Secondary Metabolites with Anti-Inflammatory Activities from an Actinobacteria Herbidospora daliensis
Abstract
1. Introduction
2. Results and Discussion
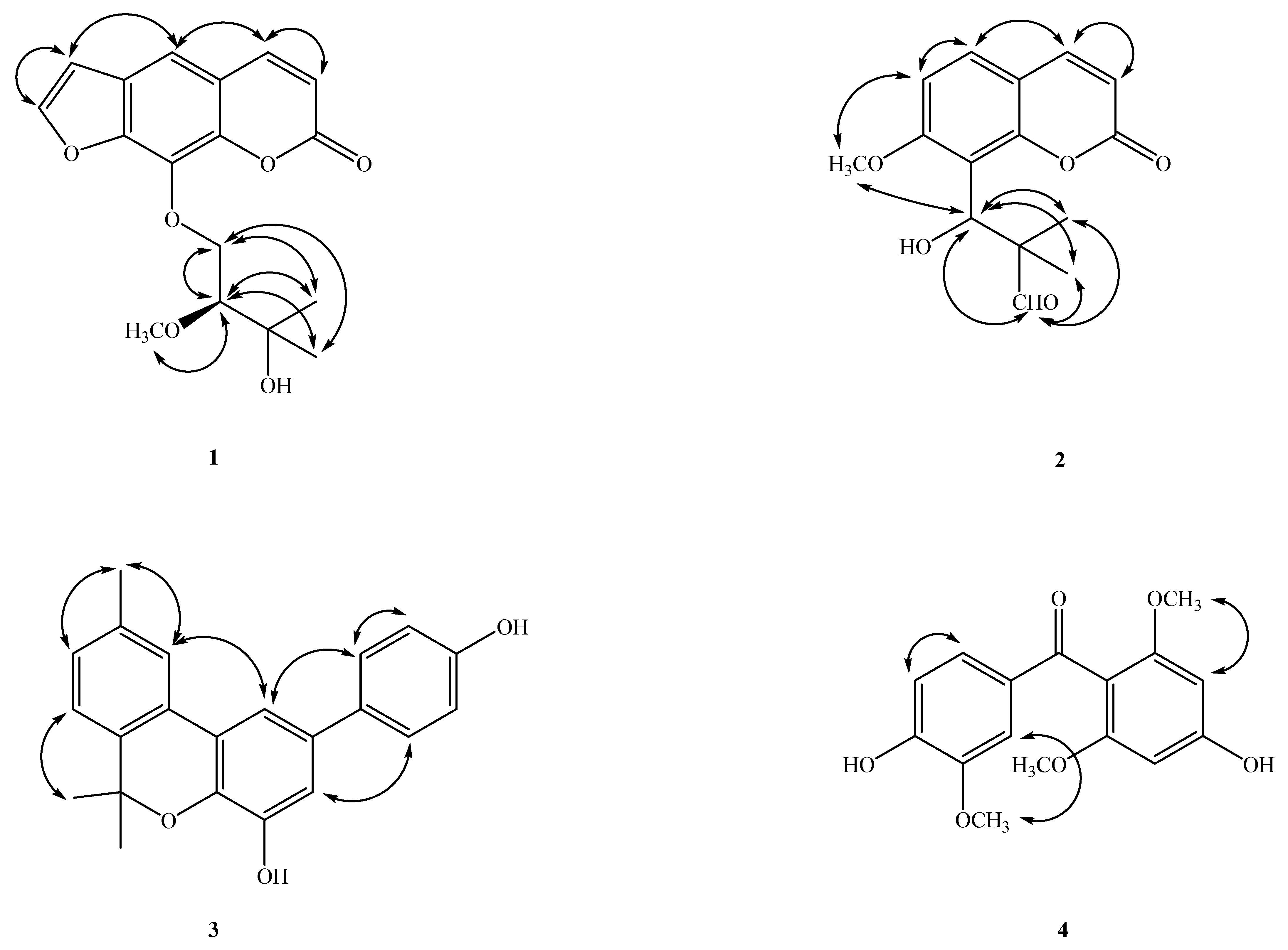
2.1. Structural Elucidation of Compounds
2.2. Biological Studies
3. Materials and Methods
3.1. General Experimental Procedures
3.2. Microorganism, Cultivation, and Preparation of the Actinobacteria Strain
3.3. Isolation and Characterization of Secondary Metabolites
3.4. Determination of NO Production and Cell Viability Assay
4. Conclusions
Author Contributions
Funding
Institutional Review Board Statement
Informed Consent Statement
Data Availability Statement
Acknowledgments
Conflicts of Interest
Sample Availability
References
- Barman, D.; Dkhar, M.S. Seasonal variation influence endophytic Actinobacterial communities of medicinal plants from tropical deciduous forest of Meghalaya and characterization of their plant growth-promoting potentials. Curr. Microbiol. 2020, 77, 1689–1698. [Google Scholar] [CrossRef]
- Singh, R.; Dubey, A.K. Diversity and applications of endophytic Actinobacteria of plants in special and other ecological niches. Front. Microbiol. 2018, 9, 1767. [Google Scholar] [CrossRef]
- Chen, C.; Ye, Y.; Wang, R.; Zhang, Y.; Wu, C.; Debnath, S.C.; Ma, Z.; Wang, J.; Wu, M. Streptomyces nigra sp. nov. Is a Novel Actinobacterium Isolated from Mangrove Soil and Exerts a Potent Antitumor Activity in vitro. Front. Microbiol. 2018, 9, 1587. [Google Scholar] [CrossRef]
- Nguyen, H.T.; Pokhrel, A.R.; Nguyen, C.T.; Pham, V.T.T.; Dhakal, D.; Lim, H.N.; Jung, H.J.; Kim, T.S.; Yamaguchi, T.; Sohng, J.K. Streptomyces sp. VN1, a Producer of Diverse Metabolites Including Non-Natural Furan-Type Anticancer Compound. Sci. Rep. 2020, 10, 1756. [Google Scholar] [CrossRef]
- Cheng, C.; Othman, E.M.; Stopper, H.; Edrada-Ebel, R.A.; Hentschel, U.; Abdelmohsen, U.R. Isolation of Petrocidin a, a New Cytotoxic Cyclic Dipeptide from the Marine Sponge-Derived Bacterium Streptomyces sp. SBT348. Mar. Drugs 2017, 15, 383. [Google Scholar] [CrossRef]
- Jinendiran, S.; Teng, W.; Dahms, H.U.; Liu, W.; Ponnusamy, V.K.; Chiu, C.C.C.; Kumar, B.S.D.; Sivakumar, N. Induction of Mitochondria-Mediated Apoptosis and Suppression of Tumor Growth in Zebrafish Xenograft Model by Cyclic Dipeptides Identified from Exiguobacterium acetylicum. Sci. Rep. 2020, 10, 13721. [Google Scholar] [CrossRef]
- Farnaes, L.; Coufal, N.G.; Kauffman, C.A.; Rheingold, A.L.; Dipasquale, A.G.; Jensen, P.R.; Fenical, W. Napyradiomycin Derivatives, Produced by a Marine-Derived Actinomycete, Illustrate Cytotoxicity by Induction of Apoptosis. J. Nat. Prod. 2014, 77, 15–21. [Google Scholar] [CrossRef]
- Tseng, M.; Chiang, W.P.; Liao, H.C.; Hsieh, S.Y.; Yuan, G.F. Saccharomonosporapiscinae sp. nov., a novel actinobacterium from fishpond sediment in Taiwan. Int. J. Syst. Evol. Microbiol. 2018, 68, 1418–1422. [Google Scholar] [CrossRef]
- Tseng, M.; Yang, S.F.; Li, W.J.; Jiang, C.L. Amycolatopsis taiwanensis sp. nov., from soil. Int. J. Syst. Evol. Microbiol. 2006, 56, 1811–1815. [Google Scholar] [CrossRef]
- Tseng, M.; Liao, H.C.; Chiang, W.P.; Yuan, G.F. Isoptericola chiayiensis sp. nov., isolated from mangrove soil. Int. J. Syst. Evol. Microbiol. 2011, 61, 1667–1670. [Google Scholar] [CrossRef]
- Tseng, M.; Yang, S.F.; Yuan, G.F. Herbidospora yilanensis sp. nov. and Herbidospora daliensis sp. nov., from sedimentInt. Int. J. Syst. Evol. Microbiol. 2010, 60, 1168–1172. [Google Scholar] [CrossRef]
- Yu, M.; Zhou, R.; Li, J.; Han, L.; Wang, H.; Zhang, S.; Zhao, J.; Wang, X.; Song, J.; Xiang, W. Herbidospora solisilvae sp. nov., a novel cellulose-degrading actinobacterium isolated from forest soil. Antonie Leeuwenhoek 2011, 114, 581–590. [Google Scholar] [CrossRef]
- Han, L.; Yu, M.; Zhao, J.; Jiang, H.; Guo, X.; Shen, G.; Shen, Y.; Wang, X.; Xiang, W. Herbidospora galbida sp. nov., a novel actinobacterium isolated from soil. Int. J. Syst. Evol. Microbiol. 2020, 70, 1364–1371. [Google Scholar] [CrossRef] [PubMed]
- Komaki, H.; Ichikawa, N.; Oguchi, A.; Hamada, M.; Tamura, T.; Fujita, N. Genome-based analysis of non-ribosomal peptide synthetase and type-I polyketide synthase gene clusters in all type strains of the genus Herbidospora. BMC Res. Notes 2015, 8, 548. [Google Scholar] [CrossRef] [PubMed][Green Version]
- Cheng, M.J.; Wu, M.D.; Chen, J.J.; Thanda, A.; Nanthaphong, K.; Tseng, M. A New Constituent of Herbidospora daliensis Actinobacteria. Chem. Nat. Compd. 2021, 57, 53–55. [Google Scholar] [CrossRef]
- Dincel, D.; Hatipoglu, S.D.; Goeren, A.C.; Topcue, G. Anticholinesterase furocoumarins from Heracleum platytaenium, a species endemic to the Ida Mountains. Turk. J. Chem. 2013, 37, 675–683. [Google Scholar]
- Wu, T.S.; Liou, M.J.; Kouh, C.S. Coumarins of the flowers of Murraya paniculata. Phytochemistry 1989, 28, 293–294. [Google Scholar] [CrossRef]
- Kohen, F.; Samson, A.S.; Stevenson, R. Friedelin and related compounds. X. Products from ultraviolet irradiation of friedelin. J. Org. Chem. 1969, 34, 1355–1358. [Google Scholar] [CrossRef]
- Baba, K.; Kawanishi, H.; Taniguchi, M.; Kozawa, M. Chromones from Cnidium monnieri. Phytochemistry 1992, 31, 1367–1370. [Google Scholar] [CrossRef]
- Zhao, J.Y.; Zhou, M.; Liu, Y.; Zhang, G.L.; Luo, Y.G. Chromones and coumarins from the dried fructus of Cnidium monnieri. Fitoterapia 2011, 82, 767–771. [Google Scholar] [CrossRef]
- Lange, G.L.; Lee, M. 13C NMR determination of the configuration of methyl-substituted double bonds in medium- and large-ring terpenoids. Magn. Reson. Chem. 1996, 24, 656–658. [Google Scholar] [CrossRef]
- Leonti, M.; Casu, L.; Solinas, M.N.; Cottiglia, F.; Caboni, P.; Floris, C.; Gertsch, J.; Saba, A.R. A chromone from Seseli praecox (Apiaceae). Nat. Prod. Commun. 2010, 5, 551–554. [Google Scholar] [CrossRef]
- Li, G.P.; Yang, L.J.; Zhao, J.F.; Yang, X.D.; Li, L. Studies on Lipophilic Chemical Constituents from Passiflora wilsonii Hemsl. Stem. Chem. Ind. For. Prod. 2007, 27, 27–30. [Google Scholar]
- Gieni, R.S.; Li, Y.; Hay Glass, K.T. Comparison of [3H]thymidine incorporation with MTT- and MTS-based bioassays for human and murine IL-2 and IL-4 analysis. Tetrazolium assays provide markedly enhanced sensitivity. J. Immunol. Methods 1995, 70, 85–93. [Google Scholar] [CrossRef]
- Johansson, M.; Kopcke, B.; Anke, H.; Sterner, O. Biologically active secondary metabolites from the ascomycete A111-95. 2. Structure elucidation. J. Antibiot. 2002, 55, 104–106. [Google Scholar] [CrossRef]
- Berdy, J. Thoughts and facts about antibiotics: Where we are now and where we are heading. J. Antibiot. 2012, 65, 385–395. [Google Scholar] [CrossRef] [PubMed]
- Manivasagan, P.; Venkatesan, J.; Sivakumar, K.; Kim, S.K. Pharmaceutically active secondary metabolites of marine Actinobacteria. Microbiol. Res. 2014, 169, 262–278. [Google Scholar] [CrossRef]






| No | 1 | 2 | 3 | 4 | 5 | 6 | 7 | 8 |
|---|---|---|---|---|---|---|---|---|
| 1 | 7.40 (d, J = 2.0) | 1.38/1.53 (each 1H, m) | 1.48/1.53 (each 1H, m) | 1.65/1.48 (each 1H, m) | ||||
| 2 | 2.25 (m) | 2.29 (t, J = 8.7) | 4.07 (m) | |||||
| Me-2 | 2.34 (s) | |||||||
| 3 | 6.35 (d, J = 9.6) | 6.25 (d, J = 9.6) | 7.06 (t, J = 2.0) | 6.08 (s) | 6.03 (s) | |||
| 4 | 7.75 (d, J = 9.6) | 7.62 (d, J = 9.6) | 5.60 (dd J = 17.4, 10.8) | 1.06/1.32 (each 1H, m) | 1.12/1.34 (each 1H, m) | |||
| 5 | 7.36 (s) | 7.41 (d, J = 8.8) | 6.08 (s) | |||||
| OH-5 | 13.05 (s) | |||||||
| 6 | 6.87 (d, J = 8.8) | 1.37/1.44 (each 1H, m) | 1.46/1.13 (each 1H, m) | 1.48/1.18 (each 1H, m) | ||||
| Me-6 | 1.65 (s) | |||||||
| 7 | 7.13 (d, J = 7.9) | 1.38/1.43 (each 1H, m) | 1.34/1.38 (each 1H, m) | 1.37/1.40 (each 1H, m) | ||||
| OMe-7 | 3.89 (s) | |||||||
| 8 | 7.12 (d, J = 7.9) | 1.30 (m) | 1.21 (m) | 6.38 (s) | 1.27 (m) | |||
| 9 | ||||||||
| Me-9 | 2.38 (s) | |||||||
| 10 | 7.57 (s) | 0.87 (m) | 0.79 (m) | 1.33 (m) | ||||
| 11 | 1.41/1.38 (each 1H, m) | 1.39/1.36 (each 1H, m) | 1.39/1.36 (each 1H, m) | |||||
| 12 | 1.28/1.33 (each 1H, m) | 1.27/1.30 (each 1H, m) | 1.37/1.35 (each 1H, m) | |||||
| 15 | 1.46/1.26 (each 1H, m) | 1.45/1.25 (each 1H, m) | 1.46/1.27 (each 1H, m) | |||||
| 16 | 1.54/1.35 (each 1H, m) | 1.51/1.32 (each 1H, m) | 1.52/1.32 (each 1H, m) | |||||
| 18 | 1.51 (m) | 1.51 (m) | ||||||
| 19 | 1.34/1.17 (each 1H, m) | 1.33/1.17 (each 1H, m) | 1.34/1.17 (each 1H, m) | |||||
| 21 | 1.45/1.25 (each 1H, m) | 1.42/1.23 (each 1H, m) | 1.45/1.26 (each 1H, m) | |||||
| 22 | 1.45/0.91 (each 1H, m) | 1.45/0.91 (each 1H, m) | 1.45/0.91 (each 1H, m) | |||||
| 23 | 4.90 (dd, J = 10.8, 1.1), 4.88 (dd, J = 17.4, 1.1) | 0.75 (t, J = 7.4) | 0.77 (t, J = 7.5), | |||||
| 24 | 0.96 (s) | 0.75 (s) | 0.80 (s) | |||||
| 25 | 0.86 (s) | 0.84 (s) | 0.79 (s) | |||||
| 26 | 0.97 (s) | 0.95 (s) | 0.95 (s) | |||||
| 27 | 0.99 (s) | 0.97 (s) | 1.00 (s) | |||||
| 28 | 1.15 (s) | 1.14 (s) | 1.14 (s) | |||||
| 29 | 0.92 (s) | 0.91 (s) | 0.92 (s) | |||||
| 30 | 0.97 (s) | 0.96 (s) | 0.97 (s) | |||||
| 31 | 4.08 (q, J = 7.2) | 4.08 (q, J = 7.1) | 4.08 (m) | |||||
| 32 | 1.23 (t, J = 7.2) | 1.23 (t, J = 7.1) | 1.23 (t, J = 7.1) | |||||
| 1′ | 5.52 (s) | 3.40 (d, J = 8.0) | ||||||
| 2′ | 7.68 (d, J = 2.0) | 7.48 (d, J = 8.5) | 7.59 (d, J = 1.6) | 5.32 (t, J = 8.0) | ||||
| CHO-2′ | 9.71 (s) | |||||||
| 3′ | 6.80 (d, J = 2.0) | 1.06 (s) | 6.88 (dt, J = 8.5) | |||||
| Me-3′ | 1.77 (s) | |||||||
| 4′ | 1.17 (s) | 4.25 (s) | ||||||
| 5′ | 6.88 (d, J = 8.5) | 6.84 (d, J = 8.3) | ||||||
| 6′ | 6.88 (d, J = 8.5) | 7.22 (dd, J = 8.3, 1.6) | ||||||
| 1″ | 4.37 (dd, J = 10.0, 8.4) 4.71 (dd, J = 10.0, 2.8) | |||||||
| 2″ | 4.00 (dd, J = 8.4, 2.8) | |||||||
| 4″ | 1.26 (s) | |||||||
| 5″ | 1.26 (s) | |||||||
| OMe-2″ | 3.24 (s) | |||||||
| OMe-2,6 | 3.63 (s) | |||||||
| OMe-3′ | 3.93 (s) |
| No | 1 | 2 | 3 | 4 | 5 | 6 | 7 | 8 |
|---|---|---|---|---|---|---|---|---|
| 1 | 112.4 | 110.4 | 21.3 | 21.0 | 38.8 | |||
| 2 | 160.0 | 159.3 | 134.0 | 158.6 | 37.4 | 37.5 | 165.9 | 71.8 |
| 3 | 114.7 | 113.3 | 112.9 | 92.0 | 173.8 | 173.8 | 108.6 | 175.9 |
| 4 | 144.3 | 143.2 | 145.8 | 158.5 | 151.0 | 35.9 | 181.7 | 36.1 |
| 4a | 116.5 | 113.0 | 105.6 | |||||
| 5 | 113.5 | 128.4 | 92.0 | 42.0 | 37.8 | 157.4 | 38.0 | |
| 6 | 126.0 | 107.8 | 78.8 | 150.5 | 41.5 | 38.9 | 111.4 | 38.9 |
| 7 | 148.2 | 159.3 | 123.2 | 194.2 | 17.9 | 18.1 | 162.1 | 18.1 |
| OMe-7 | 56.2 | 56.1 | ||||||
| 8 | 131.9 | 114.8 | 128.9 | 53.0 | 53.0 | 89.7 | 52.8 | |
| 8a | 143.5 | 151.9 | 156.0 | |||||
| 9 | 137.4 | 38.6 | 39.0 | 38.2 | ||||
| 10 | 123.1 | 58.3 | 59.8 | 54.3 | ||||
| 11 | 128.2 | 35.1 | 35.1 | 35.1 | ||||
| 12 | 136.4 | 30.2 | 30.2 | 30.2 | ||||
| 13 | 122.6 | 39.6 | 39.6 | 39.5 | ||||
| 14 | 138.5 | 38.3 | 38.3 | 38.5 | ||||
| 15 | 32.2 | 32.2 | 32.3 | |||||
| 16 | 36.0 | 36.0 | 36.1 | |||||
| 17 | 29.9 | 29.9 | 30.1 | |||||
| 18 | 42.7 | 42.7 | 42.8 | |||||
| 19 | 35.2 | 35.3 | 35.3 | |||||
| 20 | 28.1 | 28.1 | 28.1 | |||||
| 21 | 32.7 | 32.8 | 32.8 | |||||
| 22 | 39.2 | 39.2 | 39.2 | |||||
| 23 | 110.7 | 7.6 | 7.6 | |||||
| 24 | 18.1 | 19.3 | 19.5 | |||||
| 25 | 18.0 | 17.9 | 18.4 | |||||
| 26 | 18.7 | 20.1 | 18.7 | |||||
| 27 | 20.1 | 18.7 | 20.1 | |||||
| 28 | 32.0 | 32.1 | 32.1 | |||||
| 29 | 34.9 | 34.9 | 35.0 | |||||
| 30 | 31.8 | 31.8 | 31.8 | |||||
| 31 | 60.0 | 60.1 | 61.4 | |||||
| 32 | 14.2 | 14.2 | 14.2 | |||||
| 1′ | 72.0 | 134.5 | 131.1 | 21.4 | ||||
| 2′ | 146.8 | 52.8 | 128.1 | 110.1 | 124.7 | |||
| 3′ | 106.8 | 18.4 | 115.5 | 146.5 | 134.8 | |||
| 4′ | 20.0 | 154.8 | 150.5 | 61.7 | ||||
| 5′ | 115.5 | 113.6 | ||||||
| 6′ | 128.1 | 126.2 | ||||||
| 1″ | 75.6 | |||||||
| 2″ | 76.0 | |||||||
| 3″ | 75.5 | |||||||
| 4″ | 21.4 | |||||||
| 5″ | 20.6 | |||||||
| OMe-2″ | 49.3 | |||||||
| CHO | 203.8 | |||||||
| Me-3′ | 22.5 | |||||||
| Me-6 | 27.7 | |||||||
| Me-9 | 21.2 | |||||||
| OMe-2,6 | 55.7 | |||||||
| OMe-3′ | 56.0 |
| Compounds | IC50 (μM) (a) |
|---|---|
| NO | |
| herbidosporadalin A (1) | 11.8 ± 0.9 |
| herbidosporadalin B (2) | 7.1 ± 2.9 |
| herbidosporadalin C (3) | 75.5 ± 11.5 |
| herbidosporadalin D (4) | >100 |
| herbidosporadalin E (5) | >100 |
| herbidosporadalin F (6) | 13.3 ± 6.5 |
| 5-hydroxy-6-[(2′Z)-4′-acetoxy-3′-methylbut-2′-enyl]-7-methoxy-2-methylchromone (7) | 65.5 ± 4.8 |
| 2-hydroxyl-3,4-seco-friedelan-3-oic acid ethyl-ester (8) | 17.8 ± 1.7 |
| Quercetin (b) | 36.8 ± 1.3 |
Publisher’s Note: MDPI stays neutral with regard to jurisdictional claims in published maps and institutional affiliations. |
© 2022 by the authors. Licensee MDPI, Basel, Switzerland. This article is an open access article distributed under the terms and conditions of the Creative Commons Attribution (CC BY) license (https://creativecommons.org/licenses/by/4.0/).
Share and Cite
Chen, J.-J.; Lee, T.-H.; Cheng, M.-J. Secondary Metabolites with Anti-Inflammatory Activities from an Actinobacteria Herbidospora daliensis. Molecules 2022, 27, 1887. https://doi.org/10.3390/molecules27061887
Chen J-J, Lee T-H, Cheng M-J. Secondary Metabolites with Anti-Inflammatory Activities from an Actinobacteria Herbidospora daliensis. Molecules. 2022; 27(6):1887. https://doi.org/10.3390/molecules27061887
Chicago/Turabian StyleChen, Jih-Jung, Tzong-Huei Lee, and Ming-Jen Cheng. 2022. "Secondary Metabolites with Anti-Inflammatory Activities from an Actinobacteria Herbidospora daliensis" Molecules 27, no. 6: 1887. https://doi.org/10.3390/molecules27061887
APA StyleChen, J.-J., Lee, T.-H., & Cheng, M.-J. (2022). Secondary Metabolites with Anti-Inflammatory Activities from an Actinobacteria Herbidospora daliensis. Molecules, 27(6), 1887. https://doi.org/10.3390/molecules27061887

