Electrochemistry of Cobalta Bis(dicarbollide) Ions Substituted at Carbon Atoms with Hydrophilic Alkylhydroxy and Carboxy Groups
Abstract
1. Introduction
2. Results and Discussion
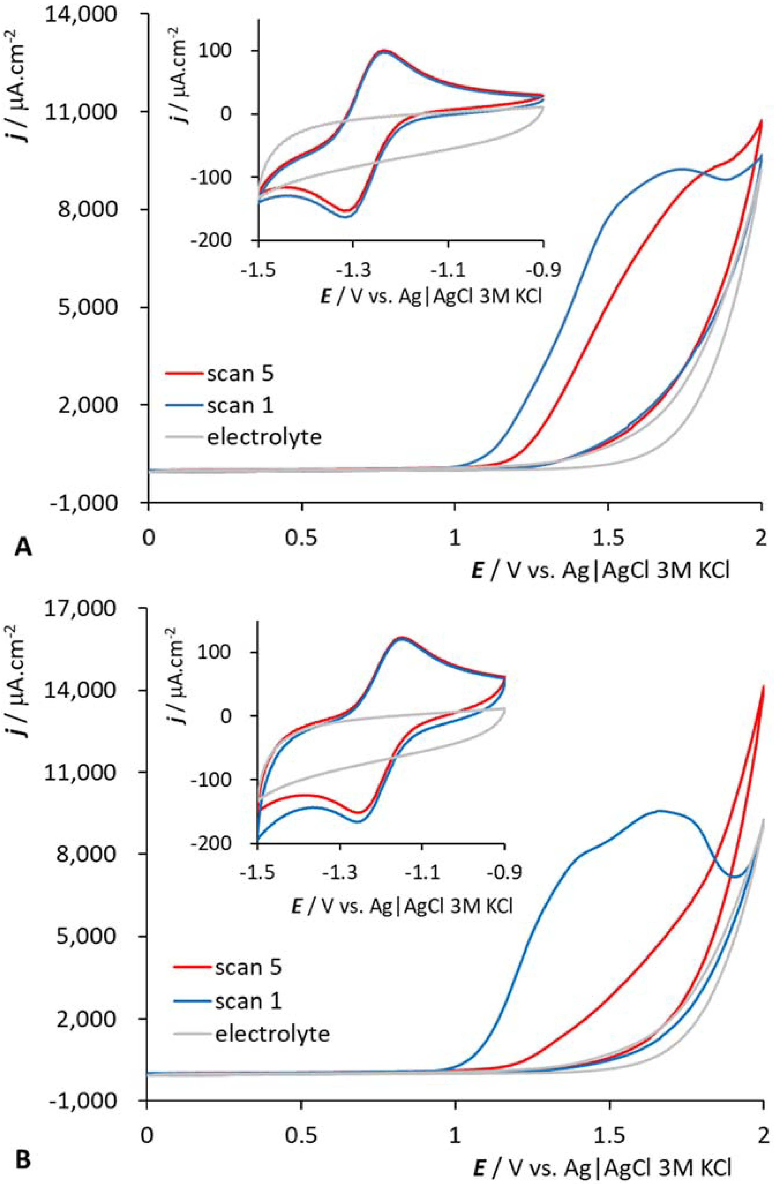
2.1. Electrochemical Behavior of Hydroxy- and Carboxy-Substituted Metallacarboranes
2.2. pH Dependencies of Selected BCCs
2.3. Concentration Dependence
2.4. Comparison of Different Substituent Positions (B or C Atom)
2.5. General Remarks
3. Materials and Methods
3.1. Synthesis
3.2. Electrochemistry
4. Conclusions
Supplementary Materials
Author Contributions
Funding
Institutional Review Board Statement
Informed Consent Statement
Data Availability Statement
Conflicts of Interest
Sample Availability
References
- Hawthorne, M.F.; Andrews, T.D. Carborane analogues of cobalticinium ion. Chem. Commun. 1965, 19, 443–444. [Google Scholar] [CrossRef]
- Sivaev, I.B.; Bregadze, V.I. Chemistry of cobalt bis(dicarbollides). A review. Collect. Czech. Chem. Commun. 1999, 64, 783–805. [Google Scholar] [CrossRef]
- Dash, B.P.; Satapathy, R.; Swain, B.R.; Mahanta, C.S.; Jena, B.B.; Hosmane, N.S. Cobalt bis(dicarbollide) anion and its derivatives. J. Organomet. Chem. 2017, 849–850, 170–194. [Google Scholar] [CrossRef]
- Grimes, R.N. Carboranes, 3rd ed.; Academic Press Ltd-Elsevier Science Ltd.: London, UK, 2016; pp. 1–1041. [Google Scholar]
- Saxena, A.K.; Hosmane, N.S. Recent Advances in the Chemistry of Carborane Metal-Complexes Incorporating D-Block and F-Block Elements. Chem. Rev. 1993, 93, 1081–1124. [Google Scholar] [CrossRef]
- Hawthorne, M.F. Chemistry of polyhedral species derived from transition metals and carboranes. Accounts Chem. Res. 1968, 1, 281–288. [Google Scholar] [CrossRef]
- Junqueira, G.M.A. Remarkable aromaticity of cobalt bis(dicarbollide) derivatives: A NICS study. Theor. Chem. Acc. 2018, 137, 7. [Google Scholar] [CrossRef]
- Gozzi, M.; Schwarze, B.; Hey-Hawkins, E. Preparing (Metalla)carboranes for Nanomedicine. ChemMedChem 2021, 16, 1533–1565. [Google Scholar] [CrossRef]
- Viñas, C.; Tarres, M.; Gonzalez-Cardoso, P.; Farras, P.; Bauduin, P.; Teixidor, F. Surfactant behaviour of metallacarboranes. A study based on the electrolysis of water. Dalton Trans. 2014, 43, 5062–5068. [Google Scholar] [CrossRef]
- Plešek, J. Potential Applications of the Boron Cluster Compounds. Chem. Rev. 1992, 92, 269–278. [Google Scholar] [CrossRef]
- Fanfrlík, J.; Lepšík, M.; Horinek, D.; Havlas, Z.; Hobza, P. Interaction of Carboranes with Biomolecules: Formation of Dihydrogen Bonds. ChemPhysChem 2006, 7, 1100–1105. [Google Scholar] [CrossRef]
- Dubey, R.D.; Sarkar, A.; Shen, Z.Y.; Bregadze, V.I.; Sivaev, I.B.; Druzina, A.A.; Zhidkova, O.B.; Shmal’ko, A.V.; Kosenko, I.D.; Sreejyothi, P.; et al. Effects of Linkers on the Development of Liposomal Formulation of Cholesterol Conjugated Cobalt Bis(dicarbollides). J. Pharm. Sci. 2021, 110, 1365–1373. [Google Scholar] [CrossRef] [PubMed]
- Bregadze, V.I.; Sivaev, I.B.; Dubey, R.D.; Semioshkin, A.; Shmal’ko, A.V.; Kosenko, I.D.; Lebedeva, K.V.; Mandal, S.; Sreejyothi, P.; Sarkar, A.; et al. Boron-Containing Lipids and Liposomes: New Conjugates of Cholesterol with Polyhedral Boron Hydrides. Chem.-Eur. J. 2020, 26, 13832–13841. [Google Scholar] [CrossRef] [PubMed]
- Assaf, K.I.; Begaj, B.; Frank, A.; Nilam, M.; Mougharbel, A.S.; Kortz, U.; Nekvinda, J.; Grüner, B.; Gabel, D.; Nau, W.M. High-Affinity Binding of Metallacarborane Cobalt Bis(dicarbollide) Anions to Cyclodextrins and Application to Membrane Translocation. J. Org. Chem. 2019, 84, 11790–11798. [Google Scholar] [CrossRef] [PubMed]
- Verdia-Baguena, C.; Alcaraz, A.; Aguilella, V.M.; Cioran, A.M.; Tachikawa, S.; Nakamura, H.; Teixidor, F.; Vinas, C. Amphiphilic COSAN and I2-COSAN crossing synthetic lipid membranes: Planar bilayers and liposomes. Chem. Commun. 2014, 50, 6700–6703. [Google Scholar] [CrossRef]
- Gruner, B.; Brynda, J.; Das, V.; Sicha, V.; Stepankova, J.; Nekvinda, J.; Holub, J.; Pospisilova, K.; Fabry, M.; Pachl, P.; et al. Metallacarborane Sulfamides: Unconventional, Specific, and Highly Selective Inhibitors of Carbonic Anhydrase IX. J. Med. Chem. 2019, 62, 9560–9575. [Google Scholar] [CrossRef]
- Grzelczak, M.P.; Danks, S.P.; Klipp, R.C.; Belic, D.; Zaulet, A.; Kunstmann-Olsen, C.; Bradley, D.F.; Tsukuda, T.; Vinas, C.; Teixidor, F.; et al. Ion Transport across Biological Membranes by Carborane-Capped Gold Nanoparticles. ACS Nano 2017, 11, 12492–12499. [Google Scholar] [CrossRef]
- Tarres, M.; Canetta, E.; Vinas, C.; Teixidor, F.; Harwood, A.J. Imaging in living cells using nu B-H Raman spectroscopy: Monitoring COSAN uptake. Chem. Commun. 2014, 50, 3370–3372. [Google Scholar] [CrossRef]
- Gona, K.B.; Zaulet, A.; Gomez-Vallejo, V.; Teixidor, F.; Llop, J.; Vinas, C. COSAN as a molecular imaging platform: Synthesis and “in vivo’’ imaging. Chem. Commun. 2014, 50, 11415–11417. [Google Scholar] [CrossRef]
- Teixidor, C.V.; Teixidor, F.; Harwood, A.J. Cobaltabisdicarbollide-Based Synthetic Vesicles: From Biological Interaction to In Vivo Imaging; John Wiley & Sons Ltd.: Chichester, UK, 2018; pp. 159–173. [Google Scholar]
- Zhu, Y.H.; Hosmane, N.S. Advanced carboraneous materials. J. Organomet. Chem. 2017, 849–850, 286–292. [Google Scholar] [CrossRef]
- Lesnikowski, Z.J. Challenges and Opportunities for the Application of Boron Clusters in Drug Design. J. Med. Chem. 2016, 59, 7738–7758. [Google Scholar] [CrossRef]
- Issa, F.; Kassiou, M.; Rendina, M. Boron in Drug Discovery: Carboranes as Uniquie Pharmacophores in Biologically Active Compounds. Chem. Rev. 2011, 111, 5701–5722. [Google Scholar] [CrossRef] [PubMed]
- Olejniczak, A.B.; Nawrot, B.; Lesnikowski, Z.J. DNA Modified with Boron-Metal Cluster Complexes M(C2B9H11)(2) Synthesis, Properties, and Applications. Int. J. Mol. Sci. 2018, 19, 3501. [Google Scholar] [CrossRef] [PubMed]
- Cigler, P.; Kozisek, M.; Rezacova, P.; Brynda, J.; Otwinowski, Z.; Pokorna, J.; Plesek, J.; Gruner, B.; Doleckova-Maresova, L.; Masa, M.; et al. From nonpeptide toward noncarbon protease inhibitors: Metallacarboranes as specific and potent inhibitors of HIV protease. Proc. Natl. Acad. Sci. USA 2005, 102, 15394–15399. [Google Scholar] [CrossRef] [PubMed]
- Kožíšek, M.; Cígler, P.; Lepšík, M.; Fanfrlík, J.; Řezáčová, P.; Brynda, J.; Pokorná, J.; Plešek, J.; Grüner, B.; Grantz-Šašková, K.; et al. Inorganic polyhedral metallacarborane inhibitors of HIV protease: A new approach to overcoming antiviral resistance. J. Med. Chem. 2008, 59, 4839–4843. [Google Scholar] [CrossRef]
- Řezáčová, P.; Pokorná, J.; Brynda, J.; Kožíšek, M.; Cígler, P.; Lepšík, M.; Fanfrlík, J.; Řezáč, J.; Šašková, K.G.; Sieglová, I.; et al. Design of HIV Protease Inhibitors Based on Inorganic Polyhedral Metallacarboranes. J. Med. Chem. 2009, 52, 7132–7141. [Google Scholar] [CrossRef]
- Gruner, B.; Kugler, M.; El Anwar, S.; Holub, J.; Nekvinda, J.; Bavol, D.; Ruzickova, Z.; Pospisilova, K.; Fabry, M.; Kral, V.; et al. Cobalt Bis(dicarbollide) Alkylsulfonamides: Potent and Highly Selective Inhibitors of Tumor Specific Carbonic Anhydrase IX. Chempluschem 2021, 86, 352–363. [Google Scholar] [CrossRef]
- Kugler, M.; Nekvinda, J.; Holub, J.; El Anwar, S.; Das, V.; Šícha, V.; Pospíšilová, K.; Fábry, M.; Král, V.; Brynda, J.; et al. Inhibitors of CA IX Enzyme Based on Polyhedral Boron Compounds. ChemBioChem 2021, 22, 2741–2761. [Google Scholar] [CrossRef]
- Fuentes, I.; Garcia-Mendiola, T.; Sato, S.; Pita, M.; Nakamura, H.; Lorenzo, E.; Teixidor, F.; Marques, F.; Viñas, C. Metallacarboranes on the Road to Anticancer Therapies: Cellular Uptake, DNA Interaction, and Biological Evaluation of Cobaltabisdicarbollide COSAN (-). Chem.-Eur. J. 2018, 24, 17239–17254. [Google Scholar] [CrossRef]
- Popova, T.; Zaulet, A.; Teixidor, F.; Alexandrova, R.; Vinas, C. Investigations on antimicrobial activity of cobaltabisdicarbollides. J. Organomet. Chem. 2013, 747, 229–234. [Google Scholar] [CrossRef]
- Vankova, E.; Lokocova, K.; Matatkova, O.; Krizova, I.; Masak, J.; Gruner, B.; Kaule, P.; Cermak, J.; Sicha, V. Cobalt bis-dicarbollide and its ammonium derivatives are effective antimicrobial and antibiofilm agents. J. Organomet. Chem. 2019, 899, 8. [Google Scholar] [CrossRef]
- Swietnicki, W.; Goldeman, W.; Psurski, M.; Nasulewicz-Goldeman, A.; Boguszewska-Czubara, A.; Drab, M.; Sycz, J.; Goszczynski, T.M. Metallacarborane Derivatives Effective against Pseudomonas aeruginosa and Yersinia enterocolitica. Int. J. Mol. Sci. 2021, 22, 6762. [Google Scholar] [CrossRef] [PubMed]
- Kvasnickova, E.; Masak, J.; Cejka, J.; Matatkova, O.; Sicha, V. Preparation, characterization, and the selective antimicrobial activity of N-alkylammonium 8-diethyleneglycol cobalt bis-dicarbollide derivatives. J. Organomet. Chem. 2017, 827, 23–31. [Google Scholar] [CrossRef]
- Fink, K.; Uchman, M. Boron cluster compounds as new chemical leads for antimicrobial therapy. Coord. Chem. Rev. 2021, 431, 10. [Google Scholar] [CrossRef]
- Fuentes, I.; Pujols, J.; Vinas, C.; Ventura, S.; Teixidor, F. Dual Binding Mode of Metallacarborane Produces a Robust Shield on Proteins. Chem.-Eur. J. 2019, 25, 12820–12829. [Google Scholar] [CrossRef]
- Fink, K.; Boratynski, J.; Paprocka, M.; Goszczynski, T.M. Metallacarboranes as a tool for enhancing the activity of therapeutic peptides. Ann. N. Y. Acad. Sci. 2019, 1457, 128–141. [Google Scholar] [CrossRef]
- Goszczynski, T.M.; Fink, K.; Boratynski, J. Icosahedral boron clusters as modifying entities for biomolecules. Expert Opin. Biol. Ther. 2018, 18, 205–213. [Google Scholar] [CrossRef]
- Núñez, R.; Tarres, M.; Ferrer-Ugalde, A.; de Biani, F.F.; Teixidor, F. Electrochemistry and Photoluminescence of Icosahedral Carboranes, Boranes, Metallacarboranes, and Their Derivatives. Chem. Rev. 2016, 116, 14307–14378. [Google Scholar] [CrossRef]
- Kodr, D.; Yenice, C.P.; Simonova, A.; Saftic, D.P.; Pohl, R.; Sykorova, V.; Ortiz, M.; Havran, L.; Fojta, M.; Lesnikowski, Z.J.; et al. Carborane- or Metallacarborane-Linked Nucleotides for Redox Labeling. Orthogonal Multipotential Coding of all Four DNA Bases for Electrochemical Analysis and Sequencing. J. Am. Chem. Soc. 2021, 143, 7124–7134. [Google Scholar] [CrossRef]
- Olejniczak, A.B.; Lesnikowski, Z.J. Boron Clusters as Redox Labels for Nucleosides and Nucleic Acids; World Scientific Publ Co Pte Ltd.: Singapore, 2019; pp. 1–13. [Google Scholar]
- Gonzμlez-Cardoso, P.; Stoica, A.I.; Farràs, P.; Pepiol, A.; Vinas, C.; Teixidor, F. Additive Tuning of Redox Potential in Metallacarboranes by Sequential Halogen Substitution. Chem.-Eur. J. 2010, 16, 6660–6665. [Google Scholar] [CrossRef]
- Rudakov, A.; Shirokii, V.L.; Knizhnikov, V.A.; Bazhanov, A.V.; Vecher, E.I.; Maier, N.A.; Potkin, V.I.; Ryabtsev, A.N.; Petrovskii, P.V.; Sivaev, I.B.; et al. Electrochemical synthesis of halogen derivatives of bis(1,2-dicarbollyl)cobalt(III). Russ. Chem. Bull. Int. Ed. 2004, 53, 2554–2557. [Google Scholar] [CrossRef]
- Fojt, L.; Gruner, B.; Sicha, V.; Nekvinda, J.; Vespalec, R.; Fojta, M. Electrochemistry of icosahedral cobalt bis(dicarbollide) ions and their carbon and boron substituted derivatives in aqueous phosphate buffers. Electrochim. Acta 2020, 342, 11. [Google Scholar] [CrossRef]
- Ziolkowski, R.; Olejniczak, A.B.; Gorski, L.; Janusik, J.; Lesnikowski, Z.J.; Malinowska, E. Electrochemical detection of DNA hybridization using metallacarborane unit. Bioelectrochemistry 2012, 87, 78–83. [Google Scholar] [CrossRef] [PubMed]
- Palecek, E.; Bartosik, M. Electrochemistry of Nucleic Acids. Chem. Rev. 2012, 112, 3427–3481. [Google Scholar] [CrossRef] [PubMed]
- Semioshkin, A.A.; Sivaev, I.B.; Bregadze, V.I. Cyclic oxonium derivatives of polyhedral boron hydrides and their synthetic applications. Dalton Trans. 2008, 2008, 977–992. [Google Scholar] [CrossRef]
- Selucky, P.; Plesek, J.; Rais, J.; Kyrs, M.; Kadlecova, L. Extraction of Fission-Products into Nitrobenzene with Dicobalt Tris-Dicarbollide and Ethyleneoxy-Substituted Cobalt Bis- Dicarbollide. J. Radioanal. Nucl. Chem.-Artic. 1991, 149, 131–140. [Google Scholar] [CrossRef]
- Zaulet, A.; Teixidor, F.; Bauduin, P.; Diat, O.; Hirva, P.; Ofori, A.; Vinas, C. Deciphering the role of the cation in anionic cobaltabisdicarbollide clusters. J. Organomet. Chem. 2018, 865, 214–225. [Google Scholar] [CrossRef]
- Olejniczak, A.B.; Milecki, J.; Schroeder, G. The Effect of Stereochemistry on Sodium Ion Complexation in Nucleoside-Metallacarborane Conjugates. Bioinorg. Chem. Appl. 2010, 2010, 196064. [Google Scholar] [CrossRef]
- Dorďovic, V.; Tošner, Z.; Uchman, M.; Zhigunov, A.; Reza, M.; Ruokolainen, J.; Pramanik, G.; Cígler, P.; Kalikova, K.; Gradzielski, M.; et al. Stealth Amphiphiles: Self-Assembly of Polyhedral Boron Clusters. Langmuir 2016, 32, 6713–6722. [Google Scholar] [CrossRef]
- Grüner, B.; Švec, P.; Šícha, V.; Padĕlková, Z. Direct and facile synthesis of carbon substituted alkylhydroxy derivatives of cobalt bis(1,2-dicarbollide), versatile building blocks for synthetic purposes. Dalton Trans. 2012, 41, 7498–7512. [Google Scholar] [CrossRef]
- Nekvinda, J.; Sicha, V.; Hnyk, D.; Gruner, B. Synthesis, characterisation and some chemistry of C- and B-substituted carboxylic acids of cobalt bis(dicarbollide). Dalton Trans. 2014, 43, 5106–5120. [Google Scholar] [CrossRef][Green Version]
- Scholz, M.; Hey-Hawkins, E. Carbaboranes as Pharmacophores: Properties, Synthesis, and Application Strategies. Chem. Rev. 2011, 111, 7035–7062. [Google Scholar] [CrossRef] [PubMed]
- Fojt, L.; Fojta, M.; Grüner, B.; Vespalec, R. Electrochemistry of closo-dodecaborate dianion and its simple exo-skeletal derivatives at carbon electrodes in aqueous phosphate buffers. J. Electroanal. Chem. 2013, 707, 38–42. [Google Scholar] [CrossRef]
- Fojt, L.; Fojta, M.; Gruner, B.; Vespalec, R. Electrochemistry of parent and exo-skeletally substituted icosahedral monocarba and dicarbaboranes and their derivatives at the graphite carbon electrode in aqueous phosphate buffers. J. Electroanal. Chem. 2014, 730, 16–19. [Google Scholar] [CrossRef]
- Fojt, L.; Nekvinda, J.; El Anwar, S.; Gruner, B.; Havran, L.; Fojta, M. Simple Electrochemical Characterization of ortho-carborane and Some of its Exo-skeletal Derivatives. Electroanalysis 2020, 32, 1859–1866. [Google Scholar] [CrossRef]
- Fojt, L.; Grüner, B.; Holub, J.; Havran, L.; Fojta, M. Electrochemistry of icosahedral metal full and half sandwich metallacarboranes in phosphate buffers. J. Electroanal. Chem. 2022, 910, 116165. [Google Scholar] [CrossRef]
- Plešek, J.; Grüner, B.; Šícha, V.; Bőhmer, V.; Císařová, I. [(8,8′-μ-CH2O(CH3)-(1,2-C2B9H10)2-3,3′-Co]0 zwitterion as a versatile building block for introduction of the cobalt bis(dicarbollide) ion into organic molecules. Organometallics 2012, 31, 1703–1715. [Google Scholar] [CrossRef]
- Dong, Y.; Liu, D.; Yang, Z. A brief review of methods for terminal functionalization of DNA. Methods 2014, 67, 116. [Google Scholar] [CrossRef] [PubMed]
- Bühl, M.; Hnyk, D.; Macháček, J. Computational study of structures and properties of metallaboranes: Cobalt bis(dicarbollide). Chem.-Eur. J. 2005, 11, 4109–4120. [Google Scholar] [CrossRef] [PubMed]
- El Anwar, S.; Pazderová, L.; Bavol, D.; Bakardjiev, M.; Růžičková, Z.; Horáček, O.; Fojt, L.; Kučera, R.; Grűner, B. Structurally rigidified cobalt bis(dicarbollide) derivatives, a chiral platform for labelling of biomolecules and new materials. Chem. Commun. 2022, 58, 2572–2575. [Google Scholar] [CrossRef] [PubMed]
- Bednarska-Szczepaniak, K.; Dziedzic-Kocurek, K.; Przelazly, E.; Stanek, J.; Lesnikowski, Z.J. Intramolecular rotations and electronic states of iron in the iron bis(dicarbollide) complex Fe (C2B9H11)(2) studied by a Fe-57 nuclear probe and computational methods. Chem. Commun. 2022, 58, 391–394. [Google Scholar] [CrossRef]






| BCC Charge | Label in the Text | MW | Peak Position/V | Peak Height/μA·cm−2 | |
|---|---|---|---|---|---|
| closo-[(1,2-C2B9H11)2-3,3′-Co)]Cs * | 1- | CoSAN | 323.74 | −1.30; 1.14; 1.29; 1.45; | 121.0; 55.5; 217.0; 160.0; | 
| [(1-HOC2H5-1,2-C2B9H10)(1′,2′-C2B9H11)-3,3′-Co)]Cs | 1- | HOC2H5-CoSAN | 367.79 | −1.24; 1.16; 1.47; | 8.7;191.2; 65.7; | 
| [(1-HOC3H7-1,2-C2B9H10)(1′,2′-C2B9H11)-3,3′-Co)] Me3NH | 1- | HOC3H7-CoSAN | 382.83 | −1.26; 1.17; 1.30; 1.58; | 50.6; 75.9; 114.1; 30.2; | 
| [1,1′-(HOCH21,2-C2B9H10)2-3,3′-Co)] Me3NH | 1- | (HOCH2)2-CoSAN | 377.73 | −1.13; 1.16; 1.38; 1.44; | 31.7; 297.9; 209.7; 228.6; | 
| [1,1′-(HOC2H5-1,2-C2B9H10)2-3,3′-Co)] Me3NH | 1- | (HOC2H5)2-CoSAN | 411.74 | −1.15; 1.17; 1.26; 1.49; | 57.0; 231.8; 375.6; 160.7; | 
| [(1-HOOC-1,2-C2B9H10)(1′,2′-C2B9H11)-3,3′-Co)] Me4N | 1- | HOOC-CoSAN | 367.75 | −1.31; 1.16;1.32; | 44.5; 192.5; 355.6; | 
| [1,1′-(HOOC)2-(1,2-C2B9H10)2-3,3′-Co)] Me4N | 1- | (HOOC)2-CoSAN | 411.76 | −1.21; 1.17; 1.32; | 51.1; 339.0; 406.5; | 
| [8,8′-(CH3O)2-(1,2-C2B9H10)2-3,3′-Co)] Me4N * [42] | 1- | (CH3O)2B-CoSAN | 377.73 | −1.30; 1.15; 1.32; 1.45; 1.68; | 94.3; 410.0; 371.0; 377.0; 14.1; | 
| Publisher’s Note: MDPI stays neutral with regard to jurisdictional claims in published maps and institutional affiliations. | 
© 2022 by the authors. Licensee MDPI, Basel, Switzerland. This article is an open access article distributed under the terms and conditions of the Creative Commons Attribution (CC BY) license (https://creativecommons.org/licenses/by/4.0/).
Share and Cite
Fojt, L.; Grüner, B.; Nekvinda, J.; Tűzűn, E.Z.; Havran, L.; Fojta, M. Electrochemistry of Cobalta Bis(dicarbollide) Ions Substituted at Carbon Atoms with Hydrophilic Alkylhydroxy and Carboxy Groups. Molecules 2022, 27, 1761. https://doi.org/10.3390/molecules27061761
Fojt L, Grüner B, Nekvinda J, Tűzűn EZ, Havran L, Fojta M. Electrochemistry of Cobalta Bis(dicarbollide) Ions Substituted at Carbon Atoms with Hydrophilic Alkylhydroxy and Carboxy Groups. Molecules. 2022; 27(6):1761. https://doi.org/10.3390/molecules27061761
Chicago/Turabian StyleFojt, Lukáš, Bohumír Grüner, Jan Nekvinda, Ece Zeynep Tűzűn, Luděk Havran, and Miroslav Fojta. 2022. "Electrochemistry of Cobalta Bis(dicarbollide) Ions Substituted at Carbon Atoms with Hydrophilic Alkylhydroxy and Carboxy Groups" Molecules 27, no. 6: 1761. https://doi.org/10.3390/molecules27061761
APA StyleFojt, L., Grüner, B., Nekvinda, J., Tűzűn, E. Z., Havran, L., & Fojta, M. (2022). Electrochemistry of Cobalta Bis(dicarbollide) Ions Substituted at Carbon Atoms with Hydrophilic Alkylhydroxy and Carboxy Groups. Molecules, 27(6), 1761. https://doi.org/10.3390/molecules27061761
 
         
                                                


 
       