Constituents of Pulicaria inuloides and Cytotoxic Activities of Two Methoxylated Flavonols
Abstract
1. Introduction
2. Results
2.1. Composition of Hydroalcoholic Extracts from P. inuloides
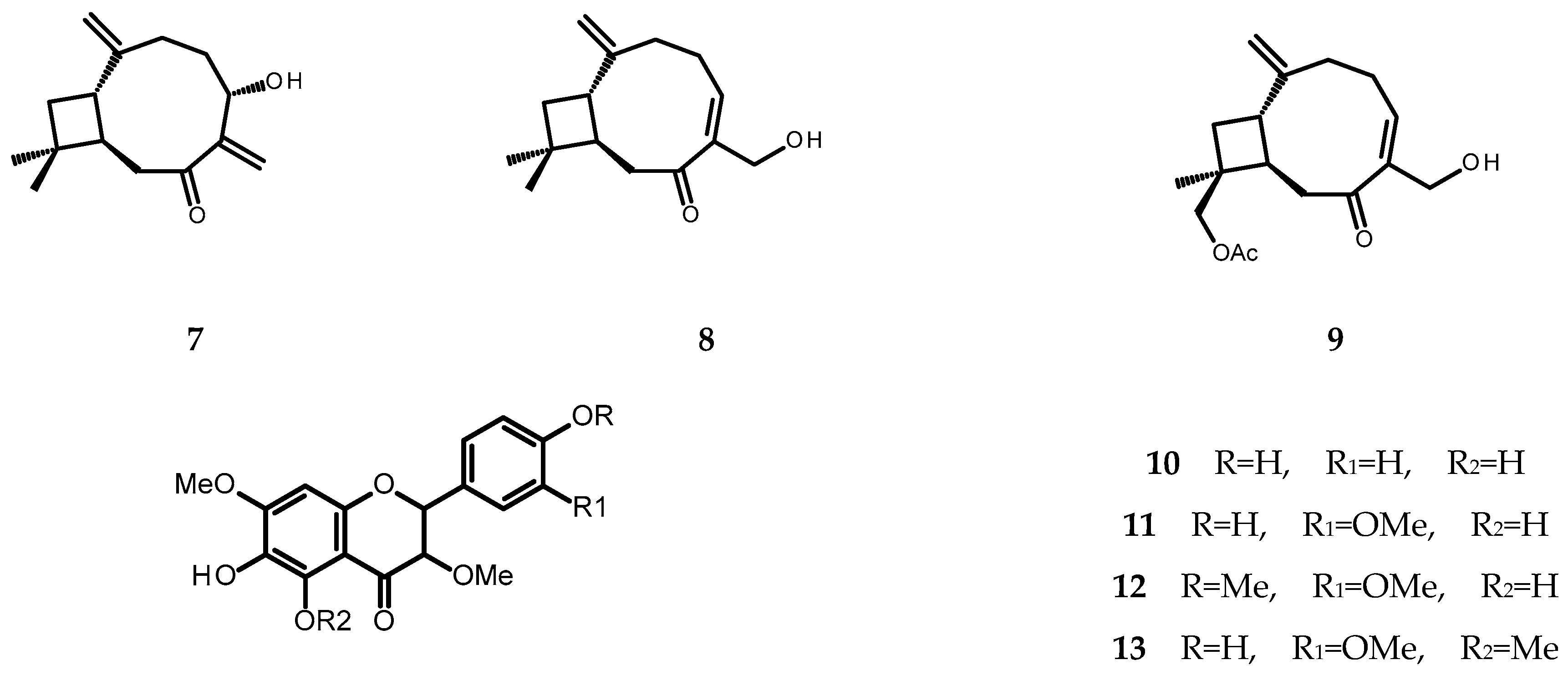
2.2. Constituents of a Chloroform Extract from P. inuloides
Structure Elucidation
2.3. Cytotoxic Activities of 6-Hydroxykaempferol 3,7-Dimethyl Ether and Quercetagetin 3,7,3’-Trimethyl Ether
3. Discussion
4. Materials and Methods
4.1. General Methods
4.2. Chemicals and Solvents
4.3. Plant Material
4.4. Estimation of Total Phenolic Content (TPC)
4.5. Phenolic Compounds Analysis by HPLC
4.5.1. Preparation of Samples for HPLC-PAD and UHPLC-PAD-MSn Analysis
4.5.2. Characterization of P. inuloides Shoot and Root Extracts by HPLC-DAD-MSn Method
4.6. Isolation of Chemical Constituents from a Chloroform Extract of P. inuloides
Characterization of the Isolated Caryophyllene Derivatives
4.7. Cell Culture and Cytotoxicity Assessment
Supplementary Materials
Author Contributions
Funding
Institutional Review Board Statement
Informed Consent Statement
Data Availability Statement
Acknowledgments
Conflicts of Interest
Sample Availability
References
- Anderberg, A.A. Inuleae. In Systematics, Evolution, and Biogeography of Compositae; Funk, V.A., Susanna, A., Stuessy, T.F., Bayer, R.J., Eds.; International Association for Plant Taxonomy: Vienna, Austria, 2009; pp. 667–680. [Google Scholar]
- Al-Hazimi, H.M.G.; Al-Khathlan, H.Z. Chemistry of various Pulicaria species. J.-Chem. Soc. Pak. 1992, 14, 233–240. [Google Scholar]
- Liu, L.-L.; Yang, J.-L.; Shi, Y.-P. Phytochemicals and biological activities of Pulicaria species. Chem. Biodivers. 2010, 7, 327–349. [Google Scholar] [CrossRef]
- Triana, J.; López, M.; Pérez, F.J.; León, F.; Quintana, J.; Estévez, F.; Hernández, J.C.; González-Platas, J.; Brouard, I.; Bermejo, J. Secondary Metabolites from Two Species of Pulicaria and Their Cytotoxic Activity. Chem. Biodivers. 2011, 8, 2080–2089. [Google Scholar] [CrossRef]
- Ali, N.A.A.; Crouch, R.A.; Al-Fatimi, M.A.; Arnold, N.; Teichert, A.; Setzer, W.N.; Wessjohann, L. Chemical composition, antimicrobial, antiradical, and anticholinesterase activity of the essential oil of Pulicaria stephanocarpa from Soqotra. Nat. Prod. Commun. 2012, 7, 113–116. [Google Scholar] [CrossRef] [PubMed]
- Xu, T.; Gherib, M.; Bekhechi, C.; Atik-Bekkara, F.; Casabianca, H.; Tomi, F.; Casanova, J.; Bighelli, A. Thymyl esters derivatives and a new natural product modhephanone from Pulicaria mauritanica Coss. (Asteraceae) root oil. Flavour Fragr. J. 2015, 30, 83–90. [Google Scholar] [CrossRef]
- Zardi-Bergaoui, A.; Znati, M.; Harzallah-Skhiri, F.; Jannet, H.B. Caryophyllene sesquiterpenes from Pulicaria vulgaris Gaertn.: Isolation, structure determination, bioactivity and structure-activity relationship. Chem. Biodivers. 2019, 16, e1800483. [Google Scholar] [CrossRef] [PubMed]
- Mohamed, E.A.A.; Muddathir, A.M.; Osman, M.A. Antimicrobial activity, phytochemical screening of crude extracts, and essential oils constituents of two Pulicaria spp. growing in Sudan. Sci. Rep. 2020, 10, 17148. [Google Scholar] [CrossRef] [PubMed]
- El-Sabagh, O.A.; El-Toumy, S.A.; Mounir, R.; Farag, M.A.; Mahrous, E.A. Metabolite profiles of Pulicaria crispa and P. incisa in relation to their in-vitro/in-vivo antioxidant activity and hepatoprotective effect: A comparative mass spectrometry-based metabolomics. J. Pharm. Biomed. Anal. 2021, 194, 113804. [Google Scholar] [CrossRef] [PubMed]
- Wang, X.; Hou, P.; Qu, Y.; Huang, R.; Feng, Y.; Zhao, S.; Ding, Y.; Liao, Z. Chemical constituents of Tibetan herbal medicine Pulicaria insignis and their in vitro cytotoxic activities. Rec. Nat. Prod. 2021, 15, 91–102. [Google Scholar] [CrossRef]
- Cádiz-Gurrea, M.L.; Zengin, G.; Kayacık, O.; Lobine, D.; Mahomoodally, M.F.; Leyva-Jiménez, F.J.; Segura-Carretero, A. Innovative perspectives on Pulicaria dysenterica extracts: Phyto-pharmaceutical properties, chemical characterization and multivariate analysis. J. Sci. Food Agric. 2019, 99, 6001–6010. [Google Scholar] [CrossRef]
- Ezoubeiri, A.; Gadhi, C.A.; Fdil, N.; Benharref, A.; Jana, M.; Vanhaelen, M. Isolation and antimicrobial activity of two phenolic compounds from Pulicaria odora L. J. Ethnopharmacol. 2005, 99, 287–292. [Google Scholar] [CrossRef]
- Elmann, A.; Beit-Yannai, E.; Telerman, A.; Ofir, R.; Mordechay, S.; Erlank, H.; Borochov-Neori, H. Pulicaria incisa infusion attenuates inflammatory responses of brain microglial cells. J. Funct. Foods 2016, 25, 110–122. [Google Scholar] [CrossRef]
- Bakr, R.O.; Shahat, E.A.; Elissawy, A.E.; Fayez, A.M.; Eldahshan, O.A. Evaluation of the hepatoprotective activity of Pulicaria incisa subspecies candolleana and in silico screening of its isolated phenolics. J. Ethnopharmacol. 2021, 271, 113767. [Google Scholar] [CrossRef]
- Hegazy, M.-E.F.; Matsuda, H.; Nakamura, S.; Yabe, M.; Matsumoto, T.; Yoshikawa, M. Sesquiterpenes from an Egyptian herbal medicine, Pulicaria undulate, with inhibitory effects on nitric oxide production in RAW264.7 macrophage cells. Chem. Pharm. Bull. 2012, 60, 363–370. [Google Scholar] [CrossRef]
- Hegazy, M.-E.F.; Nakamura, S.; Tawfik, W.A.; Abdel-Azim, N.S.; Abdel-Ateff, A.; Matsuda, H.; Paré, P.W. Rare hydroperoxyl guaianolide sesquiterpenes from Pulicaria undulata. Phytochem. Lett. 2015, 12, 177–181. [Google Scholar] [CrossRef]
- Elmann, A.; Telerman, A.; Ofir, R.; Kashman, Y. Pulichalconoid B suppresses experimental dermatitis in mice. Isr. J. Plant Sci. 2015, 62, 242–249. [Google Scholar] [CrossRef]
- Boumaraf, M.; Carbone, M.; Ciavatta, M.L.; Benyahia, S.; Ameddah, S.; Menad, A.; Benayache, S.; Benayache, F.; Gavagnin, M. Exploring the bioactive terpenoid content of an Algerian plant of the genus Pulicaria: The ent-series of asteriscunolides. J. Nat. Prod. 2017, 80, 82–89. [Google Scholar] [CrossRef]
- Hanbali, F.E.L.; Akssira, M.; Ezoubeiri, A.; Gadhi, C.A.; Mellouki, F.; Benherraf, A.; Blazquez, A.M.; Boira, H. Chemical composition and antibacterial activity of essential oil of Pulicaria odora L. J. Ethnopharmacol. 2005, 99, 399–401. [Google Scholar] [CrossRef]
- Sharifi-Rad, J.; Miri, A.; Hoseini-Alfatemi, S.M.; Sharifi-Rad, M.; Setzer, W.N.; Hadjiakhoondi, A. Chemical composition and biological activity of Pulicaria vulgaris essential oil from Iran. Nat. Prod. Commun. 2014, 9, 1633–1636. [Google Scholar] [CrossRef]
- Al-Hajj, N.Q.M.; Wang, H.; Gasmalla, M.A.A.; Ma, C.; Thabit, R.; Rahman, M.R.T.; Tang, Y. Chemical composition and antioxidant activity of the essential oil of Pulicaria inuloides. J. Food Nutr. Res. 2014, 2, 221–227. [Google Scholar] [CrossRef]
- Fadel, H.; Sifaoui, I.; López-Arencibia, A.; Reyes-Batlle, M.; Hajaji, S.; Chiboub, O.; Jiménez, I.A.; Bazzocchi, I.L.; Lorenzo-Morales, J.; Benayache, S.; et al. Assessment of the antiprotozoal activity of Pulicaria inuloides extracts, an Algerian medicinal plant: Leishmanicidal bioguided fractionation. Parasitol. Res. 2018, 117, 531–537. [Google Scholar] [CrossRef]
- Fadel, H.; Sifaoui, I.; López-Arencibia, A.; Reyes-Batlle, M.; Jiménez, I.A.; Lorenzo-Morales, J.; Ghedadba, N.; Benayache, S.; Piñero, J.E.; Bazzocchi, I.L. Antioxidant and leishmanicidal evaluation of Pulicaria inuloides root extracts: A bioguided fractionation. Pathogens 2019, 8, 201. [Google Scholar] [CrossRef] [PubMed]
- Galala, A.A.; Sallam, A.; Abdel-Halim, O.B.; Gedara, S.R. New ent-kaurane diterpenoid dimer from Pulicaria inuloides. Nat. Prod. Res. 2016, 30, 2468–2475. [Google Scholar] [CrossRef] [PubMed]
- Fadel, H.; Bensaid, S.-O.; Chalchat, J.-C.; Figueredo, G.; Chalard, P.; Benayache, F.; Ghedadba, N.; Zerimech, R.; Benayache, S. Essential oil chemical characterization and antioxidant potential of Pulicaria inuloides from the Southwest of Algeria. Chem. Afr. 2020, 3, 1053–1058. [Google Scholar] [CrossRef]
- Clifford, M.N.; Knight, S.; Kuhnert, N. Discriminating between the six isomers of dicaffeoylquinic acid by LC-MSn. J. Agric. Food Chem. 2005, 53, 3821–3832. [Google Scholar] [CrossRef]
- Willems, J.L.; Khamis, M.M.; Saeid, W.M.; Purves, R.W.; Katselis, G.; Low, N.H.; El-Aneed, A. Analysis of a series of chlorogenic acid isomers using differential ion mobility and tandem mass spectrometry. Anal. Chim. Acta 2016, 933, 164–174. [Google Scholar] [CrossRef]
- Kłeczek, N.; Malarz, J.; Gierlikowska, B.; Kiss, A.K.; Stojakowska, A. Constituents of Xerolekia speciosissima (L.) Anderb. (Inuleae), and anti-inflammatory activity of 7,10-diisobutyryloxy-8,9-epoxythymyl isobutyrate. Molecules 2020, 25, 4913. [Google Scholar] [CrossRef]
- Kłeczek, N.; Michalak, B.; Malarz, J.; Kiss, A.K.; Stojakowska, A. Carpesium divaricatum Sieb. & Zucc. revisited: Newly identified constituents from aerial parts of the plant and their possible contribution to the biological activity of the plant. Molecules 2019, 24, 1614. [Google Scholar] [CrossRef]
- Bohlmann, F.; Zdero, C. Caryophyllene derivatives and a hydroxyisocomene from Pulicaria dysenterica. Phytochemistry 1981, 20, 2529–2534. [Google Scholar] [CrossRef]
- Bohlmann, F.; Ahmed, M.; Jakupovic, J. Caryophyllane derivatives from Pulicaria scabra. Phytochemistry 1982, 21, 1659–1661. [Google Scholar] [CrossRef]
- Hafez, S.; Sarg, T.M.; El-Domiaty, M.M.; Ahmed, A.A.; Melek, F.R.; Bohlmann, F. Caryophyllene derivatives from Pulicaria arabica. Phytochemistry 1987, 26, 3356–3358. [Google Scholar] [CrossRef]
- Marco, J.A.; Sanz, J.F.; Albiach, R. Caryophyllene derivatives from Pulicaria dysenterica. Phytochemistry 1992, 31, 2409–2413. [Google Scholar] [CrossRef]
- Wang, C.; Zhang, X.; Wei, P.; Cheng, X.; Ren, J.; Yan, S.; Zhang, W.; Jin, H. Chemical constituents from Inula wissmanniana and their anti-inflammatory activities. Arch. Pharm. Res. 2013, 36, 1516–1524. [Google Scholar] [CrossRef] [PubMed]
- Bohlmann, F.; Niedballa, U.; Schulz, J. Über einige thymolderivate aus Gaillardia- und Helenium-arten. Chem. Ber. 1969, 102, 864–871. [Google Scholar] [CrossRef]
- Su, B.-N.; Takaishi, Y.; Yabuuchi, T.; Kusumi, T.; Tori, M.; Takaoka, S.; Honda, G.; Ito, M.; Takeda, Y.; Kodzhimatov, O.K.; et al. Sesquiterpenes and monoterpenes from the bark of Inula macrophylla. J. Nat. Prod. 2001, 64, 466–471. [Google Scholar] [CrossRef]
- Forgo, P.; Kövér, K.E. Gradient enhanced selective experiments in the 1H NMR chemical shift assignment of the skeleton and side-chain resonances of stigmasterol, a phytosterol derivative. Steroids 2004, 69, 43–50. [Google Scholar] [CrossRef]
- Ulubelen, A.; Kerr, K.M.; Mabry, T.J. New 6-hydroxyflavonoids and their methyl ethers and glycosides from Neurolaena oaxacana. Phytochemistry 1980, 19, 1761–1766. [Google Scholar] [CrossRef]
- Zhanzhaxina, A.S.; Seiilgazy, M.; Jalmakhanbetova, R.I.; Ishmuratova, M.Y.; Seilkhanov, T.M.; Oyama, M.; Sarmurzina, Z.S.; Tekebayeva, Z.B.; Suleimen, Y.M. Flavonoids from Pulicaria vulgaris and their antimicrobial activity. Chem. Nat. Compd. 2020, 56, 915–917. [Google Scholar] [CrossRef]
- Ahmed, A.A.; Mahmoud, A.A.; Tanaka, T.; Iinuma, M. Two methylated flavonols from Jasonia candicans. Phytochemistry 1994, 35, 241–243. [Google Scholar] [CrossRef]
- Clifford, M.N.; Jaganath, I.B.; Ludwig, I.A.; Crozier, A. Chlorogenic acids and the acyl-quinic acids: Discovery, biosynthesis, bioavailability and bioactivity. Nat. Prod. Rep. 2017, 34, 1391–1421. [Google Scholar] [CrossRef]
- Stojakowska, A.; Malarz, J.; Zubek, S.; Turnau, K.; Kisiel, W. Terpenoids and phenolics from Inula ensifolia. Biochem. Syst. Ecol. 2010, 38, 232–235. [Google Scholar] [CrossRef]
- Stojakowska, A.; Malarz, J.; Kiss, A.K. Hydroxycinnamates from elecampane (Inula helenium L.) callus culture. Acta Physiol. Plant. 2016, 38, 41. [Google Scholar] [CrossRef]
- Malarz, J.; Stojakowska, A.; Kisiel, W. Long-term cultured hairy roots of chicory—A rich source of hydroxycinnamates and 8-deoxylactucin glucoside. Appl. Biochem. Biotechnol. 2013, 171, 1589–1601. [Google Scholar] [CrossRef] [PubMed]
- Malarz, J.; Michalska, K.; Stojakowska, A. Stem lettuce and its metabolites: Does the variety make any difference? Foods 2021, 10, 59. [Google Scholar] [CrossRef]
- Williams, C.A.; Harborne, J.B.; Greenham, J.R.; Grayer, R.J.; Kite, G.C.; Eagles, J. Variations in lipophilic and vacuolar flavonoids among European Pulicaria species. Phytochemistry 2003, 64, 275–283. [Google Scholar] [CrossRef]
- Semple, S.J.; Nobbs, S.F.; Pyke, S.M.; Reynolds, G.D.; Flower, R.L.P. Antiviral flavonoid from Pterocaulon sphacelatum, an Australian Aboriginal medicine. J. Ethnopharmacol. 1999, 68, 283–288. [Google Scholar] [CrossRef]
- Huong, D.T.; Luong, D.V.; Thao, T.T.P.; Sung, T.V. A new flavone and cytotoxic activity of flavonoid constituents isolated from Miliusa balansae (Annonaceae). Pharmazie 2005, 60, 627–629. [Google Scholar] [CrossRef]
- Ayaz, F.; Emerce, E.; Gören, N.; Çalış, İ.; Rehman, M.U.; Choudhary, M.I.; Küçükboyacı, N. Antiproliferative constituents from the aerial parts of Chrysophthalmum montanum (DC.) Boiss. Phytochem. Lett. 2020, 36, 173–182. [Google Scholar] [CrossRef]
- Son, M.-J.; Kim, H.K.; Huong, D.T.T.; Kim, Y.H.; Sung, T.V.; Cuong, N.M.; Woo, S.-H. Chrysosplenol C increases contraction in rat ventricular myocytes. J. Cardiovasc. Pharmacol. 2011, 57, 259–262. [Google Scholar] [CrossRef]
- Lang, S.J.; Schmiech, M.; Hafner, S.; Paetz, C.; Werner, K.; El Gaafary, M.; Schmidt, C.Q.; Syrovets, T.; Simmet, T. Chrysosplenol D, a flavonol from Artemisia annua, induces ERK1/2-mediated apoptosis in triple negative human breast cancer cells. Int. J. Mol. Sci. 2020, 21, 4090. [Google Scholar] [CrossRef]
- Fu, C.; Zhang, K.; Wang, M.; Qiu, F. Casticin and chrysosplenol D from Artemisia annua L. induce apoptosis by inhibiting topoisomerase IIα in human non-small-cell lung cancer cells. Phytomedicine 2022, 100, 154095. [Google Scholar] [CrossRef] [PubMed]
- San Feliciano, A.; Medarde, M.; Gordaliza, M.; Del Olmo, E.; Del Corral, J.M.M. Sesquiterpenoids and phenolics of Pulicaria paludosa. Phytochemistry 1989, 28, 2717–2721. [Google Scholar] [CrossRef]
- Stojakowska, A.; Kędzia, B.; Kisiel, W. Antimicrobial activity of 10-isobutyryloxy-8,9-epoxythymol isobutyrate. Fitoterapia 2005, 76, 687–690. [Google Scholar] [CrossRef] [PubMed]
- Dürr, L.; Hell, T.; Dobrzyński, M.; Mattei, A.; John, A.; Augsburger, N.; Bradanini, G.; Reinhardt, J.K.; Rossberg, F.; Drobnjakovic, M.; et al. High-content screening pipeline for natural products targeting oncogenic signaling in melanoma. J. Nat. Prod. 2022, 85, 1006–1017. [Google Scholar] [CrossRef]
- Liang, H.; Bao, F.; Dong, X.; Tan, R.; Zhang, C.; Lu, Q.; Cheng, Y. Antibacterial thymol derivatives isolated from Centipeda minima. Molecules 2007, 12, 1606–1613. [Google Scholar] [CrossRef]
- Zhao, J.; Li, Y.; Liu, Q.; Gao, K. Antimicrobial activities of some thymol derivatives from the roots of Inula hupehensis. Food Chem. 2010, 120, 512–516. [Google Scholar] [CrossRef]
- Gong, H.; An, J.; Dong, Q.; Li, J.; Yang, W.; Sun, W.; Su, Z.; Zhang, S. Discovery of SCY45, a natural small-molecule MDM2-p53 interaction inhibitor. Chem. Biodivers. 2019, 16, e1900081. [Google Scholar] [CrossRef]
- Velioglu, Y.S.; Mazza, G.; Gao, L.; Oomah, B.D. Antioxidant activity and total phenolics in selected fruits, vegetables, and grain products. J. Agric. Food Chem. 1998, 46, 4113–4117. [Google Scholar] [CrossRef]
- Grabowska, K.; Amanowicz, K.; Paśko, P.; Podolak, I.; Galanty, A. Optimization of the extraction procedure for the phenolic-rich Glechoma hederacea L. herb and evaluation of its cytotoxic and antioxidant potential. Plants 2022, 11, 2217. [Google Scholar] [CrossRef]




| Compound | tR [min] | UV [nm] | [M − H]− | Product Ion Main Peaks 1 | R 2 | A 3 | |
|---|---|---|---|---|---|---|---|
| 1 | 5-O-caffeoylquinic acid (5-CQA) | 16.8 | 325 | 353 | 191 | + | + |
| 2 | dicaffeoylhexaric acid (I) | 21.4 | 323 | 533 | 353, 371, 209, 191 | + | − |
| 3 | 1,3-di-O-caffeoylquinic acid (1,3-DCQA) | 23.8 | 323 | 515 | 353, 335, 191, 179 | + | − |
| 4 | dicaffeoylhexaric acid (II) | 23.8 | 327 | 533 | 353, 371, 209, 191 | + | − |
| 5 | dicaffeoylhexaric acid (III) | 28.9 | 327 | 533 | 353, 371, 209, 191 | + | − |
| 6 | 3,4-di-O-caffeoylquinic acid (3,4-DCQA | 33.4 | 326 | 515 | 353, 335, 299, 255, 203, 173 | + | + |
| 7 | 1,5-di-O-caffeolyquinic acid (1,5-DCQA) | 34.6 | 328 | 515 | 353, 335, 191 | + | − |
| 8 | 3,5-di-O-caffeoylquinic acid (3,5-DCQA) | 34.7 | 327 | 515 | 353, 191, 179 | + | + |
| 9 | tricaffeoylhexaric acid (I) | 35.6 | 327 | 695 | 533, 371, 209 | + | - |
| 10 | 4,5-di-O-caffeoylquinic acid (4,5-DCQA) | 37.0 | 327 | 515 | 353, 317, 299, 255, 203, 191, 179,173 | + | + |
| 11 | tricaffeoylhexaric acid (II) | 38.5 | 328 | 695 | 533, 371, 353, 209 | + | − |
| 12 | tricaffeoylhexaric acid (III) | 38.9 | 326 | 695 | 533, 371, 353, 209 | + | − |
| 13 | tricaffeoylhexaric acid (IV) | 39.4 | 328 | 695 | 533, 371, 353, 209 | + | − |
| 14 | isobutyryl-dicaffeoylhexaric acid (I) | 40.7 | 328 | 603 | 441, 423, 353, 335, 279, 191 | + | − |
| 15 | tetraceffeoylhexaric acid | 46.4 | 328 | 857 | 695, 533, 371 | + | + |
| 16 | hydroxykaempferol dimethylether | 49.4 | 340 | 329 | 314 | − | + |
| 17 | quercetagetin trimethylether | 50.6 | 350 | 359 | 344 | − | + |
| 18 | isobutyryl-tricaffeoylhexaric acid | 51.6 | 328 | 765 | 603, 441, 423, 353, 279 | + | + |
| 19 | 2-methylbutyryl/isovaleryl-tricaffeoylhexaric acid | 55.6 | 328 | 779 | 617, 455,353, 293, 191 | + | − |
| Position | δH (ppm), J (Hz) | δC (ppm) | HMBC (H → C) |
|---|---|---|---|
| 1 | 2.58 m | 40.10 | C-2, C-15 |
| 2 | - | 152.95 | - |
| 3α | 1.92 m | 30.24 | C-2 |
| 3β | 2.20 m | C-2, C-15 | |
| 4β | 1.78 m | 33.83 | C-5, C-6 |
| 4α | 1.98 a m | C-2 | |
| 5β | 5.77 m | 72.20 | C-7 |
| 6 | - | 150.34 | - |
| 7 | - | 204.70 | - |
| 8α | 2.51 dd (11.2, 5.2) | 41.72 | C-1, C-6, C-7, C-9, C-11 |
| 8β | 3.00 dd (11.2, 11.2) | C-1, C-7, C-9, C-11 | |
| 9 | 1.95 a m | 51.57 | C-6 |
| 10′ | 1.82 b m | 38.46 | C-1, C-2, C-9, C-11, C-12, C-13 |
| 10″ | 1.84 b m | C-2, C-9, C-12, C-13 | |
| 11 | - | 33.55 | - |
| 12 | 1.09 s | 23.36 | C-9, C-13 |
| 13 | 1.08 s | 29.95 | C-10, C-11, C-12 |
| 14a | 5.74 d (1.2) | 120.73 | C-5, C-6, C-7 |
| 14b | 5.90 brs | C-5, C-6, C-7 | |
| 15a | 4.82 brs | 111.82 | C-1, C-3 |
| 15b | 4.85 brs | C-1, C-3 | |
| OAc_CO | - | 169.58 | - |
| OAc_CH3 | 2.12 s | 21.16 | C- OAc_CO |
| Compound | IC50 (μg/mL) | |||||
|---|---|---|---|---|---|---|
| Prostate Normal and Cancer Cells | Keratinocytes and Melanoma Cells | |||||
| PNT-2 | DU145 | PC3 | HaCaT | A375 | HTB140 | |
| 10 | 74.62 ± 1.87 | 83.62 ± 1.02 | 19.64 ± 0.83 (59.51) * | >100 | >100 | >100 |
| 11 | 82.38 ± 2.42 | 54.87 ± 0.23 | 16.79 ± 0.77 (46.46) * | >100 | >100 | >100 |
| Doxorubicin | 1.38 | 3.18 | >50 | 4.68 | 0.59 | 5.71 |
Disclaimer/Publisher’s Note: The statements, opinions and data contained in all publications are solely those of the individual author(s) and contributor(s) and not of MDPI and/or the editor(s). MDPI and/or the editor(s) disclaim responsibility for any injury to people or property resulting from any ideas, methods, instructions or products referred to in the content. |
© 2023 by the authors. Licensee MDPI, Basel, Switzerland. This article is an open access article distributed under the terms and conditions of the Creative Commons Attribution (CC BY) license (https://creativecommons.org/licenses/by/4.0/).
Share and Cite
Malarz, J.; Michalska, K.; Galanty, A.; Kiss, A.K.; Stojakowska, A. Constituents of Pulicaria inuloides and Cytotoxic Activities of Two Methoxylated Flavonols. Molecules 2023, 28, 480. https://doi.org/10.3390/molecules28020480
Malarz J, Michalska K, Galanty A, Kiss AK, Stojakowska A. Constituents of Pulicaria inuloides and Cytotoxic Activities of Two Methoxylated Flavonols. Molecules. 2023; 28(2):480. https://doi.org/10.3390/molecules28020480
Chicago/Turabian StyleMalarz, Janusz, Klaudia Michalska, Agnieszka Galanty, Anna Karolina Kiss, and Anna Stojakowska. 2023. "Constituents of Pulicaria inuloides and Cytotoxic Activities of Two Methoxylated Flavonols" Molecules 28, no. 2: 480. https://doi.org/10.3390/molecules28020480
APA StyleMalarz, J., Michalska, K., Galanty, A., Kiss, A. K., & Stojakowska, A. (2023). Constituents of Pulicaria inuloides and Cytotoxic Activities of Two Methoxylated Flavonols. Molecules, 28(2), 480. https://doi.org/10.3390/molecules28020480

