An Efficient Continuous Flow Synthesis for the Preparation of N-Arylhydroxylamines: Via a DMAP-Mediated Hydrogenation Process
Abstract
1. Introduction
2. Results and Discussion
2.1. Reaction Profile in Autoclave
2.2. Optimization of the Experimental Conditions in Flow
2.3. Applicability of the Continuous Flow System
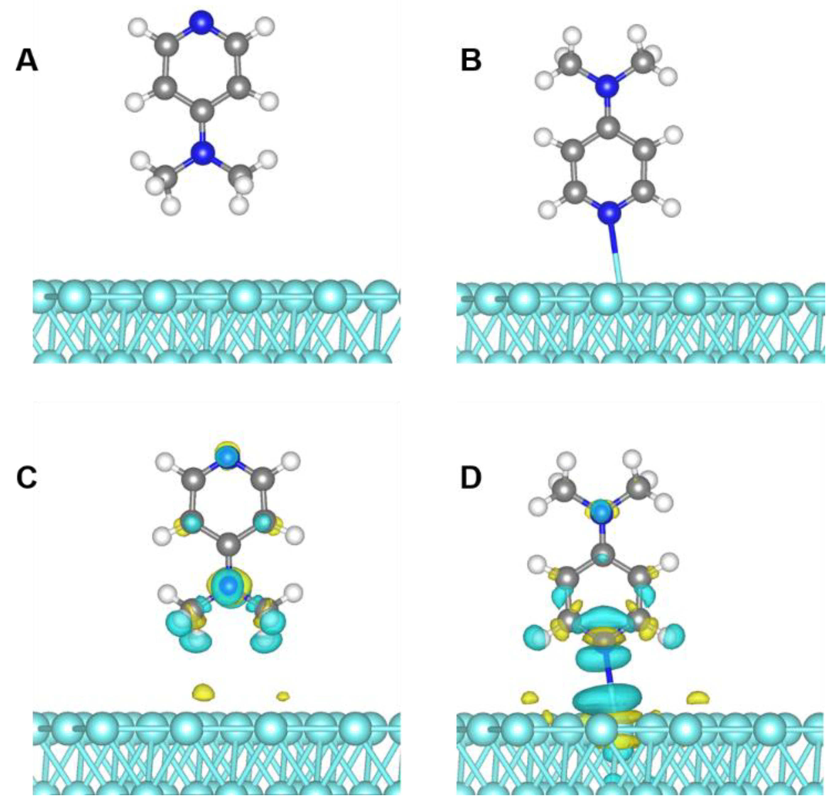
2.4. Mechanisms of Reaction
3. Experimental Section
3.1. Materials and Methods
3.2. µPBR Continuous-Flow Reactor Setup
3.3. A Typical Procedure for the Hydrogenation of Nitroarenes in Flow
3.4. A Typical Procedure for the Hydrogenation of Nitroarenes in Batch
3.5. Computational Details
4. Conclusions
Supplementary Materials
Author Contributions
Funding
Institutional Review Board Statement
Informed Consent Statement
Data Availability Statement
Acknowledgments
Conflicts of Interest
References
- Liu, Y.; Bai, S.; Du, Y.; Qi, X.; Gao, H. Expeditious and efficient ortho-selective trifluoromethane-sulfonylation of arylhydroxylamines. Angew. Chem. Int. Ed. 2022, 61, e202115611. [Google Scholar] [CrossRef] [PubMed]
- Yuan, H.; Guo, L.; Liu, F.; Miao, Z.; Feng, L.; Gao, H. Copper-catalyzed tandem o-vinylation of arylhydroxylamines/[3,3]-rearrangement/cyclization: Synthesis of highly substituted indoles and benzoindoles. ACS Catal. 2019, 9, 3906–3912. [Google Scholar] [CrossRef]
- Dounay, A.B.; Anderson, M.; Bechle, B.M.; Campbell, B.M.; Claffey, M.M.; Evdokimov, A.; Evrard, E.; Fonseca, K.R.; Gan, X.; Ghosh, S.; et al. Discovery of brain-penetrant, irreversible kynurenine aminotransferase ii inhibitors for schizophrenia. ACS Med. Chem. Lett. 2012, 3, 187–192. [Google Scholar] [CrossRef] [PubMed]
- Vyas, P.M.; Roychowdhury, S.; Woster, P.M.; Svensson, C.K. Reactive oxygen species generation and its role in the differential cytotoxicity of the arylhydroxylamine metabolites of sulfamethoxazole and dapsone in normal human epidermal keratinocytes. Biochem. Pharmacol. 2005, 70, 275–286. [Google Scholar] [CrossRef]
- Yadav, J.S.; Reddy, B.V.S.; Sreedhar, P. Three-component one-pot synthesis of α-hydroxylamino phosphonates using ionic liquids. Adv. Synth. Catal. 2003, 345, 564–567. [Google Scholar] [CrossRef]
- McGill, A.D.; Zhang, W.; Wittbrodt, J.; Wang, J.; Schlegel, H.B.; Wang, P.G. Para-Substituted N-nitroso-N-oxybenzenamine ammonium salts: A new class of redox-sensitive nitric oxide releasing compounds. Bioorganic Med. Chem. 2000, 8, 405–412. [Google Scholar] [CrossRef]
- Li, F.; Cui, J.; Qian, X.; Zhang, R. A novel strategy for the preparation of arylhydroxylamines: Chemoselective reduction of aromatic nitro compounds using bakers’ yeast. Chem. Commun. 2004, 20, 2338–2339. [Google Scholar] [CrossRef]
- Li, F.; Cui, J.; Qian, X.; Zhang, R.; Xiao, Y. Highly chemoselective reduction of aromatic nitro compounds to the corresponding hydroxylamines catalysed by plant cells from a grape (Vitis Vinifera L.). Chem. Commun. 2005, 14, 1901–1903. [Google Scholar] [CrossRef]
- Vaidya, M.J.; Kulkarni, S.M.; Chaudhari, R.V. Synthesis of p-aminophenol by catalytic hydrogenation of p-nitrophenol. Org. Process Res. Dev. 1999, 7, 202–208. [Google Scholar] [CrossRef]
- Li, X.; Marolla, T.V.; Nadeau, L.J.; Spain, J.C. Probing the role of promoters in zinc reduction of nitrobenzene: Continuous production of hydroxylaminobenzene. Ind. Eng. Chem. Res. 2007, 46, 6840–6846. [Google Scholar] [CrossRef]
- Liu, S.; Wang, Y.; Jiang, J.; Jin, Z. The selective reduction of nitroarenes to N-arylhydroxylamines using Zn in a CO2/H2O system. Green Chem. 2009, 11, 1397–1400. [Google Scholar] [CrossRef]
- Prakash, P.; De Masi, D.; Geertsen, V.; Miserque, F.; Li, H.; Namboothiri, I.N.N.; Gravel, E.; Doris, E. Selective conversion of nitroarenes to N-aryl hydroxylamines catalysed by carbon-nanotube-supported Nickel(II) hydroxide. ChemistrySelect 2017, 2, 5891–5894. [Google Scholar] [CrossRef]
- Bhattacherjee, D.; Shaifali; Kumar, A.; Zyryanov, G.V.; Das, P. Polystyrene stabilized iridium nanoparticles catalyzed chemo- and regio-selective semi-hydrogenation of nitroarenes to N-arylhydroxylamines. Mol. Catal. 2021, 514, 111836. [Google Scholar] [CrossRef]
- Andreou, D.; Iordanidou, D.; Tamiolakis, I.; Armatas, G.S.; Lykakis, I.N. Reduction of nitroarenes into aryl amines and N-aryl hydroxylamines via activation of NaBH4 and ammonia-borane complexes by Ag/TiO2 catalyst. Nanomaterials 2016, 6, 54. [Google Scholar] [CrossRef]
- Jawale, D.V.; Gravel, E.; Boudet, C.; Shah, N.; Geertsen, V.; Li, H.; Namboothiri, I.N.N.; Doris, E. Selective Conversion of nitroarenes using a carbon nanotube-ruthenium nanohybrid. Chem. Commun. 2015, 51, 1739–1742. [Google Scholar] [CrossRef] [PubMed]
- Shil, A.K.; Das, P. Solid supported platinum(0) nanoparticles catalyzed chemo-selective reduction of nitroarenes to N-arylhydroxylamines. Green Chem. 2013, 15, 3421–3428. [Google Scholar] [CrossRef]
- Takenaka, Y.; Kiyosu, T.; Choi, J.C.; Sakakura, T.; Yasuda, H. Selective synthesis of N-alkyl hydroxylamines by hydrogenation of nitroalkanes using supported palladium catalysts. ChemSusChem 2010, 3, 1166–1168. [Google Scholar] [CrossRef]
- Tyler, J.H.; Nazari, S.H.; Patterson, R.H.; Udumula, V.; Smith, S.J.; Michaelis, D.J. Synthesis of N-aryl and N-heteroaryl hydroxylamines via partial reduction of nitroarenes with soluble nanoparticle catalysts. Tetrahedron Lett. 2017, 58, 82–86. [Google Scholar] [CrossRef]
- Doherty, S.; Knight, J.G.; Backhouse, T.; Summers, R.J.; Abood, E.; Simpson, W.; Paget, W.; Bourne, R.A.; Chamberlain, T.W.; Stones, R.; et al. Highly selective and solvent-dependent reduction of nitrobenzene to N-phenylhydroxylamine, azoxybenzene, and aniline catalyzed by phosphino-modified polymer immobilized ionic liquid-stabilized AuNPs. ACS Catal. 2019, 9, 4777–4791. [Google Scholar] [CrossRef]
- Blaser, H.U. A golden boost to an old reaction. Science 2006, 313, 312–313. [Google Scholar] [CrossRef]
- Formenti, D.; Ferretti, F.; Scharnagl, F.K.; Beller, M. Reduction of nitro compounds using 3d-non-noble metal catalysts. Chem. Rev. 2019, 119, 2611–2680. [Google Scholar] [CrossRef] [PubMed]
- Orlandi, M.; Brenna, D.; Harms, R.; Jost, S.; Benaglia, M. Recent developments in the reduction of aromatic and aliphatic nitro compounds to amines. Org. Process Res. Dev. 2018, 22, 430–445. [Google Scholar] [CrossRef]
- Liu, Y.; Fang, Y.; Lu, X.; Wei, Z.; Li, X. Hydrogenation of nitrobenzene to p-aminophenol using Pt/C catalyst and carbon-based solid acid. Chem. Eng. J. 2013, 229, 105–110. [Google Scholar] [CrossRef]
- Takenaka, Y.; Kiyosu, T.; Choi, J.C.; Sakakura, T.; Yasuda, H. Selective synthesis of N-aryl hydroxylamines by the hydrogenation of nitroaromatics using supported platinum catalysts. Green Chem. 2009, 11, 1385–1390. [Google Scholar] [CrossRef]
- Nadgeri, J.M.; Biradar, N.S.; Patil, P.B.; Jadkar, S.T.; Garade, A.C.; Rode, C.V. Control of competing hydrogenation of phenylhydroxylamine to aniline in a single-step hydrogenation of nitrobenzene to p-aminophenol. Ind. Eng. Chem. Res. 2011, 50, 5478–5484. [Google Scholar] [CrossRef]
- Boymans, E.H.; Witte, P.T.; Vogt, D. A study on the selective hydrogenation of nitroaromatics to N-arylhydroxylamines using a supported pt nanoparticle catalyst. Catal. Sci. Technol. 2015, 5, 176–183. [Google Scholar] [CrossRef]
- Chen, G.; Xu, C.; Huang, X.; Ye, J.; Gu, L.; Li, G.; Tang, Z.; Wu, B.; Yang, H.; Zhao, Z.; et al. Interfacial electronic effects control the reaction selectivity of platinum catalysts. Nat. Mater. 2016, 15, 564–569. [Google Scholar] [CrossRef]
- Li, D.-d.; Lu, G.-p.; Cai, C. Modified cellulose with tunable surface hydrophilicity/hydrophobicity as a novel catalyst support for selective reduction of nitrobenzene. Catal. Commun. 2020, 137, 105949. [Google Scholar] [CrossRef]
- Min, K.I.; Choi, J.S.; Chung, Y.M.; Ahn, W.S.; Ryoo, R.; Lim, P.K. p-Aminophenol synthesis in an organic/aqueous system using Pt supported on mesoporous carbons. Appl. Catal. A Gen. 2008, 337, 97–104. [Google Scholar] [CrossRef]
- Yu, Z.; Chen, J.; Liu, J.; Wu, Z.; Su, W. Conversion of 2,4,6-trimethylaniline to 3-(mesitylthio)-1 H-1,2,4-triazole using a continuous-flow reactor. Org. Process Res. Dev. 2018, 22, 1828–1834. [Google Scholar] [CrossRef]
- Chen, J.; Xie, X.; Liu, J.; Yu, Z.; Su, W. Revisiting aromatic diazotization and aryl diazonium salts in continuous flow: Highlighted research during 2001–2021. React. Chem. Eng. 2022, 7, 1247–1275. [Google Scholar] [CrossRef]
- Xu, F.; Chen, J.; Xie, X.; Cheng, P.; Yu, Z.; Su, W. Synthesis of a crizotinib intermediate via highly efficient catalytic hydrogenation in continuous flow. Org. Process Res. Dev. 2020, 24, 2252–2259. [Google Scholar] [CrossRef]
- Xu, Q.; Fan, H.; Yao, H.; Wang, D.; Yu, H.; Chen, B.; Yu, Z.; Su, W. Understanding monoacylation of symmetrical diamines: A kinetic study of acylation reaction of m-phenylenediamine and benzoic anhydride in microreactor. Chem. Eng. J. 2020, 398, 125584. [Google Scholar] [CrossRef]
- Tanimu, A.; Jaenicke, S.; Alhooshani, K. Heterogeneous catalysis in continuous flow microreactors: A review of methods and applications. Chem. Eng. J. 2017, 327, 792–821. [Google Scholar] [CrossRef]
- Akwi, F.M.; Watts, P. Continuous flow chemistry: Where are we now? Recent applications, challenges and limitations. Chem. Commun. 2018, 54, 13894–13928. [Google Scholar] [CrossRef]
- Neyt, N.C.; Riley, D.L. Application of reactor engineering concepts in continuous flow chemistry: A review. React. Chem. Eng. 2021, 6, 1295–1326. [Google Scholar] [CrossRef]
- Liu, Z.; Zhu, J.; Peng, C.; Wakihara, T.; Okubo, T. Continuous flow synthesis of ordered porous materials: From zeolites to metal-organic frameworks and mesoporous silica. React. Chem. Eng. 2019, 4, 1699–1720. [Google Scholar] [CrossRef]
- Rehm, T.H.; Reinhard, D.; Kost, H.J.; Hofmann, C.; Zapf, R.; Löb, P.; Laribi, Y.; Perrichon, P.; Berguerand, C.; Kiwi-Minsker, L.; et al. Chemoselective three-phase hydrogenation of an ombrabulin nitro-stilbene intermediate in a continuous-flow mobile platform. Chem. Eng. J. 2017, 316, 1069–1077. [Google Scholar] [CrossRef]
- Loos, P.; Alex, H.; Hassfeld, J.; Lovis, K.; Platzek, J.; Steinfeldt, N.; Hübner, S. Selective Hydrogenation of halogenated nitroaromatics to haloanilines in batch and flow. Org. Process Res. Dev. 2016, 20, 452–464. [Google Scholar] [CrossRef]
- Yu, T.; Jiao, J.; Song, P.; Nie, W.; Yi, C.; Zhang, Q.; Li, P. Recent progress in continuous-flow hydrogenation. ChemSusChem 2020, 13, 2876–2893. [Google Scholar] [CrossRef]
- Ichire, O.; Jans, P.; Parfenov, G.; Dounay, A.B. A safe and selective method for reduction of 2-nitrophenylacetic acid systems to N-aryl hydroxamic acids using continuous flow hydrogenation. Tetrahedron Lett. 2017, 58, 582–585. [Google Scholar] [CrossRef]
- Xu, F.; Chen, J.L.; Jiang, Z.J.; Cheng, P.F.; Yu, Z.Q.; Su, W.K. Selective hydrogenation of nitroaromatics to N-arylhydroxylamines in a micropacked bed reactor with passivated catalyst. RSC Adv. 2020, 10, 28585–28594. [Google Scholar] [CrossRef] [PubMed]
- Chen, Y.Z.; Chen, Y.C. Hydrogenation of para-chloronitrobenzene over nickel Borides. Appl. Catal. A Gen. 1994, 115, 45–57. [Google Scholar] [CrossRef]
- Rong, Z.; Du, W.; Wang, Y.; Lu, L. Carbon supported Pt colloid as effective catalyst for selective hydrogenation of nitroarenes to arylhydroxylamines. Chem. Commun. 2010, 46, 1559–1561. [Google Scholar] [CrossRef] [PubMed]
- Ung, S.; Falguières, A.; Guy, A.; Ferroud, C. Ultrasonically activated reduction of substituted nitrobenzenes to corresponding N-arylhydroxylamines. Tetrahedron Lett. 2005, 46, 5913–5917. [Google Scholar] [CrossRef]
- Kwon, S.G.; Krylova, G.; Sumer, A.; Schwartz, M.M.; Bunel, E.E.; Marshall, C.L.; Chattopadhyay, S.; Lee, B.; Jellinek, J.; Shevchenko, E.V. Capping ligands as selectivity switchers in hydrogenation reactions. Nano Lett. 2012, 12, 5382–5388. [Google Scholar] [CrossRef]
- Kaeffer, N.; Larmier, K.; Fedorov, A.; Copéret, C. Origin of ligand-driven selectivity in alkyne semihydrogenation over silica-supported copper nanoparticles. J. Catal. 2018, 364, 437–445. [Google Scholar] [CrossRef]
- Vernuccio, S.; Meier, A.; Von Rohr, P.R. Kinetic investigation of the solvent-free hydrogenation of dehydroisophytol. Ind. Eng. Chem. Res. 2017, 56, 4929–4937. [Google Scholar] [CrossRef]
- Fiorio, J.L.; López, N.; Rossi, L.M. Gold-ligand-catalyzed selective hydrogenation of alkynes into cis-alkenes via H2 heterolytic activation by frustrated lewis pairs. ACS Catal. 2017, 7, 2973–2980. [Google Scholar] [CrossRef]
- Zhang, Z.; Gai, H.; Li, Q.; Feng, B.; Xiao, M.; Huang, T. Effect anions on the hydrogenation of nitrobenzene over N-rich poly (ionic liquid) supported Pd catalyst. Chem. Eng. J. 2022, 429, 132224. [Google Scholar] [CrossRef]
- Fiorio, J.L.; Barbosa, E.C.M.; Kikuchi, D.K.; Camargo, P.H.C.; Rudolph, M.; Hashmi, A.S.K.; Rossi, L.M. Piperazine-promoted gold-catalyzed hydrogenation: The influence of capping ligands. Catal. Sci. Technol. 2020, 10, 1996–2003. [Google Scholar] [CrossRef]
- Schrader, I.; Warneke, J.; Backenköhler, J.; Kunz, S. Functionalization of platinum nanoparticles with L-proline: Simultaneous enhancements of catalytic activity and selectivity. J. Am. Chem. Soc. 2015, 137, 905–912. [Google Scholar] [CrossRef] [PubMed]
- Lu, G.; Zhang, P.; Sun, D.; Wang, L.; Zhou, K.; Wang, Z.X.; Guo, G.C. Gold catalyzed hydrogenations of small imines and nitriles: Enhanced reactivity of au surface toward H2 via collaboration with a lewis base. Chem. Sci. 2014, 5, 1082–1090. [Google Scholar] [CrossRef]
- Rossi, M.B.; Piro, O.E.; Castellano, E.E.; Alborés, P.; Baraldo, L.M. Reactivity and spectroscopy of the {Ru(DMAP)5} fragment: An {Ru(NH3)5} analogue. Inorg. Chem. 2008, 47, 2416–2427. [Google Scholar] [CrossRef] [PubMed]
- Myers, J.T.; Dakermanji, S.J.; Chastanet, T.R.; Shivokevich, P.J.; Strausberg, L.J.; Sabat, M.; Myers, W.H.; Harman, W.D. 4-(Dimethylamino)pyridine (DMAP) as an acid-modulated donor ligand for PAH dearomatization. Organometallics 2017, 36, 543–555. [Google Scholar] [CrossRef]
- Kresse, G.; Furthmu, J. Efficient iterative schemes for Ab Initio total-energy calculations using a plane-wave basis set. Phys. Rev. B. Condens. Matter 1996, 54, 11169–11186. [Google Scholar] [CrossRef]
- Perdew, J.P.; Burke, K.; Ernzerhof, M. Generalized gradient approximation made simple. Phys. Rev. Lett. 1996, 77, 3865–3868. [Google Scholar] [CrossRef]
- Blochl, P.E. Projector augmented-wave method. Phys. Rev. B Condens. Matter 1994, 50, 17953–17979. [Google Scholar] [CrossRef]
- Sharma, S.D.; Gogoi, P.; Konwar, S. A highly efficient and green method for the synthesis of 3,4-dihydropyrimidin-2-ones and 1,5-benzodiazepines catalyzed by dodecyl sulfonic acid in water. Indian J. Chem. Sect. B Org. Chem. Incl. Med. Chem. 2007, 46B, 1672–1678. [Google Scholar]
- Chuang, H.Y.; Schupp, M.; Meyrelles, R.; Maryasin, B.; Maulide, N. Redox-Neutral Selenium-Catalysed Isomerisation of para-Hydroxamic Acids into para-Aminophenols. Angew. Chem.-Int. Ed. 2021, 60, 13778–13782. [Google Scholar] [CrossRef]
- Kallitsakis, M.G.; Ioannou, D.I.; Terzidis, M.A.; Kostakis, G.E.; Lykakis, I.N. Selective Photoinduced Reduction of Nitroarenes to N-Arylhydroxylamines. Org. Lett. 2020, 22, 4339–4343. [Google Scholar] [CrossRef] [PubMed]












![]() | ||||
|---|---|---|---|---|
| Entry | Additives | 1a (%) | 1b (%) | 1c (%) |
| 1 | None | 55 | 40 | 5 |
| 2 | TMEDA | 0 | 85 | 15 |
| 3 b | TMEDA | 5 | 89 | 5 |
| 4 | NH3·H2O | 0 | 86 | 14 |
| 5 b | NH3·H2O | 13 | 80 | 7 |
| 6 | TEA | 0 | 85 | 15 |
| 7 b | TEA | 8 | 86 | 6 |
| 8 | DMSO | 60 | 40 | 0 |
| 9 | 1,10-phen | 71 | 29 | 0 |
| 10 | DMAP | 7 | 93 | <1 |
| 11 | pyridine | 44 | 56 | 0 |
| 12 | CHMMS | 54 | 45 | 1 |
![]() | ||||
|---|---|---|---|---|
| Entry | Substrates | Additives | Conv. (%) | Sel. (%) |
| 1 | 3a | 0.1 eq. 2-DMAP | 50 | 88 |
| 2 | 3a | 0.15 eq. 2-DMAP | 58 | 89 |
| 3 | 3a | 0.2 eq. 2-DMAP | 83 | 84 |
| 4 | 3a | 0.1 eq. 4-DTP | 2.6 | >99 |
| 5 | 9a | 0.1 eq. 4-DTP | 0 | 0 |
Disclaimer/Publisher’s Note: The statements, opinions and data contained in all publications are solely those of the individual author(s) and contributor(s) and not of MDPI and/or the editor(s). MDPI and/or the editor(s) disclaim responsibility for any injury to people or property resulting from any ideas, methods, instructions or products referred to in the content. |
© 2023 by the authors. Licensee MDPI, Basel, Switzerland. This article is an open access article distributed under the terms and conditions of the Creative Commons Attribution (CC BY) license (https://creativecommons.org/licenses/by/4.0/).
Share and Cite
Chen, J.; Lin, X.; Xu, F.; Chai, K.; Ren, M.; Yu, Z.; Su, W.; Liu, F. An Efficient Continuous Flow Synthesis for the Preparation of N-Arylhydroxylamines: Via a DMAP-Mediated Hydrogenation Process. Molecules 2023, 28, 2968. https://doi.org/10.3390/molecules28072968
Chen J, Lin X, Xu F, Chai K, Ren M, Yu Z, Su W, Liu F. An Efficient Continuous Flow Synthesis for the Preparation of N-Arylhydroxylamines: Via a DMAP-Mediated Hydrogenation Process. Molecules. 2023; 28(7):2968. https://doi.org/10.3390/molecules28072968
Chicago/Turabian StyleChen, Jianli, Xinyu Lin, Feng Xu, Kejie Chai, Minna Ren, Zhiqun Yu, Weike Su, and Fengfan Liu. 2023. "An Efficient Continuous Flow Synthesis for the Preparation of N-Arylhydroxylamines: Via a DMAP-Mediated Hydrogenation Process" Molecules 28, no. 7: 2968. https://doi.org/10.3390/molecules28072968
APA StyleChen, J., Lin, X., Xu, F., Chai, K., Ren, M., Yu, Z., Su, W., & Liu, F. (2023). An Efficient Continuous Flow Synthesis for the Preparation of N-Arylhydroxylamines: Via a DMAP-Mediated Hydrogenation Process. Molecules, 28(7), 2968. https://doi.org/10.3390/molecules28072968



