazenes). Part 1. Poly(Dibutoxyphosphazenes). Comput. Theor. Polym. Sci. 2000, 10, 447–463. [Google Scholar] [CrossRef]
- Hu, N.; Fried, J.R. The Atomistic Simulation of the Gas Permeability of Poly(Organophosphazenes). Part 2. Poly[Bis(2,2,2-Trifluoroethoxy)Phosphazene]. Polymer 2005, 46, 4330–4343. [Google Scholar] [CrossRef]
- Fried, J.R. Gas Diffusion and Solubility in Poly(Organophosphazenes): Results of Molecular Simulation Studies. J. Inorg. Organomet. Polym. Mater. 2006, 16, 407–418. [Google Scholar] [CrossRef]
- Kroger, J.L.; Fried, J.R. Molecular Simulations of Polyphosphazenes for Biomedical Applications. J. Inorg. Organomet. Polym. Mater. 2012, 22, 973–984. [Google Scholar] [CrossRef]
- Allcock, H.R.; Pucher, S.R.; Scopelianos, A.G. Poly[(Amino Acid Ester)Phosphazenes] as Substrates for the Controlled Release of Small Molecules. Biomaterials 1994, 15, 563–569. [Google Scholar] [CrossRef]
- Veronese, F.M.; Marsilio, F.; Lora, S.; Caliceti, P.; Passi, P.; Orsolini, P. Polyphosphazene Membranes and Microspheres in Periodontal Diseases and Implant Surgery. Biomaterials 1999, 20, 91–98. [Google Scholar] [CrossRef] [PubMed]
- Caliceti, P.; Veronese, F.M.; Lora, S. Polyphosphazene Microspheres for Insulin Delivery. Int. J. Pharm. 2000, 211, 57–65. [Google Scholar] [CrossRef] [PubMed]
- Wang, J.; Li, Z.; Basharat, M.; Wu, S.; Zhang, S.; Zhang, X.; Ma, H.; Liu, W.; Wu, D.; Wu, Z. Effect of Side Groups on Glass Transition Temperatures of Poly(Ethoxy/Phenoxy)Phosphazenes: Prediction and Synthesis. Polymer 2021, 230, 124068. [Google Scholar] [CrossRef]
- Chen, K.; Demir, B.A.; Chen, K.; Demir, B. A Computational Procedure for Atomistic Modelling of Polyphosphazenes towards Better Capturing Molecular-Level Structuring and Thermo-Mechanical Properties. Polymers 2022, 14, 1451. [Google Scholar] [CrossRef] [PubMed]
- Marin, A.; Decollibus, D.P.; Andrianov, A.K. Protein Stabilization in Aqueous Solutions of Polyphosphazene Polyelectrolyte and Non-Ionic Surfactants. Biomacromolecules 2010, 11, 2268–2273. [Google Scholar] [CrossRef]
- Decollibus, D.P.; Marin, A.; Andrianov, A.K. Effect of Environmental Factors on Hydrolytic Degradation of Water-Soluble Polyphosphazene Polyelectrolyte in Aqueous Solutions. Biomacromolecules 2010, 11, 2033–2038. [Google Scholar] [CrossRef]
- Ogueri, K.S.; Ogueri, K.S.; Ude, C.C.; Allcock, H.R.; Laurencin, C.T. Biomedical Applications of Polyphosphazenes. Med. Devices Sens. 2020, 3, e10113. [Google Scholar] [CrossRef]
- Singh, A.; Krogman, N.R.; Sethuraman, S.; Nair, L.S.; Sturgeon, J.L.; Brown, P.W.; Laurencin, C.T.; Allcock, H.R. Effect of Side Group Chemistry on the Properties of Biodegradable L-Alanine Cosubstituted Polyphosphazenes. Biomacromolecules 2006, 7, 914–918. [Google Scholar] [CrossRef]
- Andrianov, A.K.; Marin, A. Degradation of Polyaminophosphazenes: Effects of Hydrolytic Environment and Polymer Processing. Biomacromolecules 2006, 7, 1581–1586. [Google Scholar] [CrossRef]
- Lakshmi, S.; Katti, D.S.; Laurencin, C.T. Biodegradable Polyphosphazenes for Drug Delivery Applications. Adv. Drug Deliv. Rev. 2003, 55, 467–482. [Google Scholar] [CrossRef]
- Baillargeon, A.L.; Penev, K.I.; Mequanint, K. One-Pot Substitution Approach for the Syntheses of Nonfunctional and Functional Poly[(Amino Acid Ester)Phosphazene] Biomaterials. Macromol. Mater. Eng. 2017, 302, 1600318. [Google Scholar] [CrossRef]
- Baillargeon, A.L.; Mequanint, K. Biodegradable Polyphosphazene Biomaterials for Tissue Engineering and Delivery of Therapeutics. Biomed. Res. Int. 2014, 2014. [Google Scholar] [CrossRef] [PubMed]
- Teasdale, I.; Brüggemann, O. Polyphosphazenes: Multifunctional, Biodegradable Vehicles for Drug and Gene Delivery. Polymers 2013, 5, 161–187. [Google Scholar] [CrossRef] [PubMed]
- James, R.; Deng, M.; Kumbar, S.G.; Laurencin, C.T. Polyphosphazenes. Natural and Synthetic Biomedical Polymers; Elsevier: Amsterdam, The Netherlands, 2014; pp. 193–206. [Google Scholar] [CrossRef]
- Morozowich, N.L.; Mondschein, R.J.; Allcock, H.R. Comparison of the Synthesis and Bioerodible Properties of N-Linked Versus O-Linked Amino Acid Substituted Polyphosphazenes. J. Inorg. Organomet. Polym. Mater. 2014, 24, 164–172. [Google Scholar] [CrossRef]
- Amin, A.M.; Shahid, S.A.; Li, W.; Haojie, Y.; Ali, Z.; Rehman, H.; Ghaffar, A.; Sarfraz, M.; Waqas, M. An Efficient Synthesis, Structural Characterization and Hydrolytic Degradation Studies of Poly[Bis(3-Phenyl-1-Propoxide Amino Benzoic Acid Diethylamino)Phosphazene] as Potential Materials for Biomedical Applications. J. Inorg. Organomet. Polym. Mater. 2017, 27, 1117–1121. [Google Scholar] [CrossRef]
- Kumbar, S.G.; Bhattacharyya, S.; Nukavarapu, S.P.; Khan, Y.M.; Nair, L.S.; Laurencin, C.T. In Vitro and in Vivo Characterization of Biodegradable Poly(Organophosphazenes) for Biomedical Applications. J. Inorg. Organomet. Polym. Mater. 2006, 16, 365–385. [Google Scholar] [CrossRef]
- Andrianov, A.K.; Marin, A.; Chen, J. Synthesis, Properties, and Biological Activity of Poly[Di(Sodium Carboxylatoethylphenoxy)Phosphazene]. Biomacromolecules 2006, 7, 394–399. [Google Scholar] [CrossRef]
- Kumar, S.; Singh, R.K.; Prasad, D.N.; Bhardwaj, T.R. Synthesis and in Vitro Degradation Studies of Substituted Poly(Organophosphazenes) for Drug Delivery Applications. J. Drug Deliv. Sci. Technol. 2017, 38, 135–142. [Google Scholar] [CrossRef]
- Andrianov, A.K. Water-Soluble Polyphosphazenes for Biomedical Applications. J. Inorg. Organomet. Polym. Mater. 2006, 16, 397–406. [Google Scholar] [CrossRef]
- Andrianov, A.K.; Marin, A.; Peterson, P. Water-Soluble Biodegradable Polyphosphazenes Containing N-Ethylpyrrolidone Groups. Macromolecules 2005, 38, 7972–7976. [Google Scholar] [CrossRef]
- Wilfert, S.; Iturmendi, A.; Schoefberger, W.; Kryeziu, K.; Heffeter, P.; Berger, W.; Brüggemann, O.; Teasdale, I. Water-Soluble, Biocompatible Polyphosphazenes with Controllable and PH-Promoted Degradation Behavior. J. Polym. Sci. A Polym. Chem. 2014, 52, 287–294. [Google Scholar] [CrossRef] [PubMed]
- Heyde, M.; Claeyssens, M.; Schacht, E.H. Interaction between Proteins and Polyphosphazene Derivatives Having a Galactose Moiety. Biomacromolecules 2008, 9, 672–677. [Google Scholar] [CrossRef] [PubMed]
- Stewart, F.F. Phosphazenes. Organophosphorus Chem. 2012, 41, 349–384. [Google Scholar] [CrossRef]
- Nukavarapu, S.P.; Kumbar, S.G.; Brown, J.L.; Krogman, N.R.; Weikel, A.L.; Hindenlang, M.D.; Nair, L.S.; Allcock, H.R.; Laurencin, C.T. Polyphosphazene/Nano-Hydroxyapatite Composite Microsphere Scaffolds for Bone Tissue Engineering. Biomacromolecules 2008, 9, 1818–1825. [Google Scholar] [CrossRef] [PubMed]
- Iturmendi, A.; Monkowius, U.; Teasdale, I. Oxidation Responsive Polymers with a Triggered Degradation via Arylboronate Self-Immolative Motifs on a Polyphosphazene Backbone. ACS Macro Lett. 2017, 6, 150–154. [Google Scholar] [CrossRef] [PubMed]
- Ozay, H.; Sahin, O.; Koc, O.K.; Ozay, O. The Preparation and Applications of Novel Phosphazene Crosslinked Thermo and PH Responsive Hydrogels. J. Ind. Eng. Chem. 2016, 43, 28–35. [Google Scholar] [CrossRef]
- Fu, J.; Liang, L.; Qiu, L.; Fu, J.; Liang, L.; Qiu, L. In Situ Generated Gold Nanoparticle Hybrid Polymersomes for Water-Soluble Chemotherapeutics: Inhibited Leakage and PH-Responsive Intracellular Release. Adv. Funct. Mater. 2017, 27, 1604981. [Google Scholar] [CrossRef]
- Chen, F.; Teniola, O.R.; Ogueri, K.S.; Laurencin, C.T. Recent Trends in the Development of Polyphosphazenes for Bio-Applications. Regen. Eng. Transl. Med. 2022, 1, 1–22. [Google Scholar] [CrossRef]
- Ding, G.; Wang, A.; Shi, X.; Li, J.; You, L.; Wang, S. Preparation of Multiple-Spectra Encoded Polyphosphazene Microspheres and Application for Antibody Detection. Polym. Bull. 2022, 79, 6409–6429. [Google Scholar] [CrossRef]
- Wu, W.; Zhang, S.; Wu, Z.; Qin, S.; Li, F.; Song, T.; Cao, X.; Wang, Z.L.; Zhang, L. On the Understanding of Dielectric Elastomer and Its Application for All-Soft Artificial Heart. Sci. Bull. 2021, 66, 981–990. [Google Scholar] [CrossRef]
- Kuzey, N.G.; Özgür, M.; Cemaloğlu, R.; Asmafiliz, N.; Kılıç, Z.; Açık, L.; Aydın, B.; Hökelek, T. Mono- and Dispirocyclotriphosphazenes Containing 4-Bromobenzyl Pendant Arm(s): Synthesis, Spectroscopy, Crystallography and Biological Activity Studies. J. Mol. Struct. 2020, 1220, 128658. [Google Scholar] [CrossRef]
- Asmafiliz, N.; Berberoğlu, İ.; Özgür, M.; Kılıç, Z.; Kayalak, H.; Açık, L.; Türk, M.; Hökelek, T. Phosphorus-Nitrogen Compounds: Part 46. The Reactions of N3P3Cl6 with Bidentate and Monodentate Ligands: The Syntheses, Structural Characterizations, Antimicrobial and Cytotoxic Activities, and DNA Interactions of (N/N)Spirocyclotriphosphazenes with 4-Chlorobenzyl Pendant Arm. Inorg. Chim. Acta 2019, 495, 118949. [Google Scholar] [CrossRef]
- Güven Kuzey, N.; Cemaloğlu, R.; Yakut, M.; Asmafiliz, N.; Kılıç, Z.; Aydın, B.; Açık, L.; Hökelek, T. Phosphorus–Nitrogen Compounds Part 55. Syntheses of 4-Methoxybenzylspiro(N/N)Cyclotriphosphazenes: Chemical, Structural and Biological Properties. Res. Chem. Intermed. 2021, 47, 3933–3962. [Google Scholar] [CrossRef]
- İnci Tanrıkulu, G.; Yakut Özgür, M.; Okumuş, A.; Kılıç, Z.; Hökelek, T.; Aydın, B.; Açık, L. Phosphorus-Nitrogen Compounds Part 47: The Conventional and Microwave-Assisted Syntheses of Dispirocyclotriphosphazene Derivatives with (4-Fluoro/4-Nitrobenzyl) Pendant Arms: Structural and Stereogenic Properties and DNA Interactions. Inorg. Chim Acta 2019, 490, 179–189. [Google Scholar] [CrossRef]
- İşcan, Ö.; Cemaloğlu, R.; Asmafiliz, N.; Zeyrek, C.T.; Kılıç, Z.; Açık, L.; Aydın, B.; Türk, M.; Hökelek, T. Phosphorus–Nitrogen Compounds: Part 53—Synthesis, Characterization, Cytotoxic and Antimicrobial Activity, DNA Interaction and Molecular Docking Studies of New Mono- and Dispirocyclotriphosphazenes with Pendant Arm(s). Mol. Divers. 2022, 26, 1077–1100. [Google Scholar] [CrossRef] [PubMed]
- Okumuş, A.; Akbaş, H.; Karadağ, A.; Aydın, A.; Kılıç, Z.; Hökelek, T. Antiproliferative Effects against A549, Hep3B and FL Cell Lines of Cyclotriphosphazene-Based Novel Protic Molten Salts: Spectroscopic, Crystallographic and Thermal Results. ChemistrySelect 2017, 2, 4988–4999. [Google Scholar] [CrossRef]
- Elmas, G.; Okumuş, A.; Koç, L.Y.; Soltanzade, H.; Kílíç, Z.; Hökelek, T.; Dal, H.; Açík, L.; Üstündağ, Z.; Dündar, D.; et al. Phosphorus-Nitrogen Compounds. Part 29. Syntheses, Crystal Structures, Spectroscopic and Stereogenic Properties, Electrochemical Investigations, Antituberculosis, Antimicrobial and Cytotoxic Activities and DNA Interactions of Ansa-Spiro-Ansa Cyclotetraphosphazenes. Eur. J. Med. Chem. 2014, 87, 662–676. [Google Scholar] [CrossRef]
- Elmas, G.; Okumuş, A.; Kılıç, Z.; Çam, M.; Açık, L.; Hökelek, T. Phosphorus-Nitrogen Compounds. Part 40. The Syntheses of (4-Fluorobenzyl) Pendant Armed Cyclotetraphosphazene Derivatives: Spectroscopic, Crystallographic and Stereogenic Properties, DNA Interactions and Antimicrobial Activities. Inorg. Chim. Acta 2018, 476, 110–122. [Google Scholar] [CrossRef]
- Okumuş, A.; Elmas, G.; Cemaloǧlu, R.; Aydin, B.; Binici, A.; Şimşek, H.; Açik, L.; Türk, M.; Güzel, R.; Kiliç, Z.; et al. Phosphorus–Nitrogen Compounds. Part 35. Syntheses, Spectroscopic and Electrochemical Properties, and Antituberculosis, Antimicrobial and Cytotoxic Activities of Mono-Ferrocenyl-Spirocyclotetraphosphazenes. New J. Chem. 2016, 40, 5588–5603. [Google Scholar] [CrossRef]
- Asmafiliz, N.; Civan, M.; Özben, A.; Kılıç, Z.; Ramazanoğlu, N.; Açık, L.; Hökelek, T. Phosphorus-Nitrogen Compounds. Part 39. Syntheses and Langmuir-Blodgett Thin Films and Antimicrobial Activities of N/N and N/O Spirocyclotriphosphazenes with Monoferrocenyl Pendant Arm. Appl. Organomet. Chem. 2018, 32, e4223. [Google Scholar] [CrossRef]
- Binici, A.; Okumuş, A.; Elmas, G.; Kiliç, Z.; Ramazanoǧlu, N.; Açik, L.; Şimşek, H.; Çaǧdaş Tunali, B.; Türk, M.; Güzel, R.; et al. Phosphorus–Nitrogen Compounds. Part 42. The Comparative Syntheses of 2-Cis-4-Ansa(N/O) and Spiro(N/O) Cyclotetraphosphazene Derivatives: Spectroscopic and Crystallographic Characterization, Antituberculosis and Cytotoxic Activity Studies. New J. Chem. 2019, 43, 6856–6873. [Google Scholar] [CrossRef]
- Başterzi, N.S.; Bilge Koçak, S.; Okumuş, A.; Kiliç, Z.; Hökelek, T.; Çelik, Ö.; Türk, M.; Koç, L.Y.; Açik, L.; Aydin, B. Syntheses, Structural Characterization and Biological Activities of Spiro-Ansa-Spiro-Cyclotriphosphazenes. New J. Chem. 2015, 39, 8825–8839. [Google Scholar] [CrossRef]
- Okumuş, A.; Elmas, G.; Kılıç, Z.; Binici, A.; Ramazanoğlu, N.; Açık, L.; Çoşut, B.; Hökelek, T.; Güzel, R.; Tunalı, B.Ç.; et al. The Comparative Reactions of 2-Cis-4-Ansa and Spiro Cyclotetraphosphazenes with Difunctional Ligands: Structural and Stereogenic Properties, Electrochemical, Antimicrobial and Cytotoxic Activity Studies. Appl. Organomet. Chem. 2021, 35, e6150. [Google Scholar] [CrossRef]
- Koçak, S.B.; Koçoǧlu, S.; Okumus, A.; Kiliç, Z.; Öztürk, A.; Hökelek, T.; Öner, Y.; Açik, L. Syntheses, Spectroscopic Properties, Crystal Structures, Biological Activities, and DNA Interactions of Heterocyclic Amine Substituted Spiro-Ansa-Spiro- and Spiro-Bino-Spiro-Phosphazenes. Inorg. Chim. Acta 2013, 406, 160–170. [Google Scholar] [CrossRef]
- Asmafiliz, N.; Kiliç, Z.; Civan, M.; Avci, O.; Yasemin Gönder, L.; Açik, L.; Aydin, B.; Türk, M.; Hökelek, T. Phosphorus–Nitrogen Compounds. Part 36. Syntheses, Langmuir–Blodgett Thin Films and Biological Activities of Spiro-Bino-Spiro Trimeric Phosphazenes. New J. Chem. 2016, 40, 9609–9626. [Google Scholar] [CrossRef]
- Koran, K.; Ozkaya, A.; Ozen, F.; Cil, E.; Arslan, M. Synthesis, Characterization, and Biological Evaluation of New Oxime-Phosphazenes. Res. Chem. Intermed. 2013, 39, 1109–1124. [Google Scholar] [CrossRef]
- Gascón, E.; Maisanaba, S.; Otal, I.; Valero, E.; Repetto, G.; Jones, P.G.; Jiménez, J. (Amino)Cyclophosphazenes as Multisite Ligands for the Synthesis of Antitumoral and Antibacterial Silver(I) Complexes. Inorg. Chem. 2020, 59, 2464–2483. [Google Scholar] [CrossRef]
- Doğan, H.; Bahar, M.R.; Çalışkan, E.; Tekin, S.; Uslu, H.; Akman, F.; Koran, K.; Sandal, S.; Görgülü, A.O. Synthesis and Spectroscopic Characterizations of Hexakis[(1-(4′-Oxyphenyl)-3-(Substituted-Phenyl)Prop-2-En-1-One)]Cyclotriphosphazenes: Their in Vitro Cytotoxic Activity, Theoretical Analysis and Molecular Docking Studies. J. Biomol. Struct. Dyn. 2022, 40, 3258–3272. [Google Scholar] [CrossRef]
- Beytur, A.; Tekin, Ç.; Çalışkan, E.; Tekin, S.; Koran, K.; Orhan Görgülü, A.; Sandal, S. Hexa-Substituted Cyclotriphosphazene Derivatives Containing Hetero-Ring Chalcones: Synthesis, in Vitro Cytotoxic Activity and Their DNA Damage Determination. Bioorg. Chem. 2022, 127, 105997. [Google Scholar] [CrossRef]
- Görgülü, A.O.; Koran, K.; Özen, F.; Tekin, S.; Sandal, S. Synthesis, Structural Characterization and Anti-Carcinogenic Activity of New Cyclotriphosphazenes Containing Dioxybiphenyl and Chalcone Groups. J. Mol. Struct. 2015, 1087, 1–10. [Google Scholar] [CrossRef]
- Kim, J.K.; Toti, U.S.; Song, R.; Youn, S.S. A Macromolecular Prodrug of Doxorubicin Conjugated to a Biodegradable Cyclotriphosphazene Bearing a Tetrapeptide. Bioorg. Med. Chem. Lett. 2005, 15, 3576–3579. [Google Scholar] [CrossRef] [PubMed]
- Lee, S.B.; Song, S.C.; Jin, J.I.; Sohn, Y.S. Synthesis and Antitumor Activity of Polyphosphazene/Methoxy-Poly(Ethylene Glycol)/(Diamine)Platinum(II) Conjugates. Polym. J. 1999, 31, 1247–1252. [Google Scholar] [CrossRef]
- Jun, Y.J.; Kim, J.I.; Jun, M.J.; Sohn, Y.S. Selective Tumor Targeting by Enhanced Permeability and Retention Effect. Synthesis and Antitumor Activity of Polyphosphazene–Platinum (II) Conjugates. J. Inorg. Biochem. 2005, 99, 1593–1601. [Google Scholar] [CrossRef] [PubMed]
- Jadhav, V.B.; Jun, Y.J.; Song, J.H.; Park, M.K.; Oh, J.H.; Chae, S.W.; Kim, I.-S.; Choi, S.-J.; Lee, H.J.; Sohn, Y.S. A Novel Micelle-Encapsulated Palitnuim(II) Anticancer Agent. J. Control. Release 2010, 147, 144–150. [Google Scholar] [CrossRef]
- Henke, H.; Kryeziu, K.; Banfić, J.; Theiner, S.; Körner, W.; Brüggemann, O.; Berger, W.; Keppler, B.K.; Heffeter, P.; Teasdale, I. Macromolecular Pt(IV) Prodrugs from Poly(Organo)Phosphazenes. Macromol. Biosci. 2016, 16, 1239–1249. [Google Scholar] [CrossRef]
- Hackl, C.M.; Schoenhacker-Alte, B.; Klose, M.H.M.; Henke, H.; Legina, M.S.; Jakupec, M.A.; Berger, W.; Keppler, B.K.; Brüggemann, O.; Teasdale, I.; et al. Synthesis and in Vivo Anticancer Evaluation of Poly(Organo)Phosphazene-Based Metallodrug Conjugates. Dalton Trans. 2017, 46, 12114–12124. [Google Scholar] [CrossRef]
- Quiñones, J.P.; Roschger, C.; Iturmendi, A.; Henke, H.; Zierer, A.; Peniche-Covas, C.; Brüggemann, O. Polyphosphazene-Based Nanocarriers for the Release of Camptothecin and Epirubicin. Pharmaceutics 2022, 14, 169. [Google Scholar] [CrossRef]
- Tian, Z.; Zhang, Y.; Liu, X.; Chen, C.; Guiltinan, M.J.; Allcock, H.R. Biodegradable Polyphosphazenes Containing Antibiotics: Synthesis, Characterization, and Hydrolytic Release Behavior. Polym. Chem. 2013, 4, 1826–1835. [Google Scholar] [CrossRef]
- Teasdale, I.; Wilfert, S.; Nischang, I.; Brüggemann, O. Multifunctional and Biodegradable Polyphosphazenes for Use as Macromolecular Anti-Cancer Drug Carriers. Polym. Chem. 2011, 2, 828–834. [Google Scholar] [CrossRef]
- Potta, T.; Chun, C.J.; Song, S.C. Injectable, Dual Cross-Linkable Polyphosphazene Blend Hydrogels. Biomaterials 2010, 31, 8107–8120. [Google Scholar] [CrossRef]
- Kang, G.D.; Cheon, S.H.; Song, S.C. Controlled Release of Doxorubicin from Thermosensitive Poly(Organophosphazene) Hydrogels. Int. J. Pharm. 2006, 319, 29–36. [Google Scholar] [CrossRef]
- Al-Abd, A.M.; Hong, K.Y.; Song, S.C.; Kuh, H.J. Pharmacokinetics of Doxorubicin after Intratumoral Injection Using a Thermosensitive Hydrogel in Tumor-Bearing Mice. J. Control. Release 2010, 142, 101–107. [Google Scholar] [CrossRef]
- Qian, Y.C.; Chen, P.C.; He, G.J.; Huang, X.J.; Xu, Z.K. Preparation of Polyphosphazene Hydrogels for Enzyme Immobilization. Molecules 2014, 19, 9850–9863. [Google Scholar] [CrossRef]
- Luten, J.; van Steenis, J.H.; van Someren, R.; Kemmink, J.; Schuurmans-Nieuwenbroek, N.M.E.; Koning, G.A.; Crommelin, D.J.A.; van Nostrum, C.F.; Hennink, W.E. Water-Soluble Biodegradable Cationic Polyphosphazenes for Gene Delivery. J. Control. Release 2003, 89, 483–497. [Google Scholar] [CrossRef]
- Yang, Y.; Xu, Z.; Jiang, J.; Gao, Y.; Gu, W.; Chen, L.; Tang, X.; Li, Y. Poly(Imidazole/DMAEA)Phosphazene/DNA Self-Assembled Nanoparticles for Gene Delivery: Synthesis and in Vitro Transfection. J. Control. Release 2008, 127, 273–279. [Google Scholar] [CrossRef]
- Luten, J.; van Steenbergen, M.J.; Lok, M.C.; de Graaff, A.M.; van Nostrum, C.F.; Talsma, H.; Hennink, W.E. Degradable PEG-Folate Coated Poly(DMAEA-Co-BA)Phosphazene-Based Polyplexes Exhibit Receptor-Specific Gene Expression. Eur. J. Pharm. Sci. 2008, 33, 241–251. [Google Scholar] [CrossRef]
- Baigude, H.; Su, J.; McCarroll, J.; Rana, T.M. In Vivo Delivery of RNAi by Reducible Interfering Nanoparticles (INOPs). ACS Med. Chem. Lett. 2013, 4, 720–723. [Google Scholar] [CrossRef]
- Hsu, W.H.; Sánchez-Gómez, P.; Gomez-Ibarlucea, E.; Ivanov, D.P.; Rahman, R.; Grabowska, A.M.; Csaba, N.; Alexander, C.; Garcia-Fuentes, M. Structure-Optimized Interpolymer Polyphosphazene Complexes for Effective Gene Delivery against Glioblastoma. Adv. Ther. 2018, 2, 1800126. [Google Scholar] [CrossRef]
- Ma, C.; Zhang, X.; Du, C.; Zhao, B.; He, C.; Li, C.; Qiao, R. Water-Soluble Cationic Polyphosphazenes Grafted with Cyclic Polyamine and Imidazole as an Effective Gene Delivery Vector. Bioconjug. Chem. 2016, 27, 1005–1012. [Google Scholar] [CrossRef]
- Yang, Y.; Zhang, Z.; Chen, L.; Gu, W.; Li, Y. Urocanic Acid Improves Transfection Efficiency of Polyphosphazene with Primary Amino Groups for Gene Delivery. Bioconjug. Chem. 2010, 21, 419–426. [Google Scholar] [CrossRef]
- Yang, Y.; Zhang, Z.; Chen, L.; Gu, W.; Li, Y. Galactosylated Poly(2-(2-Aminoethyoxy)Ethoxy)Phosphazene/DNA Complex Nanoparticles: In Vitro and in Vivo Evaluation for Gene Delivery. Biomacromolecules 2010, 11, 927–933. [Google Scholar] [CrossRef] [PubMed]
- Kim, Y.M.; Park, M.R.; Song, S.C. Injectable Polyplex Hydrogel for Localized and Long-Term Delivery of SiRNA. ACS Nano 2012, 6, 5757–5766. [Google Scholar] [CrossRef]
- Couffin-Hoarau, A.C.; Leroux, J.C. Report on the Use of Poly(Organophosphazenes) for the Design of Stimuli-Responsive Vesicles. Biomacromolecules 2004, 5, 2082–2087. [Google Scholar] [CrossRef] [PubMed]
- Khan, R.U.; Yu, H.; Wang, L.; Teng, L.; Zain-ul-Abdin; Nazir, A.; Fahad, S.; Elshaarani, T.; Haq, F.; Shen, D. Synthesis of Amino-Cosubstituted Polyorganophosphazenes and Fabrication of Their Nanoparticles for Anticancer Drug Delivery. J. Appl. Polym. Sci. 2020, 137, 49424. [Google Scholar] [CrossRef]
- Maeda, H.; Fang, J.; Inutsuka, T.; Kitamoto, Y. Vascular Permeability Enhancement in Solid Tumor: Various Factors, Mechanisms Involved and Its Implications. Int. Immunopharmacol. 2003, 3, 319–328. [Google Scholar] [CrossRef] [PubMed]
- Metinoğlu Örüm, S.; Süzen Demircioğlu, Y. One-Pot Synthesis and Characterization of Crosslinked Polyphosphazene Dopamine Microspheres for Controlled Drug Delivery Applications. J. Macromol. Sci. Part A 2019, 56, 854–859. [Google Scholar] [CrossRef]
- Jun, Y.J.; Park, M.K.; Jadhav, V.B.; Song, J.H.; Chae, S.W.; Lee, H.J.; Park, K.S.; Jeong, B.; Choy, J.H.; Sohn, Y.S. Tripodal Amphiphiles Tunable for Self-Assembly to Polymersomes. J. Control. Release 2010, 142, 132–137. [Google Scholar] [CrossRef] [PubMed]
- Zhu, Y.; Fu, J.; Zhu, L.; Tang, X.; Huang, X. Preparation of Novel Hybrid Inorganic–Organic Hollow Microspheres via a Self-Template Approach. Polym. Int. 2008, 57, 449–453. [Google Scholar] [CrossRef]
- Örüm, S.M.; Demircioğlu, Y.S. Crosslinked Polyphosphazene Nanospheres with Anticancer Quercetin: Synthesis, Spectroscopic, Thermal Properties, and Controlled Drug Release. Macromol. Res. 2018, 26, 671–679. [Google Scholar] [CrossRef]
- Mehmood, S.; Yu, H.; Wang, L.; Uddin, M.A.; Amin, B.U.; Haq, F.; Fahad, S.; Haroon, M. Cross-Linked Poly(Cyclotriphosphazene-Co-Phloretin) Microspheres and Their Application for Controlled Drug Delivery. Macromol. Res. 2022, 30, 623–630. [Google Scholar] [CrossRef]
- Onder, A.; Ozay, H. Synthesis and Characterization of Biodegradable and Antioxidant Phosphazene-Tannic Acid Nanospheres and Their Utilization as Drug Carrier Material. Mater. Sci. Eng. C 2021, 120, 111723. [Google Scholar] [CrossRef]
- Khan, R.U.; Yu, H.; Wang, L.; Zhang, Q.; Xiong, W.; Zain-ul-Abdin; Nazir, A.; Fahad, S.; Chen, X.; Elsharaarani, T. Synthesis of Polyorganophosphazenes and Preparation of Their Polymersomes for Reductive/Acidic Dual-Responsive Anticancer Drugs Release. J. Mater. Sci. 2020, 55, 8264–8284. [Google Scholar] [CrossRef]
- Mehnath, S.; Arjama, M.; Rajan, M.; Jeyaraj, M. Development of Cholate Conjugated Hybrid Polymeric Micelles for FXR Receptor Mediated Effective Site-Specific Delivery of Paclitaxel. New J. Chem. 2018, 42, 17021–17032. [Google Scholar] [CrossRef]
- Mehnath, S.; Rajan, M.; Sathishkumar, G.; Amarnath Praphakar, R.; Jeyaraj, M. Thermoresponsive and PH Triggered Drug Release of Cholate Functionalized Poly(Organophosphazene)—Polylactic Acid Co-Polymeric Nanostructure Integrated with ICG. Polymers 2017, 133, 119–128. [Google Scholar] [CrossRef]
- Simões, S.; Nuno Moreira, J.; Fonseca, C.; Düzgüneş, N.; De Lima, M.C.P. On the Formulation of PH-Sensitive Liposomes with Long Circulation Times. Adv. Drug Deliv. Rev. 2004, 56, 947–965. [Google Scholar] [CrossRef]
- Jun, Y.J.; Toti, U.S.; Kim, H.Y.; Yu, J.Y.; Jeong, B.; Jun, M.J.; Sohn, Y.S. Thermoresponsive Micelles from Oligopeptide-Grafted Cyclotriphosphazenes. Angew. Chem. Int. Ed. 2006, 45, 6173–6176. [Google Scholar] [CrossRef]
- Yu, J.Y.; Jun, Y.J.; Jang, S.H.; Lee, H.J.; Sohn, Y.S. Nanoparticulate Platinum(II) Anticancer Drug: Synthesis and Characterization of Amphiphilic Cyclotriphosphazene–Platinum(II) Conjugates. J. Inorg. Biochem. 2007, 101, 1931–1936. [Google Scholar] [CrossRef]
- Yurtdaş-Kırımlıoğlu, G.; Süzen-Demircioğlu, Y.; Berkman, M.S.; Metinoğlu-Örüm, S.; Altun, E. Synthesis, Spectroscopic, Thermal Properties, in Vitro Release, and Stability Studies of Ibuprofen-Loaded Microspheres Cross-Linked with Hexachlorocyclotriphosphazene/Octachlorocyclotetraphosphazene. Polym. Bull. 2021, 78, 6221–6250. [Google Scholar] [CrossRef]
- Ozay, H.; Ozay, O. Synthesis and Characterization of Drug Microspheres Containing Phosphazene for Biomedical Applications. Colloids Surf. A Phys. Eng. Asp. 2014, 450, 99–105. [Google Scholar] [CrossRef]
- Mehnath, S.; Arjama, M.; Rajan, M.; Arokia Vijayaanand, M.; Murugaraj, J. Polyorganophosphazene Stabilized Gold Nanoparticles for Intracellular Drug Delivery in Breast Carcinoma Cells. Process Biochem. 2018, 72, 152–161. [Google Scholar] [CrossRef]
- Mehnath, S.; Arjama, M.; Rajan, M.; Annamalai, G.; Jeyaraj, M. Co-Encapsulation of Dual Drug Loaded in MLNPs: Implication on Sustained Drug Release and Effectively Inducing Apoptosis in Oral Carcinoma Cells. Biomed. Pharmacother. 2018, 104, 661–671. [Google Scholar] [CrossRef]
- Kumar, S.; Singh, R.K.; Murthy, R.S.R.; Bhardwaj, T.R. Synthesis and Evaluation of Substituted Poly(Organophosphazenes) as a Novel Nanocarrier System for Combined Antimalarial Therapy of Primaquine and Dihydroartemisinin. Pharm. Res. 2015, 32, 2736–2752. [Google Scholar] [CrossRef]
- Lin, Y.J.; Cai, Q.; Li, Q.F.; Xue, L.W.; Jin, R.G.; Yang, X.P. Effect of Solvent on Surface Wettability of Electrospun Polyphosphazene Nanofibers. J. Appl. Polym. Sci. 2010, 115, 3393–3400. [Google Scholar] [CrossRef]
- Wang, S.G.; Jiang, X.; Chen, P.C.; Yu, A.G.; Huang, X.J. Preparation of Coaxial-Electrospun Poly[Bis(p-Methylphenoxy)]Phosphazene Nanofiber Membrane for Enzyme Immobilization. Int. J. Mol. Sci. 2012, 13, 14136–14148. [Google Scholar] [CrossRef]
- Lin, Y.J.; Cai, Q.; Li, L.; Li, Q.F.; Yang, X.P.; Jin, R.G. Co-Electrospun Composite Nanofibers of Blends of Poly[(Amino Acid Ester)Phosphazene] and Gelatin. Polym. Int. 2010, 59, 610–616. [Google Scholar] [CrossRef]
- Nykänen, V.P.S.; Puska, M.A.; Nykänen, A.; Ruokolainen, J. Synthesis and Biomimetic Mineralization of L-Proline Substituted Polyphosphazenes as Bulk and Nanofiber. J. Polym. Sci. B Polym. Phys. 2013, 51, 1318–1327. [Google Scholar] [CrossRef]
- Peach, M.S.; James, R.; Toti, U.S.; Deng, M.; Morozowich, N.L.; Allcock, H.R.; Laurencin, C.T.; Kumbar, S.G. Polyphosphazene Functionalized Polyester Fiber Matrices for Tendon Tissue Engineering: In Vitro Evaluation with Human Mesenchymal Stem Cells. Biomed. Mater. 2012, 7, 045016. [Google Scholar] [CrossRef] [PubMed]
- Kabanov, A.V. Polymer Genomics: An Insight into Pharmacology and Toxicology of Nanomedicines. Adv. Drug Deliv. Rev. 2006, 58, 1597–1621. [Google Scholar] [CrossRef]
- Mutwiri, G.; Benjamin, P.; Soita, H.; Townsend, H.; Yost, R.; Roberts, B.; Andrianov, A.K.; Babiuk, L.A. Poly[Di(Sodium Carboxylatoethylphenoxy)Phosphazene] (PCEP) is a Potent Enhancer of Mixed Th1/Th2 Immune Responses in Mice Immunized with Influenza Virus Antigens. Vaccine 2007, 25, 1204–1213. [Google Scholar] [CrossRef]
- Awate, S.; Wilson, H.L.; Singh, B.; Babiuk, L.A.; Mutwiri, G. The Adjuvant PCEP Induces Recruitment of Myeloid and Lymphoid Cells at the Injection Site and Draining Lymph Node. Vaccine 2014, 32, 2420–2427. [Google Scholar] [CrossRef]
- Awate, S.; Wilson, H.L.; Lai, K.; Babiuk, L.A.; Mutwiri, G. Activation of Adjuvant Core Response Genes by the Novel Adjuvant PCEP. Mol. Immunol. 2012, 51, 292–303. [Google Scholar] [CrossRef] [PubMed]
- Palmer, C.D.; Ninković, J.; Prokopowicz, Z.M.; Mancuso, C.J.; Marin, A.; Andrianov, A.K.; Dowling, D.J.; Levy, O. The Effect of Stable Macromolecular Complexes of Ionic Polyphosphazene on HIV Gag Antigen and on Activation of Human Dendritic Cells and Presentation to T-Cells. Biomaterials 2014, 35, 8876–8886. [Google Scholar] [CrossRef] [PubMed]
- Andrianov, A.K.; Decollibus, D.P.; Marin, A.; Webb, A.; Griffin, Y.; Webby, R.J. PCPP-Formulated H5N1 Influenza Vaccine Displays Improved Stability and Dose-Sparing Effect in Lethal Challenge Studies. J. Pharm. Sci. 2011, 100, 1436–1443. [Google Scholar] [CrossRef]
- Le Cam, N.N.B.; Ronco, J.; Francon, A.; Blondeau, C.; Fanget, B. Adjuvants for Influenza Vaccine. Res. Immunol. 1998, 149, 19–23. [Google Scholar] [CrossRef]
- Gilbert, P.B.; Chiu, Y.L.; Allen, M.; Lawrence, D.N.; Chapdu, C.; Israel, H.; Holman, D.; Keefer, M.C.; Wolff, M.; Frey, S.E. Long-Term Safety Analysis of Preventive HIV-1 Vaccines Evaluated in AIDS Vaccine Evaluation Group NIAID-Sponsored Phase I and II Clinical Trials. Vaccine 2003, 21, 2933–2947. [Google Scholar] [CrossRef] [PubMed]
- Gill, H.S.; Prausnitz, M.R. Coating Formulations for Microneedles. Pharm. Res. 2007, 24, 1369–1380. [Google Scholar] [CrossRef] [PubMed]
- Andrianov, A.K.; Marin, A.; Fuerst, T.R. Self-Assembly of Polyphosphazene Immunoadjuvant with Poly(Ethylene Oxide) Enables Advanced Nanoscale Delivery Modalities and Regulated PH-Dependent Cellular Membrane Activity. Heliyon 2016, 2, e00102. [Google Scholar] [CrossRef]
- Andrianov, A.K.; Marin, A.; Wang, R.; Karauzum, H.; Chowdhury, A.; Agnihotri, P.; Yunus, A.S.; Mariuzza, R.A.; Fuerst, T.R. Supramolecular Assembly of Toll-like Receptor 7/8 Agonist into Multimeric Water-Soluble Constructs Enables Superior Immune Stimulation in Vitro and in Vivo. ACS Appl. Bio Mater. 2020, 3, 3187–3195. [Google Scholar] [CrossRef]
- Sadat, S.M.A.; Snider, M.; Garg, R.; Brownlie, R.; van Drunen Littel-van den Hurk, S. Local Innate Responses and Protective Immunity after Intradermal Immunization with Bovine Viral Diarrhea Virus E2 Protein Formulated with a Combination Adjuvant in Cattle. Vaccine 2017, 35, 3466–3473. [Google Scholar] [CrossRef]
- Magiri, R.; Lai, K.; Chaffey, A.; Zhou, Y.; Pyo, H.M.; Gerdts, V.; Wilson, H.L.; Mutwiri, G. Intradermal Immunization with Inactivated Swine Influenza Virus and Adjuvant Polydi(Sodium Carboxylatoethylphenoxy)Phosphazene (PCEP) Induced Humoral and Cell-Mediated Immunity and Reduced Lung Viral Titres in Pigs. Vaccine 2018, 36, 1606–1613. [Google Scholar] [CrossRef]
- Magiri, R.; Lai, K.; Huang, Y.; Mutwiri, G.; Wilson, H.L. Innate Immune Response Profiles in Pigs Injected with Vaccine Adjuvants Polydi(Sodium Carboxylatoethylphenoxy)Phosphazene (PCEP) and Emulsigen. Vet. Immunol. Immunopathol. 2019, 209, 7–16. [Google Scholar] [CrossRef] [PubMed]
- Yu, S.; Azzam, T.; Rouiller, I.; Eisenberg, A. “Breathing” Vesicles. J. Am. Chem. Soc. 2009, 131, 10557–10566. [Google Scholar] [CrossRef] [PubMed]
- Lee, J.S.; Feijen, J. Polymersomes for Drug Delivery: Design, Formation and Characterization. J. Control. Release 2012, 161, 473–483. [Google Scholar] [CrossRef]
- Ranary, S.; Hoffman, A.S.; Stayton, P.S. Antigen Delivery with Poly(Propylacrylic Acid) Conjugation Enhances MHC-1 Presentation and T-Cell Activation. Bioconjug. Chem. 2009, 20, 241–248. [Google Scholar] [CrossRef]
- Gao, M.; Peng, Y.; Jiang, L.; Qiu, L. Effective Intracellular Delivery and Th1 Immune Response Induced by Ovalbumin Loaded in PH-Responsive Polyphosphazene Polymersomes. Nanomedicine 2018, 14, 1609–1618. [Google Scholar] [CrossRef]
- Garg, R.; Brownlie, R.; Latimer, L.; Gerdts, V.; Potter, A.; van Drunen Littel-van den Hurk, S. A Chimeric Glycoprotein Formulated with a Combination Adjuvant Induces Protective Immunity against Both Human Respiratory Syncytial Virus and Parainfluenza Virus Type 3. Antivir. Res. 2018, 158, 78–87. [Google Scholar] [CrossRef]
- Valencia, S.M.; Zacharia, A.; Marin, A.; Matthews, R.L.; Wu, C.K.; Myers, B.; Sanders, C.; Difilippantonio, S.; Kirnbauer, R.; Roden, R.B.; et al. Improvement of RG1-VLP Vaccine Performance in BALB/c Mice by Substitution of Alhydrogel with the next Generation Polyphosphazene Adjuvant PCEP. Hum. Vaccin. Immunother. 2021, 17, 2748–2761. [Google Scholar] [CrossRef]
- Marin, A.; Chowdhury, A.; Valencia, S.M.; Zacharia, A.; Kirnbauer, R.; Roden, R.B.S.; Pinto, L.A.; Shoemaker, R.H.; Marshall, J.D.; Andrianov, A.K. Next Generation Polyphosphazene Immunoadjuvant: Synthesis, Self-Assembly and in Vivo Potency with Human Papillomavirus VLPs-Based Vaccine. Nanomedicine 2021, 33, 102359. [Google Scholar] [CrossRef]
- Mehnath, S.; Rajan, M.; Jeyaraj, M. Immunomodulating Polyorganophosphazene-Arginine Layered Liposome Antibiotic Delivery Vehicle against Pulmonary Tuberculosis. J. Drug Deliv. Sci. Technol. 2021, 66, 102856. [Google Scholar] [CrossRef]
- Allcock, H.R.; Fuller, T.J.; Matsumura, K. Hydrolysis Pathways for Aminophosphazenes. Inorg. Chem. 1982, 21, 515–521. [Google Scholar] [CrossRef]
- Deng, M.; Nair, L.S.; Nukavarapu, S.P.; Kumbar, S.G.; Jiang, T.; Krogman, N.R.; Singh, A.; Allcock, H.R.; Laurencin, C.T. Miscibility and in Vitro Osteocompatibility of Biodegradable Blends of Poly[(Ethyl Alanato) (p-Phenyl Phenoxy) Phosphazene] and Poly(Lactic Acid-Glycolic Acid). Biomaterials 2008, 29, 337–349. [Google Scholar] [CrossRef] [PubMed][Green Version]
- Greish, Y.E.; Sturgeon, J.L.; Singh, A.; Krogman, N.R.; Touny, A.H.; Sethuraman, S.; Nair, L.S.; Laurencin, C.T.; Allcock, H.R.; Brown, P.W. Formation and Properties of Composites Comprised of Calcium-Deficient Hydroxyapatites and Ethyl Alanate Polyphosphazenes. J. Mater. Sci. Mater. Med. 2008, 19, 3153–3160. [Google Scholar] [CrossRef] [PubMed]
- Greish, Y.E.; Bender, J.D.; Lakshmi, S.; Brown, P.W.; Allcock, H.R.; Laurencin, C.T. Composite Formation from Hydroxyapatite with Sodium and Potassium Salts of Polyphosphazene. J. Mater. Sci. Mater. Med. 2005, 16, 613–620. [Google Scholar] [CrossRef] [PubMed]
- Greish, Y.E.; Bender, J.D.; Lakshmi, S.; Brown, P.W.; Allcock, H.R.; Laurencin, C.T. Low Temperature Formation of Hydroxyapatite-Poly(Alkyl Oxybenzoate)Phosphazene Composites for Biomedical Applications. Biomaterials 2005, 26, 1–9. [Google Scholar] [CrossRef] [PubMed]
- Ogueri, K.S.; Escobar Ivirico, J.L.; Li, Z.; Blumenfield, R.H.; Allcock, H.R.; Laurencin, C.T. Synthesis, Physicochemical Analysis, and Side Group Optimization of Degradable Dipeptide-Based Polyphosphazenes as Potential Regenerative Biomaterials. ACS Appl. Polym. Mater. 2019, 1, 1568–1578. [Google Scholar] [CrossRef] [PubMed]
- El-Amin, S.F.; Kwon, M.S.; Starnes, T.; Allcock, H.R.; Laurencin, C.T. The Biocompatibility of Biodegradable Glycine Containing Polyphosphazenes: A Comparative Study in Bone. J. Inorg. Organomet. Polym. Mater. 2006, 16, 387–396. [Google Scholar] [CrossRef]
- Ogueri, K.S.; Jafari, T.; Escobar Ivirico, J.L.; Laurencin, C.T. Polymeric Biomaterials for Scaffold-Based Bone Regenerative Engineering. Regen. Eng. Transl. Med. 2019, 5, 128–154. [Google Scholar] [CrossRef]
- Duan, S.; Yang, X.; Mao, J.; Qi, B.; Cai, Q.; Shen, H.; Yang, F.; Deng, X.; Wang, S. Osteocompatibility Evaluation of Poly(Glycine Ethyl Ester-Co-Alanine Ethyl Ester)Phosphazene with Honeycomb-Patterned Surface Topography. J. Biomed. Mater. Res. A 2013, 101A, 307–317. [Google Scholar] [CrossRef]
- Sethuraman, S.; Nair, L.S.; El-Amin, S.; Nguyen, M.T.; Singh, A.; Krogman, N.; Greish, Y.E.; Allcock, H.R.; Brown, P.W.; Laurencin, C.T. Mechanical Properties and Osteocompatibility of Novel Biodegradable Alanine Based Polyphosphazenes: Side Group Effects. Acta Biomater. 2010, 6, 1931–1937. [Google Scholar] [CrossRef]
- Deng, M.; Nair, L.S.; Nukavarapu, S.P.; Jiang, T.; Kanner, W.A.; Li, X.; Kumbar, S.G.; Weikel, A.L.; Krogman, N.R.; Allcock, H.R.; et al. Dipeptide-Based Polyphosphazene and Polyester Blends for Bone Tissue Engineering. Biomaterials 2010, 31, 4898–4908. [Google Scholar] [CrossRef]
- Weikel, A.L.; Owens, S.G.; Morozowich, N.L.; Deng, M.; Nair, L.S.; Laurencin, C.T.; Allcock, H.R. Miscibility of Choline-Substituted Polyphosphazenes with PLGA and Osteoblast Activity on Resulting Blends. Biomaterials 2010, 31, 8507–8515. [Google Scholar] [CrossRef]
- Deng, M.; Nair, L.S.; Nukavarapu, S.P.; Kumbar, S.G.; Brown, J.L.; Krogman, N.R.; Weikel, A.L.; Allcock, H.R.; Laurencin, C.T. Biomimetic, Bioactive Etheric Polyphosphazene-Poly(Lactide-Co-Glycolide) Blends for Bone Tissue Engineering. J. Biomed. Mater. Res. A 2010, 92A, 114–125. [Google Scholar] [CrossRef] [PubMed]
- Seo, B.B.; Koh, J.T.; Song, S.C. Tuning Physical Properties and BMP-2 Release Rates of Injectable Hydrogel Systems for an Optimal Bone Regeneration Effect. Biomaterials 2017, 122, 91–104. [Google Scholar] [CrossRef] [PubMed]
- Seo, B.B.; Chang, H.I.; Choi, H.; Koh, J.T.; Yun, K.D.; Lee, J.Y.; Song, S.C. New Approach for Vertical Bone Regeneration Using in Situ Gelling and Sustained BMP-2 Releasing Poly(Phosphazene) Hydrogel System on Peri-Implant Site with Critical Defect in a Canine Model. J. Biomed. Mater. Res. B Appl. Biomater. 2018, 106, 751–759. [Google Scholar] [CrossRef] [PubMed]
- Huang, Z.; Yang, L.; Hu, X.; Huang, Y.; Cai, Q.; Ao, Y.; Yang Huang, X.Z.; Yang, L.; Huang, Y.; Cai, Q.; et al. Molecular Mechanism Study on Effect of Biodegradable Amino Acid Ester–Substituted Polyphosphazenes in Stimulating Osteogenic Differentiation. Macromol. Biosci. 2019, 19, 1800464. [Google Scholar] [CrossRef] [PubMed]
- Zhu, S.; Jing, W.; Hu, X.; Huang, Z.; Cai, Q.; Ao, Y.; Yang, X. Time-Dependent Effect of Electrical Stimulation on Osteogenic Differentiation of Bone Mesenchymal Stromal Cells Cultured on Conductive Nanofibers. J. Biomed. Mater. Res. A 2017, 105, 3369–3383. [Google Scholar] [CrossRef] [PubMed]
- Zhou, T.; Yan, L.; Xie, C.; Li, P.; Jiang, L.; Fang, J.; Zhao, C.; Ren, F.; Wang, K.; Wang, Y.; et al. A Mussel-Inspired Persistent ROS-Scavenging, Electroactive, and Osteoinductive Scaffold Based on Electrochemical-Driven In Situ Nanoassembly. Small 2019, 15, 1805440. [Google Scholar] [CrossRef]
- Nichol, J.L.; Morozowich, N.L.; Allcock, H.R. Biodegradable Alanine and Phenylalanine Alkyl Ester Polyphosphazenes as Potential Ligament and Tendon Tissue Scaffolds. Polym. Chem. 2013, 4, 600–606. [Google Scholar] [CrossRef]
- Peng, Z.; Zhao, T.; Zhou, Y.; Li, S.; Li, J.; Leblanc, R.M. Bone Tissue Engineering via Carbon-Based Nanomaterials. Adv. Healthc. Mater. 2020, 9, 1901495. [Google Scholar] [CrossRef]
- Huang, Y.; Jing, W.; Li, Y.; Cai, Q.; Yang, X. Composites Made of Polyorganophosphazene and Carbon Nanotube Up-Regulating Osteogenic Activity of BMSCs under Electrical Stimulation. Colloids Surf. B Biointerfaces 2021, 204, 111785. [Google Scholar] [CrossRef]
- Gholivand, K.; Alavinasab Ardebili, S.A.; Mohammadpour, M.; Eshaghi Malekshah, R.; Hasannia, S.; Onagh, B. Preparation and Examination of a Scaffold Based on Hydroxylated Polyphosphazene for Tissue Engineering: In Vitro and in Vivo Studies. J. Appl. Polym. Sci. 2022, 139, 52179. [Google Scholar] [CrossRef]
- Sobhani, A.; Rafienia, M.; Ahmadian, M.; Naimi-Jamal, M.R. Fabrication and Characterization of Polyphosphazene/Calcium Phosphate Scaffolds Containing Chitosan Microspheres for Sustained Release of Bone Morphogenetic Protein 2 in Bone Tissue Engineering. Tissue Eng. Regen. Med. 2017, 14, 525–538. [Google Scholar] [CrossRef] [PubMed]
- Li, Y.; Shi, Y.; Duan, S.; Shan, D.; Wu, Z.; Cai, Q.; Yang, X. Electrospun Biodegradable Polyorganophosphazene Fibrous Matrix with Poly(Dopamine) Coating for Bone Regeneration. J. Biomed. Mater. Res. A 2014, 102, 3894–3902. [Google Scholar] [CrossRef] [PubMed]
- Ogueri, K.S.; Ogueri, K.S.; McClinton, A.; Kan, H.M.; Ude, C.C.; Barajaa, M.A.; Allcock, H.R.; Laurencin, C.T. In Vivo Evaluation of the Regenerative Capability of Glycylglycine Ethyl Ester-Substituted Polyphosphazene and Poly(Lactic-Co-Glycolic Acid) Blends: A Rabbit Critical-Sized Bone Defect Model. ACS Biomater. Sci. Eng. 2021, 7, 1564–1572. [Google Scholar] [CrossRef] [PubMed]
- Huang, Y.; Du, Z.; Zheng, T.; Jing, W.; Liu, H.; Liu, X.; Mao, J.; Zhang, X.; Cai, Q.; Chen, D.; et al. Antibacterial, Conductive, and Osteocompatible Polyorganophosphazene Microscaffolds for the Repair of Infectious Calvarial Defect. J. Biomed. Mater. Res. A 2021, 109, 2580–2596. [Google Scholar] [CrossRef] [PubMed]
- Heyde, M.; Moens, M.; van Vaeck, L.; Shakesheff, K.M.; Davies, M.C.; Schacht, E.H. Synthesis and Characterization of Novel Poly[(Organo)Phosphazenes] with Cell-Adhesive Side Groups. Biomacromolecules 2007, 8, 1436–1445. [Google Scholar] [CrossRef]
- Carampin, P.; Conconi, M.T.; Lora, S.; Menti, A.M.; Baiguera, S.; Bellini, S.; Grandi, C.; Pamigotto, P.P. Electrospun Polyphosphazene Nanofibers for in Vitro Rat Endothelial Cells Proliferation. J. Biomed. Mater. Res. A 2007, 80, 661–668. [Google Scholar] [CrossRef]
- Rothemund, S.; Aigner, T.B.; Iturmendi, A.; Rigau, M.; Husár, B.; Hildner, F.; Oberbauer, E.; Prambauer, M.; Olawale, G.; Forstner, R.; et al. Degradable Glycine-Based Photo-Polymerizable Polyphosphazenes for Use as Scaffolds for Tissue Regeneration. Macromol. Biosci. 2015, 15, 351–363. [Google Scholar] [CrossRef]
- Peach, M.S.; Kumbar, S.G.; James, R.; Toti, U.S.; Balasubramaniam, D.; Deng, M.; Ulery, B.; Mazzocca, A.D.; McCarthy, M.B.; Morozowich, N.L.; et al. Design and Optimization of Polyphosphazene Functionalized Fiber Matrices for Soft Tissue Regeneration. J. Biomed. Nanotechnol. 2012, 8, 107–124. [Google Scholar] [CrossRef]
- Laurencin, C.T.; Morris, C.D.; Pierre-Jacques, H.; Schwartz, E.R.; Keaton, A.R.; Zou, L. Osteoblast Culture on Bioerodible Polymers: Studies of Initial Cell Adhesion and Spread. Polym. Adv. Technol. 1992, 3, 359–364. [Google Scholar] [CrossRef]
- Aldini, N.N.; Fini, M.; Rocca, M.; Martini, L.; Giardino, R.; Caliceti, P.; Veronese, F.M.; Lora, S.; Maltarello, M.C. Peripheral Nerve Reconstruction with Bioabsorbable Polyphosphazene Conduits. J. Bioact. Compat. Polym. 2016, 12, 3–13. [Google Scholar] [CrossRef]
- Zhang, Q.; Yan, Y.; Li, S.; Feng, T. The Synthesis and Characterization of a Novel Biodegradable and Electroactive Polyphosphazene for Nerve Regeneration. Mater. Sci. Eng. C 2010, 30, 160–166. [Google Scholar] [CrossRef]
- Conconi, M.T.; Lora, S.; Baiguera, S.; Boscolo, E.; Polin, M.; Scienza, R.; Rebuffat, P.; Parnigotto, P.P.; Nussdorfer, G.G. In Vitro Culture of Rat Neuromicrovascular Endothelial Cells on Polymeric Scaffolds. J. Biomed. Mater. Res. A 2004, 71, 669–674. [Google Scholar] [CrossRef] [PubMed]
- Allcock, H.R.; Steely, L.; Singh, A.; Hindenlang, M. Hydrophobic and Superhydrophobic Polyphosphazenes. J. Adhes. Sci. Technol. 2012, 23, 435–445. [Google Scholar] [CrossRef]
- Tang, M.; Chen, C.; Zhu, J.; Allcock, H.R.; Siedlecki, C.A.; Xu, L.C. Inhibition of Bacterial Adhesion and Biofilm Formation by a Textured Fluorinated Alkoxyphosphazene Surface. Bioact. Mater. 2021, 6, 447–459. [Google Scholar] [CrossRef]
- Xu, L.C.; Chen, C.; Zhu, J.; Tang, M.; Chen, A.; Allcock, H.R.; Siedlecki, C.A. New Cross-Linkable Poly[Bis(Octafluoropentoxy) Phosphazene] Biomaterials: Synthesis, Surface Characterization, Bacterial Adhesion, and Plasma Coagulation Responses. J. Biomed. Mater. Res. B Appl. Biomater. 2020, 108, 3250–3260. [Google Scholar] [CrossRef]
- Marin, A.; Brito, J.; Sukhishvili, S.A.; Andrianov, A.K. Cationic Fluoropolyphosphazenes: Synthesis and Assembly with Heparin as a Pathway to Hemocompatible Nanocoatings. ACS Appl. Bio Mater. 2022, 5, 313–321. [Google Scholar] [CrossRef]
- Xu, L.C.; Li, Z.; Tian, Z.; Chen, C.; Allcock, H.R.; Siedlecki, C.A. A New Textured Polyphosphazene Biomaterial with Improved Blood Coagulation and Microbial Infection Responses. Acta Biomater. 2018, 67, 87–98. [Google Scholar] [CrossRef]
- Henn, C.; Satzl, S.; Christoph, P.; Kurz, P.; Radeleff, B.; Stampfl, U.; Stampfl, S.; Berger, I.; Richter, G.M. Efficacy of a Polyphosphazene Nanocoat in Reducing Thrombogenicity, in-Stent Stenosis, and Inflammatory Response in Porcine Renal and Iliac Artery Stents. J. Vasc. Interv. Radiol. 2008, 19, 427–437. [Google Scholar] [CrossRef]
- Haidar, A.; Ali, A.A.; Veziroglu, S.; Fiutowski, J.; Eichler, H.; Müller, I.; Kiefer, K.; Faupel, F.; Bischoff, M.; Veith, M.; et al. PTFEP–Al2O3 Hybrid Nanowires Reducing Thrombosis and Biofouling. Nanoscale Adv. 2019, 1, 4659–4664. [Google Scholar] [CrossRef]
- Allcock, H.R.; Steely, L.B.; Singh, A. Hydrophobic and Superhydrophobic Surfaces from Polyphosphazenes. Polym. Int. 2006, 55, 621–625. [Google Scholar] [CrossRef]
Publisher’s Note: MDPI stays neutral with regard to jurisdictional claims in published maps and institutional affiliations. |
© 2022 by the authors. Licensee MDPI, Basel, Switzerland. This article is an open access article distributed under the terms and conditions of the Creative Commons Attribution (CC BY) license (https://creativecommons.org/licenses/by/4.0/).







































