Galantamine Based Novel Acetylcholinesterase Enzyme Inhibitors: A Molecular Modeling Design Approach
Abstract
1. Introduction
2. Results and Discussion
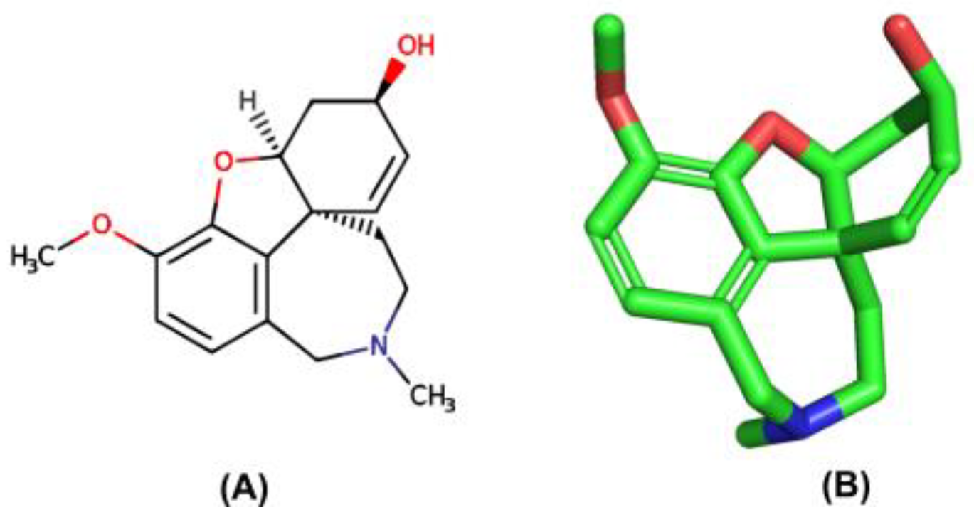
2.1. Pharmacophore Model Generation
2.2. Evaluation of the Pharmacophore Model
2.3. Pharmacophoric-Based Hierarchical Virtual Screening
2.4. Pharmacokinetic Predictions
2.5. Toxicological Predictions
2.6. Prediction of Biological Activity (PASS)
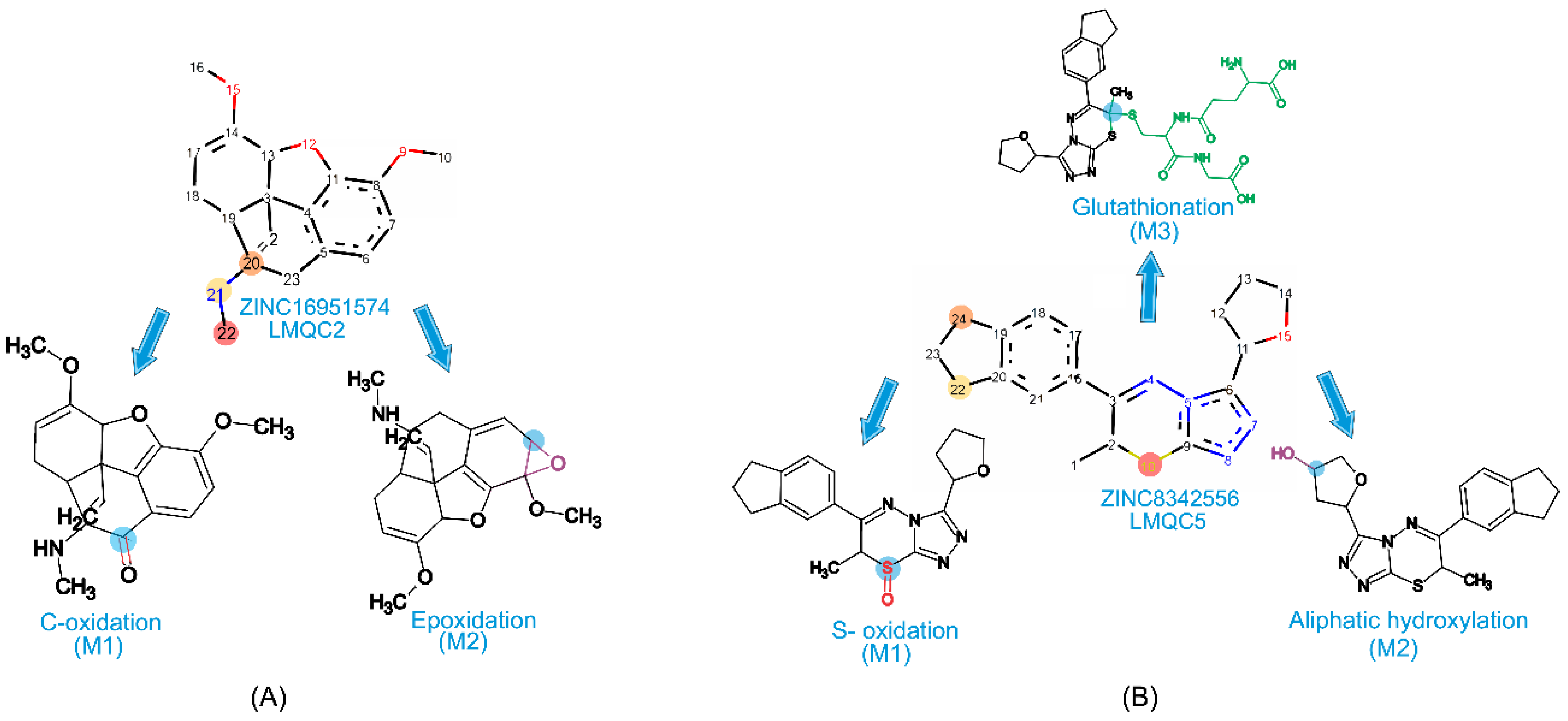
2.7. Evaluation of Generated Metabolites and Investigation of Their Properties ADMETox
2.7.1. Metabolism Prediction of the Most Promising Compounds
2.7.2. ADME/Tox for Metabolism Prediction of the Most Promising Compounds
2.8. Molecular Docking and FTMap
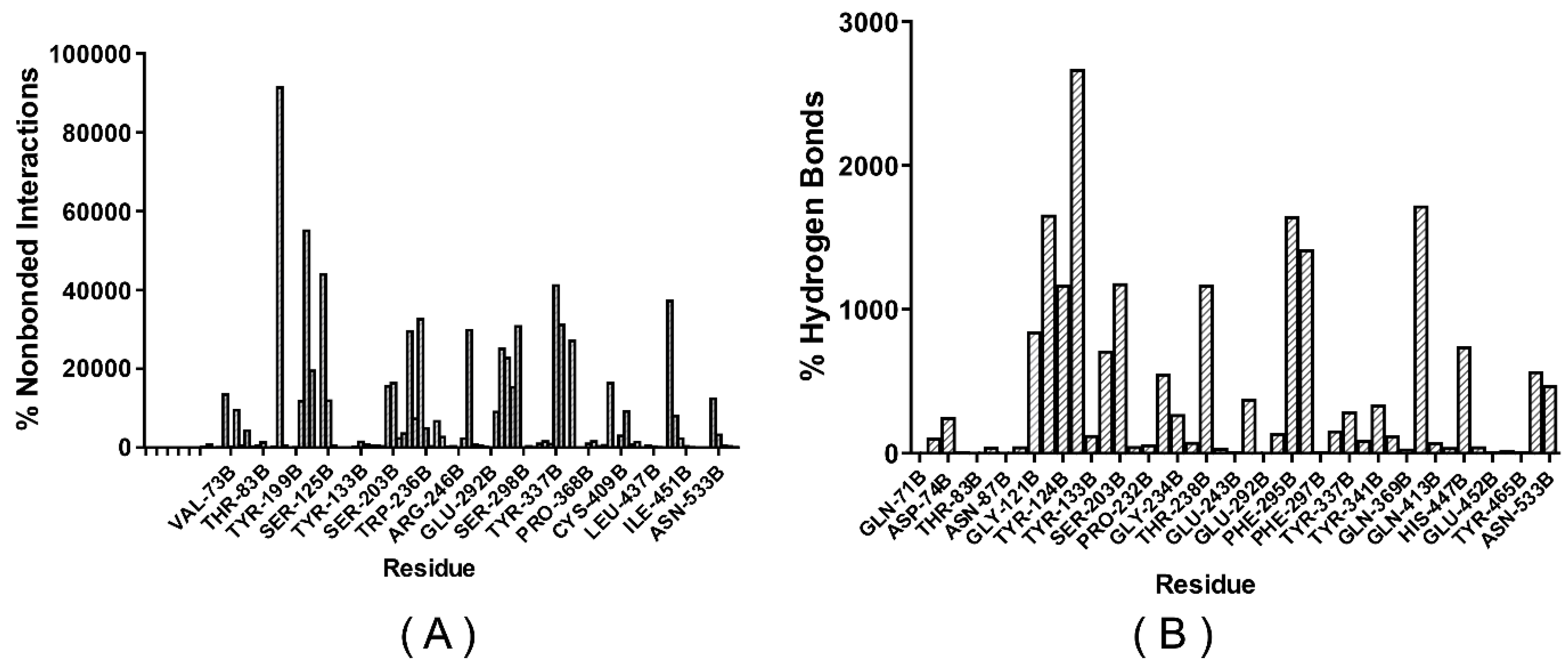
2.8.1. Binding Mode Interaction
| Receptor (CODE PDB ID) | Ligand | Experimental Binding Affinity * (kcal/mol) | Ki (nM) hAChE | Docking Predicted Binding Affinity (kcal/mol) | Resolution (Å) |
|---|---|---|---|---|---|
| 4EY6 | GNT | −9.99 | 61.96 × 10−9 [36] | −9.90 | 2.40 |
2.8.2. Active Site Mapping—Fragment Binding Hot Spots
2.9. MD Simulations and Affinity Energy Calculations
2.9.1. MD Simulations
2.9.2. MMPBSA Binding Free Energy Calculation
2.10. Prediction of Lipophilicity and Water Solubility and Structure-Activity Relationship of the Promising Molecule
2.11. Prediction of Synthetic Accessibility (SA) and Theoretical Synthetic Routes
2.11.1. Prediction of Synthetic Accessibility
2.11.2. Theoretical Synthetic Routes Proposed for Compounds ZINC16951574 (LMQC2), and ZINC08342556 (LMQC5)
3. Materials and Methods
3.1. Compound Selection
3.2. Pharmacophore Model Generation
3.3. Validation of the Pharmacophore Model
3.4. Pharmacophoric-Based Hierarchical Virtual Screening
3.5. In Silico Evaluation of Pharmacokinetic and Toxicological Properties of Promising Compounds
3.6. Prediction of Biological Activity
3.7. Molecular Docking Simulations and FTMap
3.7.1. Docking Simulations
3.7.2. Active Site Mapping—Fragment Binding Hot Spots
3.8. Metabolites and Their Properties ADMETox and Carcinogenicity
3.9. MD Simulations
3.10. Binding Free Energy Calculation
3.11. Prediction of Lipophilicity and Water Solubility
3.12. Theoretical Prediction of Synthetic Accessibility (SA) for Promising Compounds
4. Conclusions
Supplementary Materials
Author Contributions
Funding
Institutional Review Board Statement
Informed Consent Statement
Data Availability Statement
Conflicts of Interest
Sample Availability
References
- Chen, G.F.; Xu, T.H.; Yan, Y.; Zhou, Y.R.; Jiang, Y.; Melcher, K.; Xu, H.E. Amyloid beta: Structure, biology and structure-based therapeutic development. Acta Pharmacol. Sin. 2017, 38, 1205–1235. [Google Scholar] [CrossRef] [PubMed]
- Sanchez-Mut, J.V.; Glauser, L.; Monk, D.; Gräff, J. Comprehensive analysis of PM20D1 QTL in Alzheimer’s disease. Clin. Epigenetics 2020, 12, 20. [Google Scholar] [CrossRef] [PubMed]
- Zagórska, A.; Jaromin, A. Perspectives for New and More Efficient Multifunctional Ligands for Alzheimer′s Disease Therapy. Molecules 2020, 25, 3337. [Google Scholar] [CrossRef] [PubMed]
- Agatonovic-Kustrin, S.; Kettle, C.; Morton, D.W. A molecular approach in drug development for Alzheimer’s disease. Biomed. Pharmacother. 2018, 106, 553–565. [Google Scholar] [CrossRef] [PubMed]
- Stanciu, G.D.; Luca, A.; Rusu, R.N.; Bild, V.; Chiriac, S.I.B.; Solcan, C.; Bild, W.; Ababei, D.C. Alzheimer’s Disease Pharmacotherapy in Relation to Cholinergic System Involvement. Biomolecules 2019, 10, 40. [Google Scholar] [CrossRef]
- Fan, L.; Mao, C.; Hu, X.; Zhang, S.; Yang, Z.; Hu, Z.; Sun, H.; Fan, Y.; Dong, Y.; Yang, J.; et al. New Insights into the Pathogenesis of Alzheimer’s Disease. Front. Neurol. 2020, 10, 1312. [Google Scholar] [CrossRef]
- Knopman, D.S. Lowering of Amyloid-Beta by β-Secretase Inhibitors—Some Informative Failures. N. Engl. J. Med. 2019, 380, 1476–1478. [Google Scholar] [CrossRef]
- Van de Weijer, M.P.; Jansen, I.E.; Verboven, A.H.A.; Andreassen, O.A.; Posthuma, D. Genomics of Alzheimer’s disease. In Personalized Psychiatry; Academic Press: Cambridge, MA, USA, 2020; pp. 275–283. [Google Scholar] [CrossRef]
- Ocan, M.; Akena, D.; Nsobya, S.; Kamya, M.R.; Senono, R.; Kinengyere, A.A.; Obuku, E.A. Prevalence of chloroquine resistance alleles among Plasmodium falciparum parasites in countries affected by malaria disease since change of treatment policy: A systematic review protocol. Syst. Rev. 2018, 7, 108. [Google Scholar] [CrossRef]
- Kelly, J.; Wrynn, A.; Leonard, B. The olfactory bulbectomized rat as a model of depression: An update. Pharmacol. Ther. 1997, 74, 299–316. [Google Scholar] [CrossRef]
- Khoury, R.; Patel, K.; Gold, J.; Hinds, S.; Grossberg, G.T. Recent Progress in the Pharmacotherapy of Alzheimer’s Disease. Drugs Aging 2017, 34, 811–820. [Google Scholar] [CrossRef]
- Craig, L.A.; Hong, N.S.; McDonald, R.J. Revisiting the cholinergic hypothesis in the development of Alzheimer’s disease. Neurosci. Biobehav. Rev. 2011, 35, 1397–1409. [Google Scholar] [CrossRef] [PubMed]
- Ferreira, E.F.B.; Silva, L.B.; Costa, G.V.; Costa, J.S.; Fujishima, M.A.T.; Leão, R.P.; Ferreira, A.L.S.; Federico, L.B.; Silva, C.H.T.P.; Rosa, J.M.C.; et al. Identification of New Inhibitors with Potential Antitumor Activity from Polypeptide Structures via Hierarchical Virtual Screening. Molecules 2019, 24, 2943. [Google Scholar] [CrossRef] [PubMed]
- Atanasova, M.; Stavrakov, G.; Philipova, I.; Zheleva-Dimitrova, D.; Yordanov, N.; Doytchinova, I.A. Galantamine derivatives with indole moiety: Docking, design, synthesis and acetylcholinesterase inhibitory activity. Bioorganic Med. Chem. 2015, 23, 5382–5389. [Google Scholar] [CrossRef] [PubMed]
- Khorana, N.; Changwichit, K.; Ingkaninan, K.; Utsintong, M. Prospective acetylcholinesterase inhibitory activity of indole and its analogs. Bioorganic Med. Chem. Lett. 2012, 22, 2885–2888. [Google Scholar] [CrossRef]
- Koes, D.R.; Camacho, C.J. ZINCPharmer: Pharmacophore search of the ZINC database. Nucleic Acids Res. 2012, 40, W409–W414. [Google Scholar] [CrossRef]
- Schrödinger. QikProp—Rapid ADME Predictions of drug Candidates, 2017. Available online: https://www.schrodinger.com/qikprop (accessed on 1 November 2022).
- Lipinski, C.A.; Lombardo, F.; Dominy, B.W.; Feeney, P.J. Experimental and computational approaches to estimate solubility and permeability in drug discovery and development settings. Adv. Drug Deliv. Rev. 2001, 46, 3–26. [Google Scholar] [CrossRef]
- Lhasa Derek Nexus. Derek for Windows; Lhasa: Leeds, UK, 2011. [Google Scholar]
- Alves, F.S.; Cruz, J.N.; Ramos, I.N.D.F.; Brandão, D.L.D.N.; Queiroz, R.N.; da Silva, G.V.; da Silva, G.V.; Dolabela, M.F.; da Costa, M.L.; Khayat, A.S.; et al. Evaluation of Antimicrobial Activity and Cytotoxicity Effects of Extracts of Piper nigrum L. and Piperine. Separations 2023, 10, 21. [Google Scholar] [CrossRef]
- Zinke, S.; Gerner, I.; Schlede, E. Evaluation of a rule base for identifying contact allergens by using a regulatory database: Comparison of data on chemicals notified in the European Union with “structural alerts” used in the DEREK expert system. Altern. Lab. Anim. 2002, 30, 285–298. [Google Scholar] [CrossRef]
- Banerjee, P.; Eckert, A.O.; Schrey, A.K.; Preissner, R. ProTox-II: A webserver for the prediction of toxicity of chemicals. Nucleic Acids Res. 2018, 46, W257–W263. [Google Scholar] [CrossRef]
- Poroikov, V.V.; Filimonov, D.A.; Ihlenfeldt, W.-D.; Gloriozova, T.A.; Lagunin, A.A.; Borodina, Y.V.; Stepanchikova, A.V.; Nicklaus, M.C. PASS Biological Activity Spectrum Predictions in the Enhanced Open NCI Database Browser. J. Chem. Inf. Comput. Sci. 2003, 43, 228–236. [Google Scholar] [CrossRef]
- Keiser, M.; Roth, B.L.; Armbruster, B.N.; Ernsberger, P.; Irwin, J.; Shoichet, B.K. Relating protein pharmacology by ligand chemistry. Nat. Biotechnol. 2007, 25, 197–206. [Google Scholar] [CrossRef] [PubMed]
- Lu, S.-H.; Wu, J.W.; Liu, H.-L.; Zhao, J.-H.; Liu, K.-T.; Chuang, C.-K.; Lin, H.-Y.; Tsai, W.-B.; Ho, Y. The discovery of potential acetylcholinesterase inhibitors: A combination of pharmacophore modeling, virtual screening, and molecular docking studies. J. Biomed. Sci. 2011, 18, 8. [Google Scholar] [CrossRef] [PubMed]
- Rodrigues, R.P. Pharmacophore, Similarity and ADMET Screening of Casein Kinase 1 inhibitors in Alzheimer’s Disease. Curr. Bioact. Compd. 2013, 9, 27–36. [Google Scholar] [CrossRef]
- Farlow, M.R. Clinical Pharmacokinetics of Galantamine. Clin. Pharmacokinet. 2003, 42, 1383–1392. [Google Scholar] [CrossRef] [PubMed]
- Rydberg, P.; Gloriam, D.E.; Zaretzki, J.; Breneman, C.; Olsen, L. SMARTCyp: A 2D Method for Prediction of Cytochrome P450-Mediated Drug Metabolism. ACS Med. Chem. Lett. 2010, 1, 96–100. [Google Scholar] [CrossRef]
- Parkinson, A.; Ogilvie, B.W.; Buckley, D.B.; Kazmi, F.; Czerwinski, M.; Parkinson, O. Biotransformation of xenobiotics. In Casarett & Doull’s Essentials of Toxicology, 3rd ed.; Klaassen, C.D., Watkins, J.B., III, Eds.; McGraw-Hill Education: New York, NY, USA, 2015; Available online: http://accesspharmacy.mhmedical.com/content.aspx?aid=1113949210 (accessed on 7 November 2022).
- Kirchmair, J.; Göller, A.H.; Lang, D.; Kunze, J.; Testa, B.; Wilson, I.D.; Glen, R.C.; Schneider, G. Predicting drug metabolism: Experiment and/or computation? Nat. Rev. Drug Discov. 2015, 14, 387–404. [Google Scholar] [CrossRef] [PubMed]
- De Souza, G.C.; Pereira, A.C.M.; Viana, M.D.; Ferreira, A.M.; da Silva, I.D.R.; de Oliveira, M.M.R.; Barbosa, W.L.R.; Silva, L.B.; Ferreira, I.M.; dos Santos, C.B.R.; et al. Acmella oleracea (L.) R. K. Jansen Reproductive Toxicity in Zebrafish: An In Vivo and In Silico Assessment. Evid.-Based Complement. Altern. Med. 2019, 2019, 1237301. [Google Scholar] [CrossRef] [PubMed]
- Alqahtani, S. In silico ADME-Tox modeling: Progress and prospects. Expert Opin. Drug Metab. Toxicol. 2017, 13, 1147–1158. [Google Scholar] [CrossRef]
- Almeida, V.M.; Dias, Ê.R.; Souza, B.C.; Cruz, J.N.; Santos, C.B.R.; Leite, F.H.A.; Queiroz, R.F.; Branco, A. Methoxylated flavonols from Vellozia dasypus Seub ethyl acetate active myeloperoxidase extract: In vitro and in silico assays. J. Biomol. Struct. Dyn. 2022, 40, 7574–7583. [Google Scholar] [CrossRef]
- Rego, C.M.A.; Francisco, A.F.; Boeno, C.N.; Paloschi, M.V.; Lopes, J.A.; Silva, M.D.S.; Santana, H.M.; Serrath, S.N.; Rodrigues, J.E.; Lemos, C.T.L.; et al. Inflammasome NLRP3 activation induced by Convulxin, a C-type lectin-like isolated from Crotalus durissus terrificus snake venom. Sci. Rep. 2022, 12, 4706. [Google Scholar] [CrossRef]
- Galucio, N.C.D.R.; Moysés, D.D.A.; Pina, J.R.S.; Marinho, P.S.B.; Júnior, P.C.G.; Cruz, J.N.; Vale, V.V.; Khayat, A.S.; Marinho, A.M.D.R. Antiproliferative, genotoxic activities and quantification of extracts and cucurbitacin B obtained from Luffa operculata (L.) Cogn. Arab. J. Chem. 2022, 15, 103589. [Google Scholar] [CrossRef]
- Cheung, J.; Gary, E.; Shiomi, K.; Rosenberry, T.L. Structures of Human Acetylcholinesterase Bound to Dihydrotanshinone I and Territrem B Show Peripheral Site Flexibility. ACS Med. Chem. Lett. 2013, 4, 1091–1096. [Google Scholar] [CrossRef] [PubMed]
- Peng, D.-Y.; Sun, Q.; Zhu, X.-L.; Lin, H.-Y.; Chen, Q.; Yu, N.-X.; Yang, W.-C.; Yang, G.-F. Design, synthesis, and bioevaluation of benzamides: Novel acetylcholinesterase inhibitors with multi-functions on butylcholinesterase, Aβ aggregation, and β-secretase. Bioorganic Med. Chem. 2012, 20, 6739–6750. [Google Scholar] [CrossRef] [PubMed]
- Hall, D.H.; Grove, L.E.; Yueh, C.; Ngan, C.H.; Kozakov, D.; Vajda, S. Robust Identification of Binding Hot Spots Using Continuum Electrostatics: Application to Hen Egg-White Lysozyme. J. Am. Chem. Soc. 2011, 133, 20668–20671. [Google Scholar] [CrossRef]
- Liepinsh, E.; Otting, G. Organic solvents identify specific ligand binding sites on protein surfaces. Nat. Biotechnol. 1997, 15, 264–268. [Google Scholar] [CrossRef]
- Lima, L.R.; Bastos, R.S.; Ferreira, E.F.B.; Leão, R.P.; Araújo, P.H.F.; Pita, S.S.D.R.; De Freitas, H.F.; Espejo-Román, J.M.; Dos Santos, E.L.V.S.; Ramos, R.D.S.; et al. Identification of Potential New Aedes aegypti Juvenile Hormone Inhibitors from N-Acyl Piperidine Derivatives: A Bioinformatics Approach. Int. J. Mol. Sci. 2022, 23, 9927. [Google Scholar] [CrossRef]
- Daina, A.; Michielin, O.; Zoete, V. iLOGP: A Simple, Robust, and Efficient Description of n-Octanol/Water Partition Coefficient for Drug Design Using the GB/SA Approach. J. Chem. Inf. Model. 2014, 54, 3284–3301. [Google Scholar] [CrossRef]
- Daina, A.; Michielin, O.; Zoete, V. SwissADME: A free web tool to evaluate pharmacokinetics, drug-likeness and medicinal chemistry friendliness of small molecules. Sci. Rep. 2017, 7, 42717. [Google Scholar] [CrossRef]
- Ali, J.; Camilleri, P.; Brown, M.B.; Hutt, A.J.; Kirton, S.B. Revisiting the General Solubility Equation: In Silico Prediction of Aqueous Solubility Incorporating the Effect of Topographical Polar Surface Area. J. Chem. Inf. Model. 2012, 52, 420–428. [Google Scholar] [CrossRef]
- Ramos, R.S.; Borges, R.S.; de Souza, J.S.N.; Araujo, I.F.; Chaves, M.H.; Santos, C.B.R. Identification of Potential Antiviral Inhibitors from Hydroxychloroquine and 1,2,4,5-Tetraoxanes Analogues and Investigation of the Mechanism of Action in SARS-CoV-2. Int. J. Mol. Sci. 2022, 23, 1781. [Google Scholar] [CrossRef]
- da Silva, V.B.; de Andrade, P.; Kawano, D.F.; Morais, P.A.B.; de Almeida, J.R.; Carvalho, I.; Taft, C.A.; Silva, C.H.T.D.P.D. In silico design and search for acetylcholinesterase inhibitors in Alzheimer’s disease with a suitable pharmacokinetic profile and low toxicity. Future Med. Chem. 2011, 3, 947–960. [Google Scholar] [CrossRef] [PubMed]
- Ivanova, L.; Karelson, M.; Dobchev, D.A. Multitarget Approach to Drug Candidates against Alzheimer’s Disease Related to AChE, SERT, BACE1 and GSK3β Protein Targets. Molecules 2020, 25, 1846. [Google Scholar] [CrossRef] [PubMed]
- Samochocki, M.; Zerlin, M.; Jostock, R.; Groot Kormelink, P.J.; Luyten, W.M.L.; Albuquerque, E.X.; Maelicke, A. Galantamine is an allosterically potentiating ligand of the human α4/β2 nAChR. Acta Neurol. Scand. 2000, 102, 68–73. [Google Scholar] [CrossRef]
- Cabrera, N.; Cuesta, S.A.; Mora, J.R.; Calle, L.; Márquez, E.A.; Kaunas, R.; Paz, J.L. In Silico Searching for Alternative Lead Compounds to Treat Type 2 Diabetes through a QSAR and Molecular Dynamics Study. Pharmaceutics 2022, 14, 232. [Google Scholar] [CrossRef]
- Nochi, S.; Asakawa, N.; Sato, T. Kinetic Study on the Inhibition of Acetylcholinesterase by 1-Benzyl-4-((5,6-dimethoxy-1-indanon)-2-yl)methylpiperidine Hydrochloride (E2020). Biol. Pharm. Bull. 1995, 18, 1145–1147. [Google Scholar] [CrossRef]
- Sagar, S.R.; Singh, D.P.; Panchal, N.B.; Das, R.D.; Pandya, D.H.; Sudarsanam, V.; Nivsarkar, M.; Vasu, K.K. Thiazolyl-thiadiazines as Beta Site Amyloid Precursor Protein Cleaving Enzyme-1 (BACE-1) Inhibitors and Anti-inflammatory Agents: Multitarget-Directed Ligands for the Efficient Management of Alzheimer’s Disease. ACS Chem. Neurosci. 2018, 9, 1663–1679. [Google Scholar] [CrossRef]
- Stork, G.; Yamashita, A.; Adams, J.; Schulte, G.R.; Chesworth, R.; Miyazaki, Y.; Farmer, J.J. Regiospecific and Stereoselective Syntheses of (±) Morphine, Codeine, and Thebaine via a Highly Stereocontrolled Intramolecular 4 + 2 Cycloaddition Leading to a Phenanthrofuran System. J. Am. Chem. Soc. 2009, 131, 11402–11406. [Google Scholar] [CrossRef] [PubMed]
- Cunningham, C.W.; Mercer, S.L.; Hassan, H.E.; Traynor, J.R.; Eddington, N.D.; Coop, A. Opioids and Efflux Transporters. Part 2: P-Glycoprotein Substrate Activity of 3- and 6-Substituted Morphine Analogs. J. Med. Chem. 2008, 51, 2316–2320. [Google Scholar] [CrossRef]
- Aratikatla, E.K.; Valkute, T.R.; Puri, S.K.; Srivastava, K.; Bhattacharya, A.K. Norepinephrine alkaloids as antiplasmodial agents: Synthesis of syncarpamide and insight into the structure-activity relationships of its analogues as antiplasmodial agents. Eur. J. Med. Chem. 2017, 138, 1089–1105. [Google Scholar] [CrossRef]
- Baxter, E.W.; Reitz, A.B. Reductive aminations of carbonyl Compounds with borohydride and borane reducing agents. In Organic Reactions; John Wiley & Sons, Inc.: Hoboken, NJ, USA, 2002; pp. 1–714. [Google Scholar] [CrossRef]
- Koparır, M.; Cansız, A.; Demirdağ, A. Synthesis of Some New 4,5-Substituted-4H-1,2,4-triazole-3-thiol Derivatives. Molecules 2004, 9, 204–212. [Google Scholar] [CrossRef]
- Khan, I.; Hameed, S.; Al-Masoudi, N.A.; Abdul-Reda, N.A.; Simpson, J. New triazolothiadiazole and triazolothiadiazine derivatives as kinesin Eg5 and HIV inhibitors: Synthesis, QSAR and modeling studies. Z. Naturforsch. B 2014, 70, 47–58. [Google Scholar] [CrossRef]
- Ergenç, N.; Ulusoy, N.; Çapan, G.; Sanis, G.; Kiraz, M. Synthesis and Antimicrobial Properties of New 4-(Alkylidene/arylidene)-amino-5-(2-furanyl)-2,4-dihydro-3H-1,2,4-triazole-3-thiones and 6-Aryl-3-(2-furanyl)-7H-1,2,4-triazolo [3,4-b][1,3,4]thiadiazines. Arch. Pharm. 1996, 329, 427–430. [Google Scholar] [CrossRef] [PubMed]
- Schneidman-Duhovny, D.; Dror, O.; Inbar, Y.; Nussinov, R.; Wolfson, H.J. PharmaGist: A webserver for ligand-based pharmacophore detection. Nucleic Acids Res. 2008, 36, W223–W228. [Google Scholar] [CrossRef] [PubMed]
- Vieira, J.B.; Braga, F.S.; Lobato, C.C.; Santos, C.F.; Costa, J.S.; Bittencourt, J.A.H.M.; Brasil, D.S.B.; Silva, J.O.; Hage-Melim, L.I.S.; Macêdo, W.J.C.; et al. A QSAR, Pharmacokinetic and Toxicological Study of New Artemisinin Compounds with Anticancer Activity. Molecules 2014, 19, 10670–10697. [Google Scholar] [CrossRef]
- Costa, J.D.S.; Costa, K.D.S.L.; Cruz, J.V.; Ramos, R.D.S.; Silva, L.B.; Brasil, D.D.S.B.; Silva, C.H.T.P.; dos Santos, C.B.R.; Macedo, W.J.C. Virtual Screening and Statistical Analysis in the Design of New Caffeine Analogues Molecules with Potential Epithelial Anticancer Activity. Curr. Pharm. Des. 2018, 24, 576–594. [Google Scholar] [CrossRef]
- Cheung, J.; Rudolph, M.J.; Burshteyn, F.; Cassidy, M.S.; Gary, E.N.; Love, J.; Franklin, M.C.; Height, J.J. Structures of Human Acetylcholinesterase in Complex with Pharmacologically Important Ligands. J. Med. Chem. 2012, 55, 10282–10286. [Google Scholar] [CrossRef]
- Dallakyan, S.; Olson, A.J. Small-molecule library screening by docking with pyrx. Methods Mol. Biol. 2015, 1263, 243–250. [Google Scholar]
- Lima, A.D.M.; Siqueira, A.S.; Möller, M.L.S.; de Souza, R.C.; Cruz, J.N.; Lima, A.R.J.; da Silva, R.C.; Aguiar, D.C.F.; Junior, J.L.D.S.G.V.; Gonçalves, E.C. In silico improvement of the cyanobacterial lectin microvirin and mannose interaction. J. Biomol. Struct. Dyn. 2022, 40, 1064–1073. [Google Scholar] [CrossRef]
- Morris, G.M.; Huey, R.; Lindstrom, W.; Sanner, M.F.; Belew, R.K.; Goodsell, D.S.; Olson, A.J. AutoDock4 and AutoDockTools4: Automated docking with selective receptor flexibility. J. Comput. Chem. 2009, 30, 2785–2791. [Google Scholar] [CrossRef]
- Lai, B.; Oostenbrink, C. Binding free energy, energy and entropy calculations using simple model systems. Theor. Chem. Accounts 2012, 131, 1272. [Google Scholar] [CrossRef]
- Kozakov, D.; Grove, L.E.; Hall, D.R.; Bohnuud, T.; Mottarella, S.E.; Luo, L.; Xia, B.; Beglov, D.; Vajda, S. The FTMap family of web servers for determining and characterizing ligand-binding hot spots of proteins. Nat. Protoc. 2015, 10, 733–755. [Google Scholar] [CrossRef]
- Brenke, R.; Kozakov, D.; Chuang, G.-Y.; Beglov, D.; Hall, D.; Landon, M.R.; Mattos, C.; Vajda, S. Fragment-based identification of druggable ‘hot spots’ of proteins using Fourier domain correlation techniques. Bioinformatics 2009, 25, 621–627. [Google Scholar] [CrossRef] [PubMed]
- Lee, S.; Lee, I.H.; Kim, H.J.; Chang, G.S.; Chung, J.E.; No, K.T. The PreADME Approach: Web-based program for rapid prediction of physico-chemical, drug absorption and drug-like properties. In Euro QSAR 2002—Designing Drugs and Crop Protectants: Processes, Problems and Solutions; Blackwell Science Inc.: Hoboken, NJ, USA, 2002; pp. 418–420. [Google Scholar]
- Rudik, A.V.; Bezhentsev, V.M.; Dmitriev, A.V.; Druzhilovskiy, D.S.; Lagunin, A.A.; Filimonov, D.A.; Poroikov, V.V. MetaTox: Web Application for Predicting Structure and Toxicity of Xenobiotics’ Metabolites. J. Chem. Inf. Model. 2017, 57, 638–642. [Google Scholar] [CrossRef] [PubMed]
- Wang, J.; Wolf, R.M.; Caldwell, J.W.; Kollman, P.A.; Case, D.A. Development and testing of a general amber force field. J. Comput. Chem. 2004, 25, 1157–1174. [Google Scholar] [CrossRef]
- Maier, J.A.; Martinez, C.; Kasavajhala, K.; Wickstrom, L.; Hauser, K.E.; Simmerling, C. ff14SB: Improving the accuracy of protein side chain and backbone parameters from ff99SB. J. Chem. Theory Comput. 2015, 11, 3696–3713. [Google Scholar] [CrossRef] [PubMed]
- Olsson, M.H.M.; Søndergaard, C.R.; Rostkowski, M.; Jensen, J.H. PROPKA3: Consistent Treatment of Internal and Surface Residues in Empirical pKa Predictions. J. Chem. Theory Comput. 2011, 7, 525–537. [Google Scholar] [CrossRef] [PubMed]
- Jorgensen, W.L.; Chandrasekhar, J.; Madura, J.D.; Impey, R.W.; Klein, M.L. Comparison of simple potential functions for simulating liquid water. J. Chem. Phys. 1983, 79, 926–935. [Google Scholar] [CrossRef]
- Izaguirre, J.A.; Catarello, D.P.; Wozniak, J.M.; Skeel, R.D. Langevin stabilization of molecular dynamics. J. Chem. Phys. 2001, 114, 2090–2098. [Google Scholar] [CrossRef]
- Darden, T.; York, D.; Pedersen, L. Particle mesh Ewald: An N⋅log(N) method for Ewald sums in large systems. J. Chem. Phys. 1993, 98, 10089–10092. [Google Scholar] [CrossRef]
- Ryckaert, J.-P.; Ciccotti, G.; Berendsen, H.J.C. Numerical integration of the cartesian equations of motion of a system with constraints: Molecular dynamics of n-alkanes. J. Comput. Phys. 1977, 23, 327–341. [Google Scholar] [CrossRef]
- Santos, C.B.R.; Santos, K.L.B.; Cruz, J.N.; Leite, F.H.A.; Borges, R.S.; Taft, C.A.; Campos, J.M.; Silva, C.H.T.P. Molecular modeling approaches of selective adenosine receptor type 2A agonists as potential anti-inflammatory drugs. J. Biomol. Struct. Dyn. 2021, 39, 3115–3127. [Google Scholar] [CrossRef] [PubMed]
- Dos Santos, K.L.B.; Cruz, J.N.; Silva, L.B.; Ramos, R.S.; Neto, M.F.A.; Lobato, C.C.; Ota, S.S.B.; Leite, F.H.A.; Borges, R.S.; da Silva, C.H.T.P.; et al. Identification of Novel Chemical Entities for Adenosine Receptor Type 2A Using Molecular Modeling Approaches. Molecules 2020, 25, 1245. [Google Scholar] [CrossRef] [PubMed]
- Mascarenhas, A.M.S.; de Almeida, R.B.M.; Neto, M.F.D.A.; Mendes, G.O.; da Cruz, J.N.; dos Santos, C.B.R.; Botura, M.B.; Leite, F.H.A. Pharmacophore-based virtual screening and molecular docking to identify promising dual inhibitors of human acetylcholinesterase and butyrylcholinesterase. J. Biomol. Struct. Dyn. 2020, 39, 6021–6030. [Google Scholar] [CrossRef] [PubMed]
- dos Santos, I.V.; Borges, R.S.; Silva, G.M.; de Lima, L.R.; Bastos, R.S.; Ramos, R.S.; Silva, L.B.; da Silva, C.H.T.P.; dos Santos, C.B.R. Hierarchical Virtual Screening Based on Rocaglamide Derivatives to Discover New Potential Anti-Skin Cancer Agents. Front. Mol. Biosci. 2022, 9, 836572. [Google Scholar] [CrossRef] [PubMed]
- Kochev, N.; Jeliazkova, N.; Tsakovska, I. Chemoinformatics representation of chemical structures—A milestone for successful big data modelling in predictive toxicology. In Big Data in Predictive Toxicology; Issues in Toxicology; Royal Society of Chemistry: London, UK, 2019; Chapter 3; pp. 69–107. [Google Scholar] [CrossRef]

















| Structures | ATM | SF | ARO | HYD | ACC | pIC50 |
|---|---|---|---|---|---|---|
| 1 | 42 | 11 | 1 | 6 | 4 | 8.250 |
| 2 | 85 | 16 | 2 | 9 | 5 | 8.060 |
| 3 | 84 | 17 | 2 | 10 | 5 | 7.909 |
| 4 | 85 | 16 | 2 | 9 | 5 | 7.829 |
| 5 | 81 | 15 | 2 | 8 | 5 | 7.750 |
| 6 | 83 | 16 | 2 | 8 | 6 | 7.619 |
| 7 | 80 | 16 | 2 | 8 | 6 | 7.460 |
| 8 | 98 | 21 | 2 | 13 | 6 | 7.260 |
| 9 | 82 | 16 | 2 | 8 | 6 | 7.239 |
| 10 | 109 | 24 | 2 | 17 | 5 | 7.219 |
| 11 | 103 | 22 | 2 | 15 | 5 | 7.050 |
| 12 | 101 | 22 | 2 | 14 | 6 | 7.030 |
| 13 | 87 | 17 | 2 | 8 | 7 | 7.010 |
| 14 | 84 | 16 | 2 | 7 | 7 | 6.949 |
| 15 | 90 | 18 | 2 | 9 | 7 | 6.920 |
| 16 | 93 | 19 | 2 | 10 | 7 | 6.659 |
| SF | 0.928 | - | - | - | - | - |
| ARO | 0.806 | 0.541 | - | - | - | - |
| HYD | 0.802 | 0.944 | 0.335 | - | - | - |
| ACC | 0.338 | 0.187 | 0.501 | −0.143 | - | - |
| pIC50 | −0.634 | −0.607 | −0.494 | −0.355 | −0.804 | - |
| Pharmacophoric Characteristics | Coordinates | ||||
|---|---|---|---|---|---|
| X | Y | Z | Radius | ||
![]() | Aromatic (ARO) | 8.20 | −59.95 | −3.93 | 1.1 |
| Hydrophobic (HYD) | 8.49 | −62.48 | −25.88 | 1.0 | |
| Hydrogen bond acceptor (ACC) | 7.59 | −61.43 | −22.89 | 0.5 | |
| Compounds | #Star a | RO5 b | %HOA c | QPP Caco d | QPP MDCK e | QPlog Po/w f | CNS g | QPlogBB h | MW i |
|---|---|---|---|---|---|---|---|---|---|
| 0–4 | <25 Poor >80 Great | <25 Poor >500 Great | <25 Poor >500 Great | <5 | −2 (Inactive) +2 (Active) | <1 | 150–500 | ||
| GNT (control) | 1 | 0 | 90.0 | 716.5000 | 381.7100 | 2.042 | 1 | 0.368 | 287.350 |
| ZINC86196920 | 0 | 0 | 100 | 4677.623 | 2621.609 | 2.786 | 1 | 0.105 | 208.257 |
| ZINC16951574 (LMQC2) | 0 | 0 | 100 | 1838.444 | 1056.986 | 3.174 | 2 | 0.611 | 313.397 |
| ZINC91960073 | 0 | 0 | 100 | 5925.536 | 7466.586 | 2.815 | 1 | 0.410 | 253.685 |
| ZINC08342556 (LMQC5) | 0 | 0 | 100 | 2928.309 | 2764.505 | 3.828 | 1 | 0.144 | 340.452 |
| ZINC86199797 | 0 | 0 | 100 | 4673.581 | 4673.581 | 3.166 | 1 | 0.029 | 222.284 |
| ZINC13108311 | 0 | 0 | 100 | 2387.068 | 5990.536 | 3.254 | 1 | 0.081 | 350.234 |
| ZINC13362890 | 0 | 0 | 100 | 3705.456 | 2037.983 | 2.415 | 1 | 0.111 | 230.267 |
| ZINC21657754 | 0 | 0 | 100 | 3792.205 | 2089.602 | 2.136 | 1 | 0.065 | 246.266 |
| Compounds | Toxicity Prediction Alert (Lhasa Prediction) | Toxicophoric Group | LD50 Predicted in Rodents (mg/kg) | Toxicity Class * | Hepatotoxicity | |
|---|---|---|---|---|---|---|
| GNT (control) | - | - | 85 | III | Inactive | |
| ZINC86196920 | - | - | 362 | IV | Inactive | |
| ZINC16951574 (LMQC2) | - | - | 520 | IV | Inactive | |
| ZINC08342556 (LMQC5) | - | - | 1000 | IV | Inactive | |
| ZINC13362890 | - | - | 360 | IV | Inactive | |
| ZINC86199797 | - | - | 362 | IV | Inactive | |
| ZINC21657754 | - | - | 800 | IV | Active | |
| ZINC13108311 | Skin sensitization | Thiol or thiol exchange agent | ![]() | 1000 | IV | Active |
| ZINC15910273 | Hydrazine or precursor | ![]() | 1000 | IV | Active | |
| Compound | Pa | Pi | Biological Activity |
|---|---|---|---|
| GNT (control) | 0.957 | 0.003 | Substrate CYP2D6 |
| 0.553 | 0.052 | Substrate CYP3A4 | |
| 0.428 | 0.055 | Treatment of Alzheimer’s disease | |
| ZINC86196920 | 0.408 | 0.056 | Substrate CYP2D6 |
| 0.413 | 0.085 | Substrate CYP3A4 | |
| 0.223 | 0.124 | Treatment of Alzheimer’s disease | |
| ZINC16951574 (LMQC2) | 0.553 | 0.024 | Substrate CYP2D6 |
| 0.264 | 0.187 | Substrate CYP3A4 | |
| ZINC08342556 (LMQC5) | - | - | - |
| ZINC86199797 | 0.544 | 0.025 | Substrate CYP2D6 |
| 0.532 | 0.055 | Substrate CYP3A4 | |
| ZINC13362890 | 0.191 | 0.165 | Treatment of Alzheimer’s disease |
| ZINC21657754 | 0.192 | 0.164 | Treatment of Alzheimer’s disease |
| Compound | Structure | Smile |
|---|---|---|
| ZINC86196920 | ![]() | COc1cccc([C@]2(O)C[C@@H]2C)c1OC |
| ZINC16951574 (LMQC2) | ![]() | C=C[C@@]12c3c4ccc(OC)c3O[C@@H]1C(OC)=CC[C@@H]2[C@H](NC)C4 |
| ZINC08342556 (LMQC5) | ![]() | C[C@H]1Sc2nnc([C@@H]3CCCO3)n2N=C1c1ccc2c(c1)CCC2 |
| ZINC86199797 | ![]() | CC[C@H]1C[C@@]1(O)c1cccc(OC)c1OC |
| ZINC13362890 | ![]() | COc1nccn(-c2ccc(C)cc2C)c1=O |
| ZINC21657754 | ![]() | COc1ccc(-n2ccnc(OC)c2=O)c(C)c1 |
| ZINC16951574 (LMQC2) | |||
|---|---|---|---|
| Metabolites | Phase Type | Chemical Reaction | Probability (%) |
| M1-1 | Phase I reaction (Oxidation) | C-oxidation | 82.83 |
| M2-1 | Epoxidation | 99.75 | |
| ZINC8342556 (LMQC5) | |||
| M1-2 | Phase I reaction (Oxidation) | S-oxidation | 98.75 |
| M2-2 | Aliphatic hydroxylation | 99.65 | |
| M3-2 | Phase II biotransformation reaction | Glutathionation | 99.50 |
| Absorption and Excretion | |||||
|---|---|---|---|---|---|
| Compound | Metabolites | HIA (%) | PCaco-2 (nm/sec) | Pskin (cm/h) | PMDCK (nm/sec) |
| GNT | - | 95.402480 | 20.9301 | −4.17647 | 78.0917 |
| ZINC16951574 (LMQC2) | M1-1 | 95.758170 | 51.9435 | −3.92615 | 283.166 |
| M2-1 | 95.874961 | 53.1166 | −4.44136 | 57.8788 | |
| ZINC8342556 (LMQC5) | M1-2 | 99.307339 | 20.3666 | −4.1935 | 80.2919 |
| M2-2 | 97.599836 | 23.6799 | −4.41052 | 84.5731 | |
| M3-2 | 95.758170 | 22.9435 | −4.31616 | 84.0711 | |
| Distribution | |||
|---|---|---|---|
| Compound | Metabolites | PPB (%) | BBB (CBrain/CBlood) |
| GNT (control) | - | 25.772647 | 0.578707 |
| ZINC16951574 (LMQC2) | M1-1 | 44.430986 | 0.663151 |
| M1-2 | 29.666364 | 0.476563 | |
| ZINC8342556 (LMQC5) | M2-1 | 96.361373 | 0.96609 |
| M2-2 | 89.331353 | 0.246839 | |
| M3-3 | 90.730886 | 0.233788 | |
| Compound | Metabolites | Carcinogenicity | Ames Test | |
|---|---|---|---|---|
| Mouse | Rat | Mutagenicity | ||
| GNT (control) | - | Negative | Negative | Mutagen |
| ZINC16951574 (LMQC2) | M1-1 | Negative | Positive | Mutagen |
| M1-2 | Negative | Positive | Mutagen | |
| ZINC8342556 (LMQC5) | M2-1 | Negative | Negative | Mutagen |
| M2-2 | Negative | Negative | Mutagen | |
| M2-3 | Negative | Negative | Mutagen | |
| Compound | ΔGtotal (a) | ΔEVDW (b) | ΔEelectrostatic (c) | ΔEEPB (d) | ΔEENPOLAR (e) |
|---|---|---|---|---|---|
| GNT (control) | −44.4665 | −48.1589 | −7.5486 | 15.7695 | −4.5285 |
| ZINC16951574 (LMQC2) | −52.3996 | −46.3026 | −135.8650 | 135.2977 | −5.5297 |
| ZINC08342556 (LMQC5) | −54.2359 | −58.9034 | −1.4877 | 11.1959 | −5.0406 |
| Compound | iLOG | XLOGP | WLOGP | MLOGP | SILICOS-IT | Consensus LogP |
|---|---|---|---|---|---|---|
| GNT (control) | 3.37 | 3.36 | 2.66 | 3.38 | 3.87 | 3.33 |
| ZINC16951574 (LMQC2) | 2.64 | 1.84 | 1.32 | 1.74 | 2.03 | 1.91 |
| ZINC08342556 (LMQC5) | 3.27 | 2.85 | 2.57 | 2.13 | 3.25 | 2.82 |
| Compound | ESOL | Ali | SILICOS-IT | Consensus LogS |
|---|---|---|---|---|
| GNT (control) | −4.27 (ms) | −4.67 (ms) | −4.82 (ms) | −6.00 (ps) |
| ZINC16951574 (LMQC2) | −3.51 (s) | −3.34 (s) | −4.52 (ms) | −6.75 (ps) |
| ZINC08342556 (LMQC5) | −2.93 (s) | −2.34 (s) | −2.96 (s) | −6.19 (ps) |
| Compound | SA (%) (a) | SA Score (%) (b) |
|---|---|---|
| GNT (control) | 64.33 | 40.76 |
| ZINC16951574 (LMQC2) | 36.05 | 40.57 |
| ZINC08342556 (LMQC5) | 56.32 | 40.55 |
(a) | |||||||
| No | R (b) | n (c) | IC50 (d), nM | No | R (b) | N (c) | IC50 (d), nM |
| 1 | ![]() | 6 | 5.62 | 9 | ![]() | 10 | 61.20 |
| 2 | ![]() | 6 | 6.52 | 10 | ![]() | 9 | 88.10 |
| 3 | ![]() | 4 | 8.86 | 11 | ![]() | 4 | 94.10 |
| 4 | ![]() | 4 | 12.40 | 12 | ![]() | 4 | 99.10 |
| 5 | ![]() | 2 | 24.50 | 13 | ![]() | 6 | 113.00 |
| 6 | ![]() | 8 | 34.70 | 14 | ![]() | 6 | 122.00 |
| 7 | ![]() | 4 | 53.80 | 15 | ![]() | 6 | 222.00 |
| 8 | ![]() | 12 | 58.10 | - | - | - | - |
| Receptor | Ligand | Coordinates of the Grid Center (Angstrom) | Grid Dimensions (Angstrom) |
|---|---|---|---|
| hAChE (PDB ID: 4EY6) | GNT | X = 8.817 Y = −60.624 Z = −23.964 | X = 18.522 Y = 23.934 Z = 11.629 |
Disclaimer/Publisher’s Note: The statements, opinions and data contained in all publications are solely those of the individual author(s) and contributor(s) and not of MDPI and/or the editor(s). MDPI and/or the editor(s) disclaim responsibility for any injury to people or property resulting from any ideas, methods, instructions or products referred to in the content. |
© 2023 by the authors. Licensee MDPI, Basel, Switzerland. This article is an open access article distributed under the terms and conditions of the Creative Commons Attribution (CC BY) license (https://creativecommons.org/licenses/by/4.0/).
Share and Cite
Silva, L.B.; Ferreira, E.F.B.; Maryam; Espejo-Román, J.M.; Costa, G.V.; Cruz, J.V.; Kimani, N.M.; Costa, J.S.; Bittencourt, J.A.H.M.; Cruz, J.N.; et al. Galantamine Based Novel Acetylcholinesterase Enzyme Inhibitors: A Molecular Modeling Design Approach. Molecules 2023, 28, 1035. https://doi.org/10.3390/molecules28031035
Silva LB, Ferreira EFB, Maryam, Espejo-Román JM, Costa GV, Cruz JV, Kimani NM, Costa JS, Bittencourt JAHM, Cruz JN, et al. Galantamine Based Novel Acetylcholinesterase Enzyme Inhibitors: A Molecular Modeling Design Approach. Molecules. 2023; 28(3):1035. https://doi.org/10.3390/molecules28031035
Chicago/Turabian StyleSilva, Luciane B., Elenilze F. B. Ferreira, Maryam, José M. Espejo-Román, Glauber V. Costa, Josiane V. Cruz, Njogu M. Kimani, Josivan S. Costa, José A. H. M. Bittencourt, Jorddy N. Cruz, and et al. 2023. "Galantamine Based Novel Acetylcholinesterase Enzyme Inhibitors: A Molecular Modeling Design Approach" Molecules 28, no. 3: 1035. https://doi.org/10.3390/molecules28031035
APA StyleSilva, L. B., Ferreira, E. F. B., Maryam, Espejo-Román, J. M., Costa, G. V., Cruz, J. V., Kimani, N. M., Costa, J. S., Bittencourt, J. A. H. M., Cruz, J. N., Campos, J. M., & Santos, C. B. R. (2023). Galantamine Based Novel Acetylcholinesterase Enzyme Inhibitors: A Molecular Modeling Design Approach. Molecules, 28(3), 1035. https://doi.org/10.3390/molecules28031035


























