Nitrogen-Rich Porous Organic Polymers from an Irreversible Amine–Epoxy Reaction for Pd Nanocatalyst Carrier
Abstract
1. Introduction
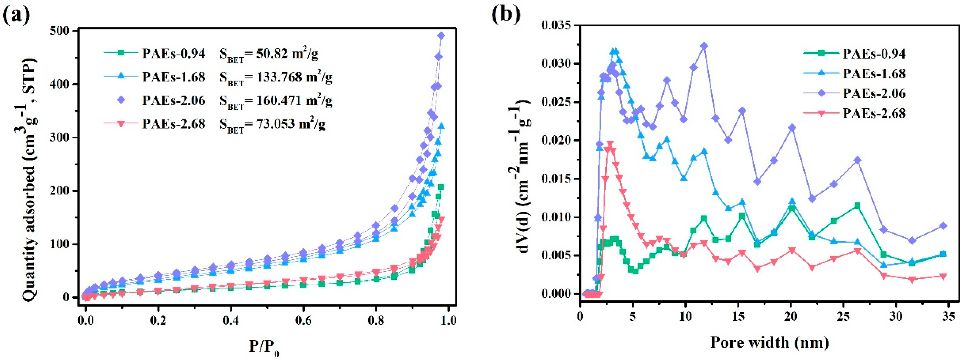
2. Results and Discussion
3. Materials and Methods
3.1. Reagents
3.2. Preparation of PAEs
3.3. Immobilization of Pd Nanoparticles on PAEs
3.4. Characterization
4. Conclusions
Author Contributions
Funding
Institutional Review Board Statement
Informed Consent Statement
Data Availability Statement
Conflicts of Interest
Sample Availability
References
- Bennett, T.D.; Coudert, F.-X.; James, S.L.; Cooper, A.I. The changing state of porous materials. Nat. Mater. 2021, 20, 1179–1187. [Google Scholar] [CrossRef] [PubMed]
- Patra, B.C.; Khilari, S.; Satyanarayana, L.; Pradhan, D.; Bhaumik, A. A new benzimidazole based covalent organic polymer having high energy storage capacity. Chem. Commun. 2016, 52, 7592–7595. [Google Scholar] [CrossRef] [PubMed]
- Kim, J.H.; Kang, D.W.; Yun, H.; Kang, M.; Singh, N.; Kim, J.S.; Hong, C.S. Post-synthetic modifications in porous organic polymers for biomedical and related applications. Chem. Soc. Rev. 2022, 51, 43–56. [Google Scholar] [CrossRef]
- Kundu, S.K.; Bhaumik, A. Pyrene-Based Porous Organic Polymers as Efficient Catalytic Support for the Synthesis of Biodiesels at Room Temperature. ACS Sustain. Chem. Eng. 2015, 3, 1715–1723. [Google Scholar] [CrossRef]
- Zhang, L.; Wang, R.; Liu, Z.; Wan, J.; Zhang, S.; Wang, S.; Hua, K.; Liu, X.; Zhou, X.; Luo, X.; et al. Porous Organic Polymer with Hierarchical Structure and Limited Volume Expansion for Ultrafast and Highly Durable Sodium Storage. Adv. Mater. 2023, 35, e2210082. [Google Scholar] [CrossRef]
- Zhao, X.; Liu, Z.; Zhang, S.; Hassan, M.; Ma, C.; Liu, Z.; Gong, W. Synthesis of Pillar[5]arene- and Phosphazene-Linked Porous Organic Polymers for Highly Efficient Adsorption of Uranium. Molecules 2023, 28, 1029. [Google Scholar] [CrossRef]
- Xu, S.; He, J.; Jin, S.; Tan, B. Heteroatom-rich porous organic polymers constructed by benzoxazine linkage with high carbon dioxide adsorption affinity. J. Colloid Interface Sci. 2018, 509, 457–462. [Google Scholar] [CrossRef] [PubMed]
- Yadav, D.; Subodh; Awasthi, S.K. Recent advances in the design, synthesis and catalytic applications of triazine-based covalent organic polymers. Mater. Chem. Front. 2022, 6, 1574–1605. [Google Scholar] [CrossRef]
- Luo, R.; Xu, W.; Chen, M.; Liu, X.; Fang, Y.; Ji, H. Covalent Triazine Frameworks Obtained from Nitrile Monomers for Sustainable CO2 Catalysis. Chemsuschem 2020, 13, 6509–6522. [Google Scholar] [CrossRef] [PubMed]
- Feng, L.; Wang, K.-Y.; Day, G.S.; Ryder, M.R.; Zhou, H.-C. Destruction of Metal-Organic Frameworks: Positive and Negative Aspects of Stability and Lability. Chem. Rev. 2020, 120, 13087–13133. [Google Scholar] [CrossRef]
- Liu, X.; Liu, C.F.; Xu, S.; Cheng, T.; Wang, S.; Lai, W.Y.; Huang, W. Porous organic polymers for high-performance supercapacitors. Chem. Soc. Rev. 2022, 51, 3181–3225. [Google Scholar] [CrossRef] [PubMed]
- Liu, M.; Liu, Y.; Dong, J.; Bai, Y.; Gao, W.; Shang, S.; Wang, X.; Kuang, J.; Du, C.; Zou, Y.; et al. Two-dimensional covalent organic framework films prepared on various substrates through vapor induced conversion. Nat. Commun. 2022, 13, 1411. [Google Scholar] [CrossRef] [PubMed]
- Machado, T.F.; Serra, M.E.S.; Murtinho, D.; Valente, A.J.M.; Naushad, M. Covalent Organic Frameworks: Synthesis, Properties and Applications-An Overview. Polymers 2021, 13, 970. [Google Scholar] [CrossRef] [PubMed]
- Wu, D.; Xu, F.; Sun, B.; Fu, R.; He, H.; Matyjaszewski, K. Design and Preparation of Porous Polymers. Chem. Rev. 2012, 112, 3959–4015. [Google Scholar] [CrossRef]
- Shi, R.; Liu, L.; Lu, Y.; Wang, C.; Li, Y.; Li, L.; Yan, Z.; Chen, J. Nitrogen-rich covalent organic frameworks with multiple carbonyls for high-performance sodium batteries. Nat. Commun. 2020, 11, 178. [Google Scholar] [CrossRef] [PubMed]
- Abdelmoaty, Y.H.; Tessema, T.D.; Choudhury, F.A.; El-Kadri, O.M.; El-Kaderi, H.M. Nitrogen-Rich Porous Polymers for Carbon Dioxide and Iodine Sequestration for Environmental Remediation. ACS Appl. Mater. Interfaces 2018, 10, 16049–16058. [Google Scholar] [CrossRef]
- Kundu, S.K.; Bhaumik, A. A triazine-based porous organic polymer: A novel heterogeneous basic organocatalyst for facile one-pot synthesis of 2-amino-4H-chromenes. RSC Adv. 2015, 5, 32730–32739. [Google Scholar] [CrossRef]
- Zhang, B.; Wei, M.; Mao, H.; Pei, X.; Alshmimri, S.A.; Reimer, J.A.; Yaghi, O.M. Crystalline Dioxin-Linked Covalent Organic Frameworks from Irreversible Reactions. J. Am. Chem. Soc. 2018, 140, 12715–12719. [Google Scholar] [CrossRef]
- Geng, K.; He, T.; Liu, R.; Dalapati, S.; Tan, K.T.; Li, Z.; Tao, S.; Gong, Y.; Jiang, Q.; Jiang, D. Covalent organic frameworks: Design, synthesis, and functions. Chem. Rev. 2020, 120, 8814–8933. [Google Scholar] [CrossRef]
- Diercks, C.S.; Yaghi, O.M. The atom, the molecule, and the covalent organic framework. Science 2017, 355, eaal1585. [Google Scholar] [CrossRef]
- Wu, J.; Xu, F.; Li, S.; Ma, P.; Zhang, X.; Liu, Q.; Fu, R.; Wu, D. Porous Polymers as Multifunctional Material Platforms toward Task-Specific Applications. Adv. Mater. 2019, 31, 1802922. [Google Scholar] [CrossRef] [PubMed]
- Han, J.; Yue, Y.; Wu, Q.; Huang, C.; Pan, H.; Zhan, X.; Mei, C.; Xu, X. Effects of nanocellulose on the structure and properties of poly(vinyl alcohol)-borax hybrid foams. Cellulose 2017, 24, 4433–4448. [Google Scholar] [CrossRef]
- Yan, J.; Liu, Z.; Sun, H.; Tong, S.; Guo, S. A facile one-pot preparation of porphyrin-based microporous organic polymers for adsorption of carbon dioxide, ethane, and methane. New J. Chem. 2022, 46, 19401–19406. [Google Scholar] [CrossRef]
- Haase, F.; Lotsch, B.V. Solving the COF trilemma: Towards crystalline, stable and functional covalent organic frameworks. Chem. Soc. Rev. 2020, 49, 8469–8500. [Google Scholar] [CrossRef]
- Yuan, J.; You, X.; Khan, N.A.; Li, R.; Zhang, R.; Shen, J.; Cao, L.; Long, M.; Liu, Y.; Xu, Z.; et al. Photo-tailored heterocrystalline covalent organic framework membranes for organics separation. Nat. Commun. 2022, 13, 3826. [Google Scholar] [CrossRef]
- Guan, X.; Li, H.; Ma, Y.; Xue, M.; Fang, Q.; Yan, Y.; Valtchev, V.; Qiu, S. Chemically Stable Polyarylether-Based Covalent Organic Frameworks. Nat. Chem. 2019, 11, 587–594. [Google Scholar] [CrossRef]
- Zhou, D.; Tan, X.; Wu, H.; Tian, L.; Li, M. Synthesis of C-C Bonded Two-Dimensional Conjugated Covalent Organic Framework Films by Suzuki Polymerization on a Liquid-Liquid Interface. Angew. Chem.-Int. Ed. 2018, 58, 1376–1381. [Google Scholar] [CrossRef]
- Wilfong, W.C.; Kai, B.W.; Bank, T.L.; Howard, B.H.; Gray, M.L. Recovering Rare Earth Elements from Aqueous Solution with Porous Amine-Epoxy Networks. ACS Appl. Mater. Interfaces 2017, 9, 18283–18294. [Google Scholar] [CrossRef] [PubMed]
- Aslam, M.; Fozia, F.; Gul, A.; Ahmad, I.; Ullah, R.; Bari, A.; Mothana, R.A.; Hussain, H. Phyto-Extract-Mediated Synthesis of Silver Nanoparticles Using Aqueous Extract of Sanvitalia procumbens, and Characterization, Optimization and Photocatalytic Degradation of Azo Dyes Orange G and Direct Blue-15. Molecules 2021, 26, 6144. [Google Scholar] [CrossRef]
- Abdollahi, H.; Salimi, A.; Barikani, M.; Samadi, A.; Hosseini Rad, S.; Zanjanijam, A.R. Systematic investigation of mechanical properties and fracture toughness of epoxy networks: Role of the polyetheramine structural parameters. J. Appl. Polym. Sci. 2019, 136, 47121. [Google Scholar] [CrossRef]
- Beuerle, F.; Gole, B. Covalent Organic Frameworks and Cage Compounds: Design and Applications of Polymeric and Discrete Organic Scaffolds. Angew. Chem.-Int. Ed. 2018, 57, 4850–4878. [Google Scholar] [CrossRef] [PubMed]
- Alsbaiee, A.; Smith, B.J.; Xiao, L.; Ling, Y.; Helbling, D.E.; Dichtel, W.R. Rapid removal of organic micropollutants from water by a porous beta-cyclodextrin polymer. Nature 2016, 529, 190–194. [Google Scholar] [CrossRef] [PubMed]
- Hara, A.; Inoue, R.; Takahashi, N.; Nishida, K.; Kanaya, T. Trajectory of Critical Point in Polymerization-Induced Phase Separation of Epoxy/Oligoethylene Glycol Solutions. Macromolecules 2014, 47, 4453–4459. [Google Scholar] [CrossRef]
- Oseghe, E.O.; Msagati, T.A.M.; Mamba, B.B.; Ofomaja, A.E. An efficient and stable narrow bandgap carbon dot-brookite composite over other CD-TiO2 polymorphs in rhodamine B degradation under LED light. Ceram. Int. 2019, 45, 14173–14181. [Google Scholar] [CrossRef]
- Li, X.; Zhang, C.; Cai, S.; Lei, X.; Altoe, V.; Hong, F.; Urban, J.J.; Ciston, J.; Chan, E.M.; Liu, Y. Facile transformation of imine covalent organic frameworks into ultrastable crystalline porous aromatic frameworks. Nat. Commun. 2018, 9, 2998. [Google Scholar] [CrossRef] [PubMed]
- Ding, Y.; Sun, W.; Yang, W.; Li, Q. Formic acid as the in-situ hydrogen source for catalytic reduction of nitrate in water by PdAg alloy nanoparticles supported on amine-functionalized SiO2. Appl. Catal. B-Environ. 2017, 203, 372–380. [Google Scholar] [CrossRef]
- Chiriac, A.-P.; Damaceanu, M.-D. A novel approach towards crown-ether modified polyimides with affinity for alkali metal ions recognition. J. Mol. Liq. 2021, 322, 114929. [Google Scholar] [CrossRef]
- Dong, F.; Guo, W.; Park, S.-K.; Ha, C.-S. Controlled synthesis of novel cyanopropyl polysilsesquioxane hollow spheres loaded with highly dispersed Au nanoparticles for catalytic applications. Chem. Commun. 2012, 48, 1108–1110. [Google Scholar] [CrossRef]











| Code | R | d | R2/Ri2 | N | h | k | l | |
|---|---|---|---|---|---|---|---|---|
| /(1/nm) | /nm | Calculated | Rounded | |||||
| PAEs-0.94 | 4.47 | 0.22 | 1 | 1 | 1 | 1 | 0 | 0 |
| 7.56 | 0.13 | 2.87 | 2.87 | 3 | 1 | 1 | 0 | |
| 8.94 | 0.11 | 4.01 | 4.01 | 4 | 2 | 0 | 0 | |
| 13.42 | 0.07 | 9.03 | 9.03 | 9 | 3 | 0 | 0 | |
| PAEs-1.68 | 4.44 | 0.23 | 1 | 1 | 1 | 1 | 0 | 0 |
| 7.27 | 0.14 | 2.69 | 2.69 | 3 | 1 | 1 | 0 | |
| 8.97 | 0.11 | 4.09 | 4.09 | 4 | 2 | 0 | 0 | |
| PAEs-2.06 | 3.57 | 0.28 | 1.08 | 4.31 | 4 | 2 | 0 | 0 |
| 4.63 | 0.22 | 1.81 | 7.23 | 7 | 2 | 1 | 0 | |
| 5.29 | 0.19 | 2.36 | 9.45 | 9 | 3 | 0 | 0 | |
| 6.21 | 0.16 | 3.26 | 13.03 | 13 | 3 | 1 | 0 | |
| 7.4 | 0.14 | 4.63 | 18.51 | 19 | 3 | 2 | 0 | |
| 7.87 | 0.13 | 5.23 | 20.91 | 21 | 4 | 1 | 0 | |
| 9.07 | 0.11 | 6.95 | 27.82 | 28 | 4 | 2 | 0 | |
| 10.75 | 0.09 | 9.76 | 39.06 | 39 | 5 | 2 | 0 | |
| PAEs-2.68 | 2.99 | 0.33 | 1 | 3 | 3 | 1 | 1 | 0 |
| 3.3 | 0.3 | 1.22 | 3.7 | 4 | 2 | 0 | 0 | |
| 3.34 | 0.3 | 1.25 | 3.7 | 4 | −2 | 0 | 0 | |
| 4.5 | 0.22 | 2.27 | 6.8 | 7 | −2 | −1 | 0 | |
Disclaimer/Publisher’s Note: The statements, opinions and data contained in all publications are solely those of the individual author(s) and contributor(s) and not of MDPI and/or the editor(s). MDPI and/or the editor(s) disclaim responsibility for any injury to people or property resulting from any ideas, methods, instructions or products referred to in the content. |
© 2023 by the authors. Licensee MDPI, Basel, Switzerland. This article is an open access article distributed under the terms and conditions of the Creative Commons Attribution (CC BY) license (https://creativecommons.org/licenses/by/4.0/).
Share and Cite
Li, A.; Dong, F.; Xiong, Y. Nitrogen-Rich Porous Organic Polymers from an Irreversible Amine–Epoxy Reaction for Pd Nanocatalyst Carrier. Molecules 2023, 28, 4731. https://doi.org/10.3390/molecules28124731
Li A, Dong F, Xiong Y. Nitrogen-Rich Porous Organic Polymers from an Irreversible Amine–Epoxy Reaction for Pd Nanocatalyst Carrier. Molecules. 2023; 28(12):4731. https://doi.org/10.3390/molecules28124731
Chicago/Turabian StyleLi, Ailing, Fuping Dong, and Yuzhu Xiong. 2023. "Nitrogen-Rich Porous Organic Polymers from an Irreversible Amine–Epoxy Reaction for Pd Nanocatalyst Carrier" Molecules 28, no. 12: 4731. https://doi.org/10.3390/molecules28124731
APA StyleLi, A., Dong, F., & Xiong, Y. (2023). Nitrogen-Rich Porous Organic Polymers from an Irreversible Amine–Epoxy Reaction for Pd Nanocatalyst Carrier. Molecules, 28(12), 4731. https://doi.org/10.3390/molecules28124731

