Synthesis, Structural Investigations, and In Vitro/In Silico Bioactivities of Flavonoid Substituted Biguanide: A Novel Schiff Base and Its Diorganotin (IV) Complexes
Abstract
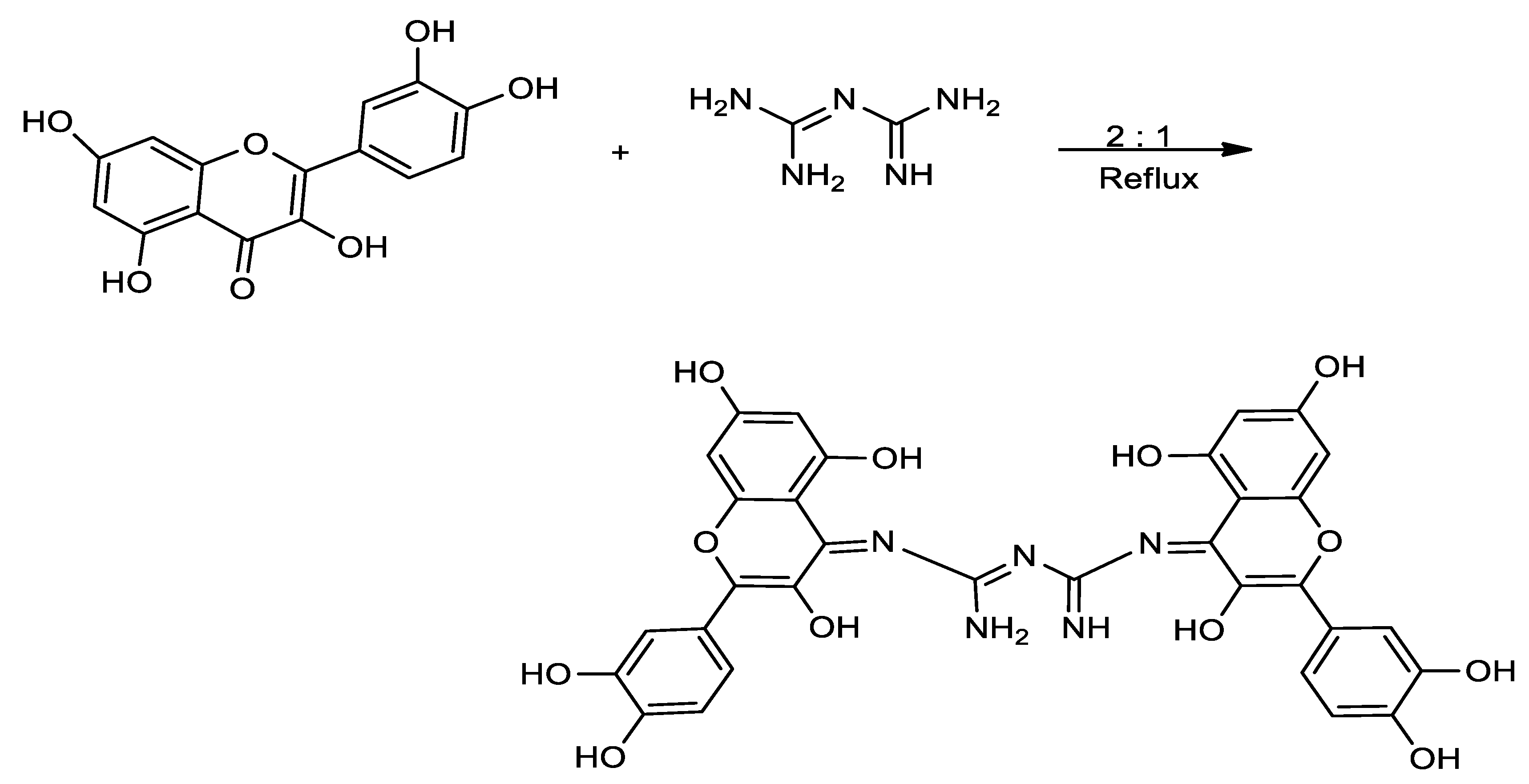
1. Introduction
2. Results and Discussion
2.1. Infrared Spectra
2.2. HNMR Spectra
2.3. C NMR Spectra
2.4. Sn NMR Spectra
2.5. Mass Spectra
2.6. UV-Visible Spectroscopic Study of the Complexes
2.7. Antimicrobial Assay
2.8. Molecular Docking Studies
3. Experimental
3.1. Materials and Measurements
3.1.1. Synthesis of Ligand (H2L)
3.1.2. Synthesis of Diorganotin (IV) Derivatives
Me2SnL(1)
Et2SnL(2)
Bu2SnL(3)
Ph2SnL(4)
3.2. Antimicrobial Activity
3.3. Molecular Docking Studies
4. Structure–Activities Relationship
5. Conclusions
Supplementary Materials
Author Contributions
Funding
Institutional Review Board Statement
Informed Consent Statement
Data Availability Statement
Acknowledgments
Conflicts of Interest
Sample Availability
References
- Azeem, M.; Hanif, M.; Mahmood, K.; Ameer, N.; Chughtai, F.R.; Abid, U. An insight into anticancer, antioxidant, antimicrobial, antidiabetic and anti-inflammatory effects of quercetin: A review. Polym. Bull. 2022, 1–22. [Google Scholar] [CrossRef] [PubMed]
- Al-Jumaili, M.H.A.; Hdeethi, M.K.Y.A. Study of selected flavonoid structures and their potential activity as breast anticancer agents. Cancer Inform. 2021, 20, 1–6. [Google Scholar] [CrossRef] [PubMed]
- Asgharian, P.; Tazehkand, A.P.; Soofiyani, S.R.; Hosseini, K.; Martorell, M.; Tarhriz, V.; Ahangari, H. Quercetin impact in pancreatic cancer: An overview on its therapeutic effects. Oxidative Med. Cell. Longev. 2021, 2021, 4393266. [Google Scholar] [CrossRef]
- Bahare, S.; Machin, L.; Monzote, L.; Sharifi, J.; Ezzat, M.S.; Salem, M.A.; Rana, M. Therapeutic Potential of Quercetin: New Insights and Perspectives for Human Health. ACS Omega 2010, 5, 11849–11872. [Google Scholar] [CrossRef]
- Daniel, I.K.; Özkömeç, F.N.; Çeşme, M.; Omowunmi, A.S. Synthesis, biological and computational studies of flavonoid acetamide derivatives. RSC Adv. 2022, 12, 10037–10050. [Google Scholar]
- Balasubramanian, R.; Narayanan, M.; Kedalgovindaram, L.; Rama, K.D. Cytotoxic activity of flavone glycoside from the stem of Indigofera aspalathoides Vahl. J. Nat. Med. 2007, 61, 80–83. [Google Scholar] [CrossRef]
- Zhang, H.; Zhang, M.; Yu, L.; Zhao, Y.; He, N.; Yang, X. Antitumor activities of quercetin and quercetin-5′, 8-disulfonate in human colon and breast cancer cell lines. Food Chem. Toxicol. 2012, 50, 1589–1599. [Google Scholar] [CrossRef]
- Ahmedova, A.; Paradowska, K.; Wawer, I. 1H, 13C MAS NMR and DFT GIAO study of quercetin and its complex with Al (III) in solid state. J. InorgBiochem. 2012, 110, 27–35. [Google Scholar] [CrossRef]
- Carmen, L.; Arnoldi, A. Food-derived antioxidants and COVID-19. J. Food Biochem. 2021, 45, e13557. [Google Scholar] [CrossRef]
- Tan, J.; Wang, B.; Zhu, L. DNA binding, cytotoxicity, apoptotic inducing activity, and molecular modeling study of quercetin zinc (II) complex. Bioorg. Med. Chem. 2009, 17, 614–620. [Google Scholar] [CrossRef]
- Bondžić, A.M.; Lazarević-Pašti, T.D.; Bondžić, B.P.; Čolović, M.B.; Jadranin, M.B.; Vasić, V.M. Investigation of reaction between quercetin and Au (III) in acidic media: Mechanism and identification of reaction products. New J. Chem. 2013, 37, 901–908. [Google Scholar] [CrossRef]
- Selvaraj, S.; Krishnaswamy, S.; Devashya, V.; Sethuraman, S.; Krishnan, U.M. Flavonoid–metal ion complexes: A novel class of therapeutic agents. Med. Res. Rev. 2014, 34, 677–702. [Google Scholar] [CrossRef] [PubMed]
- Santos, N.E.; Braga, S.S. Redesigning Nature, Ruthenium Flavonoid Complexes with Antitumour, Antimicrobial and Cardioprotective Activities. Molecules 2021, 26, 4544. [Google Scholar] [CrossRef] [PubMed]
- Dolatabadi, J.E. Molecular aspects on the interaction of quercetin and its metal complexes with DNA, International journal of biological macromolecules. Int. J. Biol. Macromol. 2011, 48, 227–233. [Google Scholar] [CrossRef]
- Xu, D.; Hu, M.J.; Wang, Y.Q.; Cui, Y.L. Antioxidant activities of quercetin and its complexes for medicinal application. Molecules 2019, 24, 1123. [Google Scholar] [CrossRef]
- Kasikci, M.B.; Bagdatlioglu, N. Bioavailability of quercetin. Curr. Res. Nutr. Food Sci. J. 2016, 4, 146–151. [Google Scholar] [CrossRef]
- Chen, X.; Yin, O.Q.; Zuo, Z.; Chow, M.S. Pharmacokinetics and modeling of quercetin and metabolites. Pharm. Res. 2005, 22, 892–901. [Google Scholar] [CrossRef]
- Massi, A.; Bortolini, O.; Ragno, D.; Bernardi, T.; Sacchetti, G.; Tacchini, M.; de Risi, C. Research progress in the modification of quercetin leading to anticancer agents. Molecules 2017, 22, 1270. [Google Scholar] [CrossRef]
- Park, K.H.; Choi, J.M.; Cho, E.; Jeong, D.; Shinde, V.V.; Kim, H.; Choi, Y.; Jung, S. Enhancement of solubility and bioavailability of quercetin by inclusion complexation with the cavity of mono-6-deoxy-6-aminoethylamino-β-cyclodextrin. Bull. Korean Chem. Soc. 2017, 38, 880–889. [Google Scholar] [CrossRef]
- Dian, L.; Yu, E.; Chen, X.; Wen, X.; Zhang, Z.; Qin, L.; Wang, Q.; Li, G.; Wu, C. Enhancing oral bioavailability of quercetin using novel soluplus polymeric micelles. Nanoscale Res. Lett. 2014, 9, 684. [Google Scholar] [CrossRef]
- Amanzadeh, E.; Esmaeili, A.; Abadi, R.E.; Kazemipour, N.; Pahlevanneshan, Z.; Beheshti, S. Quercetin conjugated with superparamagnetic iron oxide nanoparticles improves learning and memory better than free quercetin via interacting with proteins involved in LTP. Sci. Rep. 2019, 9, 6876. [Google Scholar] [CrossRef] [PubMed]
- Sun, L.; Lu, B.; Liu, Y.; Wang, Q.; Li, G.; Zhao, L.; Zhao, C. Synthesis, characterization and antioxidant activity of quercetin derivatives. Synth. Commun. 2021, 51, 2944–2953. [Google Scholar] [CrossRef]
- Moodi, Z.; Bagherzade, G.; Peters, J. Quercetin as a precursor for the synthesis of novel nanoscale Cu (II) complex as a catalyst for alcohol oxidation with high antibacterial activity. Bioinorg. Chem. Appl. 2021, 2021, 1–9. [Google Scholar] [CrossRef] [PubMed]
- Wang, Q.; Huang, Y.; Zhang, J.S.; Yang, X.B. Synthesis, characterization, DNA interaction, and antitumor activities of La (III) complex with Schiff base ligand derived from kaempferol and diethylenetriamine. Bioinorg. Chem. Appl. 2014, 12. [Google Scholar] [CrossRef]
- Folkman, J. Tumor angiogenesis: Therapeutic implications. N. Engl. J. Med. 1971, 285, 1182–1186. [Google Scholar] [CrossRef]
- Ambika, S.; Kumar, Y.M.; Arunachalam, S.; Gowdhami, B.; Sundaram, K.K.; Solomon, R.V.; Venuvanalingam, P.; Akbarsha, M.A.; Sundararaman, M. Biomolecular interaction, anti-cancer and anti-angiogenic properties of cobalt (III) Schiff base complexes. Sci. Rep. 2019, 9, 2721. [Google Scholar] [CrossRef]
- Duaa, G.; Zahraa, R.; Emad, Y. A review of organotin compounds:chemistry and applications. Arch. Org. Inorg. Chem. Sci. 2018, 3, 344–352. [Google Scholar] [CrossRef]
- Adeyemi, J.O.; Onwudiwe, D.C. Organotin(IV) Dithiocarbamate Complexes: Chemistry and Biological Activity. Molecules 2018, 23, 2571. [Google Scholar] [CrossRef]
- Kumar, M.; Abbas, Z.; Tuli, H.S.; Rani, A. Organotin Complexes with Promising Therapeutic Potential. Curr. Pharmacol. Rep. 2020, 6, 167–181. [Google Scholar] [CrossRef]
- Valentina, U.; Alexandra-Cristina, M. Flavonoid Complexes as Promising Anticancer Metallodrugs. In Flavonoids—From Biosynthesis to Human Health; IntechOpen: London, UK, 2017; pp. 305–323. [Google Scholar] [CrossRef]
- Flavonoid-Based Organometallics with Different Metal Centers—Investigations of the Effects on Reactivity and Cytotoxicity. Eur. J. Inorg. Chem. 2016, 2, 240–246. [CrossRef]
- Lionta, E.; Spyrou, G.; Vassilatis, D.K.; Cournia, Z. Structure-based virtual screening for drug discovery: Principles, applications and recent advances. Curr. Top. Med. Chem. 2014, 14, 1923–1938. [Google Scholar] [CrossRef] [PubMed]
- Paul, A.; Anbu, S.; Sharma, G.; Kuznetsov, M.L.; Koch, B.; da Silva, M.F.; Pombeiro, A.J. Synthesis, DNA binding, cellular DNA lesion and cytotoxicity of a series of new benzimidazole-based Schiff base copper (II) complexes. Dalton Trans. 2015, 44, 19983–19996. [Google Scholar] [CrossRef] [PubMed]
- Devi, J.; Yadav, M.; Kumar, A. Synthesis, characterization, biological activity, and QSAR studies of transition metal complexes derived from piperonylamine Schiff bases. Chem. Pap. 2018, 72, 2479–2502. [Google Scholar] [CrossRef]
- Singh, H.L.; Singh, J.B.; Bhanuka, S. Synthesis, spectroscopic characterization, biological screening, and theoretical studies of organotin (IV) complexes of semicarbazone and thiosemicarbazones derived from (2-hydroxyphenyl)(pyrrolidin-1-yl) methanone. Res. Chem. Intermed. 2016, 42, 997–1015. [Google Scholar] [CrossRef]
- Nakamoto, K. Infrared and Raman Spectra of Inorganic and Coordination Compounds, Part B: Applications in Coordination, Organometallic, and Bioinorganic Chemistry; John Wiley & Sons: Hoboken, NJ, USA, 2009. [Google Scholar] [CrossRef]
- Nath, M.; Vats, M.; Roy, P. Mode of action of tin-based anti-proliferative agents: Biological studies of organotin (IV) derivatives of fatty acids. J. Photochem. Photobiol. B Biol. 2015, 148, 88–100. [Google Scholar] [CrossRef]
- De Souza, R.F.; de Giovani, W.F. Synthesis, spectral and electrochemical properties of Al (III) and Zn (II) complexes with flavonoids. Spectrochim. Acta Part A Mol. Biomol. Spectrosc. 2005, 61, 1985–1990. [Google Scholar] [CrossRef]
- Tan, Y.X.; Zhang, Z.J.; Liu, Y.; Yu, J.X.; Zhu, X.M.; Kuang, D.Z.; Jiang, W.J. Synthesis, crystal structure and biological activity of the Schiff base organotin (IV) complexes based on salicylaldehyde-o-aminophenol. J. Mol. Struct. 2017, 1149, 874–881. [Google Scholar] [CrossRef]
- Abbas, Z.; Tuli, H.S.; Varol, M.; Sharma, S.; Sharma, H.K.; Aggarwal, P.; Kumar, M. Organotin (IV) complexes derived from Schiff base 1, 3-bis [(1E)-1-(2-hydroxyphenyl) ethylidene] thiourea: Synthesis, spectral investigation and biological study to molecular docking. J. Iran. Chem. Soc. 2021, 19, 1923–1935. [Google Scholar] [CrossRef]
- Singh, K.; Dharampal; Parkash, V. Synthesis, spectroscopic studies, and in vitro antifungal activity of organosilicon (IV) and organotin (IV) complexes of 4-amino-5-mercapto-3-methyl-S-triazole Schiff bases. Phosphorus Sulfur Silicon Relat. Elem. 2008, 183, 2784–2794. [Google Scholar] [CrossRef]
- Wagler, J.; Böhme, U.; Brendler, E.; Thomas, B.; Goutal, S.; Mayr, H.; Kempf, B.; Remennikov, G.Y.; Roewer, G. Switching between penta-and hexacoordination with salen-silicon-complexes. Inorg. Chim. Acta 2005, 358, 4270–4286. [Google Scholar] [CrossRef]
- Sirajuddin, M.; Ali, S.; Shah, F.A.; Ahmad, M.; Tahir, M.N. Potential bioactive Vanillin–Schiff base di-and tri-organotin (IV) complexes of 4-((3, 5-dimethylphenylimino) methyl)-2-methoxyphenol: Synthesis, characterization and biological screenings. J. Iran. Chem. Soc. 2014, 11, 297–313. [Google Scholar] [CrossRef]
- Devi, J.; Yadav, J.; Kumar, D.; Jindal, D.K.; Basu, B. Synthesis, spectral analysis and in vitro cytotoxicity of diorganotin (IV) complexes derived from indole-3-butyric hydrazide. Appl. Organomet. Chem. 2020, 34, e5815. [Google Scholar] [CrossRef]
- Kang, J.; Liu, Y.; Xie, M.X.; Li, S.; Jiang, M.; Wang, Y.D. Interactions of human serum albumin with chlorogenic acid and ferulic acid. Biochim. Biophys. Acta (BBA)-Gen. Subj. 2004, 1674, 205–214. [Google Scholar] [CrossRef] [PubMed]
- Bukhari, S.B.; Memon, S.; Mahroof-Tahir, M.; Bhanger, M.I. Synthesis, characterization and antioxidant activity copper-quercetin complex. Spectrochim. Acta Part A Mol. Biomol. Spectrosc. 2009, 71, 1901–1906. [Google Scholar] [CrossRef] [PubMed]
- Dehghan, G.; Khoshkam, Z. Tin (II)–quercetin complex: Synthesis, spectral characterisation and antioxidant activity. Food Chem. 2012, 131, 422–426. [Google Scholar] [CrossRef]
- Ahmadi, S.M.; Dehghan, G.; Hosseinpourfeizi, M.A.; Dolatabadi, J.E.; Kashanian, S. Preparation, characterization, and DNA binding studies of water-soluble quercetin–molybdenum (VI) complex. DNA Cell Biol. 2011, 30, 517–523. [Google Scholar] [CrossRef]
- Cornard, J.P.; Merlin, J.C. Spectroscopic and structural study of complexes of quercetin with Al (III). J. Inorg. Biochem. 2002, 92, 19–27. [Google Scholar] [CrossRef]
- Kumar, M.; Aggarwal, P.; Varol, M.; Sharma, S.; Rani, A.; Abbas, Z.; Prakash, V.; Tuli, H.S. Synthesis, spectral investigation, biological potential and molecular docking study of novel Schiff base and its transition metal complexes. Anti-Infect. Agents 2022, 20, 47–64. [Google Scholar] [CrossRef]
- Aggarwal, P.; Tuli, H.S.; Kumar, M. Novel Cyclic Schiff Base and Its Transition Metal Complexes: Synthesis, Spectral and Biological Investigations. Iran. J. Chem. Chem. Eng. 2022, 41, 417–430. [Google Scholar] [CrossRef]
- Anjaneyulu, Y.; Rao, R.P. Preparation, characterization and antimicrobial activity studies on some ternary complexes of Cu (II) with acetylacetone and various salicylic acids. Synth. React. Inorg. Met. Org. Chem. 1986, 16, 257–272. [Google Scholar] [CrossRef]
- Chohan, Z.H.; Scozzafava, A.; EnzyInhib, C.T.S.J. Zinc complexes of benzothiazole-derived Schiff bases with antibacterial activity. J. Enzym. Inhib. Med. Chem. 2003, 18, 259–263. [Google Scholar] [CrossRef] [PubMed]
- Chilwal, A.; Malhotra, P.; Narula, A.K. Synthesis, characterization, thermal and antibacterial studies of organotin (IV) complexes of indole-3-butyric acid and indole-3-propionic acid. Phosphorus Sulfur Silicon Relat. Elem. 2014, 189, 410–421. [Google Scholar] [CrossRef]
- Shujah, S.; Zia-ur-Rehman, M.; Ali, N.; Khalid, S.; Tahir, M.N. New dimeric and supramolecular organotin (IV) complexes with a tridentate schiff base as potential biocidal agents. J. Organomet. Chem. 2011, 696, 2772–2781. [Google Scholar] [CrossRef]
- Gilad, Y.; Senderowitz, H. Docking studies on DNA intercalators. J. Chem. Inf. Model. 2014, 54, 96–107. [Google Scholar] [CrossRef] [PubMed]
- Minovski, N.; Perdih, A.; Novic, M.; Solmajer, T. Cluster-based molecular docking study for in silico identification of novel 6-fluoroquinolones as potential inhibitors against Mycobacterium tuberculosis. J. Comput. Chem. 2013, 34, 790–801. [Google Scholar] [CrossRef]
- Baginski, M.; Fogolari, F.; Briggs, J.M. Electrostatic and non-electrostatic contributions to the binding free energies of anthracycline antibiotics to DNA. J. Mol. Biol. 1997, 274, 253–267. [Google Scholar] [CrossRef]
- Rehn, C.; Pindur, U. Molecular modeling of intercalation complexes of antitumor active 9-aminoacridine and a [d,e]-anellated isoquinoline derivative with base paired deoxytetranucleotides. Mon. Chem. Chem. Mon. 1996, 127, 654–658. [Google Scholar] [CrossRef]
- Waring, M.J.; Bailly, C. The purine 2-amino group as a critical recognition element for binding of small molecules to DNA. Gene 1994, 149, 69–79. [Google Scholar] [CrossRef]
- Boer, D.R.; Canals, A.; Coll, M. DNA-binding drugs caught in action: The latest 3D pictures of drug-DNA complexes. Dalton Trans. 2009, 399–414. [Google Scholar] [CrossRef]
- Satari, M.H.; Apriyanti, E.; Dharsono, H.D.; Nurdin, D.; Gartika, M.; Kurnia, D. Effectiveness of bioactive compound as antibacterial and anti-quorum sensing agent from myrmecodia pendans: An in silico study. Molecules 2021, 26, 2465. [Google Scholar] [CrossRef]
- Patil, T.D.; Amrutkar, S.V. Novel Benzotriazole Acetamide Derivatives as Benzo-Fused Five-Membered Nitrogen-Containing Heterocycles-In silico Screening, Molecular Docking, and Synthesis. Lett. Drug Des. Discov. 2022, 19, 337–349. [Google Scholar] [CrossRef]
- Ahsan, M.J.; Yusuf, M.; Salahuddin Bakht, M.A.; Taleuzzaman, M.; Vashishtha, B.; Thiriveedhi, A. Green Synthesis, Biological Evaluation, and Molecular Docking of 4’-(Substituted Phenyl) Spiro [Indoline-3, 3′-[1, 2, 4] Triazolidine]-2, 5′-Diones. Polycycl. Aromat. Compd. 2022, 1–13. [Google Scholar] [CrossRef]
- Latgé, J.P.; Chamilos, G. Aspergillus fumigatus and Aspergillosis in 2019. Clin. Microbiol. Rev. 2019, 33, e00140-18. [Google Scholar] [CrossRef] [PubMed]
- Raimi, O.G.; Hurtado-Guerrero, R.; Borodkin, V.; Ferenbach, A.; Urbaniak, M.D.; Ferguson, M.A.; van Aalten, D.M. A mechanism-inspired UDP-N-acetylglucosamine pyrophosphorylase inhibitor. RSC Chem. Biol. 2020, 1, 13–25. [Google Scholar] [CrossRef]
- Armarego, W.L.; Chai, C.L.L. Purification of Laboratory Chemicals, Butterworth-Heinemann; Elsevier: Amsterdam, The Netherlands, 2009. [Google Scholar]
- Jorgensen, J.H.; Turnidge, J.D. Manual of Clinical Microbiology; Murray, P.R., Baron, E.J., Pfaller, M.A., Tenover, F.C., Yolken, R.H., Eds.; American Society for Microbiology: Washington, DC, USA, 1999; pp. 1526; 1640–1652. [Google Scholar]
- Devi, J.; Yadav, M.; Kumar, D.; Naik, L.S.; Jindal, D.K. Some divalent metal (II) complexes of salicylaldehyde-derived Schiff bases: Synthesis, spectroscopic characterization, antimicrobial and in vitro anticancer studies. Appl. Organomet. Chem. 2019, 33, e4693. [Google Scholar] [CrossRef]
- Kumar, M.; Pallvi, T.H.S.; Khare, R. Synthesis, Characterization and Biological Studies of Novel Schiff Base viz. Bis-1, 1′-(pyridine-2, 6-diyldieth-1-yl-1-ylidene) biguanidine and Their Transition Metal Complexes. Asian J. Chem. 2019, 31, 799. [Google Scholar] [CrossRef]
- Morris, G.M.; Huey, R.; Lindstrom, W.; Sanner, M.F.; Belew, R.K.; Goodsell, D.S.; Olson, A.J. AutoDock4 and AutoDockTools4: Automated docking with selective receptor flexibility. J. Comput. Chem. 2009, 30, 2785–2791. [Google Scholar] [CrossRef]
- Mukherjee, S.; Mitra, I.; Saha, R.; Dodda, S.R.; Linert, W.; Moi, S.C. In vitro model reaction of sulfur containing bio-relevant ligands with Pt(ii) complex: Kinetics, mechanism, bioactivity and computational studies. RSC. Adv. 2015, 5, 76987–76999. [Google Scholar] [CrossRef]
- Eberhardt, J.; Santos-Martins, D.; Tillack, A.F.; Forli, S. New docking methods, expanded force field, and python bindings. J. Chem. Inf. Model. 2021, 61, 3891–3898. [Google Scholar] [CrossRef]
- Macindoe, G.; Mavridis, L.; Venkatraman, V.; Devignes, M.D.; Ritchie, D.W. HexServer: An FFT-based protein docking server powered by graphics processors. Nucleic Acids Res. 2010, 38, W445–W449. [Google Scholar] [CrossRef]
- Das, A.; Baidya, R.; Chakraborty, T.; Samanta, A.K.; Roy, S. Pharmacological basis and new insights of taxifolin: A comprehensive review. Biomed. Pharmacother. 2021, 142, 112004. [Google Scholar] [CrossRef] [PubMed]






| Compounds | Zone of Inhibition/mm (Concentration of Compounds 1–4) in µg/mL | |||||
|---|---|---|---|---|---|---|
| Gram Positive | Gram Negative | Fungi | ||||
| S. aureus 300 200 100 | B. subtilis 300 200 100 | E. coli 300 200 100 | Pseudomonas aeruginosa 300 200 100 | S. canadesis 300 200 100 | A. niger 300 200 100 | |
| H2L | 24 ± 0.4 19 ± 0.1 15 ± 0.5 | 23 ± 0.6 18 ± 0.9 14 ± 0.6 | 22 ± 0.5 20 ± 0.2 13 ± 0.7 | 22 ± 0.5 19 ± 0.4 13 ± 0.7 | 18 ± 0.7 17 ± 0.5 15 ± 0.6 | 19 ± 0.7 16 ± 0.4 14 ± 0.2 | 
| 1 | 27 ± 0.5 22 ± 0.3 17 ± 0,5 | 25 ± 0.7 20 ± 0.8 17 ± 0.4 | 23 ± 0.6 21 ± 0.8 12 ± 0.7 | 24 ± 0.6 20 ± 0.8 13 ± 0.7 | 21 ± 0.8 19 ± 0.5 17 ± 0.7 | 22 ± 0.4 18 ± 0.3 16 ± 0.1 | 
| 2 | 26 ± 0.9 21 ± 0.8 16 ± 0.7 | 26 ± 0.8 20 ± 0.3 17 ± 0.9 | 24 ± 0.9 21 ± 0.4 11 ± 0.7 | 24 ± 0.7 21 ± 0.8 13 ± 0.6 | 24 ± 0.4 22 ± 0.5 18 ± 0.5 | 18 ± 0.3 25 ± 0.3 18 ± 0.4 | 
| 3 | 28 ± 0.9 27 ± 0.9 25 ± 0.8 | 28 ± 0.8 26 ± 0.6 21 ± 0.8 | 26 ± 0.7 24 ± 0.7 21 ± 0.6 | 26 ± 0.3 24 ± 0.6 18 ± 0.5 | 29 ± 0.6 26 ± 0.5 23 ± 0.5 | 28 ± 0.6 26 ± 0.5 23 ± 0.3 | 
| 4 | 30 ± 0.9 27 ± 0.9 24 ± 0.7 | 30 ± 0.7 27 ± 0.4 23 ± 0.8 | 27 ± 0.7 24 ± 0.8 20 ± 0.2 | 27 ± 0.8 25 ± 0.8 21 ± 0.6 | 29 ± 0.6 26 ± 0.4 24 ± 0.4 | 30 ± 0.5 26 ± 0.8 24 ± 0.6 | 
| Ciprofloxacin (40 µg/mL) | 28 mm | 27 mm | 27 mm | 27 mm | ____ | ______ | 
| Fluconazole (40 µg/mL) | ______ | _____ | _____ | ______ | 28 mm | 28 mm | 
| Receptors | 1AD4 | 1KZN | 6TN3 | |||
|---|---|---|---|---|---|---|
| Ligands | Binding Affinity (kcal/mol) | Interactions | Binding Affinity (kcal/mol) | Interactions | Binding Affinity (kcal/mol) | Interactions | 
| H2L | −9.7 | Conventional Hydrogen Bond (ASN A:103, MET A:128, and ARG A:204) Pi-Cation (ARG A:239) Pi-Pi T-Shaped (TTIS A:55 and PIIE A:172) Alkyl (MET A:128) Pi-Alkyl (ATA A:199) | −9.5 | Conventional Hydrogen Bond (ASN A:46, ASP A:49, ASP A:73, and GLY A:77) Carbon Hydrogen Bond (HIS A:95 and GLY A:119) Pi-Anion (GLU A:50) Pi-Alkyl (ILE A:78 and ILE A:90) | −9.9 | van der Waals (GLY B:137) Conventional Hydrogen Bond (THR B:140, ASN B:249, SER B:331, and LYS B:405) Pi-Cation (LYS B:383) Pi-Anion (GLU B:407) Pi-Sigma (GLN B:138) Amide-Pi Stacked (GLY B:136) Alkyl (ALA B:381) Pi-Alkyl (PRO B:246) | 
| Me2SnL (1) | −8.4 | Conventional Hydrogen Bond (VAL A:12, ARG A:66, and HIS A:241) Carbon Hydrogen Bond (LYS A:203) * Pi-Cation (ARG A:239) | −8.3 | Conventional Hydrogen Bond (GLU A:42, ASN A:46, and ARG A:136) Pi-Cation (ARG A:76) Pi-Anion (ASP A:49 and GLU A:50) Pi-Alkyl (ILE A:78 and PRO A:79) | −9.2 | Conventional Hydrogen Bond (GLY B:136, GLY B:137, THR B:140, GLN B:222, TYR B:330, LYS B:383, and GLU B:407) Pi-Cation (LYS B:383 and LYS B:437) Pi-Anion (ASP B:279) Pi-Sigma (ASN B:249) Pi-Sulfur (CYS B:277) Pi-Alkyl (VAL B:357) | 
| Et2SnL (2) | −8.7 | Conventional Hydrogen Bond (VAL A:12, ARG A:52, ARG A:66, ARG A:204, and ARG A:219) Pi-Cation (ARG A:52) Pi-Pi T-Shaped (PHE A:172) Pi-Alkyl (HIS A:55 and LYS A:203) | −9.0 | Conventional Hydrogen Bond (ASP A:49, ILE A:90, VAL A:120, and SER A:121) Carbon Hydrogen Bond (GLY A:119) Pi-Donor Hydrogen Bond (ASN A:46) Pi-Sigma (ILE A:90) Pi-Alkyl (ALA A:96) | −9.2 | Conventional Hydrogen Bond (GLY B:137, THR B:140, TYR B:330, LYS B:383, and GLU B:407) Carbon Hydrogen Bond (LYS B:383) Pi-Cation (LYS B:437) Pi-Anion (ASP B:279 and GLU B:407) Pi-Sigma (ASN B:249) Pi-Sulfur (CYS B:277) Pi-Alkyl (ARG B:141, VAL B:357, and LYS B:405) | 
| Bu2SnL (3) | −8.4 | Conventional Hydrogen Bond (GLY A:47, GLY A:48, ARG A:52, HIS A:55, ASP A:84, and ARG A:219) Pi-Alkyl (PRO A:216 and HIS A:241) | −8.5 | Conventional Hydrogen Bond (ASN A:46, ASP A:49, and THR A:165) Carbon Hydrogen Bond (GLY A:119) Pi-Cation (ARG A:76) Pi-Anion (GLU A:50) Alkyl (ILE A:78 and PRO A:79) Pi-Alkyl (ILE A:78 and ILE A:90) | −9.1 | Conventional Hydrogen Bond (MET B:134, THR B:140, GLN B:222, TYR B:330, LYS B:383, LYS B:405, and GLU B:407) Carbon Hydrogen Bond (GLY B:136 and LYS B:383) Pi-Cation (LYS B:383 and LYS B:437) Alkyl (PRO B:246) Pi-Alkyl (ARG B:141, CYS B:277, and VAL B:357) | 
| Ph2SnL (4) | −8.9 | Conventional Hydrogen Bond (GLY A:48, ARG A:52, HIS A:55, and ARG A:66) Pi-Alkyl (PRO A:216) | −8.3 | Conventional Hydrogen Bond (ASN A:46) Pi-Cation (ARG A:76) Pi-Anion (GLU A:50) Pi-Alkyl (ILE A:78, PRO A:79, and ILE A:90) | −7.3 | Conventional Hydrogen Bond (LYS B:383, ASN B:438, ALA B:439, and GLU B:444) Carbon Hydrogen Bond (ARG B:141) Pi-Pi T-shaped (TYR B:330) Pi-Alkyl (ARG B:141) | 
| Publisher’s Note: MDPI stays neutral with regard to jurisdictional claims in published maps and institutional affiliations. | 
© 2022 by the authors. Licensee MDPI, Basel, Switzerland. This article is an open access article distributed under the terms and conditions of the Creative Commons Attribution (CC BY) license (https://creativecommons.org/licenses/by/4.0/).
Share and Cite
Abbas, Z.; Kumar, M.; Tuli, H.S.; Janahi, E.M.; Haque, S.; Harakeh, S.; Dhama, K.; Aggarwal, P.; Varol, M.; Rani, A.; et al. Synthesis, Structural Investigations, and In Vitro/In Silico Bioactivities of Flavonoid Substituted Biguanide: A Novel Schiff Base and Its Diorganotin (IV) Complexes. Molecules 2022, 27, 8874. https://doi.org/10.3390/molecules27248874
Abbas Z, Kumar M, Tuli HS, Janahi EM, Haque S, Harakeh S, Dhama K, Aggarwal P, Varol M, Rani A, et al. Synthesis, Structural Investigations, and In Vitro/In Silico Bioactivities of Flavonoid Substituted Biguanide: A Novel Schiff Base and Its Diorganotin (IV) Complexes. Molecules. 2022; 27(24):8874. https://doi.org/10.3390/molecules27248874
Chicago/Turabian StyleAbbas, Zahoor, Manoj Kumar, Hardeep Singh Tuli, Essam M. Janahi, Shafiul Haque, Steve Harakeh, Kuldeep Dhama, Pallvi Aggarwal, Mehmet Varol, Anita Rani, and et al. 2022. "Synthesis, Structural Investigations, and In Vitro/In Silico Bioactivities of Flavonoid Substituted Biguanide: A Novel Schiff Base and Its Diorganotin (IV) Complexes" Molecules 27, no. 24: 8874. https://doi.org/10.3390/molecules27248874
APA StyleAbbas, Z., Kumar, M., Tuli, H. S., Janahi, E. M., Haque, S., Harakeh, S., Dhama, K., Aggarwal, P., Varol, M., Rani, A., & Sharma, S. (2022). Synthesis, Structural Investigations, and In Vitro/In Silico Bioactivities of Flavonoid Substituted Biguanide: A Novel Schiff Base and Its Diorganotin (IV) Complexes. Molecules, 27(24), 8874. https://doi.org/10.3390/molecules27248874
 
        


Manoj_Kumar.jpg)



 
       