Synthesis of Tetracyclic Spirooxindolepyrrolidine-Engrafted Hydantoin Scaffolds: Crystallographic Analysis, Molecular Docking Studies and Evaluation of Their Antimicrobial, Anti-Inflammatory and Analgesic Activities
Abstract
1. Introduction
2. Results and Discussion
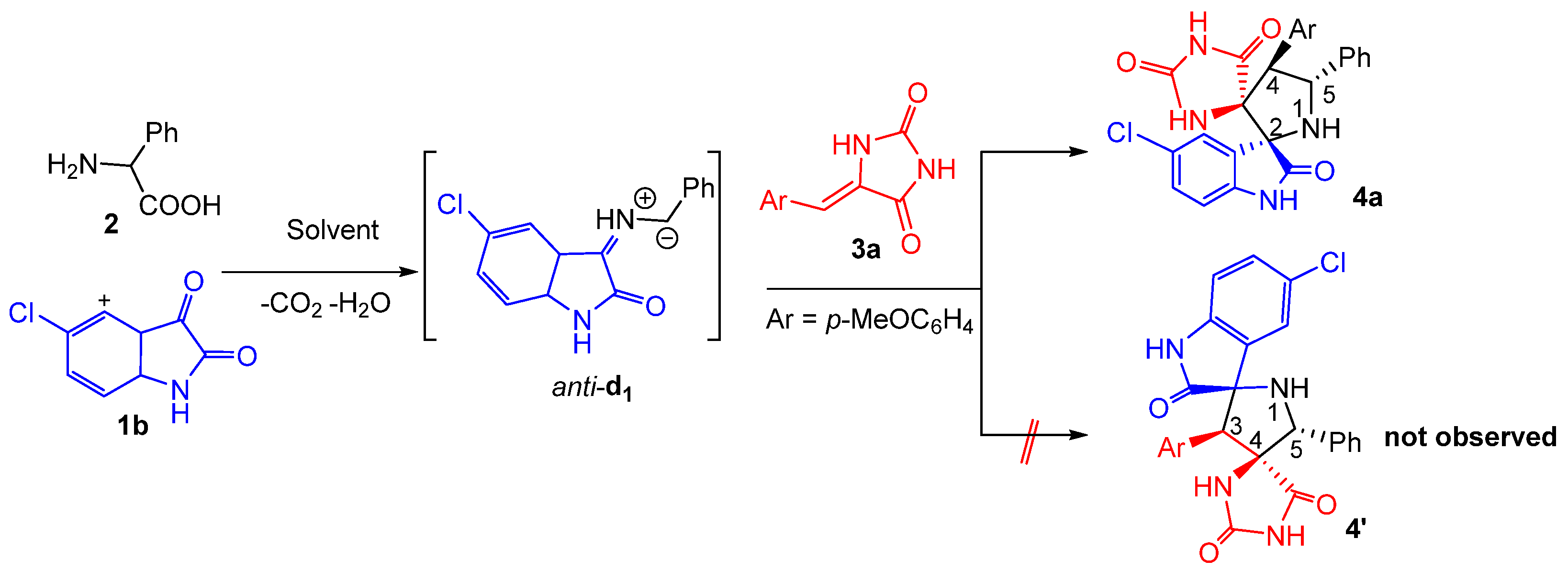
2.1. Synthetic Chemistry
2.2. Spectroscopic and Crystallographic Characterization of the Cycloadducts 4
2.3. Biological Activity
2.3.1. In Vitro Lipoxygenase Inhibitory Assay and Structure–Activity Relationship (SAR) Study
2.3.2. Carrageenan-Induced Paw Edema Test
2.3.3. In Vivo Analgesic Assay
2.3.4. Acute Toxicity
2.3.5. Screening the Spirocompounds for Antibacterial and Antifungal Activity
2.3.6. Evaluating the Bactericidal and Bacteriostatic Effects: MBC/MIC Ratio of the Spiropyrrolidines against Microbial Strains
2.3.7. SAR Study
2.4. Computational Approach
2.4.1. MolDock Score and Poses Analysis
2.4.2. Molecular Docking Study of the Antibacterial Targets
Orientation and Bonding Interaction Compound 4g in the Active Site Cavity of Thymidylate Kinase (PDB: 4QGG)
Orientation and Bonding Interaction Compound 4h in the Active Site Cavity of (3-Oxoacyl-[acyl-carrier-protein) Synthase (PDB: 4EWP)
Orientation and Bonding Interaction Compound 4c in the Active Site Cavity of DNA Gyrase (PDB: 4DUH)
2.4.3. Molecular Docking Study of the Antifungal Target
2.4.4. Molecular Docking Study of the Anti-Inflammatory Targets
2.4.5. ADME-T and Drug-Likeness Prediction
3. Materials and Methods
3.1. Apparatus and General Information
3.2. General Procedure for Preparation of Cycloadducts 4
3.3. Crystal Structure Determination
3.4. Anti-Inflammatory and Analgesic Bioassays
3.5. Computational Approach
3.5.1. Ligands and Targets Preparations
3.5.2. Molecular Docking Simulations
3.5.3. Method Validation
3.5.4. ADME-Tox Evaluation
4. Conclusions
Supplementary Materials
Author Contributions
Funding
Institutional Review Board Statement
Informed Consent Statement
Data Availability Statement
Acknowledgments
Conflicts of Interest
Correction Statement
References
- de Labry Lima, A.O.; Salamanca-Fernández, E.; Del Rey, E.J.A.; Hoces, A.M.; Vera, M.Á.G.; Tamayo, C.B. Safety Considerations during Prescription of Non-Steroidal Anti-Inflammatory Drugs (NSAIDs), through a Review of Systematic Reviews. An. Sist. Sanit. Navar. 2021, 44, 261–273. [Google Scholar] [CrossRef]
- Ghlichloo, I.; Gerriets, V. Nonsteroidal Anti-Inflammatory Drugs (NSAIDs). In StatPearls; StatPearls Publishing: Treasure Island, FL, USA, 2023. [Google Scholar]
- Drini, M. Peptic Ulcer Disease and Non-Steroidal Anti-Inflammatory Drugs. Aust. Prescr. 2017, 40, 91–93. [Google Scholar] [CrossRef] [PubMed]
- von Philipsborn, P.; Biallas, R.; Burns, J.; Drees, S.; Geffert, K.; Movsisyan, A.; Pfadenhauer, L.M.; Sell, K.; Strahwald, B.; Stratil, J.M.; et al. Adverse Effects of Non-Steroidal Anti-Inflammatory Drugs in Patients with Viral Respiratory Infections: Rapid Systematic Review. BMJ Open 2020, 10, e040990. [Google Scholar] [CrossRef]
- Sohail, R.; Mathew, M.; Patel, K.K.; Reddy, S.A.; Haider, Z.; Naria, M.; Habib, A.; Abdin, Z.U.; Chaudhry, W.R.; Akbar, A.; et al. Effects of Non-Steroidal Anti-Inflammatory Drugs (NSAIDs) and Gastroprotective NSAIDs on the Gastrointestinal Tract: A Narrative Review. Cureus 2023, 15, e37080. [Google Scholar] [CrossRef]
- Ju, Z.; Li, M.; Xu, J.; Howell, D.C.; Li, Z.; Chen, F.-E. Recent Development on COX-2 Inhibitors as Promising Anti-Inflammatory Agents: The Past 10 Years. Acta Pharm. Sin. B 2022, 12, 2790–2807. [Google Scholar] [CrossRef]
- Salam, M.A.; Al-Amin, M.Y.; Salam, M.T.; Pawar, J.S.; Akhter, N.; Rabaan, A.A.; Alqumber, M.A.A. Antimicrobial Resistance: A Growing Serious Threat for Global Public Health. Healthcare 2023, 11, 1946. [Google Scholar] [CrossRef]
- Serwecińska, L. Antimicrobials and Antibiotic-Resistant Bacteria: A Risk to the Environment and to Public Health. Water 2020, 12, 3313. [Google Scholar] [CrossRef]
- Talebi Bezmin Abadi, A.; Rizvanov, A.A.; Haertlé, T.; Blatt, N.L. World Health Organization Report: Current Crisis of Antibiotic Resistance. BioNanoSci 2019, 9, 778–788. [Google Scholar] [CrossRef]
- Mancuso, G.; Midiri, A.; Gerace, E.; Biondo, C. Bacterial Antibiotic Resistance: The Most Critical Pathogens. Pathogens 2021, 10, 1310. [Google Scholar] [CrossRef]
- Antimicrobial Resistance. Available online: https://www.who.int/news-room/fact-sheets/detail/antimicrobial-resistance (accessed on 19 August 2023).
- Gurung, R.R.; Maharjan, P.; Chhetri, G.G. Antibiotic Resistance Pattern of Staphylococcus Aureus with Reference to MRSA Isolates from Pediatric Patients. Future Sci. OA 2020, 6, FSO464. [Google Scholar] [CrossRef]
- Panda, S.S.; Girgis, A.S.; Aziz, M.N.; Bekheit, M.S. Spirooxindole: A Versatile Biologically Active Heterocyclic Scaffold. Molecules 2023, 28, 618. [Google Scholar] [CrossRef]
- Zhou, L.-M.; Qu, R.-Y.; Yang, G.-F. An Overview of Spirooxindole as a Promising Scaffold for Novel Drug Discovery. Expert Opin. Drug Discov. 2020, 15, 603–625. [Google Scholar] [CrossRef] [PubMed]
- Yu, B.; Yu, Z.; Qi, P.-P.; Yu, D.-Q.; Liu, H.-M. Drug Discovery Using Spirooxindole Cores: Success and Challenges [Corrected]. Eur. J. Med. Chem. 2015, 95, 35–40. [Google Scholar] [CrossRef] [PubMed]
- Kornet, M.J.; Thio, A.P. Oxindole-3-Spiropyrrolidines and -Piperidines. Synthesis and Local Anesthetic Activity. J. Med. Chem. 1976, 19, 892–898. [Google Scholar] [CrossRef] [PubMed]
- de Silva, N.H.; Pyreddy, S.; Blanch, E.W.; Hügel, H.M.; Maniam, S. Microwave-Assisted Rapid Synthesis of Spirooxindole-Pyrrolizidine Analogues and Their Activity as Anti-Amyloidogenic Agents. Bioorganic Chem. 2021, 114, 105128. [Google Scholar] [CrossRef]
- Toumi, A.; Boudriga, S.; Hamden, K.; Daoud, I.; Askri, M.; Soldera, A.; Lohier, J.-F.; Strohmann, C.; Brieger, L.; Knorr, M. Diversity-Oriented Synthesis of Spiropyrrolo [1,2-a ]Isoquinoline Derivatives via Diastereoselective and Regiodivergent Three-Component 1,3-Dipolar Cycloaddition Reactions: In Vitro and In Vivo Evaluation of the Antidiabetic Activity of Rhodanine Analogues. J. Org. Chem. 2021, 86, 13420–13445. [Google Scholar] [CrossRef]
- Nivetha, N.; Mary Martiz, R.; Patil, S.M.; Ramu, R.; Sreenivasa, S.; Velmathi, S. Benzodioxole Grafted Spirooxindole Pyrrolidinyl Derivatives: Synthesis, Characterization, Molecular Docking and Anti-Diabetic Activity. RSC Adv. 2022, 12, 24192–24207. [Google Scholar] [CrossRef]
- Lotesta, S.D.; Marcus, A.P.; Zheng, Y.; Leftheris, K.; Noto, P.B.; Meng, S.; Kandpal, G.; Chen, G.; Zhou, J.; McKeever, B.; et al. Identification of Spirooxindole and Dibenzoxazepine Motifs as Potent Mineralocorticoid Receptor Antagonists. Bioorganic Med. Chem. 2016, 24, 1384–1391. [Google Scholar] [CrossRef]
- Wang, B.; Peng, F.; Huang, W.; Zhou, J.; Zhang, N.; Sheng, J.; Haruehanroengra, P.; He, G.; Han, B. Rational Drug Design, Synthesis, and Biological Evaluation of Novel Chiral Tetrahydronaphthalene-Fused Spirooxindole as MDM2-CDK4 Dual Inhibitor against Glioblastoma. Acta Pharm. Sin. B 2020, 10, 1492–1510. [Google Scholar] [CrossRef]
- Al-Majid, A.M.; Ghawas, H.M.; Islam, M.S.; Soliman, S.M.; El-Senduny, F.F.; Badria, F.A.; Ali, M.; Shaik, M.R.; Ghabbour, H.A.; Barakat, A. Synthesis of Spiroindolone Analogue via Three Components Reaction of Olefin with Isatin and Sarcosine: Anti-Proliferative Activity and Computational Studies. J. Mol. Struct. 2020, 1204, 127500. [Google Scholar] [CrossRef]
- Kumar, A.; Gupta, G.; Srivastava, S.; Bishnoi, A.K.; Saxena, R.; Kant, R.; Khanna, R.S.; Maulik, P.R.; Dwivedi, A. Novel Diastereoselective Synthesis of Spiropyrrolidine-Oxindole Derivatives as Anti-Breast Cancer Agents. RSC Adv. 2013, 3, 4731. [Google Scholar] [CrossRef]
- Sun, Y.; Liu, J.; Jiang, X.; Sun, T.; Liu, L.; Zhang, X.; Ding, S.; Li, J.; Zhuang, Y.; Wang, Y.; et al. One-Step Synthesis of Chiral Oxindole-Type Analogues with Potent Anti-Inflammatory and Analgesic Activities. Sci. Rep. 2015, 5, 13699. [Google Scholar] [CrossRef] [PubMed]
- Jiang, X.; Cao, Y.; Wang, Y.; Liu, L.; Shen, F.; Wang, R. A Unique Approach to the Concise Synthesis of Highly Optically Active Spirooxazolines and the Discovery of a More Potent Oxindole-Type Phytoalexin Analogue. J. Am. Chem. Soc. 2010, 132, 15328–15333. [Google Scholar] [CrossRef] [PubMed]
- Lotfy, G.; Aziz, Y.M.A.; Said, M.M.; El Ashry, E.S.H.; El Tamany, E.S.H.; Barakat, A.; Ghabbour, H.A.; Yousuf, S.; Ul-Haq, Z.; Choudhary, M.I. Synthesis of Oxindole Analogues, Biological Activity, and In Silico Studies. ChemistrySelect 2019, 4, 10510–10516. [Google Scholar] [CrossRef]
- Chouchène, N.; Toumi, A.; Boudriga, S.; Edziri, H.; Sobeh, M.; Abdelfattah, M.A.O.; Askri, M.; Knorr, M.; Strohmann, C.; Brieger, L.; et al. Antimicrobial Activity and DFT Studies of a Novel Set of Spiropyrrolidines Tethered with Thiochroman-4-One/Chroman-4-One Scaffolds. Molecules 2022, 27, 582. [Google Scholar] [CrossRef]
- Konnert, L.; Lamaty, F.; Martinez, J.; Colacino, E. Recent Advances in the Synthesis of Hydantoins: The State of the Art of a Valuable Scaffold. Chem. Rev. 2017, 117, 13757–13809. [Google Scholar] [CrossRef]
- Hydantoin. Imidazolidine-2,4-diones. Available online: https://en.wikipedia.org/wiki/Hydantoin) (accessed on 17 October 2023).
- Upadhyay, N.; Tilekar, K.; Loiodice, F.; Anisimova, N.Y.; Spirina, T.S.; Sokolova, D.V.; Smirnova, G.B.; Choe, J.; Meyer-Almes, F.-J.; Pokrovsky, V.S.; et al. Pharmacophore Hybridization Approach to Discover Novel Pyrazoline-Based Hydantoin Analogs with Anti-Tumor Efficacy. Bioorganic Chem. 2021, 107, 104527. [Google Scholar] [CrossRef]
- Zuo, M.; Xu, X.; Xie, Z.; Ge, R.; Zhang, Z.; Li, Z.; Bian, J. Design and Synthesis of Indoline Thiohydantoin Derivatives Based on Enzalutamide as Antiproliferative Agents against Prostate Cancer. Eur. J. Med. Chem. 2017, 125, 1002–1022. [Google Scholar] [CrossRef]
- Ahmedova, A.; Pavlović, G.; Marinov, M.; Marinova, P.; Momekov, G.; Paradowska, K.; Yordanova, S.; Stoyanov, S.; Vassilev, N.; Stoyanov, N. Synthesis and Anticancer Activity of Pt(II) Complexes of Spiro-5-Substituted 2,4-Dithiohydantoins. Inorganica Chim. Acta 2021, 528, 120605. [Google Scholar] [CrossRef]
- Lin, X.; Tago, K.; Okazaki, N.; So, T.; Takahashi, K.; Mashino, T.; Tamura, H.; Funakoshi-Tago, M. The Indole-Hydantoin Derivative Exhibits Anti-Inflammatory Activity by Preventing the Transactivation of NF-κB through the Inhibition of NF-κB P65 Phosphorylation at Ser276. Int. Immunopharmacol. 2021, 100, 108092. [Google Scholar] [CrossRef]
- Lee, T.H.; Khan, Z.; Kim, S.Y.; Lee, K.R. Thiohydantoin and Hydantoin Derivatives from the Roots of Armoracia Rusticana and Their Neurotrophic and Anti-Neuroinflammatory Activities. J. Nat. Prod. 2019, 82, 3020–3024. [Google Scholar] [CrossRef] [PubMed]
- Kochetkov, K.A.; Gorunova, O.N.; Bystrova, N.A. Biologically Oriented Hybrids of Indole and Hydantoin Derivatives. Molecules 2023, 28, 602. [Google Scholar] [CrossRef] [PubMed]
- Kumar, M.; Kumar Singh, P.; Choudhary, S.; Silakari, O. Hydantoin Based Dual Inhibitors of ALR2 and PARP-1: Design, Synthesis, in vitro and in vivo Evaluation. Bioorganic Chem. 2022, 129, 106108. [Google Scholar] [CrossRef] [PubMed]
- Marzouk, A.A.; Bass, A.K.A.; Ahmed, M.S.; Abdelhamid, A.A.; Elshaier, Y.A.M.M.; Salman, A.M.M.; Aly, O.M. Design, Synthesis and Anticonvulsant Activity of New Imidazolidindione and Imidazole Derivatives. Bioorganic Chem. 2020, 101, 104020. [Google Scholar] [CrossRef]
- Todorov, P.; Peneva, P.; Georgieva, S.; Tchekalarova, J.; Rangelov, M.; Todorova, N. Synthesis and Characterization of New 5,5′-Dimethyl- and 5,5′-Diphenylhydantoin-Conjugated Hemorphin Derivatives Designed as Potential Anticonvulsant Agents. New J. Chem. 2022, 46, 2198–2217. [Google Scholar] [CrossRef]
- Langer, M.K.; Rahman, A.; Dey, H.; Anderssen, T.; Blencke, H.-M.; Haug, T.; Stensvåg, K.; Strøm, M.B.; Bayer, A. Investigation of Tetrasubstituted Heterocycles Reveals Hydantoins as a Promising Scaffold for Development of Novel Antimicrobials with Membranolytic Properties. Eur. J. Med. Chem. 2023, 249, 115147. [Google Scholar] [CrossRef]
- Gupta, M.; Tripp, J. Phenytoin. In StatPearls; StatPearls Publishing: Treasure Island, FL, USA, 2023. [Google Scholar]
- Nilutamide—LiverTox—NCBI Bookshelf. Available online: https://www.ncbi.nlm.nih.gov/books/NBK548158/ (accessed on 20 August 2023).
- Squadrito, F.J.; del Portal, D. Nitrofurantoin. In StatPearls; StatPearls Publishing: Treasure Island, FL, USA, 2023. [Google Scholar]
- He, J.; Ouyang, G.; Yuan, Z.; Tong, R.; Shi, J.; Ouyang, L. A Facile Synthesis of Functionalized Dispirooxindole Derivatives via a Three-Component 1,3-Dipolar Cycloaddition Reaction. Molecules 2013, 18, 5142–5154. [Google Scholar] [CrossRef]
- Choi, J.; Chon, J.K.; Kim, S.; Shin, W. Conformational Flexibility in Mammalian 15S-lipoxygenase: Reinterpretation of the Crystallographic Data. Proteins 2008, 70, 1023–1032. [Google Scholar] [CrossRef]
- LOXs. Available online: Https://En.Wikipedia.Org/Wiki/Lipoxygenase (accessed on 17 October 2023).
- Mashima, R.; Okuyama, T. The Role of Lipoxygenases in Pathophysiology; New Insights and Future Perspectives. Redox Biol. 2015, 6, 297–310. [Google Scholar] [CrossRef]
- Lopes-Martins, R.A.B.; Pegoraro, D.H.; Woisky, R.; Penna, S.C.; Sertié, J.A.A. The Anti-Inflammatory and Analgesic Effects of a Crude Extract of Petiveria alliacea L. (Phytolaccaceae). Phytomedicine 2002, 9, 245–248. [Google Scholar] [CrossRef]
- Gupta, A.K.; Parasar, D.; Sagar, A.; Choudhary, V.; Chopra, B.S.; Garg, R.; Ashish; Khatri, N. Analgesic and Anti-Inflammatory Properties of Gelsolin in Acetic Acid Induced Writhing, Tail Immersion and Carrageenan Induced Paw Edema in Mice. PLoS ONE 2015, 10, e0135558. [Google Scholar] [CrossRef] [PubMed]
- Wangusi, B.M.; Kanja, L.W.; Ole-Mapenay, I.M.; Onyancha, J.M. Acute Toxicity, Phytochemical Screening, Analgesic, and Anti-Inflammatory Activities of Aqueous and Methanol Root Extracts of Maerua triphylla A. Rich. (Capparaceae). Evid.-Based Complement. Altern. Med. 2021, 2021, 3121785. [Google Scholar] [CrossRef]
- Hossain, K.H.; Rahman, M.A.; Taher, M.; Tangpong, J.; Hajjar, D.; Alelwani, W.; Makki, A.A.; Ali Reza, A.S.M. Hot Methanol Extract of Leea Macrophylla (Roxb.) Manages Chemical-Induced Inflammation in Rodent Model. J. King Saud Univ.-Sci. 2020, 32, 2892–2899. [Google Scholar] [CrossRef]
- Mohamed, T.; Souiy, Z.; Achour, L.; Hamden, K. Anti-Obesity, Anti-Hyperglycaemic, Anti-Antipyretic and Analgesic Activities of Globularia alypum Extracts. Arch. Physiol. Biochem. 2022, 128, 1453–1460. [Google Scholar] [CrossRef] [PubMed]
- Ilmi, H.; Pamungkas, I.R.; Tumewu, L.; Hafid, A.F.; Widyawaruyanti, A. Analgesic and Antipyretic Activities of Ethyl Acetate Fraction Tablet of Andrographis paniculata in Animal Models. Evid.-Based Complement. Altern. Med. 2021, 2021, 8848797. [Google Scholar] [CrossRef]
- Dzoyem, J.P.; McGaw, L.J.; Kuete, V.; Bakowsky, U. Anti-Inflammatory and Anti-Nociceptive Activities of African Medicinal Spices and Vegetables. In Medicinal Spices and Vegetables from Africa; Elsevier: Amsterdam, The Netherlands, 2017; pp. 239–270. ISBN 978-0-12-809286-6. [Google Scholar]
- Balouiri, M.; Sadiki, M.; Ibnsouda, S.K. Methods for in Vitro Evaluating Antimicrobial Activity: A Review. J. Pharm. Anal. 2016, 6, 71–79. [Google Scholar] [CrossRef]
- Imberty, A.; Hardman, K.D.; Carver, J.P.; Perez, S. Molecular Modelling of Protein-Carbohydrate Interactions. Docking of Monosaccharides in the Binding Site of Concanavalin A. Glycobiology 1991, 1, 631–642. [Google Scholar] [CrossRef]
- Jeffrey, G.A. An Introduction to Hydrogen Bonding; Oxford University Press: Oxford, UK, 1997; ISBN 978-0-19-509549-4. [Google Scholar]
- Wade, R.C.; Goodford, P.J. The Role of Hydrogen-Bonds in Drug Binding. Prog. Clin. Biol. Res. 1989, 289, 433–444. [Google Scholar]
- Janiak, C. A Critical Account on π–π Stacking in Metal Complexes with Aromatic Nitrogen-Containing Ligands. J. Chem. Soc. Dalton Trans. 2000, 3885–3896. [Google Scholar] [CrossRef]
- Piovesan, D.; Minervini, G.; Tosatto, S.C.E. The RING 2.0 Web Server for High Quality Residue Interaction Networks. Nucleic Acids Res. 2016, 44, W367–W374. [Google Scholar] [CrossRef]
- Burley, S.K.; Petsko, G.A. Aromatic-Aromatic Interaction: A Mechanism of Protein Structure Stabilization. Science 1985, 229, 23–28. [Google Scholar] [CrossRef] [PubMed]
- Barakat, A.; Al-Majid, A.M.; Al-Qahtany, B.M.; Ali, M.; Teleb, M.; Al-Agamy, M.H.; Naz, S.; Ul-Haq, Z. Synthesis, Antimicrobial Activity, Pharmacophore Modeling and Molecular Docking Studies of New Pyrazole-Dimedone Hybrid Architectures. Chem. Cent. J. 2018, 12, 29. [Google Scholar] [CrossRef] [PubMed]
- Hussain, M.; Qadri, T.; Hussain, Z.; Saeed, A.; Channar, P.A.; Shehzadi, S.A.; Hassan, M.; Larik, F.A.; Mahmood, T.; Malik, A. Synthesis, Antibacterial Activity and Molecular Docking Study of Vanillin Derived 1,4-Disubstituted 1,2,3-Triazoles as Inhibitors of Bacterial DNA Synthesis. Heliyon 2019, 5, e02812. [Google Scholar] [CrossRef] [PubMed]
- Saminathan, M.; Kanagarajan, S.; Chandrasekaran, R.; Sivasubramaniyan, A.; Raja, R.; Alagusundaram, P. Synthesis, Structural, DFT Investigations and Antibacterial Activity Assessment of Pyrazoline-Thiocyanatoethanone Derivatives as Thymidylate Kinase Inhibitors. J. Chin. Chem. Soc. 2020, 67, 1100–1112. [Google Scholar] [CrossRef]
- Keivanloo, A.; Fakharian, M.; Sepehri, S. 1,2,3-Triazoles Based 3-Substituted 2-Thioquinoxalines: Synthesis, Anti-Bacterial Activities, and Molecular Docking Studies. J. Mol. Struct. 2020, 1202, 127262. [Google Scholar] [CrossRef]
- Pereira, J.H.; Goh, E.-B.; Keasling, J.D.; Beller, H.R.; Adams, P.D. Structure of FabH and Factors Affecting the Distribution of Branched Fatty Acids in Micrococcus Luteus. Acta Cryst. D 2012, 68, 1320–1328. [Google Scholar] [CrossRef]
- Ammar, Y.A.; Farag, A.A.; Ali, A.M.; Ragab, A.; Askar, A.A.; Elsisi, D.M.; Belal, A. Design, Synthesis, Antimicrobial Activity and Molecular Docking Studies of Some Novel Di-Substituted Sulfonylquinoxaline Derivatives. Bioorganic Chem. 2020, 104, 104164. [Google Scholar] [CrossRef]
- Fois, B.; Skok, Ž.; Tomašič, T.; Ilaš, J.; Zidar, N.; Zega, A.; Peterlin Mašič, L.; Szili, P.; Draskovits, G.; Nyerges, Á.; et al. Dual Escherichia coli DNA Gyrase A and B Inhibitors with Antibacterial Activity. ChemMedChem 2020, 15, 265–269. [Google Scholar] [CrossRef]
- Bergant Loboda, K.; Janežič, M.; Štampar, M.; Žegura, B.; Filipič, M.; Perdih, A. Substituted 4,5′-Bithiazoles as Catalytic Inhibitors of Human DNA Topoisomerase IIα. J. Chem. Inf. Model. 2020, 60, 3662–3678. [Google Scholar] [CrossRef]
- Elshaier, Y.A.M.M.; Barakat, A.; Al-Qahtany, B.M.; Al-Majid, A.M.; Al-Agamy, M.H. Synthesis of Pyrazole-Thiobarbituric Acid Derivatives: Antimicrobial Activity and Docking Studies. Molecules 2016, 21, 1337. [Google Scholar] [CrossRef]
- Aljohny, B.O.; Rauf, A.; Anwar, Y.; Naz, S.; Wadood, A. Antibacterial, Antifungal, Antioxidant, and Docking Studies of Potential Dinaphthodiospyrols from Diospyros Lotus Linn Roots. ACS Omega 2021, 6, 5878–5885. [Google Scholar] [CrossRef] [PubMed]
- Muzaffar, S.; Shahid, W.; Riaz, N.; Saleem, M.; Ashraf, M.; Aziz-ur-Rehman; Bashir, B.; Kaleem, A.; al-Rashida, M.; Baral, B.; et al. Probing Phenylcarbamoylazinane-1,2,4-Triazole Amides Derivatives as Lipoxygenase Inhibitors along with Cytotoxic, ADME and Molecular Docking Studies. Bioorganic Chem. 2021, 107, 104525. [Google Scholar] [CrossRef] [PubMed]
- Holota, S.; Yushyn, I.; Khyluk, D.; Vynnytska, R.; Lesyk, R. N-(3-Cyano-4,5,6,7-tetrahydrobenzothiophen-2-Yl)-2-[[5-[(1,5-dimethyl-3-oxo-2-phenylpyrazol-4-Yl)amino]-1,3,4-thiadiazol-2-Yl]sulfanyl]acetamide. Molbank 2021, 2021, M1211. [Google Scholar] [CrossRef]
- Belaiba, M.; Aldulaijan, S.; Messaoudi, S.; Abedrabba, M.; Dhouib, A.; Bouajila, J. Evaluation of Biological Activities of Twenty Flavones and In Silico Docking Study. Molecules 2023, 28, 2419. [Google Scholar] [CrossRef]
- Alam, A.; Jawaid, T.; Alam, P. In Vitro Antioxidant and Anti-Inflammatory Activities of Green Cardamom Essential Oil and in Silico Molecular Docking of Its Major Bioactives. J. Taibah Univ. Sci. 2021, 15, 757–768. [Google Scholar] [CrossRef]
- Lončarić, M.; Strelec, I.; Pavić, V.; Šubarić, D.; Rastija, V.; Molnar, M. Lipoxygenase Inhibition Activity of Coumarin Derivatives—QSAR and Molecular Docking Study. Pharmaceuticals 2020, 13, 154. [Google Scholar] [CrossRef] [PubMed]
- Bruker. Apex 4; Bruker AXS Inc.: Madison, WI, USA, 2021. [Google Scholar]
- Sheldrick, G.M. A Short History of SHELX. Acta Cryst. A 2008, 64, 112–122. [Google Scholar] [CrossRef]
- Sheldrick, G.M. SHELXT—Integrated Space-Group and Crystal-Structure Determination. Acta Cryst. A 2015, 71, 3–8. [Google Scholar] [CrossRef]
- Sheldrick, G.M. Crystal Structure Refinement with SHELXL. Acta Cryst. C 2015, 71, 3–8. [Google Scholar] [CrossRef]
- Dolomanov, O.V.; Bourhis, L.J.; Gildea, R.J.; Howard, J.A.K.; Puschmann, H. OLEX2: A Complete Structure Solution, Refinement and Analysis Program. J. Appl. Cryst. 2009, 42, 339–341. [Google Scholar] [CrossRef]
- Choudhary, M.I.; Azizuddin; Jalil, S.; Nawaz, S.A.; Khan, K.M.; Tareen, R.B. Atta-ur-Rahman Antiinflammatory and Lipoxygenase Inhibitory Compounds from Vitex Agnus-Castus. Phytother. Res. 2009, 23, 1336–1339. [Google Scholar] [CrossRef]
- Tiss, M.; Souiy, Z.; Achour, L.; Hamden, K. Ephedra Alata Extracts Exerts Anti-Obesity, Anti-Hyperglycemia, Anti-Antipyretic and Analgesic Effects. Nutr. Food Sci. 2021, 52, 119–128. [Google Scholar] [CrossRef]
- Cordaro, M.; Siracusa, R.; Fusco, R.; D’Amico, R.; Peritore, A.F.; Gugliandolo, E.; Genovese, T.; Scuto, M.; Crupi, R.; Mandalari, G.; et al. Cashew (Anacardium occidentale L.) Nuts Counteract Oxidative Stress and Inflammation in an Acute Experimental Model of Carrageenan-Induced Paw Edema. Antioxidants 2020, 9, 660. [Google Scholar] [CrossRef] [PubMed]
- Stewart, J.J.P. Optimization of Parameters for Semiempirical Methods V: Modification of NDDO Approximations and Application to 70 Elements. J. Mol. Model. 2007, 13, 1173–1213. [Google Scholar] [CrossRef]
- HyperChem, version 8; Molecular Modelling System; Hypercube Inc.: Gainesville, FL, USA, 2009.
- Kawatkar, S.P.; Keating, T.A.; Olivier, N.B.; Breen, J.N.; Green, O.M.; Guler, S.Y.; Hentemann, M.F.; Loch, J.T.; McKenzie, A.R.; Newman, J.V.; et al. Antibacterial Inhibitors of Gram-Positive Thymidylate Kinase: Structure–Activity Relationships and Chiral Preference of a New Hydrophobic Binding Region. J. Med. Chem. 2014, 57, 4584–4597. [Google Scholar] [CrossRef] [PubMed]
- Brvar, M.; Perdih, A.; Renko, M.; Anderluh, G.; Turk, D.; Solmajer, T. Structure-Based Discovery of Substituted 4,5′-Bithiazoles as Novel DNA Gyrase Inhibitors. J. Med. Chem. 2012, 55, 6413–6426. [Google Scholar] [CrossRef]
- Sogabe, S.; Masubuchi, M.; Sakata, K.; Fukami, T.A.; Morikami, K.; Shiratori, Y.; Ebiike, H.; Kawasaki, K.; Aoki, Y.; Shimma, N.; et al. Crystal Structures of Candida Albicans N-Myristoyltransferase with Two Distinct Inhibitors. Chem. Biol. 2002, 9, 1119–1128. [Google Scholar] [CrossRef]
- Gilbert, N.C.; Rui, Z.; Neau, D.B.; Waight, M.T.; Bartlett, S.G.; Boeglin, W.E.; Brash, A.R.; Newcomer, M.E. Conversion of Human 5-Lipoxygenase to a 15-Lipoxygenase by a Point Mutation to Mimic Phosphorylation at Serine-663. FASEB J. 2012, 26, 3222–3229. [Google Scholar] [CrossRef]
- Didierjean, C.; Tête-Favier, F. Introduction to Protein Science. Architecture, Function and Genomics. Third Edition. By Arthur M. Lesk. Oxford University Press, 2016. Pp. 466. Paperback. Price GBP 39.99. ISBN 9780198716846. Acta Cryst. D 2016, 72, 1308–1309. [Google Scholar] [CrossRef]
- Thomsen, R.; Christensen, M.H. MolDock: A New Technique for High-Accuracy Molecular Docking. J. Med. Chem. 2006, 49, 3315–3321. [Google Scholar] [CrossRef]
- Daoud, I.; Bouarab, S.; Ghalem, S. Docking, Dynamic Simulation and Quantum Mechanics Studies of Pyrazinamide Derivatives as Novel Inhibitors of Acetylcholinesterase and Butyrylcholinesterase. Pharma. Chem. 2015, 7, 307–321. [Google Scholar]
- Simon, L.; Imane, A.; Srinivasan, K.K.; Pathak, L.; Daoud, I. In Silico Drug-Designing Studies on Flavanoids as Anticolon Cancer Agents: Pharmacophore Mapping, Molecular Docking, and Monte Carlo Method-Based QSAR Modeling. Interdiscip. Sci. Comput. Life Sci. 2017, 9, 445–458. [Google Scholar] [CrossRef] [PubMed]
- Salah, T.; Belaidi, S.; Melkemi, N.; Daoud, I.; Boughdiri, S. In Silico Investigation by Conceptual DFT and Molecular Docking of Antitrypanosomal Compounds for Understanding Cruzain Inhibition. J. Theor. Comput. Chem. 2016, 15, 1650021. [Google Scholar] [CrossRef]
- Hevener, K.E.; Zhao, W.; Ball, D.M.; Babaoglu, K.; Qi, J.; White, S.W.; Lee, R.E. Validation of Molecular Docking Programs for Virtual Screening against Dihydropteroate Synthase. J. Chem. Inf. Model. 2009, 49, 444–460. [Google Scholar] [CrossRef] [PubMed]
- Daina, A.; Michielin, O.; Zoete, V. SwissADME: A Free Web Tool to Evaluate Pharmacokinetics, Drug-Likeness and Medicinal Chemistry Friendliness of Small Molecules. Sci. Rep. 2017, 7, 42717. [Google Scholar] [CrossRef]
- Pires, D.E.V.; Blundell, T.L.; Ascher, D.B. pkCSM: Predicting Small-Molecule Pharmacokinetic and Toxicity Properties Using Graph-Based Signatures. J. Med. Chem. 2015, 58, 4066–4072. [Google Scholar] [CrossRef]












| Entry | Solvent | t(h) | T(°C) | Yield(%) b |
|---|---|---|---|---|
| 1 | EtOH | 8 | reflux | 70 |
| 2 | EtOH/H2O | 10 | 100 | 36 |
| 3 | 1,4-dioxane | 8 | 80 | 52 |
| 4 | THF | 8 | 80 | 44 |
| 5 | MeOH | 5 | reflux | 85 |
| 6 | Toluene | 8 | 80 | 14 |
| 7 | CH3CN | 8 | 65 | 60 |
| Comp. | IC50 (mg/mL) | LogP * | Comp. | IC50 (mg/mL) | LogP | Comp. | IC50 (mg/mL) | LogP |
|---|---|---|---|---|---|---|---|---|
| 4a | 2.72 ± 0.23 | 1.44 | 4f | 4.92 ± 0.37 | 0.95 | 4k | 1.55 ± 0.11 | 1.55 |
| 4b | 2.93 ± 0.11 | 1.55 | 4g | 4.96 ± 0.31 | 3.09 | 4l | 1.09 ± 0.13 | 1.70 |
| 4c | 2.16 ± 0.17 | 2.37 | 4h | 1.66 ± 0.15 | 3.26 | 4m | 1.42 ± 0.15 | 1.55 |
| 4d | 2.34 ± 0.12 | 0.95 | 4i | 1.01 ± 0.09 | 2.18 | Diclofenac sodium | 1.19 ± 0.11 | 3.84 |
| 4e | 1.77 ± 0.11 | 2.69 | 4j | 1.92 ± 0.13 | 1.44 |
| Increase in Paw Volume (Time in Hour) | % Inhibition of Edema | ||||||
|---|---|---|---|---|---|---|---|
| 0 h | 1 h | 2 h | 4 h | 1 h | 2 h | 4 h | |
| Control | 0.59 ± 0.11 | 1.31 ± 0.36 | 1.54 ± 0.18 | 2.27 ± 0.10 | - | - | - |
| 4i | 0.43 ± 0.14 | 0.98 ± 0.11 | 1.13 ± 0.21 | 1.51 ± 0.13 | 27 | 25 | 33 |
| 4l | 0.57 ± 0.19 | 0.93 ± 0.13 | 1.26 ± 0.31 | 1.73 ± 0.33 | 29 | 18 | 32 |
| Diclofenac sodium | 0.41 ± 0.11 | 0.59 ± 0.13 | 0.83 ± 0.19 | 1.21 ± 0.39 | 30 | 46 | 46 |
| Number of Writhing a | % Inhibition | |
|---|---|---|
| Control | 63 ± 7 | 0 |
| 4i | 36 ± 5 | 42 |
| 4l | 29 ± 6 | 53 |
| Diclofenac sodium | 23 ± 4 | 63 |
| Control | 4i | 4l | |
|---|---|---|---|
| AST (U/L) | 95 ± 10 | 98.3 ± 13 | 101 ± 11 |
| ALT (U/L) | 18.5 ± 1.2 | 21.1 ± 1.5 | 22 ± 1.7 |
| Albumin (g/L) | 7.71 ± 1.3 | 8.7 ± 1.66 | 8.5 ± 1.1 |
| Urea (mmol/L) | 2.52 ± 0.5 | 2.83 ± 0.7 | 2.97 ± 0.5 |
| Creat (µmol/L) | 3.06 ± 0.2 | 3.31 ± 0.9 | 3.41 ± 0.8 |
| Comp. | Bacterial Strains | Yeast Strains | ||||
|---|---|---|---|---|---|---|
| Gram-Positive Bacteria | Gram-Negative Bacteria | |||||
| S. aureus ATCC 25923 | M. luteus NCIMB 8166 | E. coli ATCC 25922 | P. aeruginosa ATCC 27950 | C. albicans ATCC 90028 | C. kreusei ATCC 6258 | |
| 4a | 187.50 | >1500 | >1500 | 375 | 93.75 | 93.75 |
| 4b | 750 | 750 | 375 | 93.75 | 187.50 | 93.75 |
| 4c | 187.50 | 750 | 187.50 | 93.75 | 46.87 | >1500 |
| 4d | 93.75 | 750 | 375 | 187.50 | >1500 | 93.75 |
| 4e | 93.75 | >1500 | 750 | 187.50 | 23.43 | 46.87 |
| 4f | 187.50 | 750 | 375 | 375 | 93.75 | 93.75 |
| 4g | 46.87 | >1500 | 375 | 187.50 | 93.75 | 93.75 |
| 4h | 187.50 | 187.50 | 375 | 187.50 | >1500 | >1500 |
| 4i | 750 | >1500 | 750 | 187.50 | 93.75 | 187.50 |
| 4j | 93.75 | 750 | 187.50 | 93.75 | 93.75 | 187.50 |
| 4k | 187.50 | >1500 | 187.50 | 187.50 | 187.50 | 187.50 |
| 4l | 93.75 | 750 | 187.50 | 93.75 | 187.50 | 93.75 |
| 4m | 93.75 | 187.50 | 375 | 187.50 | 93.75 | 93.75 |
| Tetracycline | 8 | 512 | 512 | 128 | - | - |
| Amphotericin B | - | - | - | - | 500 | 62.50 |
| Antibacterial Targets | ||||||||
|---|---|---|---|---|---|---|---|---|
| S. aureus (PDB ID: 4QGG) | ||||||||
| Comp. | MolDock Score (kcal/mol) | Bonds between Atoms of Compounds and Active Site Residues | ||||||
| Atom of Compound | Involved Receptor Atoms | Involved Receptor Residues | Category | Type | Distance (Å) | |||
| 4g | −153.700 | O3 | HE | ARG36 | H-Bond | Conventional H-Bond | 1.74 | |
| H16 | O | GLU37 | H-Bond | Conventional H-Bond | 2.26 | |||
| O1 | HD1 | PRO38 | H-Bond | Carbon H-Bond | 2.12 | |||
| O1 | HD2 | ARG48 | H-Bond | Carbon H-Bond | 2.73 | |||
| H25 | O | ARG48 | H-Bond | Carbon H-Bond | 3.05 | |||
| 6-ring | 6-ring | PHE66 | Hydrophobic | Pi-Pi Stacked | 5.66 | |||
| 6-ring | 6-ring | PHE66 | Hydrophobic | Pi-Pi Stacked | 4.68 | |||
| 6-ring | 6-ring | PHE66 | Hydrophobic | Pi-Pi T-shaped | 4.73 | |||
| 6-ring | 6-ring | TYR100 | Hydrophobic | Pi-Pi T-shaped | 5.42 | |||
| 6-ring | / | ARG36 | Hydrophobic | Pi-Alkyl | 4.99 | |||
| 6-ring | / | ILE47 | Hydrophobic | Pi-Alkyl | 5.35 | |||
| 6-ring | / | ARG48 | Hydrophobic | Pi-Alkyl | 4.46 | |||
| 6-ring | / | VAL51 | Hydrophobic | Pi-Alkyl | 3.87 | |||
| Tetracycline | −112.465 | H24 | O | PHE66 | H-Bond | Conventional H-Bond | 2.28 | |
| H18 | OE2 | GLU37 | H-Bond | Conventional H-Bond | 2.44 | |||
| O8 | HH12 | ARG70 | H-Bond | Conventional H-Bond | 3.09 | |||
| O4 | HH21 | ARG70 | H-Bond | Conventional H-Bond | 2.71 | |||
| O8 | HG | SER97 | H-Bond | Conventional H-Bond | 2.02 | |||
| H23 | OE1 | GLN101 | H-Bond | Conventional H-Bond | 2.05 | |||
| H22 | O | SER96 | H-Bond | Conventional H-Bond | 3.05 | |||
| N1 | HD1 | ARG92 | H-Bond | Carbon H-Bond | 2.97 | |||
| 6-ring | / | VAL51 | Hydrophobic | Pi-Alkyl | 4.23 | |||
| 6-ring | / | ARG48 | Hydrophobic | Pi-Alkyl | 4.51 | |||
| C3 | / | PHE66 | Hydrophobic | Pi-Alkyl | 3.95 | |||
| 6-ring | / | PHE66 | Hydrophobic | Pi-Pi T-shaped | 4.29 | |||
| / | / | SER69 | H-Bond | Unfavorable Bump | / | |||
| M. luteus (PDB ID:4EWP) | ||||||||
| 4h | −147.875 | H16 | O | SER120 | H-Bond | Conventional H-Bond | 2.58 | |
| O2 | HE1 | TRP197 | H-Bond | Conventional H-Bond | 1.70 | |||
| O3 | HB2 | SER120 | H-Bond | Carbon H-Bond | 2.41 | |||
| 6-ring | 5-ring | TRP197 | Hydrophobic | Pi-Pi stacked | 4.43 | |||
| 6-ring | 6-ring | TRP197 | Hydrophobic | Pi-Pi stacked | 4.02 | |||
| 6-ring | C | VAL92 | Hydrophobic | Pi-Alkyl | 5.15 | |||
| CL | / | VAL92 | Hydrophobic | Pi-Alkyl | 4.79 | |||
| 6-ring | ALA338 | Hydrophobic | Alkyl | 4.70 | ||||
| / | / | VAL341 | H-Bond | Unfavorable Bump | / | |||
| Tetracycline | −96.245 | H9 | O | HIS96 | H-Bond | Conventional H-Bond | 2.40 | |
| O4 | HE22 | GLN206 | H-Bond | Conventional H-Bond | 1.77 | |||
| H9 | O | PHE94 | H-Bond | Conventional H-Bond | 2.25 | |||
| H10 | O | VAL92 | H-Bond | Conventional H-Bond | 2.18 | |||
| H12 | O | PHE94 | H-Bond | Carbon H-Bond | 2.53 | |||
| O1 | HA | ALA97 | H-Bond | Carbon H-Bond | 2.91 | |||
| 6-ring | 6-ring | TRP233 | Hydrophobic | Pi-Pi stacked | 4.66 | |||
| C | 5-ring | PRO234 | Hydrophobic | Pi-Alkyl | 4.79 | |||
| / | / | VAL156 | H-Bond | Unfavorable Bump | / | |||
| / | / | VAL156 | H-Bond | Unfavorable Bump | / | |||
| E. coli (PDB ID:4DUH) | ||||||||
| 4c | −139.692 | H1 | O | GLY101 | H-Bond | Conventional H-Bond | 1.43 | |
| O3 | H11 | ARG136 | H-Bond | Conventional H-Bond | 2.63 | |||
| O3 | H21 | ARG136 | H-Bond | Conventional H-Bond | 2.23 | |||
| O4 | HN | GLY77 | H-Bond | Conventional H-Bond | 2.26 | |||
| O1 | HE1 | LYS103 | H-Bond | Carbon H-Bond | 1.86 | |||
| H19 | OD1 | ASP73 | H-Bond | Carbon H-Bond | 2.54 | |||
| / | OE1 | GLU50 | Electrostatic | Pi-Anion | 3.90 | |||
| C | C | ARG76 | Hydrophobic | Pi-Alkyl | 5.36 | |||
| / | NZ | LYS103 | Electrostatic | Pi-Cation | 4.69 | |||
| / | / | LYS103 | Hydrophobic | Pi-Alkyl | 4.24 | |||
| / | / | ILE94 | Hydrophobic | Pi-Alkyl | 3.91 | |||
| / | / | PRO79 | Hydrophobic | Pi-Alkyl | 5.11 | |||
| / | / | ILE78 | Hydrophobic | Pi-Alkyl | 4.97 | |||
| / | C | GLY77 | Hydrophobic | Amide-Pi stacked | 3.59 | |||
| / | / | ARG76 | H-Bond | Unfavorable Bump | / | |||
| Tetracycline | −108.37 | H18 | OD1 | ASN46 | H-Bond | Conventional H-Bond | 2.40 | |
| O3 | HN | VAL120 | H-Bond | Conventional H-Bond | 2.01 | |||
| O4 | HN | VAL120 | H-Bond | Conventional H-Bond | 2.39 | |||
| H22 | OE1 | GLU42 | H-Bond | Conventional H-Bond | 2.62 | |||
| H18 | OE1 | GLU42 | H-Bond | Conventional H-Bond | 2.03 | |||
| H10 | O | GLY101 | H-Bond | Conventional H-Bond | 1.50 | |||
| H16 | O | GLY117 | H-Bond | Carbon H-Bond | 2.70 | |||
| H17 | O | GLY117 | H-Bond | Carbon H-Bond | 2.96 | |||
| H15 | O | LYS103 | H-Bond | Carbon H-Bond | 2.66 | |||
| H13 | O | HIS99 | H-Bond | Carbon H-Bond | 2.89 | |||
| O8 | HA | ASN46 | H-Bond | Carbon H-Bond | 2.79 | |||
| / | NZ | LYS103 | Electrostatic | Pi-Cation | 3.91 | |||
| 6-ring | C | LYS103 | Hydrophobic | Pi-Alkyl | 3.22 | |||
| 6-ring | / | ILE78 | Hydrophobic | Pi-Alkyl | 4.99 | |||
| / | / | ILE94 | H-Bond | Unfavorable Bump | / | |||
| Antifungal Targets | |||||||
|---|---|---|---|---|---|---|---|
| C. albicans and C. krusei (PDB ID: 3Q70) | |||||||
| 4e | −129.886 | H12 | OD2 | ASP86 | H-Bond | Conventional H-Bond | 2.36 |
| O1 | HN | THR222 | H-Bond | Conventional H-Bond | 2.02 | ||
| O1 | HA | THR221 | H-Bond | Carbon H-Bond | 2.11 | ||
| H18 | OG1 | THR221 | H-Bond | Carbon H-Bond | 2.61 | ||
| CL1 | 6-ring | TYR225 | Hydrophobic | Pi-Alkyl | 4.55 | ||
| 6-ring | 6-ring | TYR225 | Hydrophobic | Pi-Pi stacked | 5.60 | ||
| / | OD2 | ASP218 | Electrostatic | Pi-Anion | 3.91 | ||
| / | / | GLY220 | H-Bond | Unfavorable Bump | / | ||
| / | / | THR222 | H-Bond | Unfavorable Bump | / | ||
| Amphotericin B | −112.504 | H27 | O | GLY220 | H-Bond | Conventional H-Bond | 2.49 |
| O8 | HN | GLY85 | H-Bond | Conventional H-Bond | 2.17 | ||
| O3 | HG | SER88 | H-Bond | Conventional H-Bond | 3.05 | ||
| H16 | OD1 | ASP86 | H-Bond | Conventional H-Bond | 1.94 | ||
| H40 | OE1 | GLN121 | H-Bond | Conventional H-Bond | 1.93 | ||
| H48 | OD2 | ASP120 | H-Bond | Conventional H-Bond | 1.63 | ||
| C21 | 6-ring | TYR225 | Hydrophobic | Pi-Alkyl | 5.12 | ||
| C35 | C | VAL12 | Hydrophobic | Alkyl | 4.42 | ||
| / | / | GLN11 | H-Bond | Unfavorable Bump | / | ||
| / | / | GLN11 | H-Bond | Unfavorable Bump | / | ||
| 5-LOX (PDB ID: 3V99) | |||||||
|---|---|---|---|---|---|---|---|
| Compounds | MolDock Score (kcal/mol) | Bonds between Atoms of Compounds and Active Site Residues | |||||
| Atom of Compound | Involved Receptor Atoms | Involved Receptor Residues | Category | Type | Distance (Å) | ||
| 4i | −60.838 | F | HN | TYR558(A) | Hydrogen Bond | Conventional H-Bond | 2.79 |
| H | OD1 | ASN554(A) | Hydrogen Bond | Conventional H-Bond | 2.47 | ||
| H | OD1 | ASN554(A) | Hydrogen Bond | Carbon H-Bond | 2.54 | ||
| O | FE | FE701 | Other | Metal-Acceptor | 2.09 | ||
| F | O | ASN554(A) | Halogen | Halogen (Fluorine) | 3.66 | ||
| 6-ring | / | ILE406(A) | Hydrophobic | Pi-Alkyl | 5.16 | ||
| 6-ring | / | ALA410(A) | Hydrophobic | Pi-Alkyl | 5.11 | ||
| 6-ring | / | LEU607(A) | Hydrophobic | Pi-Alkyl | 3.97 | ||
| 6-ring | / | VAL175(A) | Hydrophobic | Pi-Alkyl | 5.28 | ||
| 6-ring | / | ALA672(A) | Hydrophobic | Pi-Alkyl | 5.06 | ||
| 4l | −116.487 | O | HE22 | GLN557(A) | Hydrogen Bond | Conventional H-Bond | 1.67 |
| H | O | VAL175(A) | Hydrogen Bond | Conventional H-Bond | 1.91 | ||
| H | OD1 | ASN554(A) | Hydrogen Bond | Conventional H-Bond | 2.23 | ||
| O | HE1 | HIS367(A) | Hydrogen Bond | Carbon H-Bond | 2.33 | ||
| H | OD1 | ASN554(A) | Hydrogen Bond | Carbon H-Bond | 2.57 | ||
| O | FE | FE701 | Other | Metal-Acceptor | 2.40 | ||
| 6-ring | / | ILE406(A) | Hydrophobic | Pi-Alkyl | 4.92 | ||
| 6-ring | / | ALA410(A) | Hydrophobic | Pi-Alkyl | 4.98 | ||
| 6-ring | / | LEU607(A) | Hydrophobic | Pi-Alkyl | 3.78 | ||
| 6-ring | / | ALA672(A) | Hydrophobic | Pi-Alkyl | 4.74 | ||
| Diclofinac sodium | −102.441 | Na | OD1 | ASN554(A) | Hydrogen Bond | Conventional H-Bond | 2.53 |
| O | HE1 | HIS272(A) | Hydrogen Bond | Carbon H-Bond | 2.36 | ||
| O | HE1 | HIS550(A) | Hydrogen Bond | Carbon H-Bond | 2.56 | ||
| O | HH32 | NME673(A) | Hydrogen Bond | Carbon H-Bond | 2.08 | ||
| O | FE | FE701 | Other | Metal-Acceptor | 2.49 | ||
| Cl | / | VAL175(A) | Hydrophobic | Alkyl | 4.23 | ||
| Cl | / | LEU607(A) | Hydrophobic | Alkyl | 3.95 | ||
| Cl | / | PHE610(A) | Hydrophobic | Pi-Alkyl | 5.49 | ||
| / | / | VAL175(A) | Hydrophobic | Pi-Alkyl | 3.93 | ||
| / | / | LEU607(A) | Hydrophobic | Pi-Alkyl | 5.43 | ||
| Entry | TPSA Å2 | n-ROTB | MW | MLog P | n-ON Acceptors | n-OHNH Donors | Lipinski’s Violations | Veber Violations | Egan Violations | ||
| WLog P | |||||||||||
| <140 | <11 | <500 | ≤5 | <10 | <5 | ≤1 | ≤1 | ≤1 | |||
| 4g | 90.54 | 2 | 582.24 | 3.09 | 4 | 3 | Accepted | Accepted | Accepted | ||
| 2.05 | |||||||||||
| 4h | 99.33 | 2 | 537.79 | 3.26 | 4 | 4 | Accepted | Accepted | Accepted | ||
| 1.81 | |||||||||||
| 4c | 108.56 | 3 | 488.92 | 2.37 | 5 | 4 | Accepted | Accepted | Accepted | ||
| 1.06 | |||||||||||
| 4e | 99.33 | 2 | 458.90 | 2.69 | 4 | 4 | Accepted | Accepted | Accepted | ||
| 1.05 | |||||||||||
| 4i | 99.33 | 2 | 442.44 | 2.18 | 5 | 2 | Accepted | Accepted | Accepted | ||
| 0.95 | |||||||||||
| 4l | 119.56 | 2 | 440.45 | 1.70 | 5 | 2 | Accepted | Accepted | Accepted | ||
| 0.10 | |||||||||||
| ADME-T | Absorption | Distribution | Metabolism | Excretion | Toxicity | ||||||
| Caco2 (10−6 cm/s) | HIA % | CNS (Log PS) | BBB (Log BB) | CYP1A2 Inhibitor | CYP2C19 Inhibitor | CYP2D6 Substrate | Renal OCT2 Substrate | Total Clearance (mL/min/kg) | AMES Toxicity | hERG I and II Toxicity | |
| 4g | 0.757 | 91.63 | −1.93 | −0.92 | NO | YES | NO | NO | 0.59 | NO | NO |
| 4h | −0.074 | 85.30 | −1.99 | −1.09 | NO | YES | NO | NO | 0.55 | NO | NO |
| 4c | 0.007 | 85.88 | −2.32 | −1.08 | NO | YES | NO | NO | 0.62 | NO | NO |
| 4e | −0.033 | 84.45 | −2.13 | −0.08 | NO | YES | NO | NO | 0.64 | NO | NO |
| 4i | 0.607 | 88.0 | −2.31 | −0.36 | NO | YES | NO | NO | 0.70 | NO | NO |
| 4l | 0.729 | 77.7 | −2.40 | −0.81 | NO | YES | NO | NO | 0.72 | NO | NO |
Disclaimer/Publisher’s Note: The statements, opinions and data contained in all publications are solely those of the individual author(s) and contributor(s) and not of MDPI and/or the editor(s). MDPI and/or the editor(s) disclaim responsibility for any injury to people or property resulting from any ideas, methods, instructions or products referred to in the content. |
© 2023 by the authors. Licensee MDPI, Basel, Switzerland. This article is an open access article distributed under the terms and conditions of the Creative Commons Attribution (CC BY) license (https://creativecommons.org/licenses/by/4.0/).
Share and Cite
Toumi, A.; Abdella, F.I.A.; Boudriga, S.; Alanazi, T.Y.A.; Alshamari, A.K.; Alrashdi, A.A.; Dbeibia, A.; Hamden, K.; Daoud, I.; Knorr, M.; et al. Synthesis of Tetracyclic Spirooxindolepyrrolidine-Engrafted Hydantoin Scaffolds: Crystallographic Analysis, Molecular Docking Studies and Evaluation of Their Antimicrobial, Anti-Inflammatory and Analgesic Activities. Molecules 2023, 28, 7443. https://doi.org/10.3390/molecules28217443
Toumi A, Abdella FIA, Boudriga S, Alanazi TYA, Alshamari AK, Alrashdi AA, Dbeibia A, Hamden K, Daoud I, Knorr M, et al. Synthesis of Tetracyclic Spirooxindolepyrrolidine-Engrafted Hydantoin Scaffolds: Crystallographic Analysis, Molecular Docking Studies and Evaluation of Their Antimicrobial, Anti-Inflammatory and Analgesic Activities. Molecules. 2023; 28(21):7443. https://doi.org/10.3390/molecules28217443
Chicago/Turabian StyleToumi, Amani, Faiza I.A. Abdella, Sarra Boudriga, Tahani Y. A. Alanazi, Asma K. Alshamari, Ahlam Abdulrahman Alrashdi, Amal Dbeibia, Khaled Hamden, Ismail Daoud, Michael Knorr, and et al. 2023. "Synthesis of Tetracyclic Spirooxindolepyrrolidine-Engrafted Hydantoin Scaffolds: Crystallographic Analysis, Molecular Docking Studies and Evaluation of Their Antimicrobial, Anti-Inflammatory and Analgesic Activities" Molecules 28, no. 21: 7443. https://doi.org/10.3390/molecules28217443
APA StyleToumi, A., Abdella, F. I. A., Boudriga, S., Alanazi, T. Y. A., Alshamari, A. K., Alrashdi, A. A., Dbeibia, A., Hamden, K., Daoud, I., Knorr, M., Kirchhoff, J.-L., & Strohmann, C. (2023). Synthesis of Tetracyclic Spirooxindolepyrrolidine-Engrafted Hydantoin Scaffolds: Crystallographic Analysis, Molecular Docking Studies and Evaluation of Their Antimicrobial, Anti-Inflammatory and Analgesic Activities. Molecules, 28(21), 7443. https://doi.org/10.3390/molecules28217443

