Effects of Volume Changes on the Thermal Performance of PCM Layers Subjected to Oscillations of the Ambient Temperature: Transient and Steady Periodic Regimes
Abstract
1. Introduction
2. Description of the Physical System and Mathematical Model
- Temperature oscillations on the external surface above the melting temperature of the PCM: one-front dynamics, and
- Temperature oscillations around the melting temperature of the PCM: two-front dynamics with three phase coexistence, one-front dynamics with two phase coexistence and no phase change presence.
2.1. One-Front Dynamics: Transient and Steady Periodic Regime
2.2. Two-Front Dynamics
2.3. Volume Adjustments on Front Formation and Annihilation
3. Thermal Energy Released (Absorbed): Transient and Steady Periodic Regimes
3.1. Thermal Energy Released: Two-Front Configuration
3.2. Thermal Energy Released (Absorbed): Single Solid Phase
3.3. Thermal Energy Absorbed (Released): One-Front Configuration
3.3.1. Thermal Energy Absorbed: Melting
3.3.2. Thermal Energy Released: Solidification
4. Numerical and Semi-Analytical Methods
4.1. Heat Balance Integral Method
4.2. Finite Element Method
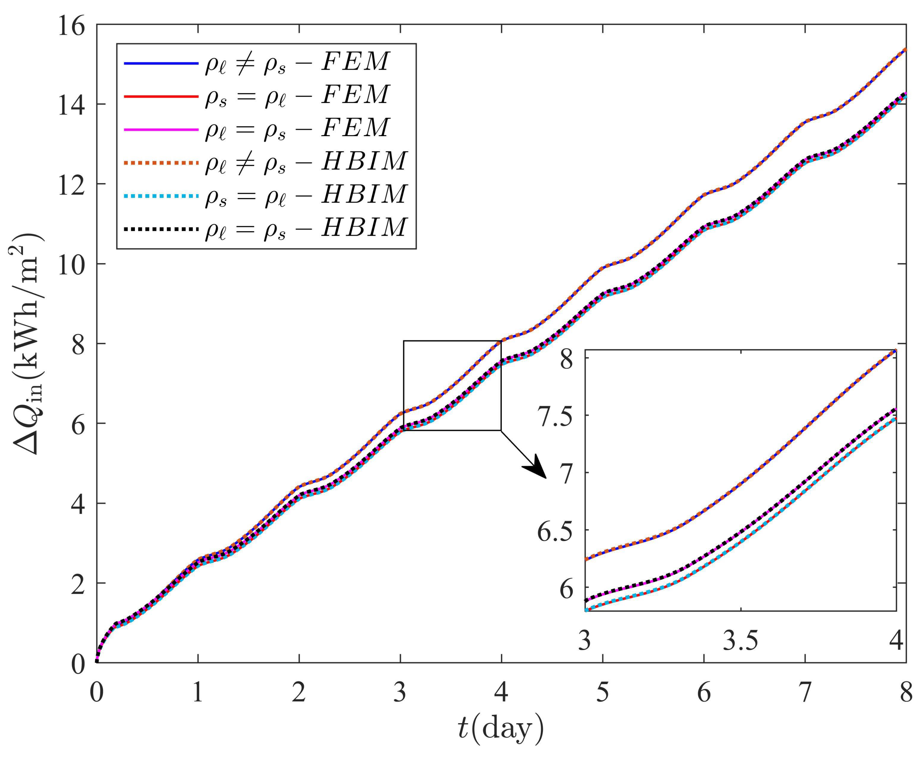
5. Results and Discussion
5.1. One-Front Dynamics: Transient and Steady Periodic Regimes
5.2. Two-Front Dynamics: Transient and Steady Periodic Regimes
6. Conclusions
Author Contributions
Funding
Institutional Review Board Statement
Informed Consent Statement
Data Availability Statement
Conflicts of Interest
Abbreviations
| PCM | Phase change material |
| FEM | Finite element method |
| HBIM | Heat balance integral method |
| SteNo | Stefan number |
| Thermal conductivity of the liquid | |
| Thermal conductivity of the solid | |
| Specific heat capacity of the liquid | |
| Specific heat capacity of the solid | |
| Liquid density | |
| Solid density | |
| Melting temperature | |
| Latent heat of fusion | |
| L | Thickness of PCM layer |
| Upper bound for interface position in the steady periodic regime | |
| Lower bound for interface position in the steady periodic regime | |
| Upper bound for the layer thickness in the steady periodic regime | |
| Lower bound the layer thickness in the steady periodic regime | |
| Position of the ith liquid-solid interface | |
| Temperature profile of phase i in region j | |
| Temperature of the exterior surface | |
| Ambient temperature | |
| Temperature of the inner surface | |
| Daily average temperature | |
| Amplitude of temperature oscillations | |
| Angular frequency of temperature oscillations | |
| Thermal energy that penetrates the PCM layer | |
| Latent heat of fusion | |
| Melting temperature | |
| Internal energy change | |
| released(absorbed) latent heat | |
| released(absorbed) thermal energy | |
| Thermal energy released by the interior surface |
References
- Gil, A.; Medrano, M.; Martorell, I.; Lázaro, A.; Dolado, P.; Zalba, B.; Cabeza, L.F. State of the art on high temperature thermal energy storage for power generation. Part 1-Concepts, materials and modellization. Renew. Sustain. Energy Rev. 2010, 14, 31–55. [Google Scholar] [CrossRef]
- Liu, M.; Saman, W.; Bruno, F. Review on storage materials and thermal performance enhancement techniques for high temperature phase change thermal storage systems. Renew. Sustain. Energy Rev. 2012, 16, 2118–2132. [Google Scholar] [CrossRef]
- Zhou, D.; Zhao, C.Y.; Tian, Y. Review on thermal energy storage with phase change materials (PCMs) in building applications. Appl. Energy 2012, 92, 593–605. [Google Scholar] [CrossRef]
- Scalat, S.; Banu, D.; Hawes, D.; Parish, J.; Haghighata, F.; Feldman, D. Full scale thermal testing of latent heat storage in wallboard. Sol. Energy Mater. Sol. Cells 1996, 44, 49–61. [Google Scholar] [CrossRef]
- Ibrahim, N.I.; Al-Sulaiman, F.A.; Rahman, S.; Yilbas, B.S.; Sahin, A.Z. Heat transfer enhancement of phase change materials for thermal energy storage applications: A critical review. Renew. Sustain. Energy Rev. 2017, 74, 26–50. [Google Scholar] [CrossRef]
- Cabeza, L.F.; Castellon, C.; Nogues, M.; Medrano, M.; Leppers, R.; Zubillaga, O. Use of microencapsulated PCM in concrete walls for energy savings. Energy Build. 2007, 39, 113–119. [Google Scholar] [CrossRef]
- Saman, W.Y.; Belusko, M. Roof Integrated Unglazed Transpired Solar Air Heater. Ph.D. Thesis, ANZSES, Hobart, Australia, 1997. [Google Scholar]
- Vakilaltojjar, S.M.; Saman, W. Analysis and modelling of a phase change storage system for air conditioning applications. Appl. Therm. Eng. 2001, 21, 249–263. [Google Scholar] [CrossRef]
- Mathieu-Potvin, F.; Gosselin, L. Thermal shielding of multilayer walls with phase change materials under different transient boundary conditions. Int. J. Therm. Sci. 2009, 48, 1707–1717. [Google Scholar] [CrossRef]
- Madruga, S.; Curbelo, J. Effect of the inclination angle on the transient melting dynamics and heat transfer of a phase change material. Phys. Fluids 2021, 33, 055110. [Google Scholar] [CrossRef]
- Dallaire, J.; Gosselin, L. Various ways to take into account density change in solid-liquid phase change models: Formulation and consequences. Int. J. Heat Mass Transf. 2016, 103, 672. [Google Scholar] [CrossRef]
- Dallaire, J.; Gosselin, L. Numerical modeling of solid-liquid phase change in a closed 2D cavity with density change, elastic wall and natural convection. Int. J. Heat Mass Transf. 2017, 114, 903. [Google Scholar] [CrossRef]
- Hetmaniok, E.; Slota, D.; Zielonka, A. Solution of the Direct Alloy Solidification Problem including the Phenomenon of Material Shrinkage. Therm. Sci. 2017, 21, 105. [Google Scholar] [CrossRef][Green Version]
- Santiago, R.D.; Hernández, E.M.; Otero, J.A. Constant mass model for the liquid-solid phase transition on a one-dimensional Stefan problem: Transient and steady state regimes. Int. J. Therm. Sci. 2017, 118, 40. [Google Scholar] [CrossRef]
- Lopez, J.; Caceres, G.; Del Barrio, E.P.; Jomaa, W. Confined melting in deformable porous media: A first attempt to explain the graphite/salt composites behaviour. Int. J. Heat Mass Transf. 2010, 53, 1195–1207. [Google Scholar] [CrossRef]
- Pitié, F.; Zhao, C.; Cáceres, G. Thermo-mechanical analysis of ceramic encapsulated phase-change-material (PCM) particles. Energy Environ. Sci. 2011, 4, 2117–2124. [Google Scholar] [CrossRef]
- Nomura, T.; Zhu, C.; Sheng, N.; Saito, G.; Akiyama, T. Microencapsulation of metal-based phase change material for high-temperature thermal energy storage. Sci. Rep. 2015, 5, 1–8. [Google Scholar] [CrossRef]
- Hernández, E.M.; Otero, J.A. Fundamental incorporation of the density change during melting of a confined phase change material. J. Appl. Phys. 2018, 123, 085105. [Google Scholar] [CrossRef]
- Lamberg, P. Approximate analytical model for two-phase solidification problem in a finned phase-change material storage. Appl. Energy 2004, 77, 131–152. [Google Scholar] [CrossRef]
- Mazzeo, D.; Oliveti, G.; De Simone, M.; Arcuri, N. Analytical model for solidification and melting in a finite PCM in steady periodic regime. Int. J. Heat Mass Transf. 2015, 88, 844–861. [Google Scholar] [CrossRef]
- Ho, C.; Chu, C. Periodic melting within a square enclosure with an oscillatory surface temperature. Int. J. Heat Mass Transf. 1993, 36, 725–733. [Google Scholar] [CrossRef]
- Casano, G.; Piva, S. Experimental and numerical investigation of the steady periodic solid–liquid phase-change heat transfer. Int. J. Heat Mass Transf. 2002, 45, 4181–4190. [Google Scholar] [CrossRef]
- Chang-Yong, C.; Hsieh, C. Solution of Stefan problems imposed with cyclic temperature and flux boundary conditions. Int. J. Heat Mass Transf. 1992, 35, 1181–1195. [Google Scholar] [CrossRef]
- Mazzeo, D.; Oliveti, G. Thermal field and heat storage in a cyclic phase change process caused by several moving melting and solidification interfaces in the layer. Int. J. Therm. Sci. 2018, 129, 462–488. [Google Scholar] [CrossRef]
- Mazzeo, D.; Oliveti, G.; Arcuri, N. Dynamic Parameters to Characterize the Thermal Behaviour of a Layer Subject to Periodic Phase Changes. Energy Procedia 2016, 101, 129–136. [Google Scholar] [CrossRef]
- Cabeza, L.F.; Zsembinszki, G.; Martín, M. Evaluation of volume change in phase change materials during their phase transition. J. Energy Storage 2020, 28, 101206. [Google Scholar] [CrossRef]
- Faden, M.; Höhlein, S.; Wanner, J.; König-Haagen, A.; Brüggemann, D. Review of thermophysical property data of octadecane for phase-change studies. Materials 2019, 12, 2974. [Google Scholar] [CrossRef]
- Estaciones Meteorológicas Automáticas (EMAS). Available online: https://smn.conagua.gob.mx (accessed on 26 September 2021).
- Van Miltenburg, J. Fitting the heat capacity of liquid n-alkanes: New measurements of n-heptadecane and n-octadecane. Thermochim. Acta 2000, 343, 57–62. [Google Scholar] [CrossRef]
- Mitchell, S. An accurate nodal heat balance integral method with spatial subdivision. Numer. Heat Transf. Part B Fundam. 2011, 60, 34–56. [Google Scholar] [CrossRef]
- Mitchell, S.L.; Myers, T.G. Application of heat balance integral methods to one-dimensional phase change problems. Int. J. Differ. Equ. 2012, 2012, 187902. [Google Scholar] [CrossRef]
- Rodríguez-Alemán, S.; Hernández-Cooper, E.M.; Pérez-Álvarez, R.; Otero, J.A. Effects of Total Thermal Balance on the Thermal Energy Absorbed or Released by a High-Temperature Phase Change Material. Molecules 2021, 26, 365. [Google Scholar] [CrossRef]












Publisher’s Note: MDPI stays neutral with regard to jurisdictional claims in published maps and institutional affiliations. |
© 2022 by the authors. Licensee MDPI, Basel, Switzerland. This article is an open access article distributed under the terms and conditions of the Creative Commons Attribution (CC BY) license (https://creativecommons.org/licenses/by/4.0/).
Share and Cite
Santiago-Acosta, R.D.; Hernández-Cooper, E.M.; Pérez-Álvarez, R.; Otero, J.A. Effects of Volume Changes on the Thermal Performance of PCM Layers Subjected to Oscillations of the Ambient Temperature: Transient and Steady Periodic Regimes. Molecules 2022, 27, 2158. https://doi.org/10.3390/molecules27072158
Santiago-Acosta RD, Hernández-Cooper EM, Pérez-Álvarez R, Otero JA. Effects of Volume Changes on the Thermal Performance of PCM Layers Subjected to Oscillations of the Ambient Temperature: Transient and Steady Periodic Regimes. Molecules. 2022; 27(7):2158. https://doi.org/10.3390/molecules27072158
Chicago/Turabian StyleSantiago-Acosta, Rubén D., Ernesto M. Hernández-Cooper, Rolando Pérez-Álvarez, and José A. Otero. 2022. "Effects of Volume Changes on the Thermal Performance of PCM Layers Subjected to Oscillations of the Ambient Temperature: Transient and Steady Periodic Regimes" Molecules 27, no. 7: 2158. https://doi.org/10.3390/molecules27072158
APA StyleSantiago-Acosta, R. D., Hernández-Cooper, E. M., Pérez-Álvarez, R., & Otero, J. A. (2022). Effects of Volume Changes on the Thermal Performance of PCM Layers Subjected to Oscillations of the Ambient Temperature: Transient and Steady Periodic Regimes. Molecules, 27(7), 2158. https://doi.org/10.3390/molecules27072158

