Experimental and DFT Research on the Effects of O2/CO2 and O2/H2O Pretreatments on the Combustion Characteristics of Char
Abstract
:1. Introduction
2. Experiments and Calculations
2.1. Preparation of Preheated Char
2.2. Analytical Methods
2.2.1. Non-Isothermal, Thermo-Gravimetric Experiments
2.2.2. Raman Analysis
2.2.3. Temperature-Programmed Desorption Experiments
2.3. Calculated Details
3. Results and Discussion
3.1. Experimental Results and Discussions
3.1.1. Characterization of the Physical and Chemical Properties of Preheated Char
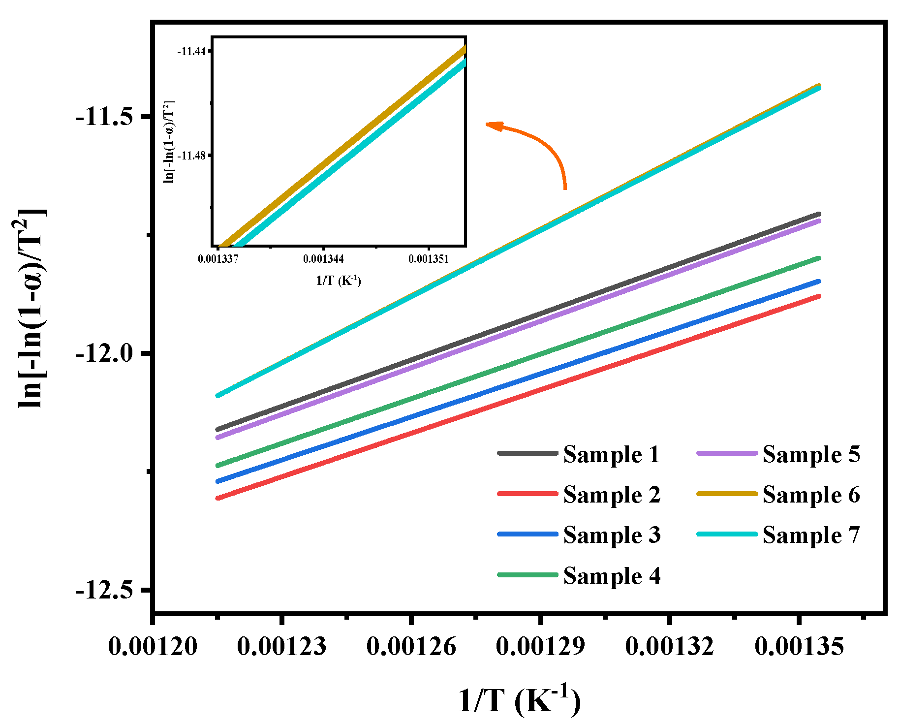
3.1.2. Combustion Characteristics of Pretreated Char
3.2. Theoretical Investigation of the Combustion Mechanisms of Preheated Char
3.2.1. Combustion Characteristics of Pretreated Char
3.2.2. The Combustion Mechanisms of Pretreated Char
4. Conclusions
Author Contributions
Funding
Institutional Review Board Statement
Informed Consent Statement
Data Availability Statement
Conflicts of Interest
Abbreviations
| ADCH | Atomic dipole corrected Hirshfeld atomic charge |
| DFT | Density functional theory |
| IRC | Intrinsic reaction coordinate calculation |
| JC | Jin Cheng |
| TGA | Non-isothermal, thermo-gravimetric analysis |
| TPD | Temperature-programmed desorption |
Appendix A
| Samples | Ti (K) | Tb (K) | (dω/dt)max (mg·s−1) | S × 10−11 (mg2·s−2·K−3) |
|---|---|---|---|---|
| 1 | 865.89 | 1071.58 | 0.49 | 6.69 |
| 2 | 860.67 | 1065.12 | 0.49 | 6.80 |
| 3 | 862.41 | 1066.11 | 0.49 | 6.84 |
| 4 | 863.83 | 1061.16 | 0.51 | 7.03 |
| 5 | 868.59 | 1059.28 | 0.52 | 7.28 |
| 6 | 868.29 | 1061.10 | 0.52 | 7.23 |
| 7 | 868.23 | 1061.51 | 0.52 | 7.21 |






References
- Wang, Q.; Chen, Z.; Liu, T.; Zeng, L.; Zhang, X.; Du, H.; Li, Z. Industrial Experiments on Anthracite Combustion and NOx Emissions with Respect to Swirling Secondary Air for a 300 MWe Deep-Air-Staged Down-Fired Utility Boiler. Energy Fuels 2018, 32, 7878–7887. [Google Scholar] [CrossRef]
- Tang, M.; Yang, Z.; Ma, J.; Liu, L.; Shen, B. SO2 and NO emissions during combustion of high-alkali coal over a wide temperature range: Effect of Na species and contents. Fuel 2022, 309, 122212. [Google Scholar]
- Wang, Q.; Chen, Z.; Han, H.; Zeng, L.; Li, Z. Experimental characterization of anthracite combustion and NOx emission for a 300-MWe down-fired boiler with a novel combustion system: Influence of primary and vent air distributions. Appl. Energy 2019, 238, 1551–1562. [Google Scholar] [CrossRef]
- Ministry of Ecology and Environment of the People’s Republic of China. Comprehensive Implementations of Ultra-Low Emissions and Energy Saving Schemes for Coal-Fired Power Plants. Available online: http://english.mee.gov.cn/ (accessed on 27 February 2020).
- Lv, Y.; Lv, X.; Fang, F.; Yang, T.; Carlos, E.R. Adaptive selective catalytic reduction model development using typical operating data in coal-fired power plants. Energy 2020, 192, 116589. [Google Scholar] [CrossRef]
- Anichkov, S.N.; Zykov, A.M.; Tumanovskii, A.G.; Kulish, O.N.; Zaporozhskii, K.I. Development of SNCR Technology and Prospects of Its Application. Therm. Eng. 2021, 68, 510–515. [Google Scholar] [CrossRef]
- Carlos, E.R.; Wang, X. Chapter Three—Key Technologies for Ultra-Low Emissions from Coal-Fired Power Plants. In Advances in Ultra-Low Emission Control Technologies for Coal-Fired Power Plants; Woodhead Publishing Series in Energy: Sawston, UK, 2019; pp. 39–79. [Google Scholar]
- Zhu, S.; Zhu, J.; Lu, Q. NOx emissions of pulverized coal combustion in high-temperature flue gas. Asia-Pac. J. Chem. Eng. 2020, 15, 2534. [Google Scholar] [CrossRef]
- Lu, Q.; Zhu, J.; Niu, T.; Song, G.; Na, Y. Pulverized coal combustion and NOx emissions in high temperature air from circulating fluidized bed. Fuel Process. Technol. 2008, 89, 1186–1192. [Google Scholar] [CrossRef]
- Ouyang, Z.; Song, W.; Liu, J.; Zhu, J.; Man, C.; Zhu, S.; Ding, H. Experimental study on NOx emissions of pulverized coal combustion preheated by a 2 MW novel self-sustained preheating combustor. Fuel 2021, 294, 120538. [Google Scholar] [CrossRef]
- Wang, Z.; Zhang, L.; Zhao, Y.; Feng, S.; Ma, J.; Kong, W.; Shen, B.; Sun, R. Experimental investigation on the evolution characteristics of anthracite-N and semi-coke reactivity under various O2/H2O pre-oxidation atmospheres. Fuel Process. Technol. 2021, 216, 106725. [Google Scholar] [CrossRef]
- Yao, Y.; Zhu, J.; Lu, Q. Experimental Study on Nitrogen Transformation in Combustion of Pulverized Semi-coke Preheated in a Circulating Fluidized Bed. Energy Fuels 2015, 29, 3985–3991. [Google Scholar] [CrossRef]
- Zhu, J.; Ouyang, Z.; Lu, Q. An Experimental Study on NOx Emissions in Combustion of Pulverized Coal Preheated in a Circulating Fluidized Bed. Energy Fuels 2013, 27, 7724–7729. [Google Scholar] [CrossRef]
- Ding, H.; Ouyang, Z.; Zhang, X.; Zhu, S. The effects of particle size on flameless combustion characteristics and NOx emissions of semi-coke with coal preheating technology. Fuel 2021, 297, 120758. [Google Scholar] [CrossRef]
- Zhu, S.; Lyu, Q.; Zhu, J.; Wu, H.; Fan, Y. Low NOx emissions from pulverized coal MILD combustion in O2 and CO2 preheated by a circulating fluidized bed. Energy Fuels 2018, 32, 10956–10963. [Google Scholar] [CrossRef]
- Zhu, S.; Zhu, J.; Lyu, Q.; Pan, F.; Zhang, Y.; Liu, W. NO emissions under pulverized char combustion in O2/CO2/H2O preheated by a circulating fluidized bed. Fuel 2019, 252, 512–521. [Google Scholar] [CrossRef]
- Li, Z.; Zou, R.; Hong, D.; Ouyang, J.; Jiang, L.; Liu, H.; Luo, G.; Yao, H. Effect of CO2 and H2O on Char Properties. Part 2: In Situ and Ex Situ Char in Oxy-Steam Combustion. Energy Fuels 2020, 34, 7554–7563. [Google Scholar] [CrossRef]
- Zhang, X.; Zhou, Z.; Zhou, J.; Liu, J.; Cen, K. A quantum chemistry study of CO and NO desorption from oxidation of nitrogen-containing char by oxygen. J. China Coal Soc. 2011, 36, 129–134. [Google Scholar]
- Huo, Y.; Zhu, H.; He, X.; Fang, S.; Wang, W. Quantum Chemical Calculation of the Effects of H2O on Oxygen Functional Groups during Coal Spontaneous Combustion. ACS Omega 2021, 6, 25594–25607. [Google Scholar] [CrossRef]
- Zhu, H.; Huo, Y.; Wang, W.; He, X.; Fang, S.; Zhang, Y. Quantum chemical calculation of reaction characteristics of hydroxyl at different positions during coal spontaneous combustion. Process Saf. Environ. Prot. 2021, 148, 624–635. [Google Scholar] [CrossRef]
- Liu, Y.; Fu, P.; Yue, F.; Bie, K. A surface activation function method to determine the intrinsic reactivity of coal char oxyfuel conversion. Fuel 2019, 239, 1061–1071. [Google Scholar] [CrossRef]
- Xu, J.; Su, S.; Sun, Z.; Qing, M.; Xiong, Z.; Wang, Y.; Jiang, L.; Hu, S.; Xiang, J. Effects of steam and CO2 on the characteristics of chars during devolatilization in oxy-steam combustion process. Appl. Energy 2016, 182, 20–28. [Google Scholar] [CrossRef]
- Quyn, D.M.; Wu, H.; Li, C. Volatilisation and catalytic effects of alkali and alkaline earth metallic species during the pyrolysis and gasification of Victorian brown coal. Part, I. Volatilisation of Na and Cl from a set of NaCl-loaded samples. Fuel 2002, 81, 143–149. [Google Scholar] [CrossRef]
- Wang, Z.; Hong, C.; Xing, Y.; Li, Y.; Feng, L.; Jia, M. Combustion behaviors and kinetics of sewage sludge blended with pulverized coal: With and without catalysts. Waste Manag. 2018, 74, 288–296. [Google Scholar] [CrossRef] [PubMed]
- Song, Y.; Feng, W.; Li, N.; Zhi, K.; Teng, Y.; He, R.; Zhou, H.; Liu, Q. Effects of demineralization on the structure and combustion properties of Shengli lignite. Fuel 2016, 183, 659–667. [Google Scholar] [CrossRef]
- Coats, A.W.; Redfern, J.P. Kinetic Parameters from Thermogravimetric Data. Nature 1964, 201, 68–69. [Google Scholar] [CrossRef]
- Ayiania, M.; Weiss-Hortala, E.; Smith, M.; McEwen, J.-S.; Garcia-Perez, M. Microstructural analysis of nitrogen-doped char by Raman spectroscopy: Raman shift analysis from first principles. Carbon 2020, 167, 559–574. [Google Scholar] [CrossRef]
- Li, X.; Hayashi, J.-i.; Li, C. FT-Raman spectroscopic study of the evolution of char structure during the pyrolysis of a Victorian brown coal. Fuel 2006, 85, 1700–1707. [Google Scholar] [CrossRef]
- Zhang, H.; Qin, H.; Wang, X.; Liu, J.; Liu, J.; Jiang, X. Mechanisms of the N2O formation and decomposition over coal char surface. Combust. Flame 2022, 238, 111923. [Google Scholar] [CrossRef]
- Zhang, H.; Jiang, X.; Liu, J. Updated effect of carbon monoxide on the interaction between NO and char bound nitrogen: A combined thermodynamic and kinetic study. Combust. Flame 2020, 220, 107–118. [Google Scholar] [CrossRef]
- Zhang, H.; Luo, L.; Liu, J.; Jiao, A.; Liu, J.; Jiang, X. Theoretical study on the reduction reactions from solid char(N): The effect of the nearby group and the high-spin state. Energy 2019, 189, 116286. [Google Scholar] [CrossRef]
- Zhang, L.; Sun, R.; Wang, Z.; Zhu, W.; Wang, X.; Qi, H. Application of experiments and density function theory on the formation mechanism of NH3 during O2/Ar and O2/H2O combustion process of demineralized coals. Fuel 2023, 331, 125730. [Google Scholar] [CrossRef]
- Frisch, M.J.; Trucks, G.W.; Schlegel, H.B.; Scuseria, G.E.; Robb, M.A.; Cheeseman, J.R.; Scalmani, G.; Barone, V.; Mennucci, B.; Petersson, G.A.; et al. Gaussian 09 (Revision C.01); Gaussian, Inc.: Wallingford, UK, 2009. [Google Scholar]
- Lu, T.; Chen, F. Multiwfn: A multifunctional wavefunction analyzer. J. Comput. Chem. 2011, 33, 580–592. [Google Scholar] [CrossRef] [PubMed]
- Onsree, T.; Tippayawong, N. Analysis of reaction kinetics for torrefaction of pelletized agricultural biomass with dry flue gas. Energy Rep. 2020, 6, 61–65. [Google Scholar] [CrossRef]
- Zhang, L.; Wang, Z.; Ma, J.; Kong, W.; Yuan, P.; Sun, R.; Shen, B. Analysis of functionality distribution and microstructural characteristics of upgraded rice husk after undergoing non-oxidative and oxidative torrefaction. Fuel 2022, 310, 122477. [Google Scholar] [CrossRef]
- Tay, H.-L.; Kajitani, S.; Zhang, S.; Li, C.-Z. Inhibiting and other effects of hydrogen during gasification: Further insights from FT-Raman spectroscopy. Fuel 2014, 116, 1–6. [Google Scholar] [CrossRef]
- Angeles, G.B.; Alvarez, D. Comparison of Chars Obtained under Oxy-Fuel and Conventional Pulverized Coal Combustion Atmospheres. Energy Fuels 2007, 21, 3171–3179. [Google Scholar]
- Niu, S.; Han, K.; Lu, C. Characteristic of coal combustion in oxygen/carbon dioxide atmosphere and nitric oxide release during this process. Energy Convers. Manag. 2011, 52, 532–537. [Google Scholar] [CrossRef]
- Chen, X.; Liu, L.; Zhang, L.; Zhao, Y.; Qiu, P. Pyrolysis Characteristics and Kinetics of Coal–Biomass Blends during Co-Pyrolysis. Energy Fuels 2019, 33, 1267–1278. [Google Scholar] [CrossRef]
- Zhu, Q.; Jones, J.M.; Williams, A.; Thomas, K.M. The predictions of coal/char combustion rate using an artificial neural network approach. Fuel 1999, 78, 1755–1762. [Google Scholar] [CrossRef]
- Zhang, L.; Sun, R.; Wang, X.; Wang, Z.; Zhu, W.; Wu, J. Experimental and density functional theory investigation of the NO reduction mechanism by semichars preheated in Ar and CO2/Ar atmospheres. Fuel 2022, 326, 125080. [Google Scholar] [CrossRef]







| Samples | Ultimate Analysis (Dry and Ash-Free) | Proximate Analysis (as Received) | |||||||
|---|---|---|---|---|---|---|---|---|---|
| C (wt%) | H (wt%) | N (wt%) | S (wt%) | O (wt%) | Moisture (wt%) | Volatiles (wt%) | Cfixed * (wt%) | Ash (wt%) | |
| JC | 90.23 | 3.22 | 1.05 | 1.35 | 4.15 | 2.51 | 7.84 | 76.54 | 13.11 |
| Parameter | Temperature | Residence Time | Atmosphere |
|---|---|---|---|
| Sample 1 | 1173 K | 25 s | Ar |
| Sample 2 | 1173 K | 25 s | 6 vol.% O2 + 10 vol.% CO2 + Ar balanced |
| Sample 3 | 1173 K | 25 s | 6 vol.% O2 + 20 vol.% CO2 + Ar balanced |
| Sample 4 | 1173 K | 25 s | 6 vol.% O2 + 30 vol.% CO2 + Ar balanced |
| Sample 5 | 1173 K | 25 s | 6 vol.% O2 + 10 vol.% H2O + Ar balanced |
| Sample 6 | 1173 K | 25 s | 6 vol.% O2 + 20 vol.% H2O + Ar balanced |
| Sample 7 | 1173 K | 25 s | 6 vol.% O2 + 30 vol.% H2O + Ar balanced |
| Samples | 1 | 2 | 3 | 4 | 5 | 6 | 7 |
|---|---|---|---|---|---|---|---|
| E (kJ/mol) | 46.95 | 39.08 | 38.78 | 30.62 | 27.15 | 27.29 | 27.48 |
| A × 10−7 (min−1) | 1.62 | 4.37 | 4.53 | 10.20 | 16.10 | 15.60 | 14.20 |
| R2 | 0.99 | 0.99 | 0.99 | 0.99 | 0.98 | 0.99 | 0.99 |
Disclaimer/Publisher’s Note: The statements, opinions and data contained in all publications are solely those of the individual author(s) and contributor(s) and not of MDPI and/or the editor(s). MDPI and/or the editor(s) disclaim responsibility for any injury to people or property resulting from any ideas, methods, instructions or products referred to in the content. |
© 2023 by the authors. Licensee MDPI, Basel, Switzerland. This article is an open access article distributed under the terms and conditions of the Creative Commons Attribution (CC BY) license (https://creativecommons.org/licenses/by/4.0/).
Share and Cite
Zhang, L.; Xu, J.; Sun, R.; Wang, Z.; Wang, X.; Yuan, M.; Wu, J. Experimental and DFT Research on the Effects of O2/CO2 and O2/H2O Pretreatments on the Combustion Characteristics of Char. Molecules 2023, 28, 1638. https://doi.org/10.3390/molecules28041638
Zhang L, Xu J, Sun R, Wang Z, Wang X, Yuan M, Wu J. Experimental and DFT Research on the Effects of O2/CO2 and O2/H2O Pretreatments on the Combustion Characteristics of Char. Molecules. 2023; 28(4):1638. https://doi.org/10.3390/molecules28041638
Chicago/Turabian StyleZhang, Lei, Jie Xu, Rui Sun, Zhuozhi Wang, Xingyi Wang, Mengfan Yuan, and Jiangquan Wu. 2023. "Experimental and DFT Research on the Effects of O2/CO2 and O2/H2O Pretreatments on the Combustion Characteristics of Char" Molecules 28, no. 4: 1638. https://doi.org/10.3390/molecules28041638
APA StyleZhang, L., Xu, J., Sun, R., Wang, Z., Wang, X., Yuan, M., & Wu, J. (2023). Experimental and DFT Research on the Effects of O2/CO2 and O2/H2O Pretreatments on the Combustion Characteristics of Char. Molecules, 28(4), 1638. https://doi.org/10.3390/molecules28041638

