Molecular Dynamics and Chain Length of Edible Oil Using Low-Field Nuclear Magnetic Resonance
Abstract
1. Introduction
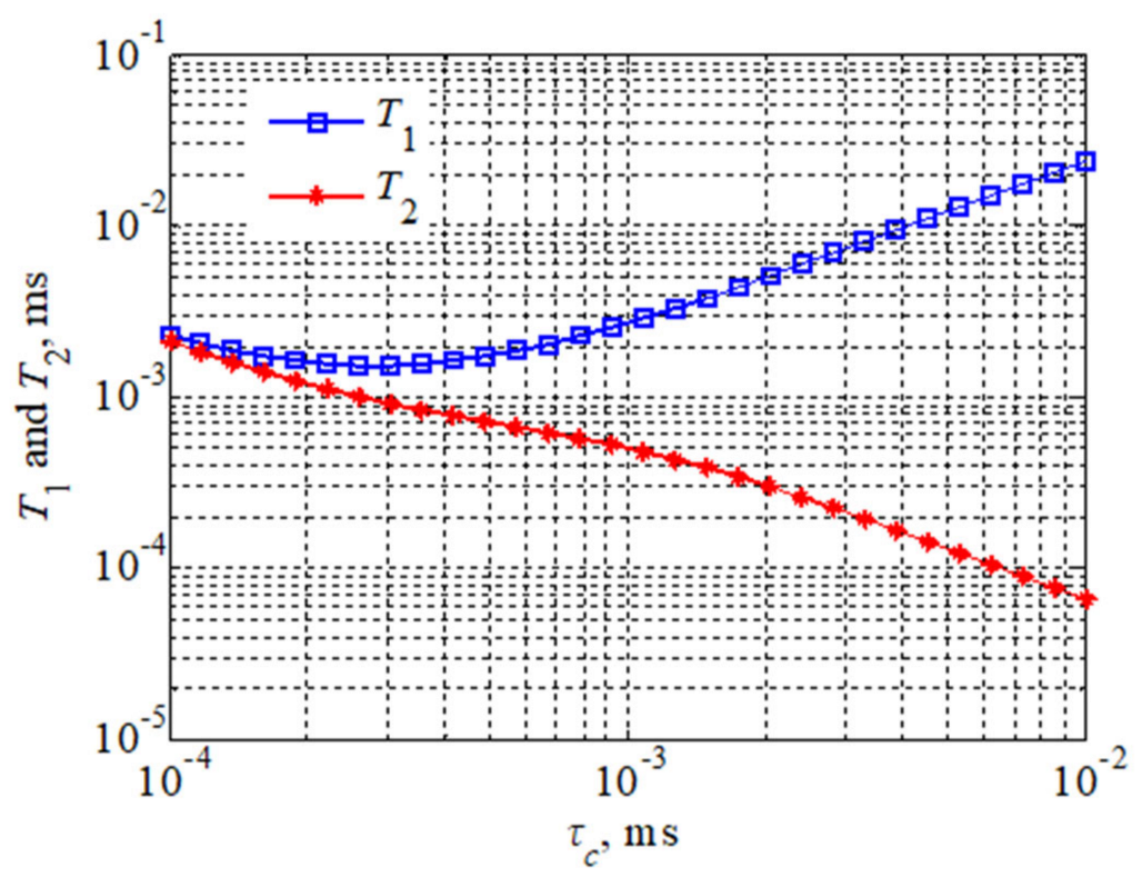
2. NMR Theory
3. Data Analysis
4. Experiment
5. Conclusions
Author Contributions
Funding
Conflicts of Interest
Sample Availability
References
- Blümich, B. Low-field and benchtop NMR. J. Magn. Reson. 2019, 306, 27–35. [Google Scholar] [CrossRef] [PubMed]
- Zhao, T.T.; Wang, X.; Lu, H.Y.; Liu, B.L. The Quality Assessment of Edible Oils and Fats by LF-NMR Coupled with PCA. Mod. Food Sci. Technol. 2014, 30, 179–185. [Google Scholar]
- Zhu, W.; Wang, X.; Chen, L. Rapid detection of peanut oil adulteration using low-field nuclear magnetic resonance and chemometrics. Food Chem. 2017, 216, 268–274. [Google Scholar] [CrossRef] [PubMed]
- Santos, P.M.; Kock, F.V.C.; Santos, M.S.; Lobo, C.; Carvalho, A.S.; Colnago, L.A. Non-invasive detection of adulterated olive oil in full bottles using time-domain NMR relaxometry. J. Braz. Chem. Soc. 2017, 28, 385–390. [Google Scholar] [CrossRef]
- Wu, J.; Li, Y.; Gao, X. Simultaneous determination of oil and water in soybean by LF-NMR relaxometry and chemometrics. Chem. Res. Chin. Univ. 2016, 32, 731–735. [Google Scholar] [CrossRef]
- Zang, X.; Lin, Z.; Zhang, T.; Wang, H.; Cong, S.; Song, Y.; Li, Y.; Cheng, S.; Tan, M. Non-destructive measurement of water and fat contents, water dynamics during drying and adulteration detection of intact small yellow croaker by low field NMR. J. Food Meas. Charact. 2017, 11, 1550–1558. [Google Scholar] [CrossRef]
- Li, M.; Li, B.; Zhang, W. Rapid and non-invasive detection and imaging of the hydrocolloid-injected prawns with low-field NMR and MRI. Food Chem. 2018, 242, 16–21. [Google Scholar] [CrossRef]
- Wang, H.; Wang, R.; Song, Y.; Kamal, T.; Lv, Y.; Zhu, B.; Tao, X.; Tan, M. A fast and non-destructive LF-NMR and MRI method to discriminate adulterated shrimp. J. Food Meas. Charact. 2018, 12, 1340–1349. [Google Scholar] [CrossRef]
- Sun, Y.; Zhang, M.; Fan, D. Effect of ultrasonic on deterioration of oil in microwave vacuum frying and prediction of frying oil quality based on low field nuclear magnetic resonance (LF-NMR). Ultrason. Sonochemistry 2019, 51, 77–89. [Google Scholar] [CrossRef]
- García, A.B.G.; Rodríguez, M.; de Ávila Hidalgo, M.; Bertram, H.C. Water mobility and distribution during dry-fermented sausages “Spanish type” manufacturing and its relationship with physicochemical and textural properties: A low-field NMR study. Eur. Food Res. Technol. 2017, 243, 455–466. [Google Scholar] [CrossRef]
- Wang, X.; Wang, G.; Hou, X.; Nie, S. A Rapid Screening Approach for Authentication of Olive Oil and Classification of Binary Blends of Olive Oils Using Low-Field Nuclear Magnetic Resonance Spectra and Support Vector Machine. Food Anal. Methods 2020, 13, 1894–1905. [Google Scholar] [CrossRef]
- Jiang, C.; Han, J. Rapid identification of rice varieties based on low-field NMR technology. Sci. Technol. Food Ind. 2012, 33, 64–66. [Google Scholar]
- Gai, S.; Zhang, Z.; Zou, Y.; Liu, D. Rapid and non-destructive detection of water-injected pork using low-field nuclear magnetic resonance (LF-NMR) and magnetic resonance imaging (MRI). Int. J. Food Eng. 2019, 15, 20180313. [Google Scholar] [CrossRef]
- Fauhl, C.; Reniero, F.; Guillou, C. 1H NMR as a tool for the analysis of mixtures of virgin olive oil with oils of different botanical origin. Magn. Reson. Chem. 2000, 38, 436–443. [Google Scholar] [CrossRef]
- Knothe, G.; Kenar, J.A. Determination of the fatty acid profile by 1H-NMR spectroscopy. Eur. J. Lipid Sci. Technol. 2004, 106, 88–96. [Google Scholar] [CrossRef]
- Monteiro, M.R.; Kugelmeier, C.L.; Pinheiro, R.S.; Batalha, M.O.; da Silva César, A. Glycerol from biodiesel production: Technological paths for sustainability. Renew. Sustain. Energy Rev. 2018, 88, 109–122. [Google Scholar] [CrossRef]
- Knothe, G. Dependence of biodiesel fuel properties on the structure of fatty acid alkyl esters. Fuel Process. Technol. 2005, 86, 1059–1070. [Google Scholar] [CrossRef]
- Ramírez-Verduzco, L.F.; Rodríguez-Rodríguez, J.E.; del Rayo Jaramillo-Jacob, A. Predicting cetane number, kinematic viscosity, density and higher heating value of biodiesel from its fatty acid methyl ester composition. Fuel 2012, 91, 102–111. [Google Scholar] [CrossRef]
- Hürlimann, M.D.; Freed, D.E.; Zielinski, L.J.; Song, Y.Q.; Leu, G.; Straley, C.; Boyd, A.; Minh, C.C. Hydrocarbon composition from NMR diffusion and relaxation data. Petrophysics-SPWLA J. Form. Eval. Reserv. Descr. 2009, 50, SPWLA-2009-v50n2a3. [Google Scholar]
- Einstein, A. On the movement of small particles suspended in stationary liquids required by the molecular-kinetic theory of heat. Annalen. der Physik. 1905, 17, 549–560. [Google Scholar] [CrossRef]
- Bloembergen, N.; Purcell, E.M.; Pound, R.V. Relaxation effects in nuclear magnetic resonance absorption. Phys. Rev. 1948, 73, 679–746. [Google Scholar] [CrossRef]




| Formula | Name | Chain Length | Status | T2 (ms) | R2 (ms−1) | R2/η (ms−1cp−1) | η (cp, 20 °C) |
|---|---|---|---|---|---|---|---|
| C3H8O3 | Glycerol | 3 | liquid | 10 | 93.95189 | 0.062635 | 1500 |
| C4H8O3 | Glyceraldehyde | 4 | liquid | 451 | 2.214346 | 0.150636 | 14.7 |
| C6H12O3 | Diglycerol | 6 | liquid | 1.3 | 725.8648 | 0.129619 | 5600 |
| C7H12ClN3O2 | Ketal glycerol | 7 | liquid | 520 | 1.921587 | 0.135323 | 14.2 |
| C10H18O | Terpineol | 10 | liquid | 50 | 19.69276 | 0.252471 | 78 |
| C12H20O6 | Tripropionin | 12 | liquid | 362 | 2.755334 | 0.316705 | 8.7 |
| C15H26O6 | Tributyrin | 15 | liquid | 325 | 3.073538 | 0.33408 | 9.2 |
| C18H34O2 | Oleic acid | 18 | liquid | 153 | 6.524779 | 0.370726 | 17.6 |
| C18H37N | Oleylamine | 18 | liquid | 404 | 2.470074 | 0.343066 | 7.2 |
| C18H36O | Oleyl alcohol | 18 | liquid | 171 | 5.838505 | 0.381103 | 15.32 |
| C19H36O2 | methyl oleate | 19 | liquid | 520 | 1.921587 | 0.34938 | 5.5 |
| C20H36O2 | ethyl linoleate | 20 | liquid | 503 | 1.985095 | 0.406782 | 4.88 |
| C20H38O2 | Ethyl Oleate | 20 | liquid | 520 | 1.920025 | 0.37282 | 5.15 |
| C21H20O6 | Curcuma oil | 21 | liquid | 480 | 2.082722 | 0.408377 | 5.1 |
| C22H42O2 | Butyl oleate | 22 | liquid | 465 | 2.147456 | 0.447387 | 4.8 |
| C24H38O4 | Perilla leaf oil | 24 | liquid | 1266 | 0.789854 | 0.46462 | 1.7 |
| C24H47NO4 | Triethanolamine oleic acid soap | 24 | liquid | 8.5 | 117.3367 | 0.499305 | 235 |
| Formula | Name | Ar | Chain Length | Status | Purity | H (cp, 20 °C) |
|---|---|---|---|---|---|---|
| C3H8O3 | Glycerol | 92 | 3 | Liquid, viscous | 98% | 1500 |
| C4H8O3 | Glyceraldehyde | 104 | 4 | Liquid | 98% | 14.7 |
| C6H14O5 | Diglycerol | 166 | 6 | Liquid, viscous | 80% | 5600 |
| C6H12O3 | Ketal glycerol | 132 | 6 | Liquid | ≥95% | N/A |
| C7H12ClN3O2 | Clove oil 1 | 205.5 | 7 | Liquid | AR, ≥80% | 14.2 |
| C10H16 | Turpentine | 136 | 10 | Liquid | AR | 2.1 |
| C10H18O | Terpineol 2 | 154 | 10 | Liquid | AR | 68 |
| C12H20O6 | Glyceryl tripropanoate | 260 | 12 | Liquid | ≥95% | 8.7 |
| C12H20O2 | Turpentine acetate | 196 | 12 | Liquid | ≥97% | N/A |
| C15H26O6 | Tributyrin | 302 | 15 | Liquid | 98% | 9.2 |
| C18H34O2 | Oleic acid | 282 | 18 | Liquid | AR | 17.6 |
| C18H37N | Oleylamine | 267 | 18 | Solid | 80–90% | 7.2 |
| C18H36O | Oleyl alcohol | 268 | 18 | Liquid | 80–85% | 15.32 |
| C19H36O2 | Methyl oleate | 296 | 19 | Liquid | 99% | 5.5 |
| C20H36O2 | Linoleic acid ethyl ester | 308 | 20 | Liquid | ≥97% | 4.88 |
| C20H38O2 | Ethyl oleate | 310 | 20 | Liquid | 75% | 5.15 |
| C21H20O6 | Ginger butter | 368 | 21 | Liquid | ≥98% | N/A |
| C21H42O4 | Propylene glycol oleate | 358 | 21 | Liquid | 95% | 5.1 |
| C22H42O2 | Butyl oleate | 338 | 22 | Liquid | AR | 4.8 |
| C24H38O4 | Perilla leaf oil | 390 | 24 | Liquid | ≥55% | 1.7 |
| C24H47NO4 | Triethanolamine oleic acid soap | 413 | 24 | Liquid | 92% | 235 |
| C27H50O6 | Trioctanoin | 470 | 27 | Liquid | ≥99% | N/A |
| C30H62O21 | Decaprenylglycerol | 758 | 30 | Solid | 98% | N/A |
| C38H46N2O8 | Cocamine | 658 | 38 | Solid | 98% | N/A |
| C39H76O5 | Distearate | 624 | 39 | Solid | 97% | N/A |
| C39H74O6 | Glycerol trilaurate | 638 | 39 | Solid | 98% | N/A |
| C45H76O2 | Linoleate cholesteryl ester | 648 | 45 | Solid | 95% | N/A |
| C51H98O6 | Tripalmitin | 806 | 51 | Solid | 98% | N/A |
| C57H110O6 | Tristearin | 890 | 57 | Solid | 98% | N/A |
Disclaimer/Publisher’s Note: The statements, opinions and data contained in all publications are solely those of the individual author(s) and contributor(s) and not of MDPI and/or the editor(s). MDPI and/or the editor(s) disclaim responsibility for any injury to people or property resulting from any ideas, methods, instructions or products referred to in the content. |
© 2022 by the authors. Licensee MDPI, Basel, Switzerland. This article is an open access article distributed under the terms and conditions of the Creative Commons Attribution (CC BY) license (https://creativecommons.org/licenses/by/4.0/).
Share and Cite
Jia, Z.; Liang, C. Molecular Dynamics and Chain Length of Edible Oil Using Low-Field Nuclear Magnetic Resonance. Molecules 2023, 28, 197. https://doi.org/10.3390/molecules28010197
Jia Z, Liang C. Molecular Dynamics and Chain Length of Edible Oil Using Low-Field Nuclear Magnetic Resonance. Molecules. 2023; 28(1):197. https://doi.org/10.3390/molecules28010197
Chicago/Turabian StyleJia, Zijian, and Can Liang. 2023. "Molecular Dynamics and Chain Length of Edible Oil Using Low-Field Nuclear Magnetic Resonance" Molecules 28, no. 1: 197. https://doi.org/10.3390/molecules28010197
APA StyleJia, Z., & Liang, C. (2023). Molecular Dynamics and Chain Length of Edible Oil Using Low-Field Nuclear Magnetic Resonance. Molecules, 28(1), 197. https://doi.org/10.3390/molecules28010197
