Study on the Degradation of Methylene Blue by Cu-Doped SnSe
Abstract
1. Introduction
2. Results and Discussions
3. Materials and Methods
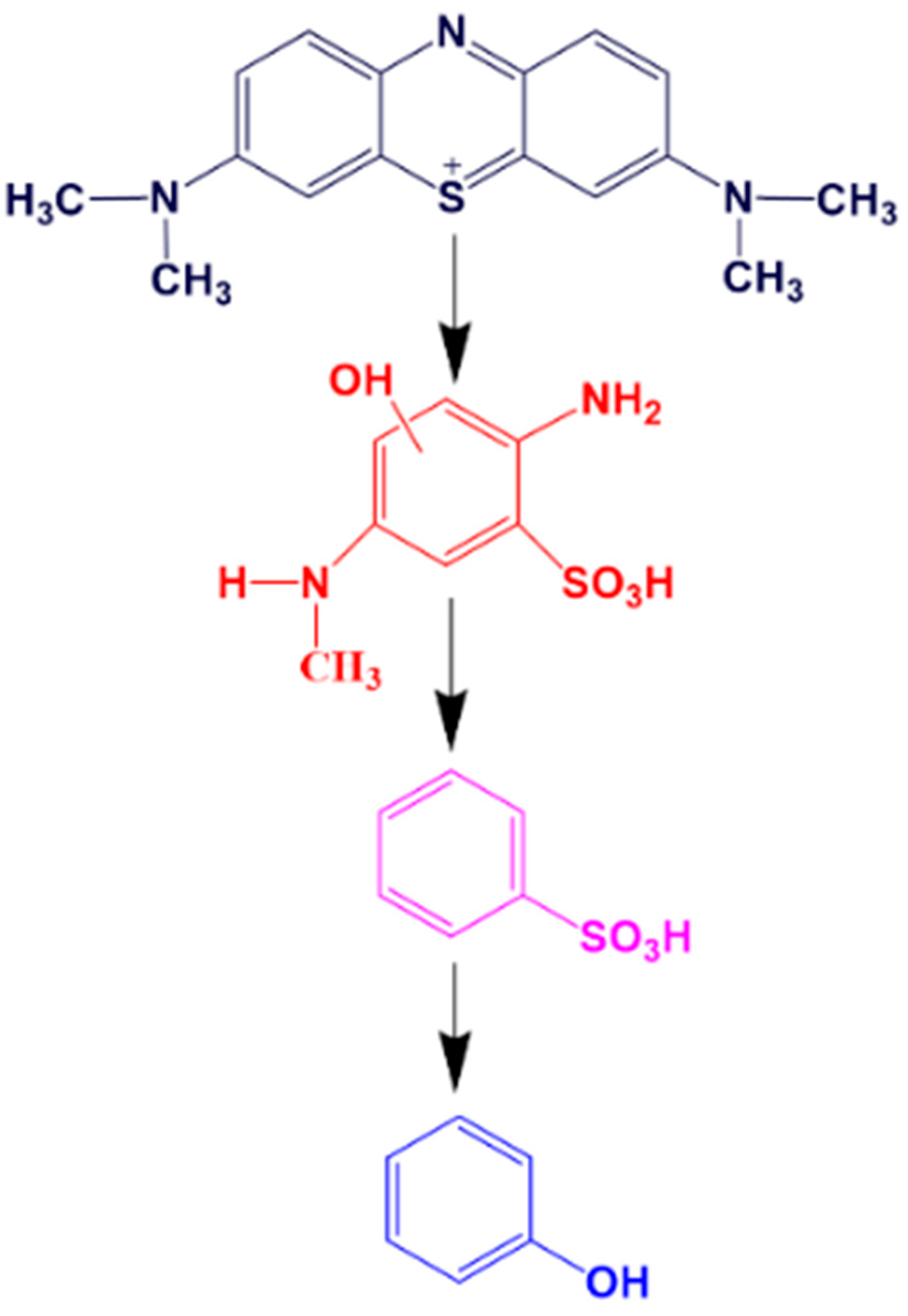
4. Conclusions
Author Contributions
Funding
Institutional Review Board Statement
Informed Consent Statement
Data Availability Statement
Conflicts of Interest
Sample Availability
Appendix A



References
- Zhao, L.D.; Lo, S.H.; Zhang, Y.; Sun, H.; Tan, G.; Uher, C.; Wolverton, C.; Dravid, V.P.; Kanatzidis, M.G. Ultralow thermal conductivity and high thermoelectric figure of merit in SnSe crystals. Nature 2014, 508, 373–377. [Google Scholar] [CrossRef]
- Guan, X.; Lu, P.; Wu, L.; Han, L.; Liu, G.; Song, Y.; Wang, S. Thermoelectric properties of SnSe compound. J. Alloys Compd. 2015, 643, 116–120. [Google Scholar] [CrossRef]
- Zhang, X.; Zhao, L.D. Thermoelectric materials: Energy conversion between heat and electricity. J. Mater. 2015, 1, 92–105. [Google Scholar]
- Zhao, L.D.; Wu, H.J.; Hao, S.Q.; Wu, C.I.; Zhou, X.Y.; Biswas, K.; He, J.Q.; Hogan, T.; Uher, C.; Wolverton, C. All-scale hierarchical thermoelectrics. Energy Environ. Sci. 2013, 6, 3346–3355. [Google Scholar] [CrossRef]
- Liu, Y.; Xu, J.; Qin, X.Y.; Xin, H.X.; Song, C.J. Electrode Activation via Vesiculation: Improved Reversible Capacity of γ-Fe2O3@C/MWNT Composite Anode for Lithium-ion Batteries. J. Mater. Chem. A 2015, 3, 18. [Google Scholar] [CrossRef]
- Wei, T.R.; Tan, G.; Zhang, X.; Wu, C.F.; Li, J.F.; Dravid, V.P.; Snyder, G.J.; Kanatzidis, M.G. Distinct Impact of Alkali-Ion Doping on Electrical Transport Properties of Thermoelectric p-Type Polycrystalline SnSe. J. Am. Chem. Soc. 2016, 138, 8875. [Google Scholar] [CrossRef] [PubMed]
- Liu, M.J.; Zhao, J.; Cai, Q.L.; Liu, G.C.; Wang, J.R.; Zhao, Z.H.; Liu, P.; Dai, L.; Yan, G.; Wang, W.J. The complex jujube genome provides insights into fruit tree biology. Nat. Commun. 2014, 5, 5315. [Google Scholar] [CrossRef]
- Zhang, S.; Zhu, C.; He, X.; Wang, J.; Luo, F.; Wang, J.; Liu, H.; Sun, Z. Enhanced Thermoelectric Performance of N-Type Polycrystalline Snse Via Ndcl3 Doping. J. Alloys Compd. 2022, 910, 0925–8388. [Google Scholar] [CrossRef]
- Yang, S.; Zhi, L.; Jin, L.; Song, B.; Liu, G.; Jiang, C.; Zhuo, C.; Hu, D.; Wei, X.; Xu, R. Synthesis and bioactivity of 4-alkyl(aryl)thioquinazoline derivatives. Bioorg. Med. Chem. Lett. 2007, 17, 2193–2196. [Google Scholar] [CrossRef]
- Chen, C.L.; Wang, H.; Chen, Y.Y.; Day, T.; Snyder, G.J. Thermoelectric properties of p-type polycrystalline SnSe doped with Ag. J. Mater. Chem. A 2014, 2, 29. [Google Scholar] [CrossRef]
- An, J.; Han, M.-K.; Kim, S.-J. Synthesis of heavily Cu-doped Bi2Te3 nanoparticles and their thermoelectric properties. J. Solid State Chem. 2019, 270, 407–412. [Google Scholar] [CrossRef]
- Zhai, Y.; Zhang, Q.; Jiang, J.; Zhang, T.; Xiao, Y.; Yang, S.; Xu, G. Thermoelectric performance of the ordered In4Se3–In composite constructed by monotectic solidification. J. Mater. Chem. A 2013, 1, 8844–8847. [Google Scholar] [CrossRef]
- Chen, Y.Y.; Duval, T.; Hong, U.T.; Yeh, J.W.; Shih, H.C.; Wang, L.H.; Oung, J.C. Corrosion properties of a novel bulk Cu 0.5 NiAlCoCrFeSi glassy alloy in 288°C high-purity water. Mater. Lett. 2007, 61, 2692–2696. [Google Scholar] [CrossRef]
- Tan, G.; Zhao, L.D.; Shi, F.; Doak, J.W.; Lo, S.H.; Sun, H.; Wolverton, C.; Dravid, V.P.; Uher, C.; Kanatzidis, M.G. High thermoelectric performance of p-type SnTe via a synergistic band engineering and nanostructuring approach. J. Am. Chem. Soc. 2014, 136, 7006–7017. [Google Scholar] [CrossRef]
- Cai, B.; Li, J.; Sun, H.; Zhao, P.; Yu, F.; Zhang, L.; Yu, D.; Tian, Y.; Xu, B. Sodium doped polycrystalline SnSe: High pressure synthesis and thermoelectric properties. J. Alloys Compd. 2017, 727, 1014–1019. [Google Scholar] [CrossRef]
- Yi, L.; He, B.; Heremans, J.P.; Zhao, J.C. High-temperature oxidation behavior of thermoelectric SnSe. J. Alloys Compd. 2016, 669, 224–231. [Google Scholar]
- Jing, Y.; Dong, Z.; Xin, W.; Tang, W.; Wang, W.; Huai, J.; Gang, X.; Chen, D.; Li, Y.; Lin, R. Arabidopsis chromatin remodeling factor PICKLE interacts with transcription factor HY5 to regulate hypocotyl cell elongation. Plant Cell 2013, 25, 242–256. [Google Scholar] [CrossRef]
- Lu, Q.; Wu, M.; Wu, D.; Chang, C.; Guo, Y.P.; Zhou, C.S.; Li, W.; Ma, X.M.; Wang, G.; Zhao, L.D. Unexpected Large Hole Effective Masses in SnSe Revealed by Angle-Resolved Photoemission Spectroscopy. Phys. Rev. Lett. 2017, 119, 116401. [Google Scholar] [CrossRef] [PubMed]
- Shih, H.W.; Wu, C.L.; Chang, S.W.; Liu, T.H.; Lai, S.Y.; Fu, T.F.; Fu, C.C.; Chiang, A.S. Parallel circuits control temperature preference in Drosophila during ageing. Nat. Commun. 2015, 6, 7775. [Google Scholar] [CrossRef]
- Liu, Y.; Zhao, L.D.; Zhu, Y.; Liu, Y.; Li, F.; Yu, M.; Liu, D.B.; Xu, W.; Lin, Y.H.; Nan, C.W. Synergistically Optimizing Electrical and Thermal Transport Properties of BiCuSeO via a Dual-Doping Approach. Adv. Energy Mater. 2016, 6, 9. [Google Scholar] [CrossRef]
- Qin, B.; Wang, D.; Liu, X.; Qin, Y.; Dong, J.; Luo, J.; Li, J.; Liu, W.; Tan, G.; Tang, X. Power generation and thermoelectric cooling enabled by momentum and energy multiband alignments. Science 2021, 373, 556–561. [Google Scholar] [CrossRef] [PubMed]
- Peng; Kunling; Hui; Si; Zhou; Xiaoyuan; Dai; Jiyan; Uher; Ctirad, Broad temperature plateau for high ZTs in heavily doped p-type SnSe single crystals. Energy Environ. Sci. 2016, 9, 454–460. [CrossRef]
- Fu, Y.; Xu, J.; Liu, G.Q.; Yang, J.; Tan, X.; Zhu, L.; Qin, H.; Shao, H.; Jiang, H.; Bo, L. Enhanced thermoelectric performance in p-type polycrystalline SnSe benefiting from texture modulation. J. Mater. Chem. C 2016, 4, 1201–1207. [Google Scholar] [CrossRef]
- Chen, S.; Cai, K.F.; Li, F.Y.; Shen, S.Z. The Effect of Cu Addition on the System Stability and Thermoelectric Properties of Bi2Te3. J. Electron. Mater. 2014, 43, 1966–1971. [Google Scholar] [CrossRef]
- Li, R.; Liu, D.H.; Cao, C.N.; Wang, S.Q.; Dang, R.H.; Lan, X.Y.; Chen, H.; Zhang, T.; Liu, W.J.; Lei, C.Z. Single nucleotide polymorphisms of myostatin gene in Chinese domestic horses. Gene 2014, 538, 150–154. [Google Scholar] [CrossRef]
- Li, B.; Xie, Y.; Huang, J.; Qian, Y. Solvothermal Route to Tin Monoselenide Bulk Single Crystal with Different Morphologies. Inorg. Chem. 2000, 39, 2061–2064. [Google Scholar] [CrossRef]
- Baumgardner, W.J.; Choi, J.J.; Lim, Y.F.; Hanrath, T. SnSe Nanocrystals: Synthesis, Structure, Optical Properties, and Surface Chemistry. J. Am. Chem. Soc. 2010, 132, 9519–9521. [Google Scholar] [CrossRef]
- Chen, R.; Li, S.; Liu, J.; Li, Y.; Feng, M.; Liang, J.; Xian, C.; Miao, Z.; Han, J.; Wang, T. Hierarchical Cu doped SnSe nanoclusters as high-performance anode for sodium-ion batteries. Electrochim. Acta 2018, 282, 973–980. [Google Scholar] [CrossRef]
- Ge, Z.-H.; Wei, K.; Lewis, H.; Martin, J.; Nolas, G.S. Bottom-up processing and low temperature transport properties of polycrystalline SnSe. J. Solid State Chem. 2015, 225, 354–358. [Google Scholar] [CrossRef]





| Disclaimer/Publisher’s Note: The statements, opinions and data contained in all publications are solely those of the individual author(s) and contributor(s) and not of MDPI and/or the editor(s). MDPI and/or the editor(s) disclaim responsibility for any injury to people or property resulting from any ideas, methods, instructions or products referred to in the content. | 
© 2023 by the authors. Licensee MDPI, Basel, Switzerland. This article is an open access article distributed under the terms and conditions of the Creative Commons Attribution (CC BY) license (https://creativecommons.org/licenses/by/4.0/).
Share and Cite
Fan, L.; Zhu, H.; Wang, K.; Liu, H.; Hu, W.; Xu, X.; Yan, S. Study on the Degradation of Methylene Blue by Cu-Doped SnSe. Molecules 2023, 28, 5988. https://doi.org/10.3390/molecules28165988
Fan L, Zhu H, Wang K, Liu H, Hu W, Xu X, Yan S. Study on the Degradation of Methylene Blue by Cu-Doped SnSe. Molecules. 2023; 28(16):5988. https://doi.org/10.3390/molecules28165988
Chicago/Turabian StyleFan, Li, Hongliang Zhu, Kaili Wang, Hao Liu, Weina Hu, Xin Xu, and Shancheng Yan. 2023. "Study on the Degradation of Methylene Blue by Cu-Doped SnSe" Molecules 28, no. 16: 5988. https://doi.org/10.3390/molecules28165988
APA StyleFan, L., Zhu, H., Wang, K., Liu, H., Hu, W., Xu, X., & Yan, S. (2023). Study on the Degradation of Methylene Blue by Cu-Doped SnSe. Molecules, 28(16), 5988. https://doi.org/10.3390/molecules28165988
 
        



