Schiff Base in Ketoamine Form and Rh(η4-cod)-Schiff Base Complex with Z′ = 2 Structure from Pairwise C-H···Metallochelate-π Contacts
Abstract
1. Introduction
2. Results and Discussion
2.1. UV-Vis Spectra and Excited State Properties
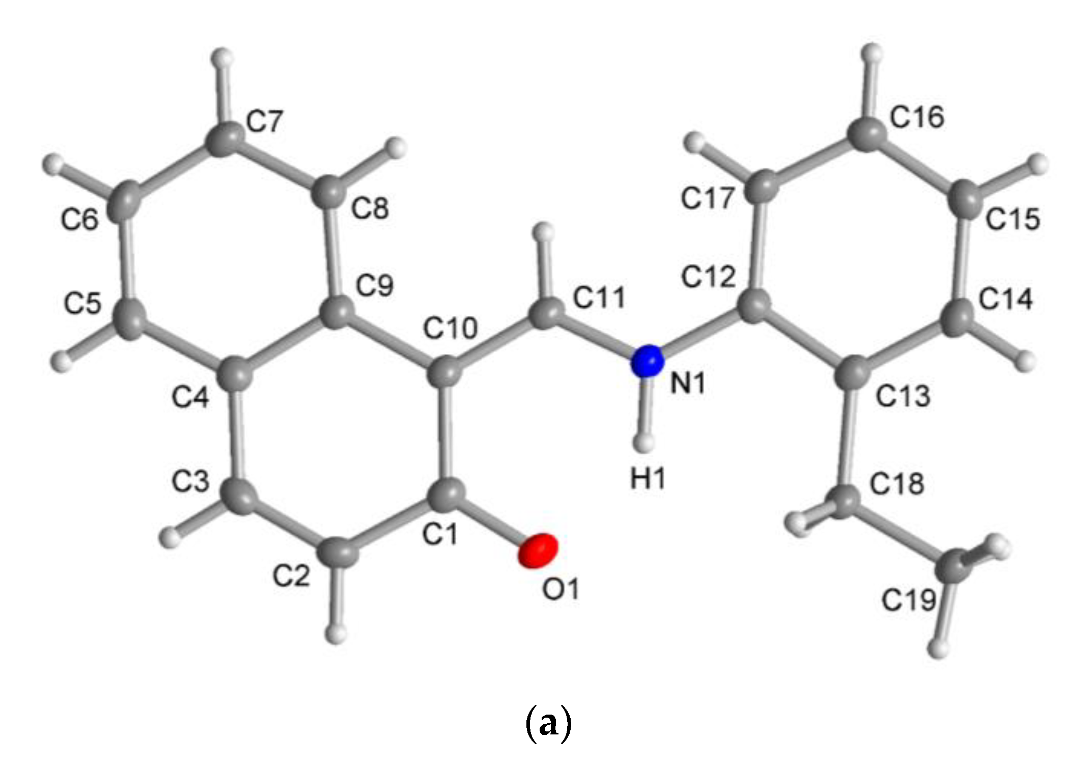
2.2. X-ray Analyses
2.3. Keto-Enol Tautomerism
2.4. Phase Transformation and Thermal Stability
3. Materials and Methods
3.1. Materials and Characterization
3.2. Synthesis of the Ligands
3.3. Synthesis of the Complexes
3.4. Computational Method
3.5. X-ray Structure Determination
4. Conclusions
Supplementary Materials
Author Contributions
Funding
Institutional Review Board Statement
Informed Consent Statement
Data Availability Statement
Acknowledgments
Conflicts of Interest
Sample Availability
References
- Cozens, R.J.; Murray, K.S.; West, B.O. Rhodium(I) and iridium(I) carbonyl and olefin derivatives of salicylaldimine schiff-bases. J. Organomet. Chem. 1971, 27, 399–407. [Google Scholar] [CrossRef]
- Platzer, N.; Goasdoue, N.; Bonnaire, R. Synthese et etude par resonance magnetique nucleaire de complexes olefiniques de l’iridium et du rhodium avec quelques bases de schiff derivees de l’aldehyde salicylique. J. Organomet. Chem. 1978, 160, 455–466. [Google Scholar] [CrossRef]
- Bonnaire, R.; Potvin, C.; Manoli, J.M. Crystal and molecular structures of (N-o-tolyl salicylideneiminato)(1,5-Cyclooctadiene)iridium(I) and of a novel binuclear (1,5-cyclooctadiene)rhodium(I) with bridging N,N′-(1,2-phenylene)bis(salicylideneiminato) ligand. Inorg. Chim. Acta 1980, 45, L255–L256. [Google Scholar] [CrossRef]
- Bonnaire, R.; Manoli, J.M.; Potvin, C.; Platzer, N.; Goasdoue, N.; Davoust, D. Crystal structure and solution dynamics of an unusual complex of rhodium(I) with the bridging Schiff base ligand µ-[N,N′-(o-phenylene)bis(salicylaldiminato)]-bis(η-1,5-cyclooctadiene)dirhodium(I). Inorg. Chem. 1982, 21, 2032–2037. [Google Scholar] [CrossRef]
- Matsinha, L.C.; Mapolie, S.F.; Smith, G.S. Recoverable and recyclable water-soluble sulphonated salicylaldimine Rh(I) complexes for 1-octene hydroformylation in aqueous biphasic media. Dalton Trans. 2015, 44, 1240–1248. [Google Scholar] [CrossRef]
- Williams, C.; Ferreira, M.; Monflier, E.; Mapolie, S.F.; Smith, G.S. Synthesis and hydroformylation evaluation of Fréchet-type organometallic dendrons with N,O-salicylaldimine Rh(I) complexes at the focal point. Dalton Trans. 2018, 47, 9418–9429. [Google Scholar] [CrossRef] [PubMed]
- Sekoto, P.N.; Magengenene, T.M.; Matsinha, L.C.; Tia, R.; Darkwa, J.; Makhubela, B.C.E. Catalytic isomerization–hydroformylation of olefins by rhodium salicylaldimine pre-catalysts. New J. Chem. 2020, 44, 8751–8762. [Google Scholar] [CrossRef]
- Siangwata, S.; Chulu, S.; Oliver, C.L.; Smith, G.S. Rhodium-catalysed hydroformylation of 1-octene using aryl and ferrocenyl Schiff base-derived ligands. Appl. Organomet. Chem. 2017, 31, e3593. [Google Scholar] [CrossRef]
- Gregory, S.; Laxman, R.K.; Fronczek, F.R.; Maverick, A.W.; Watkins, S.F. μ2-m-Xylylenebis(salicylaldiminato)-bis-(η4-1,5-cyclooctadiene)dirhodium(I)dichloromethane solvate. Acta Crystallogr. Sect. E Struct. Rep. Online 2012, 68, m1316–m1317. [Google Scholar] [CrossRef]
- Wu, X.; Zhang, P.; Yang, Z.; Zhang, S.; Liu, H.; Chi, W.; Li, X.; Dong, Y.; Qiu, N.; Yan, L. Polymerization of phenylacetylenes by binuclear rhodium catalysts with different para-binucleating phenoxyiminato linkages. Polym. Chem. 2019, 10, 4163–4172. [Google Scholar] [CrossRef]
- Brunner, H.; Fisch, H. Asymmetrische Katalysen XXXVI. Neue mehrzähnige Liganden mit dem (S)-(α)-(2-Pyridyl)ethylrest; Rh-Komplexe und enantioselektive Hydrosilylierungen. J. Organomet. Chem. 1987, 335, 1–14. [Google Scholar] [CrossRef]
- Brunner, H.; Riepl, G. Asymmetrische Hydrosilylierung von Acetophenon rnit Rhodium-Komplexen optisch aktiver Schiff-basen. Chem. Ber. 1982, 94, 369–370. [Google Scholar] [CrossRef]
- Brunner, H.; Reiter, B.; Riepl, G. Asymmetrische katalysen, enantioselektive hydrosilylierung prochiraler ketone mit Rh- und Pt-komplexen optisch aktiver N-chelatliganden. Chem. Ber. 1984, 117, 1330–1354. [Google Scholar] [CrossRef]
- Wright, M.E.; Svejda, S.A.; Arif, A.M. Synthesis of optically active Schiff base ligands from chiral 6-alkoxy-2-pyridinecarboxaldehydes and their application in rhodium catalyzed hydrosilations. Inorg. Chim. Acta 1990, 175, 13–15. [Google Scholar] [CrossRef]
- Zassinovich, G.; Grisoni, F. Enantioselective transfer hydrogenation of ketones catalyzed by Rhodium(I) complexes of chiral Schiff bases. J. Organomet. Chem. 1983, 247, c24–c26. [Google Scholar] [CrossRef]
- Jones, M.D.; Mahon, M.F. Synthesis of Rh(I) diamine complexes and their exploitation for asymmetric hydrogen transfer processes. J. Organomet. Chem. 2008, 693, 2377–2382. [Google Scholar] [CrossRef]
- Enamullah, M.; Uddin, A.; Chamayou, A.C.; Janiak, C. Syntheses, spectroscopy and crystal structures of (R)-N-(1-aryl-ethyl)salicylaldimines and Rh{(R)-N-(1-aryl-ethyl)salicylaldiminato}(h4-cod) complexes. Z. Naturforsch. B 2007, 62, 807–817. [Google Scholar] [CrossRef]
- Enamullah, M.; Royhan Uddin, A.K.M.; Hogarth, G.; Janiak, C. Synthesis, spectroscopy, catalysis and crystal structure of [Rh(η4-cod){(R)-N-(Ar)ethyl-2-oxo-1-naphthaldiminato-κ2N,O}] (Ar = C6H5, 3-/4-MeOC6H4, and 4-BrC6H4). Inorg. Chim. Acta 2012, 387, 173–180. [Google Scholar] [CrossRef]
- Enamullah, M.; Islam, M.A.; Janiak, C. Rh{(η4-cod) or (PPh3)2}-Schiff base complexes with a Z′ = 2 structure: Syntheses, spectroscopy, thermalanalyses and DFT/TDDFT. J. Mol. Struct. 2016, 1122, 331–340. [Google Scholar] [CrossRef]
- Janiak, C.; Chamayou, A.-C.; Royhan Uddin, A.K.M.; Uddin, M.; Hagen, K.S.; Enamullah, M. Polymorphs, enantiomorphs, chirality and helicity in [Rh{N,O}(η4-cod)] complexes with {N,O} = salicylaldiminato Schiff base or aminocarboxylato ligands. Dalton Trans. 2009, 19, 3698–3709. [Google Scholar] [CrossRef] [PubMed]
- Enamullah, M. Synthesis, spectroscopy, and catalysis of (η4-cod)Rh(I)-complexes with (R or S)-2-(salicylaldimine)-2-phenylethanol or (rac)-2-(salicylaldimine)-1-phenylethanol. J. Coord. Chem. 2012, 65, 911–922. [Google Scholar] [CrossRef]
- Enamullah, M.; Sharmin, A.; Hasegawa, M.; Hoshi, T.; Chamayou, A.-C.; Janiak, C. Syntheses, spectroscopic studies and crystal structures of chiral [Rh(aminocarboxylato)(η4-cod)] and chiral [Rh(amino alcohol)(η4-cod)](acetate) complexes with an example of a spontaneous resolution of a racemic mixture into Homo-Chiral Helix-Enantiomers. Eur. J. Inorg. Chem. 2006, 2006, 2146–2154. [Google Scholar] [CrossRef]
- Enamullah, M.; Islam, M.K.; Halim, M.A.; Janiak, C. Syntheses, spectroscopy, X-ray and DFT/TDDFT investigations of Rh(4-cod)-enantiopure aminocarboxylate complexes. J. Mol. Struct. 2015, 1099, 154–162. [Google Scholar] [CrossRef]
- Enamullah, M.; Royhan Uddin, A.K.M.; Hogarth, G. Synthesis, spectroscopy, and X-ray structures of 3-{(R)-(Ar)-ethylimino}-1,3-dihydro-indol-2 one (Ar = C6H5, MeOC6H4, BrC6H4, 1-naphthyl), and [Rh(η4-cod){3-((R)-(Ar)-ethylimino)-3H-indol-2-olato-2N,O}]. J. Coord. Chem. 2012, 65, 4263–4276. [Google Scholar] [CrossRef]
- Jorge, F.E.; Autschbach, J.; Ziegler, T. On the Origin of the Optical Activity in the d−d Transition Region of Tris-Bidentate Co (III) and Rh (III) Complexes. Inorg. Chem. 2003, 42, 8902–8910. [Google Scholar] [CrossRef] [PubMed]
- Flamigni, L.; Ventura, B.; Barigelletti, F.; Baranoff, E.; Collin, J.-P.; Sauvage, J.-P. Luminescent Iridium(III)-Terpyridine Complexes—Interplay of Ligand Centred and Charge Transfer States. Eur. J. Inorg. Chem. 2005, 2005, 1312–1318. [Google Scholar] [CrossRef]
- Draskovic, B.M.; Bogdanovic, G.A.; Neelakantan, M.A.; Chamayou, A.C.; Thalamuthu, S.; Avadhut, Y.S.; Schmedt auf der Günne, J.; Banerjee, S.; Janiak, C. N-o-Vanillylidene-l-histidine: Experimental Charge Density Analysis of a Double Zwitterionic Amino Acid Schiff-Base Compound. Cryst. Growth Des. 2010, 10, 1665–1676. [Google Scholar] [CrossRef]
- Nichol, G.S.; Clegg, W. Further thoughts on crystal structures with Z′ > 1: Analysis of single-crystal structures determined using X-ray synchrotron and neutron radiation in the Cambridge Structural Database. Cryst. Eng. Comm. 2007, 9, 959–960. [Google Scholar] [CrossRef]
- Steed, J.W. Should solid-state molecular packing have to obey the rules of crystallographic symmetry? Cryst. Eng. Comm. 2003, 5, 169–179. [Google Scholar] [CrossRef]
- Gavezotti, A. Structure and energy in organic crystals with two molecules in the asymmetric unit: Causality or chance? Cryst. Eng. Comm. 2008, 10, 389–398. [Google Scholar] [CrossRef]
- Desiraju, G.R. On the presence of multiple molecules in the crystal asymmetric unit (Z′ > 1). Cryst. Eng. Comm. 2007, 9, 91–92. [Google Scholar] [CrossRef]
- Ruiz, J.; Rodríguez, V.; Cutillas, N.; Hoffmann, A.; Chamayou, A.-C.; Kazmierczak, K.; Janiak, C. Structure—Solid-state CPMAS 13 C NMR correlation in palladacycle solvates (pseudo-polymorphs) with a transformation from Z′ = 1 to Z′ = 2. Cryst. Eng. Comm. 2008, 10, 1928–1938. [Google Scholar] [CrossRef]
- Vasylyeva, V.; Kedziorski, T.; Metzler-Nolte, N.; Schauerte, C.; Merz, K. Polymorphism of Pyridine-N-oxide and Its Deuterated Analogues. Cryst. Growth Des. 2010, 10, 4224–4226. [Google Scholar] [CrossRef]
- Roy, S.; Banerjee, R.; Nangia, A.; Kruger, G.J. Conformational, Concomitant Polymorphs of 4,4-Diphenyl-2,5-cyclohexadienone: Conformation and Lattice Energy Compensation in the Kinetic and Thermodynamic Forms. Chem. Eur. J. 2006, 12, 3777–3788. [Google Scholar] [CrossRef] [PubMed]
- Hernandez, J.O.; Portilla, J.; Cobo, J.; Glidewell, C. Two different products from the reaction of 1-aryl-5-chloro-3-methyl-1H-pyrazole-4-carbaldehyde with cyclohexylamine when the aryl substituent is phenyl or pyridin-2-yl: Hydrogen-bonded sheets versus dimers. Acta Cryst. 2015, C71, 363–368. [Google Scholar] [CrossRef] [PubMed]
- Sarojini, B.K.; Yathirajan, H.S.; Hosten, E.C.; Betz, R.; Glidewell, C. Ethyl (4-benzyl-oxyphen-yl)-6-methyl-2-sulfanyl-idene-1,2,3,4-tetra-hydro-pyrimidine-5-carboxyl-ate and a redetermination of ethyl (4RS)-4-(4-meth-oxy-phen-yl)-6-methyl-2-sulfanyl-idene-1,2,3,4-tetra-hydro-pyrimidine-5-carboxyl-ate, as its 0.105-hydrate, both at 200 K: Subtly different hydrogen-bonded ribbons. Acta Cryst. 2015, C71, 59–64. [Google Scholar] [CrossRef]
- Althoff, G.; Ruiz, J.; Rodríguez, V.; López, G.; Pérez, J.; Janiak, C. Can a single C-H⋯F-C hydrogen bond make a difference? Assessing the H⋯F bond strength from 2-D 1H-19F CP/MAS NMR. Cryst. Eng. Comm. 2006, 8, 662–665. [Google Scholar] [CrossRef]
- Hao, X.; Parkin, S.; Brock, C.P. The unusual phases of anhydrous and hydrated pinacol. Acta Crystallogr. Sect. B Struct. Sci. 2005, B61, 689–699. [Google Scholar] [CrossRef] [PubMed]
- Babu, N.J.; Nangia, A. High Z′ polymorphs have shorter C-H⋯O interactions and O-H⋯O hydrogen bonds. Cryst. Eng. Comm. 2007, 9, 980–983. [Google Scholar] [CrossRef]
- Chamayou, A.-C.; Biswas, C.; Ghosh, A.; Janiak, C. (Acetato-κO)aqua(1H-imidazole-κN3)(picolinato-κ2N,O)copper(II) 0.87-hydrate: A Z > 1 structure. Acta Cryst. 2009, C65, m311–m313. [Google Scholar] [CrossRef]
- Makhloufi, G.; Schütte, K.; Janiak, C. The crystal structure of N-(1-(dimethyl-l4-azanylidene)ethyl)propan-2-amine, a Z′ > 1 structure, C8H18N2. Z. Kristallogr. NCS 2014, 229, 429–430. [Google Scholar] [CrossRef]
- Kirchner, M.T.; Bläser, D.; Boese, R.; Desiraju, G.R. Additive induced polymorphism. The pentafluorophenol–pentafluoroaniline system. Cryst. Eng. Comm. 2009, 11, 229–231. [Google Scholar] [CrossRef]
- Masui, H. Metalloaromaticity. Coord. Chem. Rev. 2001, 219–221, 957–992. [Google Scholar] [CrossRef]
- Castineiras, A.; Sicilia-Zafra, A.G.; González-Pérez, J.M.; Choquesillo-Lazarte, D.; Niclós-Gutiérrez, J. Intramolecular “Aryl—Metal Chelate Ring” π, π-Interactions as Structural Evidence for Metalloaromaticity in (Aromatic α,α′-Diimine)—Copper (II) Chelates: Molecular and Crystal Structure of Aqua (1, 10-phenanthroline)(2-benzylmalonato) copper (II) Three-hydrate. Inorg. Chem. 2002, 41, 6956–6958. [Google Scholar] [CrossRef] [PubMed]
- Craven, E.; Zhang, C.; Janiak, C.; Rheinwald, G.; Lang, H. Synthesis, Structure and Solution Chemistry of (5,5′-Dimethyl-2,2′-bipyridine)(IDA)copper(II) and Structural Comparison With Aqua(IDA) (1,10-phenanthroline)copper(II) (IDA = iminodiacetato). Z. Anorg. Allg. Chem. 2003, 629, 2282–2290. [Google Scholar] [CrossRef]
- Monfared, H.H.; Kalantari, Z.; Kamyabi, M.-A.; Janiak, C. Synthesis, Structural Characterization and Electrochemical Studies of a Nicotinamide-bridged Dinuclear Copper Complex derived from a Tridentate Hydrazone Schiff Base Ligand. Z. Anorg. Allg. Chem. 2007, 633, 1945–1948. [Google Scholar] [CrossRef]
- Zhang, W.; Tang, X.; Ma, H.; Sun, W.-H.; Janiak, C. {2-[1-(2,6-diisopropylphenylimino)ethyl]pyridyl}palladium dibromide polymorphs originating from different Br··· and C-H···Br contacts. Eur. J. Inorg. Chem. 2008, 2008, 2830–2836. [Google Scholar] [CrossRef]
- Monfared, H.H.; Vahedpour, M.; Yeganeh, M.M.; Ghorbanloo, M.; Mayer, P.; Janiak, C. Concentration dependent tautomerism in green [Cu(HL1)(L2)] and brown [Cu(L1)(HL2)] with H2L1 = (E)-N′-(2-hydroxy-3-methoxybenzylidene)benzoylhydrazone and HL2 = pyridine-4-carboxylic (isonicotinic) acid. Dalton Trans. 2011, 40, 1286–1294. [Google Scholar] [CrossRef]
- Frisch, M.J.; Trucks, G.W.; Schlegel, H.B.; Scuseria, G.E.; Robb, M.A.; Cheeseman, J.R.; Scalmani, G.; Barone, V.; Petersson, G.A.; Nakatsuji, H.; et al. Gaussian 16; Revision A.03; Gaussian, Inc.: Wallingford, CT, USA, 2016. [Google Scholar]
- Andrae, D.; Häußermann, U.; Dolg, M.; Stoll, H.; Preuß, H. Energy-adjusted ab initio pseudopotentials for the second and third row transition elements. Theor. Chim. Acta 1990, 77, 123–141. [Google Scholar] [CrossRef]
- Fuentes, J.A.; Wawrzyniak, P.; Roff, G.J.; Bühl, M.; Clarke, M.L. On the rate-determining step and the ligand electronic effects in rhodium catalysed hydrogenation of enamines and the hydroaminomethylation of alkenes. Catal. Sci. Technol. 2011, 1, 431–436. [Google Scholar] [CrossRef]
- George, M.W.; Hall, M.B.; Jina, O.S.; Portius, P.; Sun, X.-Z.; Towrie, M.; Wu, H.; Yang, X.; Zarić, S.D. Understanding the factors affecting the activation of alkane by Cp’Rh(CO)2 (Cp’ = Cp or Cp *). Proc. Natl. Acad. Sci. USA 2010, 107, 20178–20183. [Google Scholar] [CrossRef]
- Bruhn, T.; Schaumlöffel, A.; Hemberger, Y.; Bringmann, G. SpecDis: Quantifying the Comparison of Calculated and Experimental Electronic Circular Dichroism Spectra. Chirality 2013, 25, 243–249. [Google Scholar] [CrossRef] [PubMed]
- Bruhn, T.; Schaumlöffel, A.; Hemberger, Y.; Pescitelli, G. SpecDis, version 1.71; Berlin, Germany. 2017. Available online: https://specdis-software.jimdo.com (accessed on 15 November 2022).
- Rigaku Oxford Diffraction Ltd. CrysAlisPro; Release 1.171.40.103a; Rigaku Oxford Diffraction Ltd.: Yarnton, UK, 2021. [Google Scholar]
- Sheldrick, G.M. Crystal structure refinement with SHELXL. Acta Crystallogr. Sect. C Cryst. Struct. Commun. 2015, C71, 3–8. [Google Scholar] [CrossRef]
- Sheldrick, G.M. A short history of SHELX. Acta Crystallogr. A Found. Crystallogr. 2008, 64, 112–122. [Google Scholar] [CrossRef] [PubMed]
- Dolomanov, O.V.; Bourhis, L.J.; Gildea, R.J.; Howard, J.A.K.; Puschmann, H. OLEX2: A complete structure solution, refinement and analysis program. J. Appl. Crystallogr. 2009, 42, 339–341. [Google Scholar] [CrossRef]
- Brandenburg, K. Diamond (Version 4.6). Crystal and Molecular Structure Visualization, Crystal Impact GbR; Copyright 1997–2022; Brandenburg & H. Putz Gbr: Bonn, Germany, 2017. [Google Scholar]
- Spek, A.L. PLATON—A Multipurpose Crystallographic Tool; Utrecht University: Utrecht, The Netherlands, 2008. [Google Scholar]
- Farrugia, L.J. Windows Implementation; Version 270519; University of Glasgow: Scotland, UK, 2019. [Google Scholar]
- Spek, A.L. Structure validation in chemical crystallography. Acta Crystallogr. D Biol. Crystallogr. 2009, D65, 148–155. [Google Scholar] [CrossRef] [PubMed]











| Entity | Solvents | Assignments | ||||||
|---|---|---|---|---|---|---|---|---|
| CH3 | CH2 | CH2codexo/ CH2codendo | CHcod | CHN | OH/NH | H-Ar | ||
| HL1 | CDCl3 | 1.28 (t, JHH = 7.6 Hz) | 2.84 (q, JHH = 7.6 Hz) | 8.62 (s) | 13.47 (br) | 6.99 (t, JHH = 7.6 Hz, 1H, H4), 7.08 (d, JHH = 8.0 Hz, 1H, H2), 7.13 (dd, JHH = 6.4, 1.6 Hz, 1H, H12), 7.27–7.33 (m, 3H, H10,11,13), 7.40–7.46 (m, 2H, H3,5) | ||
| DMSO-d6 | 1.17 (t, JHH = 7.6 Hz) | 2.73 (q, JHH = 7.6 Hz) | 8.90 (s) | 13.31 (br) | 6.97–7.02 (m, 2H, H2,4), 7.25–7.28 (m, 1H, H12), 7.29–7.33 (m, 3H, H10,11,13), 7.44 (t, JHH = 7.0 Hz, 1H, H3), 7.68 (d, JHH = 7.6 Hz, 1H, H5) | |||
| HL2 | CDCl3 | 1.34 (t, JHH = 7.6 Hz) | 2.90 (q, JHH = 7.6 Hz) | 9.34 (s) | 15.63 (br) | 7.17 (d, JHH = 9.2 Hz, 1H, H14), 7.30 (d, JHH = 9.6 Hz, 1H, H17), 7.35–7.39 (m, 4H, H2,6,15,16), 7.55 (t, JHH = 8.0 Hz, 1H, H7), 7.74 (d, JHH = 8.0 Hz, 1H, H8), 7.84 (d, JHH = 9.2 Hz, 1H, H5), 8.13 (d, JHH = 8.4 Hz, 1H, H3) | ||
| CD3OD | 1.33 (m) | 2.88 (m) | 9.46, 9.51 (18.0 Hz) | 6.94 (t, JHH = 8.8 Hz, 1H, H16), 7.24–7.41 (m, 4H, H2,14,15,17), 7.51–7.56 (m, 1H, H6), 7.64–7.72 (m, 2H, H7,8), 7.85 (t, JHH = 10.0 Hz, 1H, H5), 8.24–8.29 (m, 1H, H3) | ||||
| DMSO-d6 | 1.24 (t, JHH = 7.6 Hz) | 2.81 (q, JHH = 7.6 Hz) | 9.65, 9.66 (5.0 Hz) | 16.06, 16.07 (5.0 Hz) | 7.04 (d, JHH = 9.2 Hz, 1H, H14), 7.27 (t, JHH = 7.2 Hz, 1H, H16), 7.35–7.40 (m, 3H, H2,15,17), 7.55 (t, JHH = 7.6 Hz, 1H, H6), 7.80 (t, JHH = 7.6 Hz, 2H, H7,8), 7.95 (d, JHH = 9.2 Hz, 1H, H5), 8.51 (d, JHH = 8.4 Hz, 1H, H3) | |||
| 1 | CDCl3 | 1.33 (t, JHH = 7.6 Hz) | 2.93 (q, JHH = 6.8 Hz) | 1.77–1.79/2.52–2.54 (m) | 4.27 (s) | 8.77 (s) | 7.05–7.07 (m, 1H, H-Ar), 7.21–7.27 (m, 1H, H-Ar), 7.38–7.49 (m, 4H, H-Ar), 7.61–7.65 (m, 2H, H-Ar) | |
| 2 | CDCl3 | 1.35 (t, JHH = 7.6 Hz) | 2.92 (q, JHH = 6.8 Hz) | 1.77–1.79/2.52–2.54 (m) | 4.26 (s) | 9.36 (s) | 7.37–7.43 (m, 4H, H-Ar), 7.55–7.68 (m, 2H, H-Ar), 7.77 (d, JHH = 7.6 Hz, 1H, H-Ar), 7.93–7.99 (m, 2H, H-Ar), 8.14 (d, JHH = 7.2, Hz, 1H, H-Ar) | |
| Wavelength (nm) a | Excited States | Oscillator Strength | Electronic Transition (MOs Contribution, %) b | Assignments c |
|---|---|---|---|---|
| Compound 1 | ||||
| 475 | 1 | 0.0022 | H→L (98) | MM, ML |
| 402 (399) | 2 | 0.0426 | H-1→L (71) | MM, ML |
| 361 | 4 | 0.0217 | H-3→L (42), H-2→L (54) | MM, ML, LL |
| 335 (ca. 310 sh) | 7 | 0.1432 | H-3→L (54), H-2→L (38) | MM, ML, LL |
| 291 | 12 | 0.1853 | H-1→L + 1 (18), H-1→L + 2 (42) | MM, ML, LL |
| 246 | 29 | 0.2134 | H-2→L + 1 (12), H-1→L + 6 (32) | MM, ML, LL |
| 228 | 41 | 0.1113 | H-4→L + 1 (12), H→L + 9 (11) | ML, LL |
| 212 | 55 | 0.2316 | H-7→L + 1 (17), H-1→L + 11 (12) | MM, LL |
| Compound 2 | ||||
| 487 | 1 | 0.0030 | H→L (97) | MM, ML |
| 410 (417) | 2 | 0.0662 | H-1→L (76) | MM, ML, LL |
| 348 | 6 | 0.2166 | H-3→L (40), H-2→L (52) | MM, ML, LL |
| 311 (323) | 10 | 0.2079 | H-1→L+1 (53) | MM, ML, LL |
| 285 (275) | 17 | 0.0700 | H-1→L+3 (26), H→L+6 (22) | MM, ML, LL |
| 249 | 33 | 0.1012 | H-3→L+1 (19), H-3→L + 3 (28) | MM, ML, LL |
| 233 | 44 | 0.1513 | H-4→L+1 (9), H-4→L + 3 (36) | ML, LL |
| 215 | 65 | 0.2176 | H-4→L+5 (11), H-3→L + 11 (11) | ML, LL |
| Compound HL2 | Compound 1 | Compound 2 | |||||||
|---|---|---|---|---|---|---|---|---|---|
| X-ray | X-ray (with Rh1) | Opt. Str. | X-ray (with Rh2) | X-ray | Opt. Str. | ||||
| C1-O1 C11-N1 C12-N1 N1-H1 C11-H11 C1-C10 C10-C11 O1-C1-C10 C11-N1-C12 C10-C11-N1 C11-N1-H1 C12-N1-H1 | 1.270 (2) 1.324 (2) 1.413 (1) 0.95 (2) 0.950 (0) 1.450 (2) 1.387 (2) 122.3 (1) 126.3 (1) 124.0 (1) 113.0 (1) 121.0 (1) | Rh1–O1 Rh1–N1 Rh1–C16 Rh1–C17 Rh1–C20 Rh1–C21 C1-O1 C7-N1 C8-N1 C16-C17 C20-C21 O1-Rh-N1 O1-Rh-C16 O1-Rh-C17 O1-Rh-C20 O1-Rh-C21 N1-Rh-C16 N1-Rh-C17 N1-Rh-C20 N1-Rh-C21 | 2.037 (2) 2.080 (2) 2.113 (2) 2.118 (2) 2.130 (2) 2.139 (2) 1.300 (3) 1.298 (3) 1.450 (3) 1.404 (3) 1.391 (3) 90.35 (7) 159.16 (8) 160.29 (8) 84.98 (8) 87.92 (8) 94.21 (8) 96.48 (8) 157.90 (8) 163.56 (8) | 2.044 2.099 2.155 2.175 2.174 2.195 1.328 1.327 1.456 1.425 1.416 89.75 157.71 161.19 84.71 87.37 95.98 98.23 157.07 164.21 | Rh2–O2 Rh2–N2 Rh2–C39 Rh2–C40 Rh2–C43 Rh2–C44 C24-O2 C30-N2 C31-N2 C39-C40 C43-C44 O2-Rh-N2 O2-Rh-C39 O2-Rh-C40 O2-Rh-C43 O2-Rh-C44 N2-Rh-C39 N2-Rh-C40 N2-Rh-C43 N2-Rh-C44 | 2.026 (2) 2.084 (2) 2.124 (2) 2.119 (2) 2.137 (2) 2.129 (2) 1.301 (3) 1.295 (3) 1.450 (3) 1.402 (3) 1.386 (4) 90.44 (7) 162.34 (8) 156.99 (8) 85.59 (8) 86.34 (8) 95.04 (8) 96.61 (8) 163.79 (8) 157.51 (8) | Rh1–O1 R1h–N1 Rh1–C20 Rh1–C21 Rh1–C24 Rh1–C25 C1-O1 C11-N1 C12-N1 C20-C21 C24-C25 O1-Rh-N1 O1-Rh-C20 O1-Rh-C21 O1-Rh-C24 O1-Rh-C25 N1-Rh-C20 N1-Rh-C21 N1-Rh-C24 N1-Rh-C25 | 2.025 (2) 2.076 (3) 2.112 (3) 2.133 (4) 2.126 (3) 2.148 (4) 1.294 (4) 1.307 (5) 1.456 (5) 1.401 (5) 1.388 (5) 88.70 (1) 153.10 (1) 166.40 (1) 87.40 (1) 86.50 (1) 97.60 (1) 96.70 (1) 152.00 (1) 168.70 (1) | 2.048 2.087 2.160 2.181 2.181 2.205 1.329 1.332 1.461 1.423 1.415 88.35 157.72 162.05 86.19 88.65 96.48 98.25 156.56 164.91 |
| Compounds | Peaks Temperature/°C (Heating Curve) | ΔH (kJ mol–1) |
|---|---|---|
| HL2 | 92 (1st cycle) | −19.93 |
| 89 (2nd cycle) | −15.60 | |
| 1 | 185 (1st cycle) | −19.77 |
| 2 | 221 (1st cycle) | −37.57 |
| HL2 | 1 | 2 | |
|---|---|---|---|
| Formula | C19H17NO | C23H26NORh | C27H28NORh |
| Mr | 275.33 | 435.36 | 485.41 |
| Cryst. size, mm3 | 0.17 × 0.20 × 0.81 | 0.06 × 0.07 × 0.14 | 0.04 × 0.03 × 0.12 |
| Crystal system | monoclinic | monoclinic | monoclinic |
| Temp. (K) | 100 | 100 | 100 |
| Space group | I2/a | P21/n | P21/c |
| a, Å | 14.4394 (2) | 10.6023 (1) | 10.5105 (2) |
| b, Å | 5.92690 (10) | 18.6289 (1) | 7.44870 (10) |
| c, Å | 33.3937 (5) | 19.2399 (1) | 27.3231 (5) |
| β, deg | 102.4790 (10) | 98.696 (1) | 94.400 (2) |
| V, Å3 | 2790.35 (7) | 3756.37 (5) | 2132.81 (6) |
| Z | 8 | 8 | 4 |
| Dcalcd, g cm−3 | 1.311 | 1.540 | 1.512 |
| μ, mm−1 θ range (°) | 0.630 2.7–67.1 | 7.425 3.2–67.1 | 6.606 3.2–78.4 |
| F(000) | 1168 | 1792 | 1000 |
| Trans. (max/min) | 0.979/0.979 | 0.662/0.642 | 0.930/0.930 |
| hkl range | ±17; ±7; ±39 | 12; 22; 22 | ±12; ±8; ±32 |
| Refl. measured | 23976 | 51759 | 24582 |
| Refl. unique | 2492 | 6705 | 3812 |
| Rint | 0.0436 | 0.0322 | 0.0382 |
| Param. refined/restraints | 195/0 | 481/0 | 272/0 |
| GoF (F2) a | 1.048 | 1.048 | 1.249 |
| R1/wR2 [I>2σ (I)] b | 0.0377/0.1003 | 0.0226/0.0570 | 0.0358/0.0764 |
| R1/wR2 (all data) b | 0.0400/0.1022 | 0.0246/0.0579 | 0.0374/0.0770 |
| Max./min. Δρ (e. Å−3) c | 0.192/–0.222 | 0.576/–0.635 | 0.818/–0.875 |
| CCDC number | 2201154 | 2201155 | 2201156 |
Disclaimer/Publisher’s Note: The statements, opinions and data contained in all publications are solely those of the individual author(s) and contributor(s) and not of MDPI and/or the editor(s). MDPI and/or the editor(s) disclaim responsibility for any injury to people or property resulting from any ideas, methods, instructions or products referred to in the content. |
© 2022 by the authors. Licensee MDPI, Basel, Switzerland. This article is an open access article distributed under the terms and conditions of the Creative Commons Attribution (CC BY) license (https://creativecommons.org/licenses/by/4.0/).
Share and Cite
Enamullah, M.; Haque, I.; Resma, A.K.; Woschko, D.; Janiak, C. Schiff Base in Ketoamine Form and Rh(η4-cod)-Schiff Base Complex with Z′ = 2 Structure from Pairwise C-H···Metallochelate-π Contacts. Molecules 2023, 28, 172. https://doi.org/10.3390/molecules28010172
Enamullah M, Haque I, Resma AK, Woschko D, Janiak C. Schiff Base in Ketoamine Form and Rh(η4-cod)-Schiff Base Complex with Z′ = 2 Structure from Pairwise C-H···Metallochelate-π Contacts. Molecules. 2023; 28(1):172. https://doi.org/10.3390/molecules28010172
Chicago/Turabian StyleEnamullah, Mohammed, Imdadul Haque, Amina Khan Resma, Dennis Woschko, and Christoph Janiak. 2023. "Schiff Base in Ketoamine Form and Rh(η4-cod)-Schiff Base Complex with Z′ = 2 Structure from Pairwise C-H···Metallochelate-π Contacts" Molecules 28, no. 1: 172. https://doi.org/10.3390/molecules28010172
APA StyleEnamullah, M., Haque, I., Resma, A. K., Woschko, D., & Janiak, C. (2023). Schiff Base in Ketoamine Form and Rh(η4-cod)-Schiff Base Complex with Z′ = 2 Structure from Pairwise C-H···Metallochelate-π Contacts. Molecules, 28(1), 172. https://doi.org/10.3390/molecules28010172

