Selenium Organic Content Prediction in Jengkol (Archidendron pauciflorum) and Its Molecular Interaction with Cardioprotection Receptors PPAR-γ, NF-κB, and PI3K
Abstract
1. Introduction
2. Results
2.1. Jengkol Se Content Analysis
2.2. Separation of the Jengkol Extract Using HPLC Combined with Fluorometry
2.3. Characterization of Organic Se Using LC-MS
2.4. Docking Simulation of Organic Se in Jengkol to Cardioprotection Receptor
2.5. Molecular Dynamic Simulation
2.5.1. Root Mean Square Deviation (RMSD) and Root Mean Square Fluctuation (RMSF) Analysis of the Ligand–Receptor Complex
2.5.2. Solvent-Accessible Surface Area (SASA) Analysis
2.5.3. Radius Gyration (Rg) Analysis
2.5.4. MM-PBSA Binding Free Energy Calculations
3. Discussion
3.1. Analysis of the Se Content in Jengkol
3.2. Separation of the Jengkol Extract and Characterization of Organic Se
3.3. Docking Simulation of Organic Se in Jengkol to a Cardioprotective Receptor
3.3.1. Preparation of Protein Receptor and Validation
3.3.2. Docking Simulation
3.4. Molecular Dynamic Simulation
4. Materials and Methods
4.1. Materials
4.2. Standard and Sample Preparation
4.3. Analysis of the Se Content in Jengkol
4.4. Separation of the Jengkol Extract Using HPLC Combined with the Fluorometric Method
4.5. Characterization of Organic Se Using LC-MS
4.6. Docking Simulation of Organic Se in Jengkol
4.6.1. Preparation of the Ligand Structure
4.6.2. Preparation of the Protein Receptor
4.6.3. Validation of the Molecular Docking Method
4.6.4. Docking Simulation
4.7. Molecular Dynamic Simulation
5. Conclusions
Author Contributions
Funding
Institutional Review Board Statement
Informed Consent Statement
Data Availability Statement
Acknowledgments
Conflicts of Interest
Sample Availability
References
- Mensah, G.A.; Roth, G.A.; Fuster, V. The Global Burden of Cardiovascular Diseases and Risk Factors 2020 and Beyond. J. Am. Coll. Cardiol. 2019, 74, 2529–2532. [Google Scholar] [CrossRef] [PubMed]
- Leong, D.P.; Joseph, P.G.; McKee, M.; Anand, S.S.; Teo, K.K.; Schwalm, J.-D.; Yusuf, S. Reducing the Global Burden of Cardiovascular Disease, Part 2. Circ. Res. 2017, 121, 695–710. [Google Scholar] [CrossRef]
- Konstantinidis, K.; Whelan, R.S.; Kitsis, R.N. Mechanisms of Cell Death in Heart Disease. Arterioscler. Thromb. Vasc. Biol. 2012, 32, 1552–1562. [Google Scholar] [CrossRef] [PubMed]
- Portt, L.; Norman, G.; Clapp, C.; Greenwood, M.; Greenwood, M.T. Biochimica et Biophysica Acta Anti-Apoptosis and Cell Survival : A Review. BBA-Mol. Cell Res. 2011, 1813, 238–259. [Google Scholar] [CrossRef]
- Liu, H.-J.; Liao, H.-H.; Yang, Z.; Tang, Q.-Z. Peroxisome Proliferator-Activated Receptor-γ—Is Critical to Cardiac Fibrosis. PPAR Res. 2016, 2016, 2198645. [Google Scholar] [CrossRef]
- Fiordelisi, A.; Iaccarino, G.; Morisco, C.; Coscioni, E.; Sorriento, D. NfkappaB Is a Key Player in the Crosstalk between Inflammation and Cardiovascular Diseases. Int. J. Mol. Sci. 2019, 20, 1599. [Google Scholar] [CrossRef]
- Ghafouri-Fard, S.; Khanbabapour Sasi, A.; Hussen, B.M.; Shoorei, H.; Siddiq, A.; Taheri, M.; Ayatollahi, S.A. Interplay between PI3K/AKT Pathway and Heart Disorders. Mol. Biol. Rep. 2022, 49, 9767–9781. [Google Scholar] [CrossRef]
- Mohammadifard, N.; Humphries, K.H.; Gotay, C.; Mena-Sánchez, G.; Salas-Salvadó, J.; Esmaillzadeh, A.; Ignaszewski, A.; Sarrafzadegan, N. Trace Minerals Intake: Risks and Benefits for Cardiovascular Health. Crit. Rev. Food Sci. Nutr. 2019, 59, 1334–1346. [Google Scholar] [CrossRef]
- Tinggi, U. Selenium: Its Role as Antioxidant in Human Health. Environ. Health Prev. Med. 2008, 13, 102–108. [Google Scholar] [CrossRef]
- Benstoem, C.; Goetzenich, A.; Kraemer, S.; Borosch, S.; Manzanares, W.; Hardy, G.; Stoppe, C. Selenium and Its Supplementation in Cardiovascular Disease—What Do We Know? Nutrients 2015, 7, 3094–3118. [Google Scholar] [CrossRef]
- Gunes, S.; Sahinturk, V.; Karasati, P.; Sahin, I.K. Cardioprotective Effect of Selenium Against Cyclophosphamide-Induced Cardiotoxicity in Rats. Biol. Trace Elem. Res. 2017, 177, 107–114. [Google Scholar] [CrossRef] [PubMed]
- Yang, J.; Zhang, Y.; Hamid, S.; Cai, J.; Liu, Q.; Li, H.; Zhao, R.; Wang, H.; Xu, S.; Zhang, Z. Interplay between Autophagy and Apoptosis in Selenium Deficient Cardiomyocytes in Chicken. J. Inorg. Biochem. 2017, 170, 17–25. [Google Scholar] [CrossRef]
- Liu, H.; Huang, K. Selenium in the Prevention of Atherosclerosis and Its Underlying Mechanisms. Metallomics 2016, 9, 21–37. [Google Scholar] [CrossRef] [PubMed]
- Sofia, B.; Alessandro, D. Dietary Supplements and Cardiovascular Diseases. Int. J. Prev. Med. 2018, 9, 80. [Google Scholar] [CrossRef]
- Feng, C.; Li, D.; Chen, M.; Jiang, L.; Liu, X.; Li, Q.; Geng, C.; Sun, X.; Yang, G.; Zhang, L.; et al. Citreoviridin Induces Myocardial Apoptosis through PPAR-γ-MTORC2-Mediated Autophagic Pathway and the Protective Effect of Thiamine and Selenium. Chem.-Biol. Interact. 2019, 311, 108795. [Google Scholar] [CrossRef]
- Ren, H.; Mu, J.; Ma, J.; Gong, J.; Li, J.; Wang, J.; Gao, T.; Zhu, P.; Zheng, S.; Xie, J.; et al. Selenium Inhibits Homocysteine-Induced Endothelial Dysfunction and Apoptosis via Activation of AKT. Cell. Physiol. Biochem. 2016, 38, 871–882. [Google Scholar] [CrossRef]
- Liu, Q.; Cai, J.; Gao, Y.; Yang, J.; Gong, Y.; ZHang, Z. MiR-2954 Inhibits PI3K Signaling and Induces Autophagy and Apoptosis in Myocardium Selenium Deficiency. Cwllular Physiol. Biochem. 2018, 51, 778–792. [Google Scholar] [CrossRef]
- Manjunatha, S.; Shaik, A.H.; E., M.P.; Al Omar, S.Y.; Mohammad, A.; Kodidhela, L.D. Combined Cardio-Protective Ability of Syringic Acid and Resveratrol against Isoproterenol Induced Cardio-Toxicity in Rats via Attenuating NF-KB and TNF-α Pathways. Sci. Rep. 2020, 10, 3426. [Google Scholar] [CrossRef]
- Hu, W.; Zhao, C.; Hu, H.; Yin, S. Food Sources of Selenium and Its Relationship with Chronic Diseases. Nutrients 2021, 13, 1739. [Google Scholar] [CrossRef]
- Tangjaidee, P.; Swedlund, P.; Xiang, J.; Yin, H.; Quek, S.Y. Selenium-Enriched Plant Foods: Selenium Accumulation, Speciation, and Health Functionality. Front. Nutr. 2022, 9, 962312. [Google Scholar] [CrossRef]
- Alissa, E.M.; Bahijri, S.M.; Ferns, G.A. The Controversy Surrounding Selenium and Cardiovascular Disease : A Review of the Evidence. Med. Sci. Monit 2003, 9, 9–19. [Google Scholar]
- Richardson, S.M.; Siciliano, P.D.; Engle, T.E.; Larson, C.K.; Ward, T.L. Effect of Selenium Supplementation and Source on the Selenium Status of Horses 1. J. Anim. Sci. 2006, 84, 1742–1748. [Google Scholar] [CrossRef]
- Terra, S.; Gubert, P.; Puntel, B.; Rigon, C.; Matiko, M.; De Campos, A.; Salman, S.M.; Dornelles, L.; Silva, D.; Aschner, M.; et al. Protective Effects of Novel Organic Selenium Compounds against Oxidative Stress in the Nematode Caenorhabditis Elegans. Toxicol. Rep. 2015, 2, 961–967. [Google Scholar]
- Reyes, L.; Bishop, D.P.; Hawkins, C.L.; Rayner, B.S. Assessing the Efficacy of Dietary Selenomethionine Supplementation in the Setting of Cardiac Ischemia/Reperfusion Injury. Antioxidants 2019, 8, 546. [Google Scholar] [CrossRef]
- Zhang, Y.; Cartland, S.P.; Henriquez, R.; Patel, S.; Gammelgaard, B.; Flouda, K.; Hawkins, C.L.; Rayner, B.S. Selenomethionine Supplementation Reduces Lesion Burden, Improves Vessel Function and Modulates the Inflammatory Response within the Setting of Atherosclerosis. Redox Biol. 2020, 29, 101409. [Google Scholar] [CrossRef]
- Maseko, T.; Callahan, D.L.; Dunshea, F.R.; Doronila, A.; Kolev, S.D.; Ng, K. Chemical Characterisation and Speciation of Organic Selenium in Cultivated Selenium-Enriched Agaricus Bisporus. Food Chem. 2013, 141, 3681–3687. [Google Scholar] [CrossRef]
- Kurek, E.; Michalska-kacymirow, M.; Konopka, A.; Ko, O.; Tomiak, A. Searching for Low Molecular Weight Seleno-Compounds in Sprouts by Mass Spectrometry. Molecules 2020, 25, 2870. [Google Scholar] [CrossRef] [PubMed]
- Gupta, M. An Overview of Selenium Uptake, Metabolism, and Toxicity in Plants. Front. Plant Sci. 2017, 7, 2074. [Google Scholar] [CrossRef]
- White, P.J.; Bowen, H.C.; Parmaguru, P.; Fritz, M.; Spracklen, W.P.; Spiby, R.E.; Meacham, M.C.; Mead, A.; Harriman, M.; Trueman, L.J.; et al. Interactions between Selenium and Sulphur Nutrition in Arabidopsis Thaliana. J. Exp. Bot. 2004, 55, 1927–1937. [Google Scholar] [CrossRef] [PubMed]
- Ogra, Y.; Ishiwata, K.; Iwashita, Y.; Suzuki, K.T. Simultaneous Speciation of Selenium and Sulfur Species in Selenized Odorless Garlic (Allium Sativum L. Shiro) and Shallot (Allium Ascalonicum) by HPLC—Inductively Coupled Plasma-(Octopole Reaction System)-Mass Spectrometry and Electrospray Ioni. J. Chromatogr. 2005, 1093, 118–125. [Google Scholar] [CrossRef] [PubMed]
- Muslim, N.; Majid, A.M.S.A. Pithecellobium Jiringa: A Traditional Medicinal Herb. Webmed Cent. Complement. Med. 2010, 1, 1371. [Google Scholar]
- Omar, S.H. Organosulfur Compounds and Possible Mechanism of Garlic in Cancer. Saudi Pharm. J. 2010, 18, 51–58. [Google Scholar] [CrossRef] [PubMed]
- Asikin, Y.; Shikanai, T.; Wada, K. Volatile Aroma Components and MS-Based Electronic Nose Profiles of Dogfruit (Pithecellobium Jiringa) and Stink Bean (Parkia Speciosa). J. Adv. Res. 2017, 9, 79–85. [Google Scholar] [CrossRef] [PubMed]
- Heyne, K. Tumbuhan Berguna Indonesia. Badan Penelit. Dan Pengemb. Kehutan. Dep. Kehutan. 1987, 2, 1188–1189. [Google Scholar]
- Dernovics, M.; Lobinski, R. Identification of Anionic Selenium Species in Se-Rich Yeast by Electrospray QTOF MS/MS and Hybrid Linear Ion Trap/Orbitrap MS n W. Metallomics 2009, 1, 317–329. [Google Scholar] [CrossRef] [PubMed]
- Vonderheide, A.P.; Mounicou, S.; Meija, J.; Henry, H.F.; Caruso, J.A.; Shann, J.R. Investigation of Selenium-Containing Root Exudates of Brassica Juncea Using HPLC-ICP-MS and ESI-QTOF-MS. Analyst 2006, 131, 33–40. [Google Scholar] [CrossRef] [PubMed]
- Dumont, E.; Ogra, Y.; Vanhaecke, F.; Suzuki, K.T.; Cornelis, R. Liquid Chromatography-Mass Spectrometry (LC-MS): A Powerful Combination for Selenium Speciation in Garlic (Allium Sativum). Anal. Bioanal. Chem. 2006, 384, 1196–1206. [Google Scholar] [CrossRef]
- Kieliszek, M.; Blazejak, S. Speciation Analysis of Selenium in Candida Utilis Yeast Cells Using HPLC-ICP-MS and UHPLC-ESI-Orbitrap MS Techniques. Appl. Sci. 2018, 8, 2050. [Google Scholar] [CrossRef]
- Durham, E.; Dorr, B.; Woetzel, N.; Staritzbichler, R.; Meiler, J. Solvent Accessible Surface Area Approximations for Rapid and Accurate Protein Structure Prediction. J. Mol. Model. 2009, 15, 1093–1108. [Google Scholar] [CrossRef]
- Gloss, L.M. Chapter 14—Equilibrium and Kinetic Approaches for Studying Oligomeric Protein Folding. In Biothermodynamics, Part B; Academic Press: Cambridge, MA, USA, 2009; Volume 466, pp. 325–357. ISBN 0076-6879. [Google Scholar]
- Foster, L.H.; Sumar, S. Methods of Analysis Used for the Determination of Selenium in Milk and Infant Formulae: A Review. Food Chem. 1995, 53, 453–466. [Google Scholar] [CrossRef]
- Niedzielski, P.; Siepak, M. Analytical Methods for Determining Arsenic, Antimony and Selenium in Environmental Samples. Pol. J. Environ. Stud. 2003, 12, 653–667. [Google Scholar]
- Kulikov, A.U. Determination of Selenium(IV) in Pharmaceuticals and Premixes by Micellar Liquid Chromatography. J. Pharm. Biomed. Anal. 2007, 43, 1283–1289. [Google Scholar] [CrossRef] [PubMed]
- Pratiwi, R.; Shalihat, A.; Dewantisari, D.; Nafisah, R.A.; Yunita; Saputri, F.A.; Gozali, D.; Pamungkas, K.; Lesmana, R.; Koyama, H.; et al. Correlation Study between Gastronomy Culture and Content of Selenium towards Prevalence of Cardiovascular and Diabetes in West Java, Indonesia. J. Trace Elem. Med. Biol. 2021, 64, 126679. [Google Scholar] [CrossRef] [PubMed]
- Izgi, B. Determination of Selenium in Garlic (Allium Sativum) and Onion (Allium Cepa) by Electro Thermal Atomic Absorption Spectrometry. Food Chem. 2006, 99, 630–637. [Google Scholar] [CrossRef]
- Zagrodzki, P.; Wiesner, A.; Marcinkowska, M.; Jamrozik, M.; Domínguez-Álvarez, E.; Bierła, K.; Łobiński, R.; Szpunar, J.; Handzlik, J.; Galanty, A.; et al. Relationships between Molecular Characteristics of Novel Organic Selenium Compounds and the Formation of Sulfur Compounds in Selenium Biofortified Kale Sprouts. Molecules 2023, 28, 2062. [Google Scholar] [CrossRef]
- Pettem, C.M.; Weber, L.P.; Janz, D.M. Cardiac and Metabolic Effects of Dietary Selenomethionine Exposure in Adult Zebrafish. Toxicol. Sci. 2017, 159, 449–460. [Google Scholar] [CrossRef]
- Chen, H.-X.; Li, M.-Y.; Jiang, Y.-Y.; Hou, H.-T.; Wang, J.; Liu, X.-C.; Yang, Q.; He, G.-W. Role of the PPAR Pathway in Atrial Fibrillation Associated with Heart Valve Disease: Transcriptomics and Proteomics in Human Atrial Tissue. Signal Transduct. Target. Ther. 2020, 5, 4. [Google Scholar] [CrossRef]
- Zhou, D.; Qu, Z.; Wang, H.; Su, Y.; Wang, Y.; Zhang, W.; Wang, Z.; Xu, Q. The Effect of Hydroxy Safflower Yellow A on Coronary Heart Disease through Bcl-2/Bax and PPAR-γ. Exp. Ther. Med. 2018, 15, 520–526. [Google Scholar] [CrossRef]
- Nolte, R.T.; Wisely, G.B.; Westin, S.; Cobb, J.E.; Lambert, M.H.; Kurokawa, R.; Rosenfeld, M.G.; Willson, T.M.; Glass, C.K.; Milburn, M.V. Ligand Binding and Co-Activator Assembly of the Peroxisome Proliferator-Activated Receptor-Gamma. Nature 1998, 395, 137–143. [Google Scholar] [CrossRef]
- Ramírez, D.; Caballero, J. Is It Reliable to Take the Molecular Docking Top Scoring Position as the Best Solution without Considering Available Structural Data? Molecules 2018, 23, 1038. [Google Scholar] [CrossRef]
- Sauer, S. Ligands for the Nuclear Peroxisome Proliferator-Activated Receptor Gamma. Trends Pharmacol. Sci. 2015, 36, 688–704. [Google Scholar] [CrossRef] [PubMed]
- Garg, S.; Irfan, S.; Kumar, R.; Kumar, M.; Kumar, M.; Kaur, P.; Chandra, T.; Bhatia, J.; Singh, D. The Molecular Mechanism Involved in Cardioprotection by the Dietary Flavonoid Fisetin as an Agonist of PPAR-γ in a Murine Model of Myocardial Infarction. Arch. Biochem. Biophys. 2020, 694, 108572. [Google Scholar] [CrossRef] [PubMed]
- Domracheva, I.; Kanepe-Lapsa, I.; Jackevica, L.; Vasiljeva, J.; Arsenyan, P. Selenopheno Quinolinones and Coumarins Promote Cancer Cell Apoptosis by ROS Depletion and Caspase-7 Activation. Life Sci. 2017, 186, 92–101. [Google Scholar] [CrossRef] [PubMed]
- Martínez, L. Automatic Identification of Mobile and Rigid Substructures in Molecular Dynamics Simulations and Fractional Structural Fluctuation Analysis. PLoS ONE 2015, 10, e0119264. [Google Scholar] [CrossRef] [PubMed]
- Damjanović, A.; Brooks, B.R.; García-Moreno, E.B. Conformational Relaxation and Water Penetration Coupled to Ionization of Internal Groups in Proteins. J. Phys. Chem. A 2011, 115, 4042–4053. [Google Scholar] [CrossRef]
- Haygarth, P.M.; Rowland, A.P.; Stürup, S.; Jones, K.C. Comparison of Instrumental Methods for the Determination of Total Selenium in Environmental Samples. Analyst 1993, 118, 1303–1308. [Google Scholar] [CrossRef]
- Jain, A.N.; Nicholls, A. Recommendations for Evaluation of Computational Methods. J. Comput.-Aided Mol. Des. 2008, 22, 133–139. [Google Scholar] [CrossRef]
- Abraham, M.J.; Murtola, T.; Schulz, R.; Páll, S.; Smith, J.C.; Hess, B.; Lindah, E. Gromacs: High Performance Molecular Simulations through Multi-Level Parallelism from Laptops to Supercomputers. SoftwareX 2015, 1–2, 19–25. [Google Scholar] [CrossRef]
- Mark, P.; Nilsson, L. Structure and Dynamics of the TIP3P, SPC, and SPC/E Water Models at 298 K. J. Phys. Chem. A 2001, 105, 9954–9960. [Google Scholar] [CrossRef]
- Essmann, U.; Perera, L.; Berkowitz, M.L.; Darden, T.; Lee, H.; Pedersen, L.G. A Smooth Particle Mesh Ewald Method. J. Chem. Phys. 1995, 103, 8577–8593. [Google Scholar] [CrossRef]
- Al-Mubarak, A.A.; van der Meer, P.; Bomer, N. Selenium, Selenoproteins, and Heart Failure: Current Knowledge and Future Perspective. Curr. Heart Fail. Rep. 2021, 18, 122–131. [Google Scholar] [CrossRef] [PubMed]
- An, P.; Wan, S.; Luo, Y.; Luo, J.; Zhang, X.; Zhou, S.; Xu, T.; He, J.; Mechanick, J.I.; Wu, W.-C.; et al. Micronutrient Supplementation to Reduce Cardiovascular Risk. J. Am. Coll. Cardiol. 2022, 80, 2269–2285. [Google Scholar] [CrossRef] [PubMed]
- Jenkins, D.J.A.; Kitts, D.; Giovannucci, E.L.; Sahye-Pudaruth, S.; Paquette, M.; Blanco Mejia, S.; Patel, D.; Kavanagh, M.; Tsirakis, T.; Kendall, C.W.C.; et al. Selenium, Antioxidants, Cardiovascular Disease, and All-Cause Mortality: A Systematic Review and Meta-Analysis of Randomized Controlled Trials. Am. J. Clin. Nutr. 2020, 112, 1642–1652. [Google Scholar] [CrossRef] [PubMed]
- Adadi, P.; Barakova, N.V.; Muravyov, K.Y.; Krivoshapkina, E.F. Designing Selenium Functional Foods and Beverages: A Review. Food Res. Int. 2019, 120, 708–725. [Google Scholar] [CrossRef]
- Dobrzyńska, M.; Drzymała-Czyż, S.; Woźniak, D.; Drzymała, S.; Przysławski, J. Natural Sources of Selenium as Functional Food Products for Chemoprevention. Foods 2023, 12, 1247. [Google Scholar] [CrossRef] [PubMed]










| City or Regency | Se Content (ng/g) | SD |
|---|---|---|
| Kabupaten Bandung Barat | 48 | 24.1 |
| Kabupaten Kuningan | 44.1 | 10.9 |
| Kota Banjar | 246.9 | 19 |
| Kota Bogor | 27.3 | 23.9 |
| Kabupaten Purwakarta | 264 | 31.1 |
| Kabupaten Subang | 498 | 66.6 |
| Kabupaten Sukabumi | 298.2 | 15.2 |
| Kabupaten Garut | 161.8 | 25.6 |
| Kota Cimahi | 35.0 | 6.5 |
| Kota Bandung | 92.1 | 9.7 |
| Kota Tasikmalaya | 74.9 | 51.2 |
| Kabupaten Tasikmalaya | 341.4 | 3.3 |
| Kabupaten Bekasi | 133.9 | 44.7 |
| Kabupaten Sumedang | 187.7 | 86.0 |
| Code | Fraction | Intensity | Se Concentration (µmol/L) |
|---|---|---|---|
| 0 | 0–10 | 19,280 | 0.09648 |
| A | 10–20 | 31,105 | 0.45070 |
| B | 20–30 | 40,453 | 0.70181 |
| C | 30–40 | 15,393 | −0.02825 |
| Fraction | Molecular Weight (m/z) | Retention Time | Molecular Formula | Organic Se | Reference |
|---|---|---|---|---|---|
| A | 198 | 0.95 | C5 H12NO2Se | selenomethionine (C5H12O2Nse+) | [27,38] |
| 313 | 19.14 | (−) | gamma-GluMetSeCys (C9H17O5N2Se+) | [27] | |
| 609 | 16.36 | C26H53N6O5Se | (−) | ||
| 475 | 16.36 | C18 H43N4O5Se | C13H23O8N4Sse+ | [27] | |
| B1 | 181 | 1.31 | C3H9N4Se | C5H9O2Se+ | [27] |
| 223 | 1.31 | C5H11N4Ose | C6H10NO3Se+ | [35] | |
| 267 | 2.3 | C12H15N2Se | (−) | ||
| B2 | 384 | 1.05 | C13H5N4O9Se | (−) | |
| 265 | 1.05 | C2H13N6O4Se | (−) | ||
| 779 | 6.88 | C34H63N14O2Se | (−) | ||
| 761 | 7.24 | C38H64N7O4Se | (−) |
| Code | Compound | Binding Energy (kkal/mol) | Hydrogen Bond Distance (Ǻ) | H-Bond Interactions | Nearest Amino Acid Residue(s) | Other Interactions |
|---|---|---|---|---|---|---|
| N | Native ligand | −9.37 | 2.17, 1.94, and 2.20 | CYS285, SER289, and HIS323 | SER289, CYS285, HIS323, ARG288 | PHE282, PHE363, GLY284, TYR327, TYR473, LYS367, LEU330, LEU453, LEU465, LEU469, GLN286, HIS323, HIS449, ILE326, ALA292, ARG288, MET364 |
| Se01 | Selenomethionine | −3.99 | 2.11, 2.48, and 2.83 | TYR327, MET364, and LYS367 | TYR327, MET364, LYS367, PHE282 | LEU330, LEU 469, GLN286, PHE282, PHE363, SER289, HIS323, HIS449, CYS285 |
| Se02 | Gamma-GluMetSeCys | −4.4 | 3.32 | HIS449 | HIS323, HIS449 | LEU330, LEU453, LEU465, LEU469, PHE282, PHE363, TYR327, TYR473, HIS323, CYS285, SER289, GLN286, ARG288, ILE326, LYS367 |
| Se03 | Se-S conjugate of the cysteine-selenoglutathione | −3.32 | 1.96, 1.96, 2.12, and 2.70 | GLY284, SER342, ILE326, SER289 | GLY284, SER342, ILE326, SER289, CYS285 | ILE325, ILE341, LEU330, LEU333, LEU340, MET329, MET334, MET364, PHE363, LYS367, TYR327, GLN286, VAL339, CYS285, ALA292, ARG288 |
| Code | Compound | Binding Energy (kkal/mol) | Hydrogen Bond Distance (Ǻ) | H-Bond Interactions | Nearest Amino Acid Residue (s) | Other Interactions |
|---|---|---|---|---|---|---|
| N | Native ligand | −8.7 | 1.82 | VAL882 | VAL882, TYR867 | MET804, ILE831, TYR867, ILE879, ILE963MET953 |
| Se01 | Selenomethionine | −4.5 | 2.65 and 1.59 | LYS807 and ASP950 | SER806, LYS807, and ASP950 | MET804, ALA805, SER806, PRO810, ASN951 |
| Se02 | Gamma-GluMetSeCys | −5.04 | 2.06, 1.70, 1.77 | THR887, LYS890, and ASP950 | THR887, LYS890, ASP950, and ILE831 | MET804, SER806, LYS807, TRP812, ILE831, ILE879, ASN951, MET958, ILE963 |
| Se03 | Se-S conjugate of cysteine-selenoglutathione | −4.67 | 2.47, 1.93, and 1.83 | MET804, LYS890, and ASP950 | ASP950, LYS890, MET804, LYS833 | SER806, PRO810, TRP812, ILE831, LYS833, ILE879, THR887, ILE963 |
| Code | Compound | Binding Energy (kkal/mol) | Hydrogen Bond Distance (Ǻ) | Interactions H-Bond | Nearest Amino Acid Residue(s) | Other Interactions |
|---|---|---|---|---|---|---|
| N | Native ligand | −9.71 | 1.86 and 1.82 | GLU440 and GLU470 | GLU440, GLU470, ILE467 | PHE535, LYS429, CYS444, ILE467, LEU522, VAL414, CYS533, LEU472, PRO454, VAL453, ALA427, LEU471, GLY536, GLY475, GLY409, ASP534, ARG408, SER476 |
| Se01 | Selenomethionine | −4.86 | 2.00, 1.78, and 2.19 | LEU406, ARG408, and ARG416 | ALA427, ARG408, LEU406, ARG416 | GLY 407, HIS415, ARG405, VAL414, LEU472, ALA427, LEU471 |
| Se02 | Gamma-GluMetSeCys | −5.27 | 3.07, 1.85, and 2.85 | ARG416, LEU472, and CYS533 | LEU472, CYS533, ARG416, ARG408 | ALA427, VAL414, LEU471, HIS415, LEU406, GLY475, MET469, LEU522, VAL453, ARG405, ARG408 |
| Se03 | Se-S conjugate of cysteine-selenoglutathione | −5.56 | 1.99, 3.32, 1.99, 2.62, 2.10, and 2.36 | GLU470, CYS533, ASN520, ASP519, GLN479, and ARG408 | ASN520, GLU470, GLN479 | VAL 453, MET 469, ALA427, GLY475, LEU522, LEU472, ARG416, GLU413, ASP534, SER410, LEU471, SER476, GLY409, VAL414 |
| Receptor | Ligand | Van Der Waals Energy (KJ/mol) | Electrostatic Energy (KJ/mol) | Polar Solvation Energy (KJ/mol) | SASA Energy (KJ/mol) | Total Binding Energy (KJ/mol) |
|---|---|---|---|---|---|---|
| PPAR-γ | Native ligand | −139.618 ± 11.007 | −34.531 ± 25.211 | 120.493 ± 26.547 | −15.909 ± 0.639 | −69.565 ± 13.830 |
| Se02 | −255.404 ± 11.487 | −50.584 ± 9.711 | 201.318 ± 17.740 | −25.249 ± 0.837 | −129.919 ± 17.381 | |
| PI3K | Native ligand | −85.492 ± 18.675 | −98.064 ± 57.119 | 176.346 ± 74.158 | −12.801 ± 2.094 | −20.011 ± 23.103 |
| Se02 | −182.499 ± 19.445 | −30.823 ± 24.734 | 150.574 ± 47.547 | −20.019 ± 1.483 | −82.767 ± 21.369 | |
| NF-ΚB | Native ligand | −139.618 ± 11.007 | −34.531 ± 25.211 | 120.493 ± 26.547 | −15.909 ± 0.639 | −69.565 ± 13.830 |
| Se03 | −238.397 ± 15.323 | −55.390 ± 18.886 | 219.017 ± 26.684 | −24.322 ± 1.095 | −99.091 ± 17.208 |
| T (min) | % ACN | % Water | Gradient Steepness (%/min) |
|---|---|---|---|
| 0 | 5 | 95 | 1 |
| 5 | 5 | 95 | 1 |
| 30 | 95 | 5 | 1 |
| 35 | 95 | 5 | 1 |
| 38 | 5 | 95 | 1 |
| 40 | 5 | 95 | 1 |
| No. | IUPAC Name | Structure |
|---|---|---|
| 1. | Compound Se01 Selenomethionine (SeMet) | ![]() |
| 2. | Compound Se02 Glutamyl-glycinyl-N-2,3-DHP-selenocysteine (Gamma-Glu-MetSeCys) | ![]() |
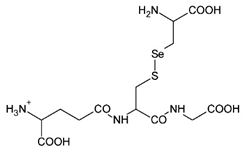
| 3. | Compound Se03 Se-S conjugate of cysteine-selenoglutathione | ![]() |
Disclaimer/Publisher’s Note: The statements, opinions and data contained in all publications are solely those of the individual author(s) and contributor(s) and not of MDPI and/or the editor(s). MDPI and/or the editor(s) disclaim responsibility for any injury to people or property resulting from any ideas, methods, instructions or products referred to in the content. |
© 2023 by the authors. Licensee MDPI, Basel, Switzerland. This article is an open access article distributed under the terms and conditions of the Creative Commons Attribution (CC BY) license (https://creativecommons.org/licenses/by/4.0/).
Share and Cite
Shalihat, A.; Lesmana, R.; Hasanah, A.N.; Mutakin, M. Selenium Organic Content Prediction in Jengkol (Archidendron pauciflorum) and Its Molecular Interaction with Cardioprotection Receptors PPAR-γ, NF-κB, and PI3K. Molecules 2023, 28, 3984. https://doi.org/10.3390/molecules28103984
Shalihat A, Lesmana R, Hasanah AN, Mutakin M. Selenium Organic Content Prediction in Jengkol (Archidendron pauciflorum) and Its Molecular Interaction with Cardioprotection Receptors PPAR-γ, NF-κB, and PI3K. Molecules. 2023; 28(10):3984. https://doi.org/10.3390/molecules28103984
Chicago/Turabian StyleShalihat, Ayu, Ronny Lesmana, Aliya Nur Hasanah, and Mutakin Mutakin. 2023. "Selenium Organic Content Prediction in Jengkol (Archidendron pauciflorum) and Its Molecular Interaction with Cardioprotection Receptors PPAR-γ, NF-κB, and PI3K" Molecules 28, no. 10: 3984. https://doi.org/10.3390/molecules28103984
APA StyleShalihat, A., Lesmana, R., Hasanah, A. N., & Mutakin, M. (2023). Selenium Organic Content Prediction in Jengkol (Archidendron pauciflorum) and Its Molecular Interaction with Cardioprotection Receptors PPAR-γ, NF-κB, and PI3K. Molecules, 28(10), 3984. https://doi.org/10.3390/molecules28103984




