Effects of Chitosan and Cellulose Derivatives on Sodium Carboxymethyl Cellulose-Based Films: A Study of Rheological Properties of Film-Forming Solutions
Abstract
1. Introduction
2. Results and Discussion
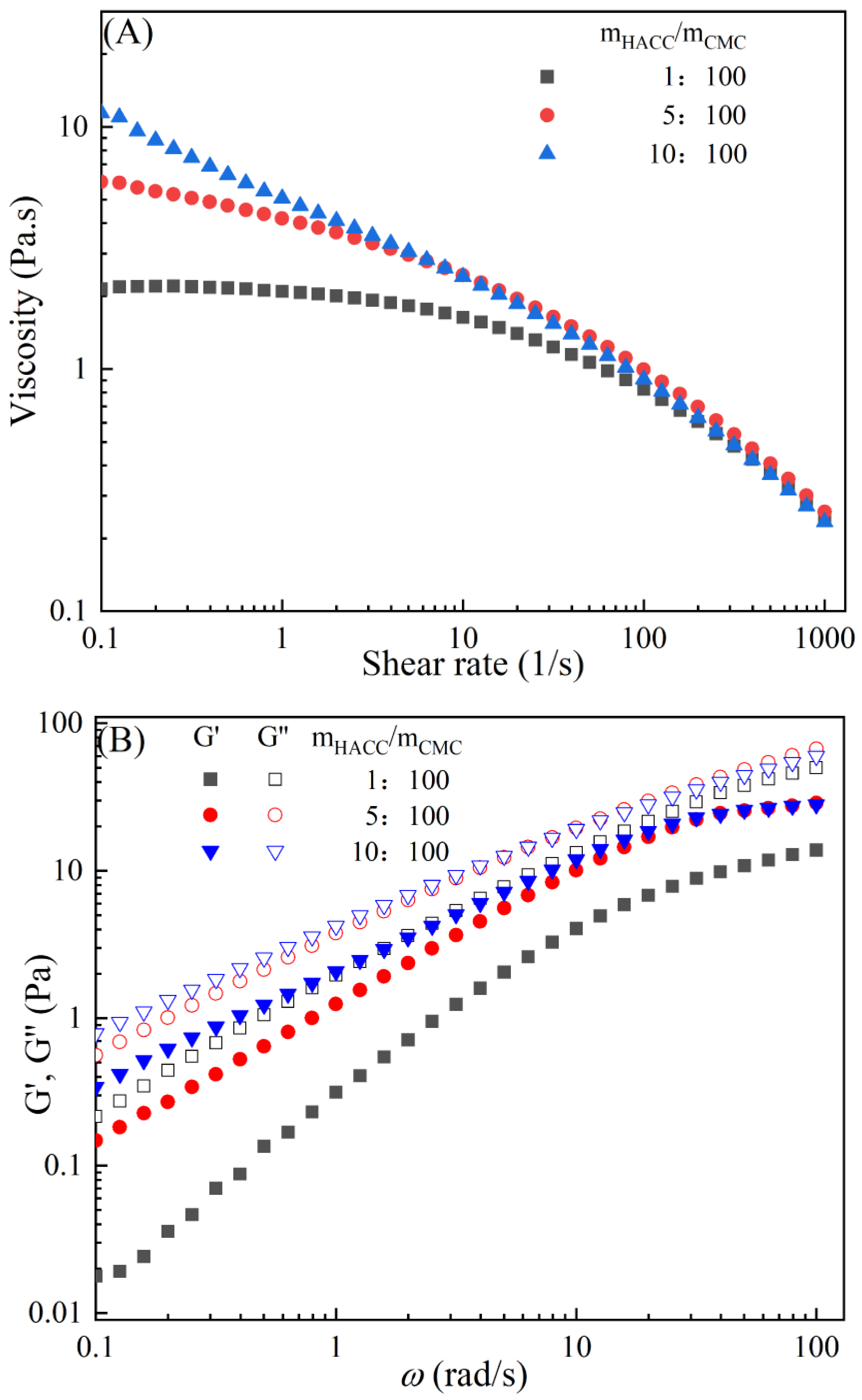
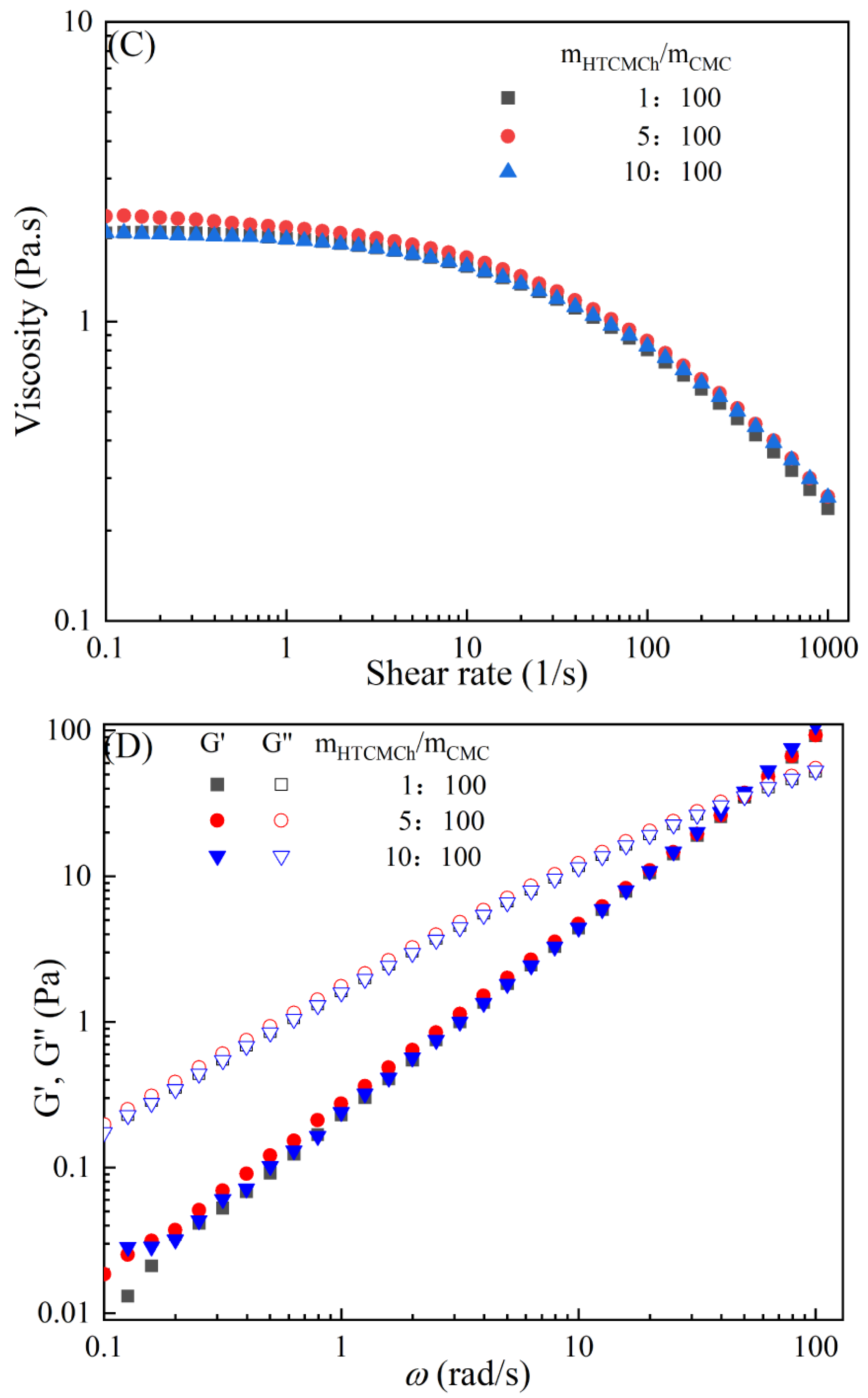
2.1. Effect of Chitosan and Cellulose Derivative Structures on Rheological Properties
2.2. Effect of Derivative Concentration on Rheological Properties
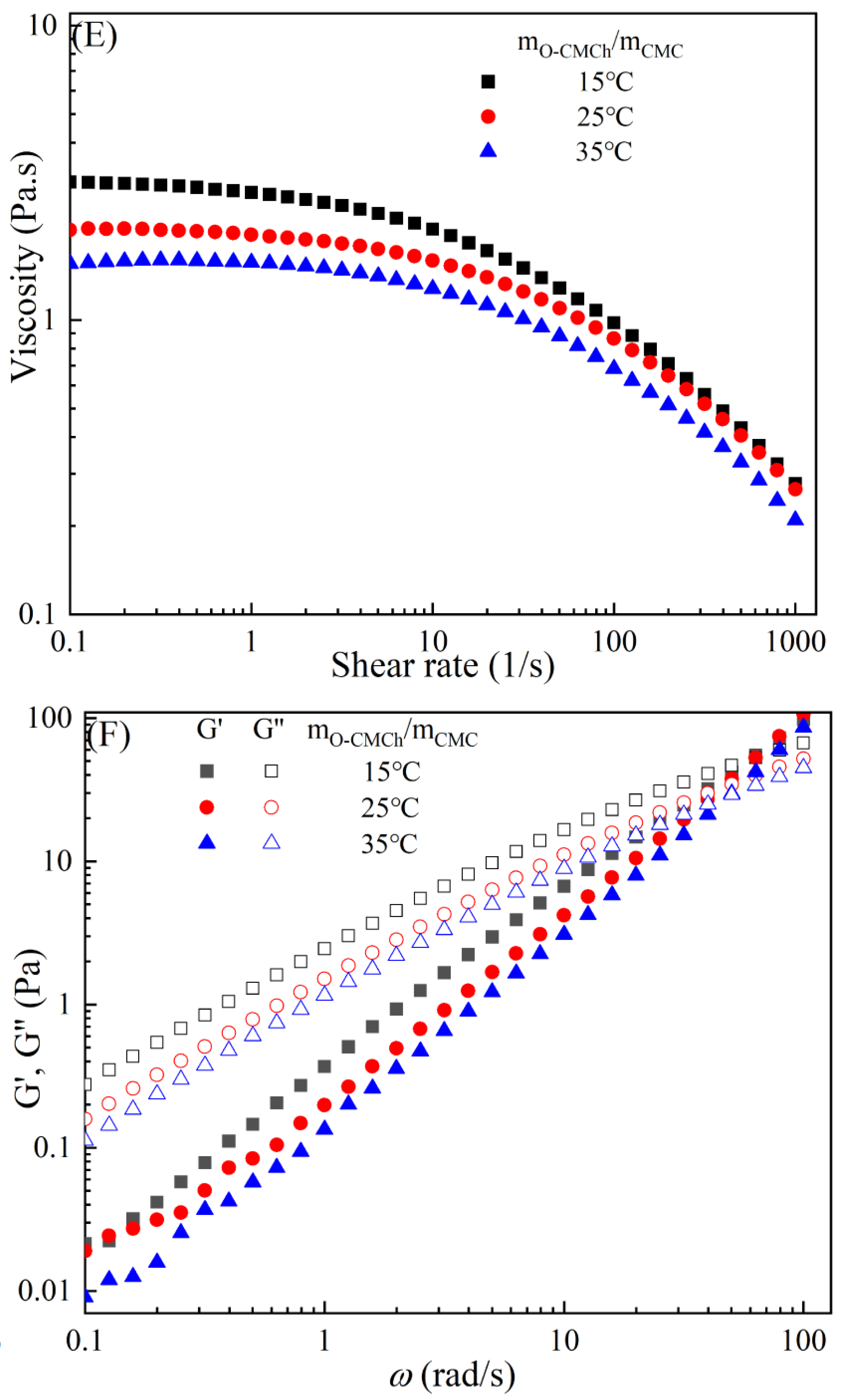
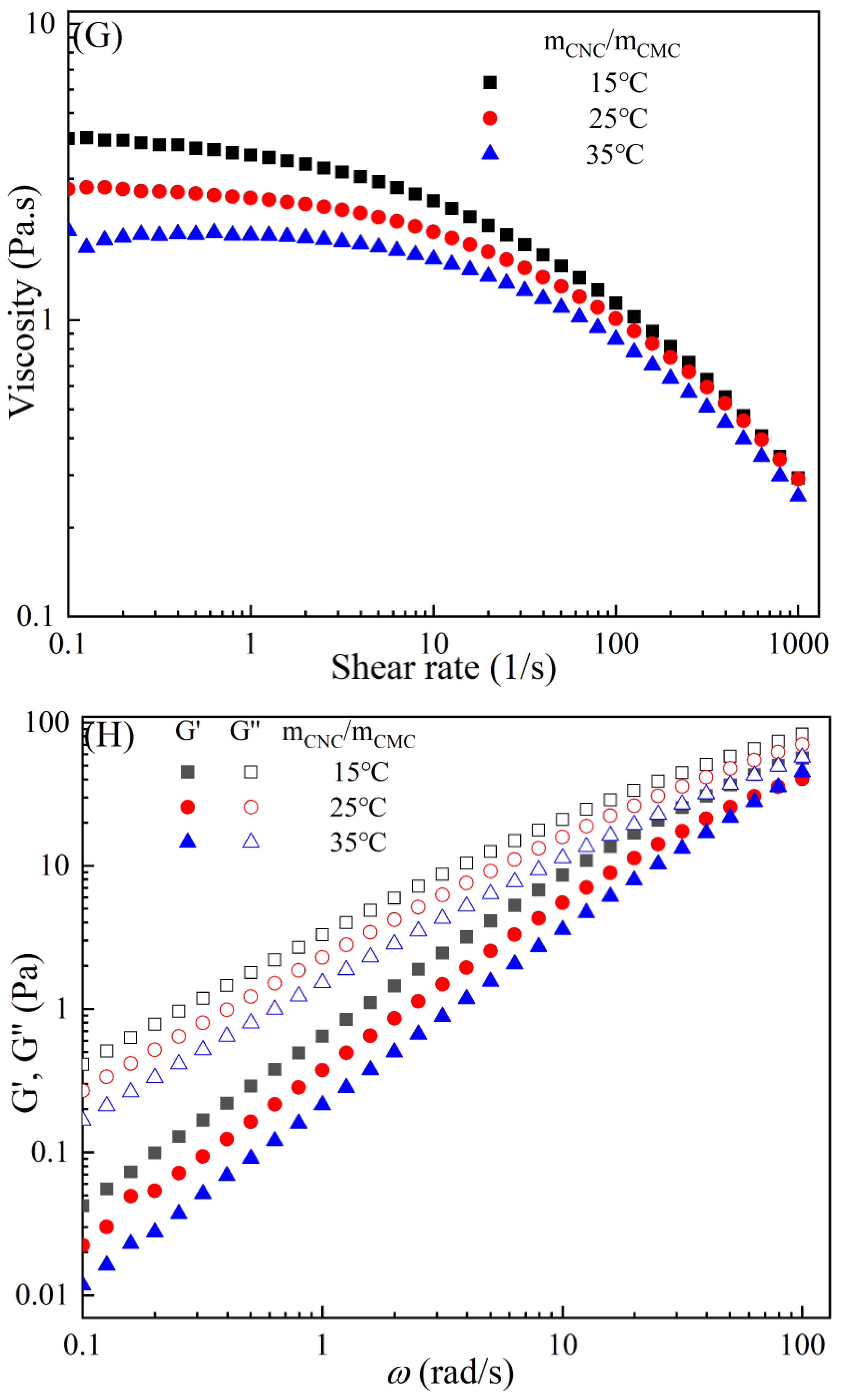
2.3. Effect of Temperature on Rheological Properties
2.4. Morphology, Thickness, Whiteness, Transmittance, and Wettability of CMC-Based Films
2.5. Thermogravimetric Properties of CMC-Based Films
2.6. Mechanical Properties of CMC-Based Films
2.7. Biodegradability of CMC-Based Films
2.8. Cytotoxicity of CMC-Based Films
3. Experimental Section
3.1. Materials
3.2. Preparation of Film-Forming Solutions
3.3. Preparation of CMC-Based Films
3.4. Characterization of CMC-Based Films
3.5. Rheological Measurement
3.6. Biodegradability of Films
3.7. In Vitro Cytotoxicity
4. Conclusions
Author Contributions
Funding
Institutional Review Board Statement
Data Availability Statement
Acknowledgments
Conflicts of Interest
References
- Huang, K.; Wang, Y. Recent applications of regenerated cellulose films and hydrogels in food packaging. Curr. Opin. Food Sci. 2022, 43, 7–17. [Google Scholar] [CrossRef]
- Liu, Y.; Ahmed, S.; Sameen, D.E.; Wang, Y.; Lu, R.; Dai, J.; Li, S.; Qin, W. A review of cellulose and its derivatives in biopolymer-based for food packaging application. Trends Food Sci. Technol. 2021, 112, 532–546. [Google Scholar] [CrossRef]
- Cazón, P.; Vázquez, M. Bacterial cellulose as a biodegradable food packaging material: A review. Food Hydrocoll. 2021, 113, 106530. [Google Scholar] [CrossRef]
- Lin, D.; Zheng, Y.; Wang, X.; Huang, Y.; Ni, L.; Chen, X.; Wu, Z.; Huang, C.; Yi, Q.; Li, J.; et al. Study on physicochemical properties, antioxidant and antimicrobial activity of okara soluble dietary fiber/sodium carboxymethyl cellulose/thyme essential oil active edible composite films incorporated with pectin. Int. J. Biol. Macromol. 2020, 165, 1241–1249. [Google Scholar] [CrossRef] [PubMed]
- Youssef, A.M.; El-Sayed, S.M. Bionanocomposites materials for food packaging applications: Concepts and future outlook. Carbohydr. Polym. 2018, 193, 19–27. [Google Scholar] [CrossRef] [PubMed]
- Idumah, C.I.; Hassan, A.; Ihuoma, D.E. Recently Emerging Trends in Polymer Nanocomposites Packaging Materials. Polym. Plast. Technol. Mater. 2019, 58, 1054–1109. [Google Scholar] [CrossRef]
- An, F.; Fang, K.; Liu, X.; Li, C.; Liang, Y.; Liu, H. Rheological properties of carboxymethyl hydroxypropyl cellulose and its application in high quality reactive dye inkjet printing on wool fabrics. Int. J. Biol. Macromol. 2020, 164, 4173–4182. [Google Scholar] [CrossRef]
- Gomes, V.; Pires, A.S.; Mateus, N.; de Freitas, V.; Cruz, L. Pyranoflavylium-Cellulose Acetate Films and the Glycerol Effect Towards the Development of Ph-Freshness Smart Label for Food Packaging. Food Hydrocoll. 2022, 127, 107501. [Google Scholar] [CrossRef]
- Ibrahim, A.G.; Elgammal, W.E.; Hashem, A.H.; Mohamed, A.E.; Awad, M.A.; Hassan, S.M. Development of a chitosan derivative bearing the thiadiazole moiety and evaluation of its antifungal and larvicidal efficacy. Polym. Bull. 2023, 1–23. [Google Scholar] [CrossRef]
- Mohamed, A.E.; Elgammal, W.E.; Eid, A.M.; Dawaba, A.M.; Ibrahim, A.G.; Fouda, A.; Hassan, S.M. Synthesis and characterization of new functionalized chitosan and its antimicrobial and in-vitro release behavior from topical gel. Int. J. Biol. Macromol. 2022, 207, 242–253. [Google Scholar] [CrossRef]
- Ibrahim, A.G.; Fouda, A.; Elgammal, W.E.; Eid, A.M.; Elsenety, M.M.; Mohamed, A.E.; Hassan, S.M. New thiadiazole modified chitosan derivative to control the growth of human pathogenic microbes and cancer cell lines. Sci. Rep. 2022, 12, 21423. [Google Scholar] [CrossRef] [PubMed]
- Mohamed, A.E.; Elgammal, W.E.; Dawaba, A.M.; Ibrahim, A.G.; Fouda, A.; Hassan, S.M. A novel 1,3,4-thiadiazole modified chitosan: Synthesis, characterization, antimicrobial activity, and release study from film dressings. Appl. Biol. Chem. 2022, 65, 54. [Google Scholar] [CrossRef]
- Lopez, C.G.; Richtering, W. Oscillatory rheology of carboxymethyl cellulose gels: Influence of concentration and pH. Carbohydr. Polym. 2021, 267, 118117. [Google Scholar] [CrossRef] [PubMed]
- Chalah, K.; Benmounah, A.; Kheribet, R. Rheological Study of Sodium Carboxymethylcellulose: Effect of Concentration and Molecular Weight. Mater. Today Proc. 2022, 53, 185–190. [Google Scholar] [CrossRef]
- Oguzlu, H.; Danumah, C.; Boluk, Y. The role of dilute and semi-dilute cellulose nanocrystal (CNC) suspensions on the rheology of carboxymethyl cellulose (CMC) solutions. Can. J. Chem. Eng. 2016, 94, 1841–1847. [Google Scholar] [CrossRef]
- Li, W.; Zhang, F.; Wang, W.; Li, Y.; Liu, Y.; Lu, C.; Zhang, Z. Rheological Transitions and in-Situ Ir Characterizations of Cellulose/Licl·Dmac Solution as a Function of Temperature. Cellulose 2018, 25, 4955–4968. [Google Scholar] [CrossRef]
- Pinto, E.A.; Dávila, J.L.; D’ávila, M.A. Rheological studies on nanocrystalline cellulose/alginate suspensions. J. Mol. Liq. 2019, 277, 418–423. [Google Scholar] [CrossRef]
- Wang, B.; Yang, X.; Qiao, C.; Li, Y.; Li, T.; Xu, C. Effects of chitosan quaternary ammonium salt on the physicochemical properties of sodium carboxymethyl cellulose-based films. Carbohydr. Polym. 2018, 184, 37–46. [Google Scholar] [CrossRef]
- Bayarri, S.; González-Tomás, L.; Costell, E. Viscoelastic Properties of Aqueous and Milk Systems with Carboxymethyl Cellulose. Food Hydrocoll. 2009, 23, 441–450. [Google Scholar] [CrossRef]
- Benchabane, A.; Bekkour, K. Rheological Properties of Carboxymethyl Cellulose (Cmc) Solutions. Colloid Polym. Sci. 2008, 286, 1173–1180. [Google Scholar] [CrossRef]
- Khanmohammadi, H.; Wijanarko, W.; Espallargas, N. Ionic Liquids as Additives in Water-Based Lubricants: From Surface Adsorption to Tribofilm Formation. Tribol. Lett. 2020, 68, 130. [Google Scholar] [CrossRef]
- Chatzigiannakis, E.; Jaensson, N.; Vermant, J. Thin Liquid Films: Where Hydrodynamics, Capillarity, Surface Stresses and Intermolecular Forces Meet. Curr. Opin. Colloid Interface Sci. 2021, 53, 101441. [Google Scholar] [CrossRef]
- Kapoor, K.; Amandeep; Patil, S. Viscoelasticity and shear thinning of nanoconfined water. Phys. Rev. E 2014, 89, 013004. [Google Scholar] [CrossRef] [PubMed]
- Liu, W.; Wang, R.; Li, J.; Xiao, W.; Rong, L.; Yang, J.; Wen, H.; Xie, J. Effects of different hydrocolloids on gelatinization and gels structure of chestnut starch. Food Hydrocoll. 2021, 120, 106925. [Google Scholar] [CrossRef]
- Sun, X.; Wu, Q.; Zhang, X.; Ren, S.; Lei, T.; Li, W.; Xu, G.; Zhang, Q. Nanocellulose Films with Combined Cellulose Nanofibers and Nanocrystals: Tailored Thermal, Optical and Mechanical Properties. Cellulose 2018, 25, 1103–1115. [Google Scholar] [CrossRef]
- Tian, X.; Li, Y.; Xu, Z.; Feng, X.; Kong, Q.; Ren, X. Efficient Binding Paradigm of Protein and Polysaccharide: Preparation of Isolated Soy Protein-Chitosan Quaternary Ammonium Salt Complex System and Exploration of Its Emulsification Potential. Food Chem. 2023, 407, 135111. [Google Scholar] [CrossRef]
- Su, D.; Xiuqin, B.; Xiaoyan, H. Research Progress on Hydrogel Materials and Their Antifouling Properties. Eur. Polym. J. 2022, 181, 111665. [Google Scholar] [CrossRef]
- Kötz, J.; Kosmella, S.; Beitz, T. Self-assembled polyelectrolyte systems. Prog. Polym. Sci. 2001, 26, 1199–1232. [Google Scholar] [CrossRef]
- Cantero-López, P.; Godoy, M.; Oyarce, E.; Pizarro, G.D.C.; Xu, C.; Willför, S.; Yañez, O.; Sánchez, J. Removal of Nafcillin Sodium Monohydrate from Aqueous Solution by Hydrogels Containing Nanocellulose: An Experimental and Theoretical Study. J. Mol. Liq. 2022, 347, 117946. [Google Scholar] [CrossRef]
- Benslimane, A.; Bahlouli, I.M.; Bekkour, K.; Hammiche, D. Thermal gelation properties of carboxymethyl cellulose and bentonite-carboxymethyl cellulose dispersions: Rheological considerations. Appl. Clay Sci. 2016, 132, 702–710. [Google Scholar] [CrossRef]
- Cancela, M.; Álvarez, E.; Maceiras, R. Effects of temperature and concentration on carboxymethylcellulose with sucrose rheology. J. Food Eng. 2005, 71, 419–424. [Google Scholar] [CrossRef]
- Francisco, M.; van der Bruinhorst, A.; Kroon, M.C. Low-Transition-Temperature Mixtures (LTTMs): A New Generation of Designer Solvents. Angew. Chem. Int. Ed. 2013, 52, 3074–3085. [Google Scholar] [CrossRef] [PubMed]
- Chauhan, S.; Sharma, K. Effect of Temperature and Additives on the Critical Micelle Concentration and Thermodynamics of Micelle Formation of Sodium Dodecyl Benzene Sulfonate and Dodecyltrimethylammonium Bromide in Aqueous Solution: A Conductometric Study. J. Chem. Thermodyn. 2014, 71, 205–211. [Google Scholar] [CrossRef]
- El Miri, N.; Abdelouahdi, K.; Barakat, A.; Zahouily, M.; Fihri, A.; Solhy, A.; El Achaby, M. Bio-Nanocomposite Films Reinforced with Cellulose Nanocrystals: Rheology of Film-Forming Solutions, Transparency, Water Vapor Barrier and Tensile Properties of Films. Carbohydr. Polym. 2015, 129, 156–167. [Google Scholar] [CrossRef] [PubMed]
- Abutalib, M. Effect of zinc oxide nanorods on the structural, thermal, dielectric and electrical properties of polyvinyl alcohol/carboxymethyle cellulose composites. Phys. B Condens. Matter 2019, 557, 108–116. [Google Scholar] [CrossRef]
- Oomens, J.; Sartakov, B.G.; Meijer, G.; von Helden, G. Gas-phase infrared multiple photon dissociation spectroscopy of mass-selected molecular ions. Int. J. Mass Spectrom. 2006, 254, 1–19. [Google Scholar] [CrossRef]
- Silva-Weiss, A.; Bifani, V.; Ihl, M.; Sobral, P.; Gómez-Guillén, M. Polyphenol-rich extract from murta leaves on rheological properties of film-forming solutions based on different hydrocolloid blends. J. Food Eng. 2014, 140, 28–38. [Google Scholar] [CrossRef]
- de Britto, D.; Assis, O.B. Thermal degradation of carboxymethylcellulose in different salty forms. Thermochim. Acta 2009, 494, 115–122. [Google Scholar] [CrossRef]
- He, X.; Lu, W.; Sun, C.; Khalesi, H.; Mata, A.; Andaleeb, R.; Fang, Y. Cellulose and cellulose derivatives: Different colloidal states and food-related applications. Carbohydr. Polym. 2020, 255, 117334. [Google Scholar] [CrossRef]
- Kim, H.-J.; Roy, S.; Rhim, J.-W. Effects of various types of cellulose nanofibers on the physical properties of the CNF-based films. J. Environ. Chem. Eng. 2021, 9, 106043. [Google Scholar] [CrossRef]
- Zhang, C.; Yang, X.; Li, Y.; Qiao, C.; Wang, S.; Wang, X.; Xu, C.; Yang, H.; Li, T. Enhancement of a zwitterionic chitosan derivative on mechanical properties and antibacterial activity of carboxymethyl cellulose-based films. Int. J. Biol. Macromol. 2020, 159, 1197–1205. [Google Scholar] [CrossRef]
- Zhang, C.; Yang, X.; Li, Y.; Wang, S.; Zhang, Y.; Yang, H.; Chai, J.; Li, T. Multifunctional Hybrid Composite Films Based on Biodegradable Cellulose Nanofibers, Aloe Juice, and Carboxymethyl Cellulose. Cellulose 2021, 28, 4927–4941. [Google Scholar] [CrossRef]
- Macieja, S.; Środa, B.; Zielińska, B.; Roy, S.; Bartkowiak, A.; Łopusiewicz, Ł. Bioactive Carboxymethyl Cellulose (CMC)-Based Films Modified with Melanin and Silver Nanoparticles (AgNPs)—The Effect of the Degree of CMC Substitution on the In Situ Synthesis of AgNPs and Films’ Functional Properties. Int. J. Mol. Sci. 2022, 23, 15560. [Google Scholar] [CrossRef] [PubMed]
- Ortiz, J.A.; Matsuhiro, B.; Zapata, P.; Corrales, T.; Catalina, F. Preparation and characterization of maleoylagarose/PNIPAAm graft copolymers and formation of polyelectrolyte complexes with chitosan. Carbohydr. Polym. 2018, 182, 81–91. [Google Scholar] [CrossRef] [PubMed]
- Feng, M.; Yu, L.; Zhu, P.; Zhou, X.; Liu, H.; Yang, Y.; Zhou, J.; Gao, C.; Bao, X.; Chen, P. Development and preparation of active starch films carrying tea polyphenol. Carbohydr. Polym. 2018, 196, 162–167. [Google Scholar] [CrossRef] [PubMed]
- Xiao, Y.; Liu, Y.; Kang, S.; Xu, H. Insight into the formation mechanism of soy protein isolate films improved by cellulose nanocrystals. Food Chem. 2021, 359, 129971. [Google Scholar] [CrossRef] [PubMed]
- Tarrés, Q.; Delgado-Aguilar, M.; Pèlach, M.A.; González, I.; Boufi, S.; Mutjé, P. Remarkable Increase of Paper Strength by Combining Enzymatic Cellulose Nanofibers in Bulk and Tempo-Oxidized Nanofibers as Coating. Cellulose 2016, 23, 3939–3950. [Google Scholar] [CrossRef]
- Parfenyuk, E.V.; Dolinina, E.S. Silica hydrogel composites as a platform for soft drug formulations and cosmetic compositions. Mater. Chem. Phys. 2022, 287, 126160. [Google Scholar] [CrossRef]
- Wang, F.; Zhang, Q.; Huang, K.; Li, J.; Wang, K.; Zhang, K.; Tang, X. Preparation and characterization of carboxymethyl cellulose containing quaternized chitosan for potential drug carrier. Int. J. Biol. Macromol. 2020, 154, 1392–1399. [Google Scholar] [CrossRef]
- Li, M.-C.; Mei, C.; Xu, X.; Lee, S.; Wu, Q. Cationic surface modification of cellulose nanocrystals: Toward tailoring dispersion and interface in carboxymethyl cellulose films. Polymer 2016, 107, 200–210. [Google Scholar] [CrossRef]
- Yadav, M.; Rhee, K.Y.; Park, S.J. Synthesis and Characterization of Graphene Oxide/Carboxymethylcellulose/Alginate Composite Blend Films. Carbohydr. Polym. 2014, 110, 18–25. [Google Scholar] [CrossRef] [PubMed]
- Yaradoddi, J.S.; Jayachandra, S.; Banapurmath, N.R.; Ganachari, S.V.; Soudagar, M.E.M.; Mubarak, N.M.; Hallad, S.; Hugar, S.; Fayaz, H. Biodegradable Carboxymethyl Cellulose Based Material for Sustainable Packaging Application. Sci. Rep. 2020, 10, 21960. [Google Scholar] [CrossRef] [PubMed]
- Kane, S.; Van Roijen, E.; Ryan, C.; Miller, S. Reducing the Environmental Impacts of Plastics While Increasing Strength: Biochar Fillers in Biodegradable, Recycled, and Fossil-Fuel Derived Plastics. Compos. Part C Open Access 2022, 8, 100253. [Google Scholar] [CrossRef]
- de Sousa Leal, A.; de Araújo, R.; Souza, G.R.; Lopes, G.L.N.; Pereira, S.T.; de Moraes Alves, M.M.; Barreto, H.M.; Carvalho, A.L.M.; Ferreira, P.M.P.; Silva, D.; et al. In Vitro Bioactivity and Cytotoxicity of Films Based on Mesocarp of Orbignya sp. And Carboxymethylcellulose as a Tannic Acid Release Matrix. Carbohydr. Polym. 2018, 201, 113–121. [Google Scholar] [CrossRef] [PubMed]
- Wang, F.; Zhang, Q.; Li, X.; Huang, K.; Shao, W.; Yao, D.; Huang, C. Redox-responsive blend hydrogel films based on carboxymethyl cellulose/chitosan microspheres as dual delivery carrier. Int. J. Biol. Macromol. 2019, 134, 413–421. [Google Scholar] [CrossRef]
- Shahbazi, M.; Ahmadi, S.J.; Seif, A.; Rajabzadeh, G. Carboxymethyl Cellulose Film Modification through Surface Photo-Crosslinking and Chemical Crosslinking for Food Packaging Applications. Food Hydrocoll. 2016, 61, 378–389. [Google Scholar] [CrossRef]
- Liu, Q.; Chen, J.; Yang, X.; Qiao, C.; Li, Z.; Xu, C.; Li, Y.; Chai, J. Synthesis, structure, and properties of N-2-hydroxylpropyl-3-trimethylammonium-O-carboxymethyl chitosan derivatives. Int. J. Biol. Macromol. 2020, 144, 568–577. [Google Scholar] [CrossRef]
- Qiao, C.; Chen, G.; Zhang, J.; Yao, J. Structure and Rheological Properties of Cellulose Nanocrystals Suspension. Food Hydrocoll. 2016, 55, 19–25. [Google Scholar] [CrossRef]
- Fernández-Santos, J.; Valls, C.; Cusola, O.; Roncero, M.B. Improving Filmogenic and Barrier Properties of Nanocellulose Films by Addition of Biodegradable Plasticizers. ACS Sustain. Chem. Eng. 2021, 9, 9647–9660. [Google Scholar] [CrossRef]

















| Samples | (Pa·s) | n | (Pa·s) | (Pa·s) | (Pa·s) |
|---|---|---|---|---|---|
| CMC | 6.9559 | 0.5321 | 1.9923 | 1.5866 | 0.8476 |
| CMC/O-CMCh1% | 7.0044 | 0.5243 | 1.9783 | 1.5840 | 0.8279 |
| CMC/O-CMCh5% | 6.2411 | 0.5459 | 1.7680 | 1.4569 | 0.8067 |
| CMC/O-CMCh10% | 6.8765 | 0.5391 | 1.9459 | 1.5886 | 0.8636 |
| CMC/HTCMCh1% | 6.7830 | 0.5249 | 1.8936 | 1.5275 | 0.8043 |
| CMC/HTCMCh5% | 7.0774 | 0.5316 | 2.0604 | 1.6338 | 0.8595 |
| CMC/HTCMCh10% | 6.4761 | 0.5434 | 1.8805 | 1.5285 | 0.8260 |
| CMC/HACC1% | 7.1250 | 0.5195 | 2.0952 | 1.6355 | 0.8237 |
| CMC/HACC5% | 10.5533 | 0.4723 | 4.1827 | 2.4424 | 0.9936 |
| CMC/HACC10% | 10.1251 | 0.4630 | 5.0657 | 2.4074 | 0.9069 |
| CMC/CNC1% | 5.7862 | 0.5361 | 1.8681 | 1.3922 | 0.7148 |
| CMC/CNC5% | 7.6036 | 0.5203 | 2.3339 | 1.7777 | 0.8841 |
| CMC/CNC10% | 8.8637 | 0.5168 | 2.5765 | 1.9835 | 1.0099 |
| CMC/CNF1% | 9.4362 | 0.5096 | 2.8358 | 2.1238 | 1.0484 |
| CMC/CNF5% | 8.8237 | 0.5054 | 2.6472 | 1.9926 | 0.9598 |
| CMC/CNF10% | 6.8930 | 0.5299 | 2.1640 | 1.6343 | 0.8308 |
| Samples | (Pa·s) | n | (Pa·s) | (Pa·s) | (Pa·s) | T (°C) |
|---|---|---|---|---|---|---|
| CMC/O-CMCh10% | 8.7973 | 0.5099 | 2.7071 | 2.0333 | 0.9783 | 15 |
| CMC/O-CMCh10% | 6.8765 | 0.5391 | 1.9459 | 1.5886 | 0.8636 | 25 |
| CMC/O-CMCh10% | 5.5768 | 0.5362 | 1.5683 | 1.2776 | 0.6837 | 35 |
| CMC/HTCMCh10% | 9.2297 | 0.5082 | 2.9375 | 2.1512 | 1.0171 | 15 |
| CMC/HTCMCh10% | 6.4761 | 0.5434 | 1.8805 | 1.5285 | 0.8260 | 25 |
| CMC/HTCMCh10% | 5.2879 | 0.5415 | 1.4607 | 1.2248 | 0.6657 | 35 |
| CMC/HACC10% | 11.1922 | 0.4578 | 6.2172 | 3.0673 | 1.1879 | 15 |
| CMC/HACC10% | 10.1251 | 0.4631 | 5.0656 | 2.4074 | 0.9069 | 25 |
| CMC/HACC10% | 5.6527 | 0.4937 | 2.8466 | 1.3937 | 0.5750 | 35 |
| CMC/CNC10% | 11.5919 | 0.4808 | 3.6063 | 2.5182 | 0.8147 | 15 |
| CMC/CNC10% | 8.8637 | 0.5168 | 2.5765 | 1.9835 | 1.0099 | 25 |
| CMC/CNC10% | 7.1385 | 0.5287 | 1.9328 | 1.6053 | 0.8605 | 35 |
| CMC/CNF10% | 8.0515 | 0.5042 | 2.7048 | 1.8902 | 0.8744 | 15 |
| CMC/CNF10% | 6.8930 | 0.5299 | 2.1640 | 1.6343 | 0.8308 | 25 |
| CMC/CNF10% | 5.2780 | 0.5327 | 1.5827 | 1.2078 | 0.6411 | 35 |
| Films | Th (mm) | θ (°) | W (%) | Tr (%) | TS (MPa) | EB (%) | E (MPa) |
|---|---|---|---|---|---|---|---|
| CMC | 0.126 ± 0.015 | 44.3 ± 1.4 | 35.34 ± 0.13 | 92.72 ± 0.16 | 13.57 ± 0.47 | 44.41 ± 0.61 | 30.84 ± 0.96 |
| CMC/O-CMCh1% | 0.129 ± 0.032 | 50.6 ± 0.61 | 35.73 ± 0.08 | 93.63 ± 0.14 | 13.62 ± 0.17 | 49.64 ± 0.32 | 27.79 ± 0.53 |
| CMC/O-CMCh5% | 0.135 ± 0.027 | 47.6 ± 0.58 | 36.53 ± 0.16 | 93.67 ± 0.15 | 13.66 ± 0.31 | 54.87 ± 0.19 | 24.84 ± 0.89 |
| CMC/O-CMCh10% | 0.142 ± 0.010 | 40.2 ± 0.21 | 35.87 ± 0.18 | 93.33 ± 0.09 | 13.69 ± 0.11 | 58.88 ± 0.41 | 23.25 ± 0.98 |
| CMC/HTCMCh1% | 0.143 ± 0.015 | 46.4 ± 1.7 | 35.30 ± 0.36 | 93.42 ± 0.36 | 13.65 ± 0.08 | 60.75 ± 0.56 | 22.75 ± 0.68 |
| CMC/HTCMCh5% | 0.139 ± 0.008 | 54.4 ± 2.3 | 36.63 ± 0.41 | 94.76 ± 0.13 | 13.57 ± 0.14 | 62.24 ± 0.53 | 21.88 ± 0.65 |
| CMC/HTCMCh10% | 0.128 ± 0.032 | 57.4 ± 1.8 | 34.15 ± 0.42 | 93.65 ± 0.08 | 13.78 ± 0.08 | 64.66 ± 0.17 | 21.54 ± 0.64 |
| CMC/HACC1% | 0.148 ± 0.012 | 44.6 ± 0.61 | 35.83 ± 0.15 | 93.54 ± 0.17 | 15.65 ± 0.17 | 42.93 ± 0.23 | 36.45 ± 0.82 |
| CMC/HACC5% | 0.142 ± 0.018 | 50.3 ± 0.52 | 36.33 ± 0.26 | 93.53 ± 0.09 | 18.54 ± 0.13 | 41.72 ± 0.32 | 44.45 ± 0.96 |
| CMC/HACC10% | 0.138 ± 0.032 | 55.2 ± 0.45 | 36.20 ± 0.08 | 92.07 ± 0.12 | 20.51 ± 0.27 | 40.08 ± 0.03 | 51.17 ± 0.78 |
| CMC/CNC1% | 0.146 ± 0.031 | 46.2 ± 2.9 | 35.63 ± 0.36 | 92.16 ± 0.33 | 20.32 ± 0.28 | 43.05 ± 0.18 | 47.21 ± 0.77 |
| CMC/CNC5% | 0.152 ± 0.036 | 45.4 ± 1.3 | 35.54 ± 0.12 | 93.77 ± 0.05 | 26.76 ± 0.62 | 42.21 ± 0.02 | 63.39 ± 0.65 |
| CMC/CNC10% | 0.160 ± 0.019 | 39.3 ± 1.6 | 36.25 ± 0.23 | 91.22 ± 0.18 | 32.22 ± 0.37 | 40.81 ± 0.49 | 78.93 ± 0.84 |
| CMC/CNF1% | 0.145 ± 0.012 | 46.9 ± 0.9 | 35.54 ± 0.11 | 93.05 ± 0.16 | 28.35 ± 0.31 | 40.07 ± 0.13 | 70.75 ± 0.83 |
| CMC/CNF5% | 0.156 ± 0.036 | 43.5 ± 0.55 | 36.27 ± 0.13 | 93.77 ± 0.05 | 36.45 ± 0.29 | 37.72 ± 0.21 | 96.63 ± 0.96 |
| CMC/CNF10% | 0.161 ± 0.021 | 38.7 ± 0.6 | 36.16 ± 0.16 | 92.22 ± 0.28 | 42.41 ± 0.46 | 34.74 ± 0.33 | 121.17 ± 0.94 |
Disclaimer/Publisher’s Note: The statements, opinions and data contained in all publications are solely those of the individual author(s) and contributor(s) and not of MDPI and/or the editor(s). MDPI and/or the editor(s) disclaim responsibility for any injury to people or property resulting from any ideas, methods, instructions or products referred to in the content. |
© 2023 by the authors. Licensee MDPI, Basel, Switzerland. This article is an open access article distributed under the terms and conditions of the Creative Commons Attribution (CC BY) license (https://creativecommons.org/licenses/by/4.0/).
Share and Cite
Zhang, H.; Su, S.; Liu, S.; Qiao, C.; Wang, E.; Chen, H.; Zhang, C.; Yang, X.; Li, T. Effects of Chitosan and Cellulose Derivatives on Sodium Carboxymethyl Cellulose-Based Films: A Study of Rheological Properties of Film-Forming Solutions. Molecules 2023, 28, 5211. https://doi.org/10.3390/molecules28135211
Zhang H, Su S, Liu S, Qiao C, Wang E, Chen H, Zhang C, Yang X, Li T. Effects of Chitosan and Cellulose Derivatives on Sodium Carboxymethyl Cellulose-Based Films: A Study of Rheological Properties of Film-Forming Solutions. Molecules. 2023; 28(13):5211. https://doi.org/10.3390/molecules28135211
Chicago/Turabian StyleZhang, Huatong, Shunjie Su, Shuxia Liu, Congde Qiao, Enhua Wang, Hua Chen, Cangheng Zhang, Xiaodeng Yang, and Tianduo Li. 2023. "Effects of Chitosan and Cellulose Derivatives on Sodium Carboxymethyl Cellulose-Based Films: A Study of Rheological Properties of Film-Forming Solutions" Molecules 28, no. 13: 5211. https://doi.org/10.3390/molecules28135211
APA StyleZhang, H., Su, S., Liu, S., Qiao, C., Wang, E., Chen, H., Zhang, C., Yang, X., & Li, T. (2023). Effects of Chitosan and Cellulose Derivatives on Sodium Carboxymethyl Cellulose-Based Films: A Study of Rheological Properties of Film-Forming Solutions. Molecules, 28(13), 5211. https://doi.org/10.3390/molecules28135211

