Synthesis by Melt-Polymerization of a Novel Series of Bio-Based and Biodegradable Thiophene-Containing Copolyesters with Promising Gas Barrier and High Thermomechanical Properties
Abstract
1. Introduction
2. Results and Discussion
2.1. Polymer Synthesis and Characterization
2.2. FTIR and 1H NMR Analysis
2.3. Crystallinity Properties
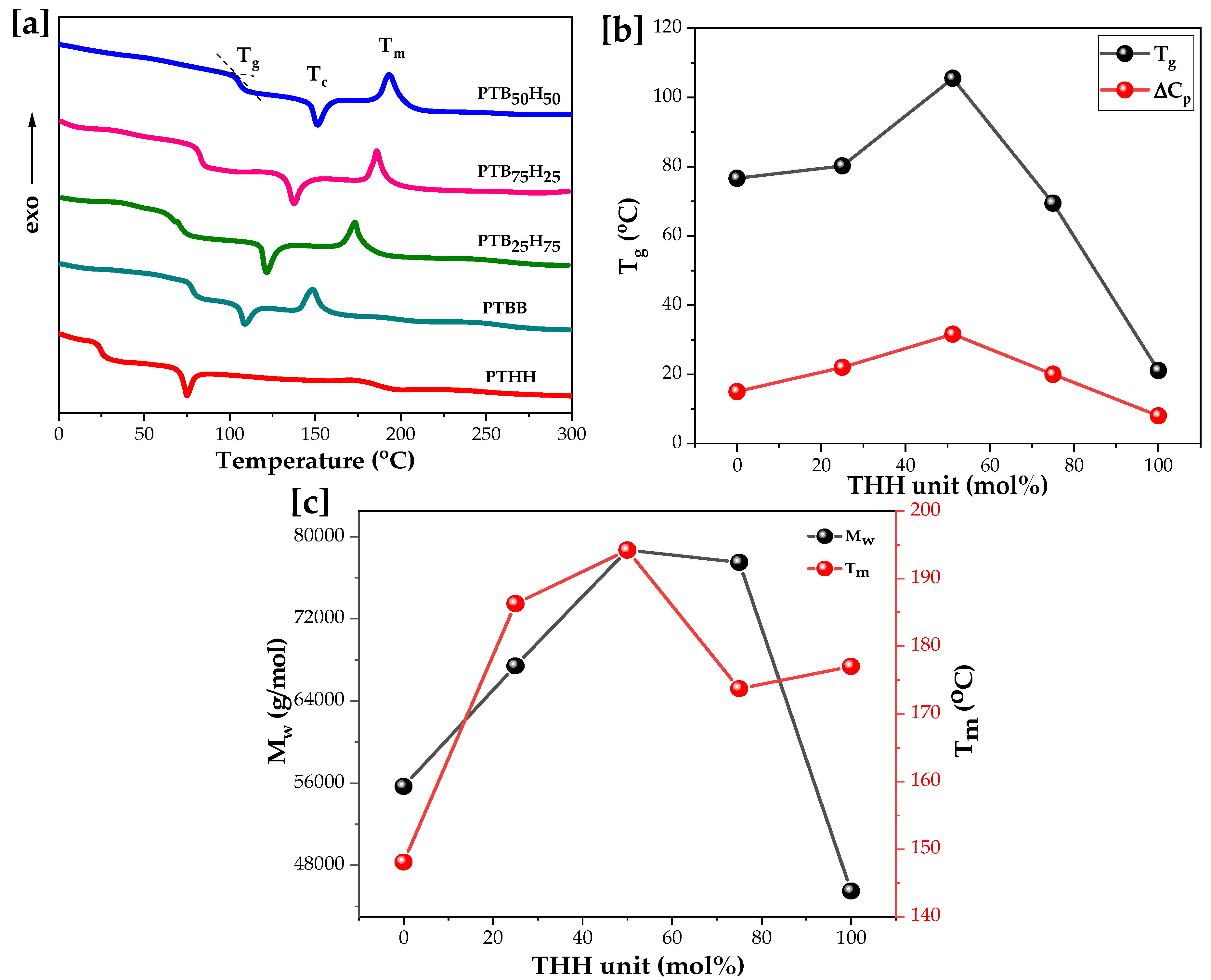
2.4. Thermal Analysis and Properties
2.5. Gas Barrier Properties
2.6. Dynamic and Mechanic Properties
2.7. Degradability Studies
2.8. Relevance of the Current Research for Practical Implementation
3. Materials and Methods
3.1. Materials
3.2. Methods
3.2.1. Characterization Techniques
Fourier-Transform Infrared Spectroscopy (FTIR)
1H NMR Nuclear Magnetic Resonance
Gel Permeation Chromatography (GPS)/Size Exclusion Chromatography (SEC)
Thermal Analysis
X-Ray Diffraction (XRD)
Scanning Electron Microscopy (SEM)
Gas Barrier Properties
Microtensile Testing
3.2.2. Passive and Enzymatic Degradations of Copolyesters
3.3. Preparation of Poly(hexylene thiophenedicarboxylate) (PTHH), Poly(1,4-bis(2-hydroxyethyl)benzene thiophenedicarboxylate) PTBB and Poly(hexylene 2,5-thiophenedicarboxylate-co-bis(2-hydroxyethoxybenzene) PTBxHy Copolyesters
4. Conclusions
Author Contributions
Funding
Institutional Review Board Statement
Informed Consent Statement
Data Availability Statement
Acknowledgments
Conflicts of Interest
Sample Availability
References
- Rosenboom, J.-G.; Langer, R.; Traverso, G. Bioplastics for a circular economy. Nat. Rev. Mater. 2022, 7, 117–137. [Google Scholar] [CrossRef] [PubMed]
- Frumkin, H.; Hess, J.; Vindigni, S. Energy and public health: The challenge of peak petroleum. Public Health Rep. 2009, 124, 5–19. [Google Scholar] [CrossRef] [PubMed]
- Tamo, A.K.; Tran, T.A.; Doench, I.; Jahangir, S.; Lall, A.; David, L.; Peniche-Covas, C.; Walther, A.; Osorio-Madrazo, A. 3D Printing of Cellulase-Laden Cellulose Nanofiber/Chitosan Hydrogel Composites: Towards Tissue Engineering Functional Biomaterials with Enzyme-Mediated Biodegradation. Materials 2022, 15, 6039. [Google Scholar] [CrossRef] [PubMed]
- Selabi, N.B.S.; Lenwoue, A.R.K.; Djouonkep, L.D.W. Numerical Investigation of the Optimization of PV-System Performances Using a Composite PCM-Metal Matrix for PV-Solar Panel Cooling System. JFFHMT 2021, 8, 262–274. [Google Scholar] [CrossRef]
- Lligadas, G.; Ronda, J.C.; Galià, M.; Cádiz, V. Renewable polymeric materials from vegetable oils: A perspective. Mater. Today 2013, 16, 337–343. [Google Scholar] [CrossRef]
- Moshood, T.D.; Nawanir, G.; Mahmud, F.; Mohamad, F.; Ahmad, M.H.; AbdulGhani, A. Sustainability of biodegradable plastics: New problem or solution to solve the global plastic pollution? Curr. Res. Green Sustain. Chem. 2022, 5, 100273. [Google Scholar] [CrossRef]
- Samir, A.; Ashour, F.H.; Hakim, A.A.A.; Bassyouni, M. Recent advances in biodegradable polymers for sustainable applications. npj Mater. Degrad. 2022, 6, 443. [Google Scholar] [CrossRef]
- Zhao, H.; Geng, Y.; Djouonkep, L.D.W.; Wen, J.; Fan, Q. A novel crosslinked poly(AMPS-co-VA-co-DVB) viscosifier for high temperature water-based drilling muds. J. Polym. Res. 2022, 29, 277. [Google Scholar] [CrossRef]
- Osorio-Madrazo, A.; Eder, M.; Rueggeberg, M.; Pandey, J.K.; Harrington, M.J.; Nishiyama, Y.; Putaux, J.-L.; Rochas, C.; Burgert, I. Reorientation of cellulose nanowhiskers in agarose hydrogels under tensile loading. Biomacromolecules 2012, 13, 850–856. [Google Scholar] [CrossRef]
- Kabeyi, M.J.B.; Olanrewaju, O.A. Sustainable Energy Transition for Renewable and Low Carbon Grid Electricity Generation and Supply. Front. Energy Res. 2022, 9, 390. [Google Scholar] [CrossRef]
- Xanthopoulou, E.; Terzopoulou, Z.; Zamboulis, A.; Koltsakidis, S.; Tzetzis, D.; Peponaki, K.; Vlassopoulos, D.; Guigo, N.; Bikiaris, D.N.; Papageorgiou, G.Z. Poly(hexylene vanillate): Synthetic Pathway and Remarkable Properties of a Novel Alipharomatic Lignin-Based Polyester. ACS Sustain. Chem. Eng. 2023, 11, 1569–1580. [Google Scholar] [CrossRef]
- Lange, J.-P. Managing Plastic Waste—Sorting, Recycling, Disposal, and Product Redesign. ACS Sustain. Chem. Eng. 2021, 9, 15722–15738. [Google Scholar] [CrossRef]
- Osorio Madrazo, A.; David, L.; Montembault, A.; Viguier, E.; Cachon, T. Hydrogel Composites Comprising Chitosan and Cellulose Nanofibers. US20210047479A1, 18 February 2021. [Google Scholar]
- Nindjio, G.F.K.; Tagne, R.F.T.; Jiokeng, S.L.Z.; Fotsop, C.G.; Bopda, A.; Doungmo, G.; Temgoua, R.C.T.; Doench, I.; Njoyim, E.T.; Tamo, A.K.; et al. Lignocellulosic-Based Materials from Bean and Pistachio Pod Wastes for Dye-Contaminated Water Treatment: Optimization and Modeling of Indigo Carmine Sorption. Polymers 2022, 14, 3776. [Google Scholar] [CrossRef] [PubMed]
- Dong, Y.; Wang, J.; Yang, Y.; Wang, Q.; Zhang, X.; Hu, H.; Zhu, J. Bio-based poly(butylene diglycolate-co-furandicarboxylate) copolyesters with balanced mechanical, barrier and biodegradable properties: A prospective substitute for PBAT. Polym. Degrad. Stab. 2022, 202, 110010. [Google Scholar] [CrossRef]
- Yi, J.; Xu, Z.; Wu, Y.; Jiang, M.; Zhang, Z.C.; Zhou, G. Novel “Rigid to Flexible” Biobased Polyesters Fully Derived from 5-Hydroxymethylfurfural: Promising as Sustainable UV Shielding and Gas Barrier Materials. ACS Sustain. Chem. Eng. 2022, 10, 4404–4414. [Google Scholar] [CrossRef]
- Sousa, A.F.; Patrício, R.; Terzopoulou, Z.; Bikiaris, D.N.; Stern, T.; Wenger, J.; Loos, K.; Lotti, N.; Siracusa, V.; Szymczyk, A.; et al. Recommendations for replacing PET on packaging, fiber, and film materials with biobased counterparts. Green Chem. 2021, 23, 8795–8820. [Google Scholar] [CrossRef]
- Jorda, M.; Montava-Jorda, S.; Balart, R.; Lascano, D.; Montanes, N.; Quiles-Carrillo, L. Functionalization of Partially Bio-Based Poly(Ethylene Terephthalate) by Blending with Fully Bio-Based Poly(Amide) 10,10 and a Glycidyl Methacrylate-Based Compatibilizer. Polymers 2019, 11, 1331. [Google Scholar] [CrossRef]
- Djouonkep, L.D.W.; Tchameni, A.P.; Selabi, N.B.S.; Tamo, A.K.; Doench, I.; Cheng, Z.; Gauthier, M.; Xie, B.; Osorio-Madrazo, A. Bio-Based Degradable Poly(ether-ester)s from Melt-Polymerization of Aromatic Ester and Ether Diols. Int. J. Mol. Sci. 2022, 23, 8967. [Google Scholar] [CrossRef]
- von Palubitzki, L.; Wang, Y.; Hoffmann, S.; Vidal-Y-Sy, S.; Zobiak, B.; Failla, A.V.; Schmage, P.; John, A.; Osorio-Madrazo, A.; Bauer, A.T.; et al. Differences of the tumour cell glycocalyx affect binding of capsaicin-loaded chitosan nanocapsules. Sci. Rep. 2020, 10, 22443. [Google Scholar] [CrossRef] [PubMed]
- Mao, J.; Osorio-Madrazo, A.; Laborie, M.-P. Preparation of cellulose I nanowhiskers with a mildly acidic aqueous ionic liquid: Reaction efficiency and whiskers attributes. Cellulose 2013, 20, 1829–1840. [Google Scholar] [CrossRef]
- Baranwal, J.; Barse, B.; Fais, A.; Delogu, G.L.; Kumar, A. Biopolymer: A Sustainable Material for Food and Medical Applications. Polymers 2022, 14, 983. [Google Scholar] [CrossRef] [PubMed]
- Dziuba, R.; Kucharska, M.; Madej-Kiełbik, L.; Sulak, K.; Wiśniewska-Wrona, M. Biopolymers and Biomaterials for Special Applications within the Context of the Circular Economy. Materials 2021, 14, 7704. [Google Scholar] [CrossRef] [PubMed]
- Amine, S.; Montembault, A.; Fumagalli, M.; Osorio-Madrazo, A.; David, L. Controlled Polyelectrolyte Association of Chitosan and Carboxylated Nano-Fibrillated Cellulose by Desalting. Polymers 2021, 13, 2023. [Google Scholar] [CrossRef] [PubMed]
- Bentley, F.E.; Passieux, R.; David, L.; Osorio-Madrazo, A. Pure Chitosan Biomedical Textile Fibers from Mixtures of Low- and High-Molecular Weight Bidisperse Polymer Solutions: Processing and Understanding of Microstructure-Mechanical Properties’ Relationship. Int. J. Mol. Sci. 2022, 23, 4767. [Google Scholar] [CrossRef]
- Marquez-Bravo, S.; Doench, I.; Molina, P.; Bentley, F.E.; Tamo, A.K.; Passieux, R.; Lossada, F.; David, L.; Osorio-Madrazo, A. Functional Bionanocomposite Fibers of Chitosan Filled with Cellulose Nanofibers Obtained by Gel Spinning. Polymers 2021, 13, 1563. [Google Scholar] [CrossRef]
- Shaikh, S.; Yaqoob, M.; Aggarwal, P. An overview of biodegradable packaging in food industry. Curr. Res. Food Sci. 2021, 4, 503–520. [Google Scholar] [CrossRef]
- Naser, A.Z.; Deiab, I.; Darras, B.M. Poly(lactic acid) (PLA) and polyhydroxyalkanoates (PHAs), green alternatives to petroleum-based plastics: A review. RSC Adv. 2021, 11, 17151–17196. [Google Scholar] [CrossRef]
- Toeri, J.; Osorio-Madrazo, A.; Laborie, M.-P. Preparation and Chemical/Microstructural Characterization of Azacrown Ether-Crosslinked Chitosan Films. Materials 2017, 10, 400. [Google Scholar] [CrossRef]
- Djouonkep, L.D.W.; Tamo, A.K.; Doench, I.; Selabi, N.B.S.; Ilunga, E.M.; Lenwoue, A.R.K.; Gauthier, M.; Cheng, Z.; Osorio-Madrazo, A. Synthesis of High Performance Thiophene-Aromatic Polyesters from Bio-Sourced Organic Acids and Polysaccharide-Derived Diol: Characterization and Degradability Studies. Molecules 2022, 27, 325. [Google Scholar] [CrossRef]
- Siegu, W.M.K.; Djouonkep, L.D.W.; Selabi, N.B.S.; Bonku, E.M.; Cheng, Z.; Gauthier, M. Synergistic Effect and Structure–Property of Bio-based 1,6-Hexanediol on Thermal, Mechanical and Degradation Properties of Biopolymers. J. Polym. Environ. 2022, 7, 73. [Google Scholar] [CrossRef]
- Lall, A.; Kamdem Tamo, A.; Doench, I.; David, L.; Nunes de Oliveira, P.; Gorzelanny, C.; Osorio-Madrazo, A. Nanoparticles and Colloidal Hydrogels of Chitosan-Caseinate Polyelectrolyte Complexes for Drug-Controlled Release Applications. Int. J. Mol. Sci. 2020, 21, 5602. [Google Scholar] [CrossRef]
- Kamdem Tamo, A.; Doench, I.; Walter, L.; Montembault, A.; Sudre, G.; David, L.; Morales-Helguera, A.; Selig, M.; Rolauffs, B.; Bernstein, A.; et al. Development of Bioinspired Functional Chitosan/Cellulose Nanofiber 3D Hydrogel Constructs by 3D Printing for Application in the Engineering of Mechanically Demanding Tissues. Polymers 2021, 13, 1663. [Google Scholar] [CrossRef]
- Doench, I.; Torres-Ramos, M.E.W.; Montembault, A.; Nunes de Oliveira, P.; Halimi, C.; Viguier, E.; Heux, L.; Siadous, R.; Thiré, R.M.S.M.; Osorio-Madrazo, A. Injectable and Gellable Chitosan Formulations Filled with Cellulose Nanofibers for Intervertebral Disc Tissue Engineering. Polymers 2018, 10, 1202. [Google Scholar] [CrossRef] [PubMed]
- Wang, R.; Zhang, H.; Jiang, M.; Wang, Z.; Zhou, G. Dynamics-Driven Controlled Polymerization to Synthesize Fully Renewable Poly(ester-ether)s. Macromolecules 2022, 55, 190–200. [Google Scholar] [CrossRef]
- Osorio-Madrazo, A.; Laborie, M.-P. Morphological and Thermal Investigations of Cellulosic Bionanocomposites. Biopolym. Nanocomposites Process. Prop. Appl. 2013, 6, 411–436. [Google Scholar] [CrossRef]
- Nisticò, R. Polyethylene terephthalate (PET) in the packaging industry. Polym. Test. 2020, 90, 106707. [Google Scholar] [CrossRef]
- Sarda, P.; Hanan, J.C.; Lawrence, J.G.; Allahkarami, M. Sustainability performance of polyethylene terephthalate, clarifying challenges and opportunities. J. Polym. Sci. 2022, 60, 7–31. [Google Scholar] [CrossRef]
- Shen, A.; Wang, G.; Wang, J.; Zhang, X.; Fei, X.; Fan, L.; Zhu, J.; Liu, X. Poly(1,4-butylene-co-1,4-cyclohexanedimethylene 2,5-furandicarboxylate) copolyester: Potential bio-based engineering plastic. Eur. Polym. J. 2021, 147, 110317. [Google Scholar] [CrossRef]
- Mounguengui-Diallo, M.; Vermersch, F.; Perret, N.; Pinel, C.; Besson, M. Base free oxidation of 1,6-hexanediol to adipic acid over supported noble metal mono- and bimetallic catalysts. Appl. Catal. A Gen. 2018, 551, 88–97. [Google Scholar] [CrossRef]
- He, J.; Burt, S.P.; Ball, M.; Zhao, D.; Hermans, I.; Dumesic, J.A.; Huber, G.W. Synthesis of 1,6-Hexanediol from Cellulose Derived Tetrahydrofuran-Dimethanol with Pt-WO x /TiO 2 Catalysts. ACS Catal. 2018, 8, 1427–1439. [Google Scholar] [CrossRef]
- Guidotti, G.; Soccio, M.; Gazzano, M.; Siracusa, V.; Lotti, N. Poly(Alkylene 2,5-Thiophenedicarboxylate) Polyesters: A New Class of Bio-Based High-Performance Polymers for Sustainable Packaging. Polymers 2021, 13, 2460. [Google Scholar] [CrossRef] [PubMed]
- Terzopoulou, Z.; Papadopoulos, L.; Zamboulis, A.; Papageorgiou, D.G.; Papageorgiou, G.Z.; Bikiaris, D.N. Tuning the Properties of Furandicarboxylic Acid-Based Polyesters with Copolymerization: A Review. Polymers 2020, 12, 1209. [Google Scholar] [CrossRef] [PubMed]
- Wang, G.; Liang, Y.; Jiang, M.; Zhang, Q.; Wang, R.; Wang, H.; Zhou, G. Synthesis and characterization of bio-based polyesters from 2,5-thiophenedicarboxylic acid. Polym. Degrad. Stab. 2019, 168, 108942. [Google Scholar] [CrossRef]
- Wandji Djouonkep, L.D.; Cheng, Z.; Siegu, W.M.K.; Jing, X.; Chen, J.; Adom, E.K.; Muaz, A.; Gauthier, M. High performance sulfur-containing copolyesters from bio-sourced aromatic monomers. Express Polym. Lett. 2022, 16, 102–114. [Google Scholar] [CrossRef]
- Wang, G.; Jiang, M.; Zhang, Q.; Wang, R.; Liang, Q.; Zhou, G. New bio-based copolyesters derived from 1,4-butanediol, terephthalic acid and 2,5-thiophenedicarboxylic acid: Synthesis, crystallization behavior, thermal and mechanical properties. Polym. Test. 2019, 75, 213–219. [Google Scholar] [CrossRef]
- Papadopoulos, L.; Xanthopoulou, E.; Nikolaidis, G.N.; Zamboulis, A.; Achilias, D.S.; Papageorgiou, G.Z.; Bikiaris, D.N. Towards High Molecular Weight Furan-Based Polyesters: Solid State Polymerization Study of Bio-Based Poly(Propylene Furanoate) and Poly(Butylene Furanoate). Materials 2020, 13, 4880. [Google Scholar] [CrossRef] [PubMed]
- Siegu, W.M.K.; Djouonkep, L.D.W.; Adom, E.K.; Muaz, A.; Gauthier, M.; Cheng, Z. Synthesis of Biobased Soft-Packaging Polyesters from 2,5 Thiophenedicarboxylic Acid. J. Polym. Environ. 2022, 30, 2435–2447. [Google Scholar] [CrossRef]
- Wang, J.-G.; Zhang, X.-Q.; Shen, A.; Zhu, J.; Song, P.-A.; Wang, H.; Liu, X.-Q. Synthesis and Properties Investigation of Thiophene-aromatic Polyesters: Potential Alternatives for the 2,5-Furandicarboxylic Acid-based Ones. Chin. J. Polym. Sci. 2020, 38, 1082–1091. [Google Scholar] [CrossRef]
- Pecheu, C.N.; Jiokeng, S.L.Z.; Tamo, A.K.; Doungmo, G.; Doench, I.; Osorio-Madrazo, A.; Tonle, I.K.; Ngameni, E. Fabrication of an Organofunctionalized Talc-like Magnesium Phyllosilicate for the Electrochemical Sensing of Lead Ions in Water Samples. Nanomaterials 2022, 12, 2928. [Google Scholar] [CrossRef]
- Ebunang, D.V.T.; Tajeu, K.Y.; Pecheu, C.N.; Jiokeng, S.L.Z.; Tamo, A.K.; Doench, I.; Osorio-Madrazo, A.; Tonle, I.K.; Ngameni, E. Amino-Functionalized Laponite Clay Material as a Sensor Modifier for the Electrochemical Detection of Quercetin. Sensors 2022, 22, 6173. [Google Scholar] [CrossRef]
- Xu, X.; Wu, C.; Zhang, B.; Dong, H. Preparation, structure characterization, and thermal performance of phenyl-modified MQ silicone resins. J. Appl. Polym. Sci. 2013, 128, 4189–4200. [Google Scholar] [CrossRef]
- Steinbach, J.C.; Schneider, M.; Hauler, O.; Lorenz, G.; Rebner, K.; Kandelbauer, A. A Process Analytical Concept for In-Line FTIR Monitoring of Polysiloxane Formation. Polymers 2020, 12, 2473. [Google Scholar] [CrossRef] [PubMed]
- Liu, R.; Liu, Z. Polythiophene: Synthesis in aqueous medium and controllable morphology. Sci. Bull. 2009, 54, 2028–2032. [Google Scholar] [CrossRef]
- Tezel, R.N.; Kaya, İ. Thiophene substituted phenothiazine polymers: Design, synthesis and characterization. Arab. J. Chem. 2020, 13, 3123–3136. [Google Scholar] [CrossRef]
- Kobayashi, K.; Kanmuri, S.; Hayashi, Y.; Masutani, K.; Kimura, Y. Preparation of Chain-Extended Poly(hexamethylene carbonate)s and their Block Copolymerization with Poly-L-lactide to Synthesize Partly Biobased Thermoplastic Elastomers. Macromol. Mater. Eng. 2014, 299, 1384–1394. [Google Scholar] [CrossRef]
- Zhang, C.; Pérez-Camargo, R.A.; Zheng, L.; Zhao, Y.; Liu, G.; Wang, L.; Wang, D. Crystallization of poly(hexamethylene carbonate)-co-poly(hexamethylene urethane) segmental block copolymers: From single to double crystalline phases. Polymer 2021, 222, 123675. [Google Scholar] [CrossRef]
- Kasmi, N.; Papadopoulos, L.; Chebbi, Y.; Papageorgiou, G.Z.; Bikiaris, D.N. Effective and facile solvent-free synthesis route to novel biobased monomers from vanillic acid: Structure–thermal property relationships of sustainable polyesters. Polym. Degrad. Stab. 2020, 181, 109315. [Google Scholar] [CrossRef]
- Knoop, R.J.I.; Vogelzang, W.; van Haveren, J.; van Es, D.S. High molecular weight poly(ethylene-2,5-furanoate); critical aspects in synthesis and mechanical property determination. J. Polym. Sci. Part A Polym. Chem. 2013, 51, 4191–4199. [Google Scholar] [CrossRef]
- Chebbi, Y.; Kasmi, N.; Majdoub, M.; Cerruti, P.; Scarinzi, G.; Malinconico, M.; Dal Poggetto, G.; Papageorgiou, G.Z.; Bikiaris, D.N. Synthesis, Characterization, and Biodegradability of Novel Fully Biobased Poly(decamethylene-co-isosorbide 2,5-furandicarboxylate) Copolyesters with Enhanced Mechanical Properties. ACS Sustain. Chem. Eng. 2019, 7, 5501–5514. [Google Scholar] [CrossRef]
- Siracusa, V.; Genovese, L.; Ingrao, C.; Munari, A.; Lotti, N. Barrier Properties of Poly(Propylene Cyclohexanedicarboxylate) Random Eco-Friendly Copolyesters. Polymers 2018, 10, 502. [Google Scholar] [CrossRef]
- Bianchi, E.; Soccio, M.; Siracusa, V.; Gazzano, M.; Thiyagarajan, S.; Lotti, N. Poly(butylene 2,4-furanoate), an Added Member to the Class of Smart Furan-Based Polyesters for Sustainable Packaging: Structural Isomerism as a Key to Tune the Final Properties. ACS Sustain. Chem. Eng. 2021, 9, 11937–11949. [Google Scholar] [CrossRef] [PubMed]
- Loos, K.; Zhang, R.; Pereira, I.; Agostinho, B.; Hu, H.; Maniar, D.; Sbirrazzuoli, N.; Silvestre, A.J.D.; Guigo, N.; Sousa, A.F. A Perspective on PEF Synthesis, Properties, and End-Life. Front. Chem. 2020, 8, 585. [Google Scholar] [CrossRef] [PubMed]
- Kamdem Tamo, A.; Doench, I.; Morales Helguera, A.; Hoenders, D.; Walther, A.; Madrazo, A.O. Biodegradation of Crystalline Cellulose Nanofibers by Means of Enzyme Immobilized-Alginate Beads and Microparticles. Polymers 2020, 12, 1522. [Google Scholar] [CrossRef] [PubMed]
- Turan, H.T.; Yavuz, İ.; Aviyente, V. Understanding the Impact of Thiophene/Furan Substitution on Intrinsic Charge-Carrier Mobility. J. Phys. Chem. C 2017, 121, 25682–25690. [Google Scholar] [CrossRef]
- Jian, J.; Xiangbin, Z.; Xianbo, H. An overview on synthesis, properties and applications of poly(butylene-adipate-co-terephthalate)–PBAT. Adv. Ind. Eng. Polym. Res. 2020, 3, 19–26. [Google Scholar] [CrossRef]
- Inkinen, S.; Hakkarainen, M.; Albertsson, A.-C.; Södergård, A. From lactic acid to poly(lactic acid) (PLA): Characterization and analysis of PLA and its precursors. Biomacromolecules 2011, 12, 523–532. [Google Scholar] [CrossRef]
- Samyn, P.; Osorio-Madrazo, A. Native Crystalline Polysaccharide Nanofibers: Processing and Properties. In Handbook of Nanofibers; Barhoum, A., Bechelany, M., Makhlouf, A., Eds.; Springer International Publishing: New York, NY, USA, 2018; Volume 166, pp. 1–36. [Google Scholar] [CrossRef]
- Cheng, Z.; Li, Y.; Djouonkep, L.D.W.; Zeng, S.; Wang, H.; Wang, L.; Cai, S.; Liu, P.; Hu, H.; Yang, Y.; et al. Degradable Polyesters based on Oxygenated Fatty Acid Monomer. J. Wuhan Univ. Technol.-Mat. Sci. Edit. 2022, 37, 753–759. [Google Scholar] [CrossRef]
- Cai, S.; Cheng, Z.; Djouonkep, L.D.W.; Wang, L.; Wang, H.; Gauthier, M. Synthesis and Properties of Bio-based Copolyesters Based on Phydroxyphenylpropionic Acid. J. Polym. Environ. 2022, 9, 4089. [Google Scholar] [CrossRef]
- Osorio-Madrazo, A.; David, L.; Peniche-Covas, C.; Rochas, C.; Putaux, J.-L.; Trombotto, S.; Alcouffe, P.; Domard, A. Fine microstructure of processed chitosan nanofibril networks preserving directional packing and high molecular weight. Carbohydr. Polym. 2015, 131, 1–8. [Google Scholar] [CrossRef]
- Osorio-Madrazo, A.; David, L.; Trombotto, S.; Lucas, J.-M.; Peniche-Covas, C.; Domard, A. Kinetics study of the solid-state acid hydrolysis of chitosan: Evolution of the crystallinity and macromolecular structure. Biomacromolecules 2010, 11, 1376–1386. [Google Scholar] [CrossRef]










| Samples | TDCA | BHB | HDO | Esterification | Polycondensation | Molar Feed (Φ) a BHB:HDO | GPC b | [η] c (dL/g) | R | ||||
|---|---|---|---|---|---|---|---|---|---|---|---|---|---|
| Temp. (°C) | Time (h) | Temp. (°C) | Time (t) | Mn (g/mol) | Mw (g/mol) | Ð | |||||||
| PTBB | 1 | 1.5 | - | 160 | 4.0 | 230 | 3.0 | 98.7 | 25,500 | 55,700 | 2.18 | 1.04 ± 0.1 | 0.89 | 
| PTHH | 1 | - | 1.5 | 160 | 3 | 210 | 4 | 97.3 | 21,300 | 45,500 | 2.14 | 0.95 ± 0.1 | 0.94 | 
| PTB75H25 | 1 | 1 | 0.5 | 180 | 5 | 220 | 4.0 | 64.5:35.5 | 33,400 | 67,400 | 2.02 | 1.15 ± 0.1 | 0.98 | 
| PTB50H50 | 1 | 0.75 | 0.75 | 180 | 4 | 220 | 4.0 | 45.3:54.7 | 37,200 | 78,700 | 2.12 | 1.21 ± 0.1 | 0.99 | 
| PTB25H75 | 1 | 0.5 | 1 | 180 | 4 | 210 | 3.5 | 33.8:66.2 | 38,700 | 77,500 | 2.00 | 1.10 ± 0.1 | 0.97 | 
| Samples | DSC | TGA | ||||||
|---|---|---|---|---|---|---|---|---|
| Tm [°C] | Tg [°C] | ΔCp [J/g.K] | Tc [°C] | Td,5% [°C] | Td,50% [°C] | Td,max [°C] | R600 [wt%] | |
| PTHH | 177.0 | 22.1 | 8.0 | 75.5 | 325 | 365 | 388 | 17.7 | 
| PTBB | 148.1 | 76.6 | 15.3 | 138.3 | 334 | 374 | 402 | 15.4 | 
| PTB75H25 | 186.3 | 80.2 | 22.7 | 137.8 | 355 | 395 | 421 | 9.5 | 
| PTB50H50 | 194.2 | 105.5 | 25.5 | 138.3 | 366 | 400 | 432 | 4.9 | 
| PTB25H75 | 173.7 | 69.4 | 20.2 | 121.6 | 345 | 385 | 415 | 12.3 | 
| Samples | E (MPa) | σmax (MPa) | Ɛmax (%) | Tan δ | 
|---|---|---|---|---|
| PTB50H50 | 1665 ± 7 | 70.5 ± 1.1 | 950 ± 6 | 101.1 ± 0.06 | 
| PTB75H25 | 1644 ± 7 | 52.9 ± 1.2 | 785 ± 5 | 76.4 ± 0.09 | 
| PTB25H75 | 1626 ± 6 | 46.4 ± 1.4 | 641 ± 3 | 62.8 ± 0.04 | 
| PTBB | 1594 ± 9 | 62.5 ± 1.1 | 237 ± 7 | 69.6 ± 0.05 | 
| PTHH | 1545 ± 8 | 37.7 ± 1.3 | 398 ± 4 | −14.6 ± 0.08 | 
| Disclaimer/Publisher’s Note: The statements, opinions and data contained in all publications are solely those of the individual author(s) and contributor(s) and not of MDPI and/or the editor(s). MDPI and/or the editor(s) disclaim responsibility for any injury to people or property resulting from any ideas, methods, instructions or products referred to in the content. | 
© 2023 by the authors. Licensee MDPI, Basel, Switzerland. This article is an open access article distributed under the terms and conditions of the Creative Commons Attribution (CC BY) license (https://creativecommons.org/licenses/by/4.0/).
Share and Cite
Djouonkep, L.D.W.; Tamo, C.T.; Simo, B.E.; Issah, N.; Tchouagtie, M.N.; Selabi, N.B.S.; Doench, I.; Kamdem Tamo, A.; Xie, B.; Osorio-Madrazo, A. Synthesis by Melt-Polymerization of a Novel Series of Bio-Based and Biodegradable Thiophene-Containing Copolyesters with Promising Gas Barrier and High Thermomechanical Properties. Molecules 2023, 28, 1825. https://doi.org/10.3390/molecules28041825
Djouonkep LDW, Tamo CT, Simo BE, Issah N, Tchouagtie MN, Selabi NBS, Doench I, Kamdem Tamo A, Xie B, Osorio-Madrazo A. Synthesis by Melt-Polymerization of a Novel Series of Bio-Based and Biodegradable Thiophene-Containing Copolyesters with Promising Gas Barrier and High Thermomechanical Properties. Molecules. 2023; 28(4):1825. https://doi.org/10.3390/molecules28041825
Chicago/Turabian StyleDjouonkep, Lesly Dasilva Wandji, Christian Tatchum Tamo, Belle Elda Simo, Nasiru Issah, Marc Nivic Tchouagtie, Naomie Beolle Songwe Selabi, Ingo Doench, Arnaud Kamdem Tamo, Binqiang Xie, and Anayancy Osorio-Madrazo. 2023. "Synthesis by Melt-Polymerization of a Novel Series of Bio-Based and Biodegradable Thiophene-Containing Copolyesters with Promising Gas Barrier and High Thermomechanical Properties" Molecules 28, no. 4: 1825. https://doi.org/10.3390/molecules28041825
APA StyleDjouonkep, L. D. W., Tamo, C. T., Simo, B. E., Issah, N., Tchouagtie, M. N., Selabi, N. B. S., Doench, I., Kamdem Tamo, A., Xie, B., & Osorio-Madrazo, A. (2023). Synthesis by Melt-Polymerization of a Novel Series of Bio-Based and Biodegradable Thiophene-Containing Copolyesters with Promising Gas Barrier and High Thermomechanical Properties. Molecules, 28(4), 1825. https://doi.org/10.3390/molecules28041825
 
        



 
       