Effect of Vacancy Defect Content on the Interdiffusion of Cubic and Hexagonal SiC/Al Interfaces: A Molecular Dynamics Study
Abstract
1. Introduction
2. Results and Discussions
2.1. Self-Diffusion
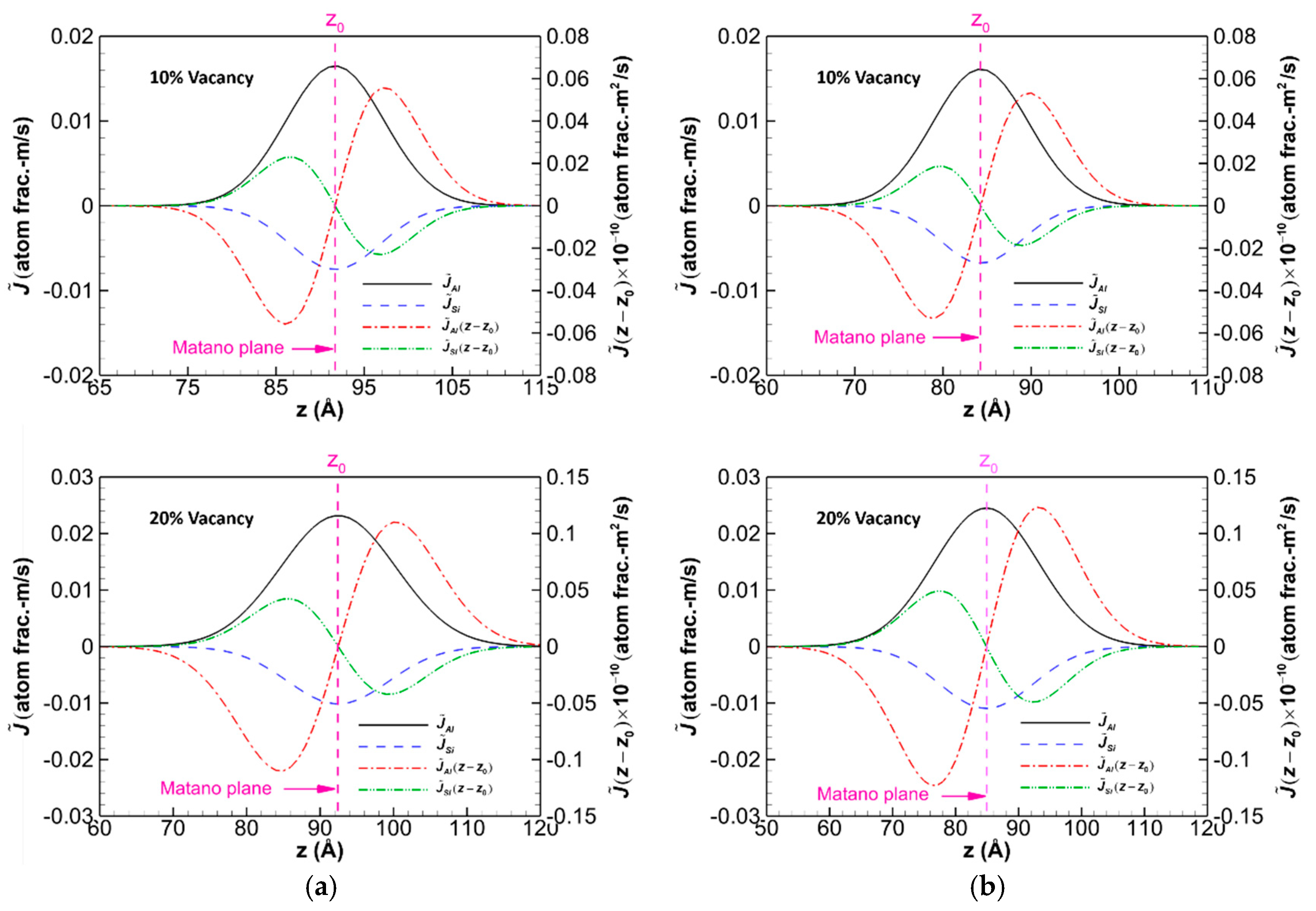
2.2. Interdiffusion
3. Modeling and Simulation Method
| Material | Method | C11 (GPa) | C12 (GPa) | C44 (GPa) | K (GPa) | E (GPa) | G (GPa) | v |
|---|---|---|---|---|---|---|---|---|
| Al | Present | 107.03 | 61.06 | 31.05 | 76.38 | 62.67 | 22.99 | 0.363 |
| MD a | 107.21 | 60.60 | 32.88 | 76.14 | 63.44 | 23.31 | 0.361 | |
| Experiment b | 107.3 | 60.08 | 28.3 | 75.7 | 63.83 | 23.48 | 0.359 | |
| 3C-SiC | Present | 383.78 | 144.41 | 239.75 | 224.20 | 304.81 | 119.68 | 0.273 |
| MD c | 390.1 | 142.7 | 191.0 | 225.1 | 313.6 | 123.7 | 0.268 | |
| Experiment d | 390 | 142 | 256 | 225 | 314.2 | 124 | 0.267 |
4. Conclusions
Author Contributions
Funding
Institutional Review Board Statement
Informed Consent Statement
Data Availability Statement
Acknowledgments
Conflicts of Interest
Sample Availability
List of Symbols
| bij | Function that modulates the attractive interaction between atoms i and j |
| Mole fraction of component i | |
| , | Mole fraction of component i at the bottom and the top terminal end of the diffusion couple |
| D | Diffusion coefficient |
| D0 | Pre-exponential factor of the Arrhenius equation |
| DA | Self-diffusion coefficient of atom type A |
| Interdiffusion coefficients of a multicomponent system | |
| Average interdiffusion coefficients of a multicomponent system | |
| Etot | Total energy of a system |
| F | Embedding energy |
| Attractive potential function | |
| Cut-off potential function | |
| Repulsive potential function | |
| Interdiffusion flux of component i | |
| LJ | Lennard-Jones |
| MD | Molecular dynamics |
| MMC | Metal matrix composite |
| NPT | Isothermal–isobaric ensemble with fixed number of atoms N, pressure P, and temperature T |
| NVT | Canonical ensemble with fixed number of atoms N, volume V, and temperature T |
| NA | Number of atoms type A |
| Fit parameters | |
| Q | Activation energy |
| R | Gas constant |
| Position vector of the ith atom of type A | |
| rij | Distance between atoms i and j |
| T | Temperature |
| t | Time |
| V | Pair potential |
| Vij | Many-body potential between atoms i and j |
| z | z-coordinate |
| z0 | Position of the Matano plane |
| Atomic density function | |
| Density induced on atom i by all other atoms |
References
- Park, Y.S. SiC Materials and Devices, 1st ed.; Academic Press: Cambridge, MA, USA, 1998; Volume 52. [Google Scholar]
- Ünlü, B.S. Investigation of tribological and mechanical properties Al2O3–SiC reinforced Al composites manufactured by casting or P/M method. Mater. Des. 2008, 29, 2002–2008. [Google Scholar] [CrossRef]
- Bhattacharyya, J.J.; Mitra, R. Effect of hot rolling temperature and thermal cycling on creep and damage behavior of powder metallurgy processed Al–SiC particulate composite. Mater. Sci. Eng. A 2012, 557, 92–105. [Google Scholar] [CrossRef]
- Torpo, L.; Nieminen, R.M.; Laasonen, K.E.; Pöykkö, S. Silicon vacancy in SiC: A high-spin state defect. Appl. Phys. Lett. 1999, 74, 221–223. [Google Scholar] [CrossRef]
- Janzén, E.; Gali, A.; Carlsson, P.; Gällström, A.; Magnusson, B.; Son, N.T. The silicon vacancy in SiC. Physica B 2009, 404, 4354–4358. [Google Scholar] [CrossRef]
- Kimoto, T.; Kawahara, K.; Zippelius, B.; Saito, E.; Suda, J. Control of carbon vacancy in SiC toward ultrahigh-voltage power devices. Superlattices Microstruct. 2016, 99, 151–157. [Google Scholar] [CrossRef]
- Kukushkin, S.A.; Osipov, A.V. Mechanism of formation of carbon–vacancy structures in silicon carbide during its growth by Atomic substitution. Phys. Solid State 2018, 60, 1891–1896. [Google Scholar] [CrossRef]
- Postek, E.; Sadowski, T. Dynamic pulse sensitivity of WC/Co composite. Compos. Struct. 2018, 203, 498–512. [Google Scholar] [CrossRef]
- Postek, E.; Sadowski, T. Distributed microcracking process of WC/Co cermet under dynamic impulse compressive loading. Compos. Struct. 2018, 194, 494–508. [Google Scholar] [CrossRef]
- Moya, J.S.; Lopez-Esteban, S.; Pecharromán, C. The challenge of ceramic/metal microcomposites and nanocomposites. Prog. Mater Sci. 2007, 52, 1017–1090. [Google Scholar] [CrossRef]
- Chang, H.C.; Le May, C.Z.; Wallace, L.F. Use of silicon carbide in high temperature transistors. In Proceedings of the Conference of Silicon Carbide, Boston, MA, USA, 2–3 April 1959; pp. 496–507. [Google Scholar]
- Mokhov, E.; Vodakov, Y.; Lomakina, G. Aluminum diffusion in silicon carbide. Fiz. Tverd. Tela 1969, 11, 519–522. [Google Scholar]
- van Opdorp, C. Anomalous diffusion of Al into SiC. Solid·State Electron. 1971, 14, 613–625. [Google Scholar] [CrossRef]
- Tajima, Y.; Kijima, K.; Kingery, W.D. Diffusion of ion implanted aluminum in silicon carbide. J. Chem. Phys. 1982, 77, 2592–2598. [Google Scholar] [CrossRef]
- Tham, L.M.; Gupta, M.; Cheng, L. Effect of limited matrix–reinforcement interfacial reaction on enhancing the mechanical properties of aluminium–silicon carbide composites. Acta Mater. 2001, 49, 3243–3253. [Google Scholar] [CrossRef]
- Lee, J.-C.; Ahn, J.-P.; Shim, J.-H.; Shi, Z.; Lee, H.-I. Control of the interface in SiC/Al composites. Scripta Mater. 1999, 41, 895–900. [Google Scholar] [CrossRef]
- Sozhamannan, G.G.; Prabu, S.B. Influence of interface compounds on interface bonding characteristics of aluminium and silicon carbide. Mater. Charact. 2009, 60, 986–990. [Google Scholar] [CrossRef]
- Soloviev, S.I.; Gao, Y.; Khlebnikov, Y.I.; Khlebnikov, I.I.; Sudarshan, T.S. Aluminum and boron diffusion into (1-100) face SiC substrates. Mater. Sci. Forum 2002, 389–393, 557–560. [Google Scholar] [CrossRef]
- Müting, J.; Bobal, V.; Willinger, M.G.; Zadeh, A.B.; Reidt, S.; Vines, L.; Grossner, U. Spatially resolved diffusion of aluminum in 4H-SiC during postimplantation annealing. IEEE Trans. Electron Devices 2020, 67, 4360–4365. [Google Scholar] [CrossRef]
- Tahani, M.; Postek, E.; Sadowski, T. Molecular dynamics study of interdiffusion for cubic and hexagonal SiC/Al interfaces. Crystals 2023, 13, 46. [Google Scholar] [CrossRef]
- Dayananda, M.A.; Sohn, Y.H. A new analysis for the determination of ternary interdiffusion coefficients from a single diffusion couple. Metall. Mater. Trans. A 1999, 30, 535–543. [Google Scholar] [CrossRef]
- Zhong, J.; Chen, L.; Zhang, L. High-throughput determination of high-quality interdiffusion coefficients in metallic solids: A review. J. Mater. Sci. 2020, 55, 10303–10338. [Google Scholar] [CrossRef]
- Hoekstra, J.; Kohyama, M. Ab initio calculations of the β-SiC(001)/Al interface. Phy. Rev. B 1998, 57, 2334–2341. [Google Scholar] [CrossRef]
- Einstein, A. Investigations on the Theory of the Brownian Movement; Courier Corporation: Chelmsford, MA, USA, 1956. [Google Scholar]
- Onsager, L. Reciprocal relations in irreversible processes. I. Phys. Rev. 1931, 37, 405. [Google Scholar] [CrossRef]
- Onsager, L. Reciprocal relations in irreversible processes. II. Phys. Rev. 1931, 38, 2265. [Google Scholar] [CrossRef]
- Boltzmann, L. Zur integration der diffusionsgleichung bei variabeln diffusionscoefficienten. Annalen Physik 1894, 289, 959–964. [Google Scholar] [CrossRef]
- Matano, C. On the relation between diffusion-coefficients and concentrations of solid metals. Jpn. J. Phys. 1933, 8, 109–113. [Google Scholar]
- Kim, C.W.; Dayananda, M.A. Zero-flux planes and flux reversals in the Cu- Ni- Zn System at 775 °C. Metall. Trans. A 1984, 15, 649–659. [Google Scholar] [CrossRef]
- Kirkaldy, J.S.; Young, D.J. Diffusion in the Condensed State; The Institute of Metals, 1 Carlton House Terrace: London, UK, 1987. [Google Scholar]
- Wei, M.; Zhang, L. Application of distribution functions in accurate determination of interdiffusion coefficients. Sci. Rep. 2018, 8, 5071. [Google Scholar] [CrossRef]
- Cermak, J.; Rothova, V. Concentration dependence of ternary interdiffusion coefficients in Ni3Al/Ni3Al–X couples with X=Cr, Fe, Nb and Ti. Acta Mater. 2003, 51, 4411–4421. [Google Scholar] [CrossRef]
- Viala, J.C.; Bosselet, F.; Laurent, V.; Lepetitcorps, Y. Mechanism and kinetics of the chemical interaction between liquid aluminium and silicon-carbide single crystals. J. Mater. Sci. 1993, 28, 5301–5312. [Google Scholar] [CrossRef]
- Plimpton, S. Fast parallel algorithms for short-range molecular dynamics. J. Comput. Phys. 1995, 117, 1–19. [Google Scholar] [CrossRef]
- Stukowski, A. Visualization and analysis of atomistic simulation data with OVITO–the Open Visualization Tool. Modell. Simul. Mater. Sci. Eng. 2009, 18, 015012. [Google Scholar] [CrossRef]
- Mishin, Y.; Farkas, D.; Mehl, M.J.; Papaconstantopoulos, D.A. Interatomic potentials for monoatomic metals from experimental data and ab initio calculations. Phy. Rev. B 1999, 59, 3393–3407. [Google Scholar] [CrossRef]
- Tersoff, J. Modeling solid-state chemistry: Interatomic potentials for multicomponent systems. Phy. Rev. B 1989, 39, 5566–5568. [Google Scholar] [CrossRef] [PubMed]
- Tersoff, J. Carbon defects and defect reactions in silicon. Phys. Rev. Lett. 1990, 64, 1757–1760. [Google Scholar] [CrossRef] [PubMed]
- Erhart, P.; Albe, K. Analytical potential for atomistic simulations of silicon, carbon, and silicon carbide. Phy. Rev. B 2005, 71, 035211. [Google Scholar] [CrossRef]
- Dandekar, C.R.; Shin, Y.C. Molecular dynamics based cohesive zone law for describing Al–SiC interface mechanics. Compos. Part A 2011, 42, 355–363. [Google Scholar] [CrossRef]
- Zhao, H.; Chen, N. An inverse adhesion problem for extracting interfacial pair potentials for the Al(0 0 1)/3C–SiC(0 0 1) interface. Inverse Probl. 2008, 24, 35019. [Google Scholar] [CrossRef]
- Izadi, R.; Ghavanloo, E.; Nayebi, A. Elastic properties of polymer composites reinforced with C60 fullerene and carbon onion: Molecular dynamics simulation. Physica B 2019, 574, 311636. [Google Scholar] [CrossRef]
- Purja Pun, G.P.; Yamakov, V.; Mishin, Y. Interatomic potential for the ternary Ni–Al–Co system and application to atomistic modeling of the B2–L10 martensitic transformation. Modell. Simul. Mater. Sci. Eng. 2015, 23, 65006. [Google Scholar] [CrossRef]
- Vallin, J.; Mongy, M.; Salama, K.; Beckman, O. Elastic constants of aluminum. J. Appl. Phys. 1964, 35, 1825–1826. [Google Scholar] [CrossRef]
- Vashishta, P.; Kalia, R.K.; Nakano, A.; Rino, J.P. Interaction potential for silicon carbide: A molecular dynamics study of elastic constants and vibrational density of states for crystalline and amorphous silicon carbide. J. Appl. Phys. 2007, 101, 103515. [Google Scholar] [CrossRef]
- Feldman, D.W.; Parker, J.H.; Choyke, W.J.; Patrick, L. Phonon dispersion curves by Raman scattering in SiC, polytypes 3C, 4H, 6H, 15R, and 21R. Phys. Rev. 1968, 173, 787–793. [Google Scholar] [CrossRef]
- Van Den Burg, M.; De Hosson, J.T.M. AlSiC interface structure studied by HREM. Acta Metall. Mater. 1992, 40, S281–S287. [Google Scholar] [CrossRef]
- Li, S.; Arsenault, R.; Jena, P. Quantum chemical study of adhesion at the SiC/Al interface. J. Appl. Phys. 1988, 64, 6246–6253. [Google Scholar] [CrossRef]
- Luo, X.; Qian, G.; Wang, E.G.; Chen, C. Molecular-dynamics simulation of Al/SiC interface structures. Phy. Rev. B 1999, 59, 10125–10131. [Google Scholar] [CrossRef]
- Geng, L.; Zhang, J.; Meng, Q.-C.; Yao, C.-K. Side-surface structure of a commercial β-silicon carbide whisker. J. Am. Ceram. Soc. 2002, 85, 2864–2866. [Google Scholar] [CrossRef]
- Vedeneyev, V.T. Bond Energies Ionization Potentials and Electron Affinities; Edward Arnold Publishers: London, UK, 1966. [Google Scholar]
- Zhang, X.P.; Ye, L.; Mai, Y.W.; Quan, G.F.; Wei, W. Investigation on diffusion bonding characteristics of SiC particulate reinforced aluminium metal matrix composites (Al/SiCp-MMC). Compos. Part A 1999, 30, 1415–1421. [Google Scholar] [CrossRef]










| Vacancy in SiC | Diffusion System | Al | Si | C | |||
|---|---|---|---|---|---|---|---|
| (%) | Q (kJ/mol) | (m2/s) | Q (kJ/mol) | (m2/s) | Q (kJ/mol) | (m2/s) | |
| 10 | C-terminated 6H-SiC/Al | 118.633 | 0.0083 | 40.914 | 32.009 | 51.098 | 110.031 |
| Si-terminated 6H-SiC/Al | 124.508 | 0.0318 | 41.812 | 33.781 | 41.785 | 28.004 | |
| C-terminated 3C-SiC/Al | 118.007 | 0.0111 | 39.072 | 25.861 | 43.791 | 37.063 | |
| Si-terminated 3C-SiC/Al | 118.035 | 0.0151 | 41.763 | 36.238 | 44.398 | 43.602 | |
| 20 | C-terminated 6H-SiC/Al | 124.601 | 0.0246 | 24.214 | 7.869 | 24.438 | 7.533 |
| Si-terminated 6H-SiC/Al | 113.634 | 0.0055 | 22.762 | 6.130 | 22.886 | 5.813 | |
| C-terminated 3C-SiC/Al | 123.041 | 0.0195 | 25.213 | 9.718 | 26.847 | 12.732 | |
| Si-terminated 3C-SiC/Al | 112.447 | 0.0051 | 25.162 | 10.564 | 25.327 | 10.103 |
| Diffusion Couple | Temperature (K) | For Composition Range of the Bottom Side of the Matano Plane | For Composition Range of the Top Side of the Matano Plane | ||||||
|---|---|---|---|---|---|---|---|---|---|
| C-terminated 6H-SiC/Al | 700 | 0.424 | −5.4 × 10−7 | −8.4 × 10−9 | 0.030 | 0.424 | −1.9 × 10−6 | −1.7 × 10−7 | 0.030 |
| 800 | 0.694 | −3.2 × 10−7 | −5.0 × 10−9 | 0.057 | 0.694 | −2.4 × 10−6 | −4.0 × 10−9 | 0.057 | |
| 900 | 1.194 | −2.9 × 10−6 | −1.6 × 10−7 | 0.783 | 1.194 | 3.9 × 10−6 | 3.4 × 10−8 | 0.783 | |
| 1000 | 2.309 | 4.4 × 10−6 | 7.7 × 10−7 | 1.909 | 2.309 | −2.7 × 10−6 | 3.4 × 10−7 | 1.909 | |
| Si-terminated 6H-SiC/Al | 700 | 0.421 | 1.1 × 10−7 | −6.9 × 10−7 | 1.238 | 0.421 | 1.8 × 10−7 | −1.8 × 10−7 | 1.238 |
| 800 | 0.805 | 1.7 × 10−7 | 1.5 × 10−8 | 1.422 | 0.805 | −9.2 × 10−7 | −5.9 × 10−7 | 1.422 | |
| 900 | 1.487 | 2.2 × 10−6 | 1.8 × 10−7 | 2.088 | 1.487 | 2.7 × 10−6 | 3.8 × 10−6 | 2.088 | |
| 1000 | 2.381 | −4.4 × 10−7 | −7.7 × 10−7 | 3.239 | 2.381 | −4.6 × 10−7 | −8.3 × 10−7 | 3.239 | |
| C-terminated 3C-SiC/Al | 700 | 0.480 | 4.3 × 10−8 | 2.6 × 10−8 | 0.241 | 0.480 | −1.7 × 10−6 | 2.2 × 10−7 | 0.241 |
| 800 | 0.761 | 2.8 × 10−6 | −6.6 × 10−7 | 0.675 | 0.762 | 1.4 × 10−6 | 5.2 × 10−7 | 0.675 | |
| 900 | 1.313 | 3.6 × 10−6 | −2.1 × 10−6 | 1.198 | 1.313 | 7.9 × 10−6 | 1.4 × 10−8 | 1.198 | |
| 1000 | 2.204 | −1.1 × 10−6 | −7.5 × 10−8 | 1.552 | 2.204 | −3.1 × 10−6 | 8.0 × 10−8 | 1.552 | |
| Si-terminated 3C-SiC/Al | 700 | 0.423 | 1.2 × 10−6 | 5.7 × 10−8 | 0.305 | 0.423 | −2.4 × 10−6 | 3.1 × 10−7 | 0.305 |
| 800 | 0.718 | −1.6 × 10−6 | 4.7 × 10−7 | 0.608 | 0.718 | −2.2 × 10−6 | 5.8 × 10−7 | 0.608 | |
| 900 | 1.211 | 2.1 × 10−6 | −1.0 × 10−7 | 1.411 | 1.211 | 3.3 × 10−6 | −2.9 × 10−7 | 1.411 | |
| 1000 | 2.555 | 3.0 × 10−7 | −5.4 × 10−8 | 3.814 | 2.555 | −1.2 × 10−7 | −3.8 × 10−7 | 3.814 | |
| Diffusion Couple | Temperature (K) | For Composition Range of the Bottom Side of the Matano Plane | For Composition Range of the Top Side of the Matano Plane | ||||||
|---|---|---|---|---|---|---|---|---|---|
| C-terminated 6H-SiC/Al | 700 | 1.657 | 5.9 × 10−6 | 2.2 × 10−7 | 1.292 | 1.657 | −1.4 × 10−5 | 7.6 × 10−7 | 1.292 |
| 800 | 2.420 | 3.1 × 10−6 | 5.1 × 10−7 | 1.701 | 2.420 | −1.8 × 10−6 | 4.3 × 10−7 | 1.701 | |
| 900 | 3.528 | −1.5 × 10−6 | −1.9 × 10−7 | 2.562 | 3.528 | −2.7 × 10−6 | 1.2 × 10−7 | 2.562 | |
| 1000 | 4.554 | −1.6 × 10−6 | −6.1 × 10−7 | 3.498 | 4.554 | −3.9 × 10−6 | 4.1 × 10−7 | 3.498 | |
| Si-terminated 6H-SiC/Al | 700 | 2.019 | 4.4 × 10−7 | −2.8 × 10−7 | 2.583 | 2.019 | 2.8 × 10−6 | −2.8 × 10−7 | 2.583 |
| 800 | 2.792 | 8.9 × 10−7 | 1.6 × 10−7 | 3.487 | 2.792 | 6.0 × 10−7 | 4.9 × 10−7 | 3.487 | |
| 900 | 3.782 | −2.1 × 10−6 | −2.7 × 10−7 | 4.852 | 3.782 | −2.4 × 10−6 | −8.5 × 10−7 | 4.852 | |
| 1000 | 4.668 | 9.0 × 10−7 | −1.6 × 10−5 | 5.897 | 4.668 | 9.3 × 10−6 | −8.2 × 10−6 | 5.897 | |
| C-terminated 3C-SiC/Al | 700 | 1.805 | 3.2 × 10−7 | −3.8 × 10−7 | 1.338 | 1.805 | −8.3 × 10−7 | 2.2 × 10−7 | 1.338 |
| 800 | 2.791 | 5.3 × 10−7 | −1.4 × 10−7 | 1.903 | 2.791 | 3.8 × 10−7 | −1.1 × 10−7 | 1.903 | |
| 900 | 3.732 | −3.2 × 10−7 | 1.2 × 10−7 | 2.784 | 3.732 | −8.8 × 10−7 | 1.3 × 10−7 | 2.784 | |
| 1000 | 5.092 | −7.6 × 10−5 | 7.4 × 10−8 | 4.066 | 5.092 | −4.8 × 10−4 | −1.0 × 10−6 | 4.066 | |
| Si-terminated 3C-SiC/Al | 700 | 1.405 | −6.4 × 10−7 | 2.4 × 10−7 | 2.102 | 1.405 | −1.2 × 10−6 | 3.4 × 10−7 | 2.102 |
| 800 | 2.270 | 1.2 × 10−6 | 1.4 × 10−6 | 2.992 | 2.270 | 7.6 × 10−7 | 1.6 × 10−6 | 2.992 | |
| 900 | 3.423 | 7.6 × 10−7 | −2.9 × 10−6 | 4.099 | 3.423 | 2.7 × 10−6 | −1.6 × 10−6 | 4.099 | |
| 1000 | 4.762 | 2.3 × 10−4 | −5.3 × 10−4 | 5.851 | 4.762 | 2.3 × 10−4 | −5.4 × 10−4 | 5.851 | |
| Diffusion Couple | For Composition Range of the Bottom Side of the Matano Plane | For Composition Range of the Top Side of the Matano Plane | ||||||
|---|---|---|---|---|---|---|---|---|
| C-terminated 6H-SiC/Al | 0.209 | 2.9 × 10−8 | 9.1 × 10−8 | 0.011 | 0.209 | 4.4 × 10−8 | 7.0 × 10−8 | 0.011 |
| Si-terminated 6H-SiC/Al | 0.444 | 3.5 × 10−8 | 7.6 × 10−9 | 1.042 | 0.444 | 2.9 × 10−7 | −2.2 × 10−6 | 1.042 |
| C-terminated 3C-SiC/Al | 0.037 | −5.2 × 10−7 | 5.9 × 10−9 | 0.002 | 0.037 | −2.7 × 10−7 | 2.2 × 10−8 | 0.002 |
| Si-terminated 3C-SiC/Al | 0.048 | 3.1 × 10−8 | 1.7 × 10−8 | 1.035 | 0.048 | 1.0 × 10−8 | −8.2 × 10−8 | 1.035 |
| System | Parameters | Morse Potential |
|---|---|---|
| Al–Si | D0 (eV) | 0.4824 |
| (1/Å) | 1.322 | |
| r0 (Å) | 2.92 | |
| Al–C | D0 (eV) | 0.4691 |
| (1/Å) | 1.738 | |
| r0 (Å) | 2.246 |
Disclaimer/Publisher’s Note: The statements, opinions and data contained in all publications are solely those of the individual author(s) and contributor(s) and not of MDPI and/or the editor(s). MDPI and/or the editor(s) disclaim responsibility for any injury to people or property resulting from any ideas, methods, instructions or products referred to in the content. |
© 2023 by the authors. Licensee MDPI, Basel, Switzerland. This article is an open access article distributed under the terms and conditions of the Creative Commons Attribution (CC BY) license (https://creativecommons.org/licenses/by/4.0/).
Share and Cite
Tahani, M.; Postek, E.; Motevalizadeh, L.; Sadowski, T. Effect of Vacancy Defect Content on the Interdiffusion of Cubic and Hexagonal SiC/Al Interfaces: A Molecular Dynamics Study. Molecules 2023, 28, 744. https://doi.org/10.3390/molecules28020744
Tahani M, Postek E, Motevalizadeh L, Sadowski T. Effect of Vacancy Defect Content on the Interdiffusion of Cubic and Hexagonal SiC/Al Interfaces: A Molecular Dynamics Study. Molecules. 2023; 28(2):744. https://doi.org/10.3390/molecules28020744
Chicago/Turabian StyleTahani, Masoud, Eligiusz Postek, Leili Motevalizadeh, and Tomasz Sadowski. 2023. "Effect of Vacancy Defect Content on the Interdiffusion of Cubic and Hexagonal SiC/Al Interfaces: A Molecular Dynamics Study" Molecules 28, no. 2: 744. https://doi.org/10.3390/molecules28020744
APA StyleTahani, M., Postek, E., Motevalizadeh, L., & Sadowski, T. (2023). Effect of Vacancy Defect Content on the Interdiffusion of Cubic and Hexagonal SiC/Al Interfaces: A Molecular Dynamics Study. Molecules, 28(2), 744. https://doi.org/10.3390/molecules28020744

