An Imine-Based Porous 3D Covalent Organic Polymer as a New Sorbent for the Solid-Phase Extraction of Amphenicols from Water Sample
Abstract
1. Introduction
2. Results and Discussion
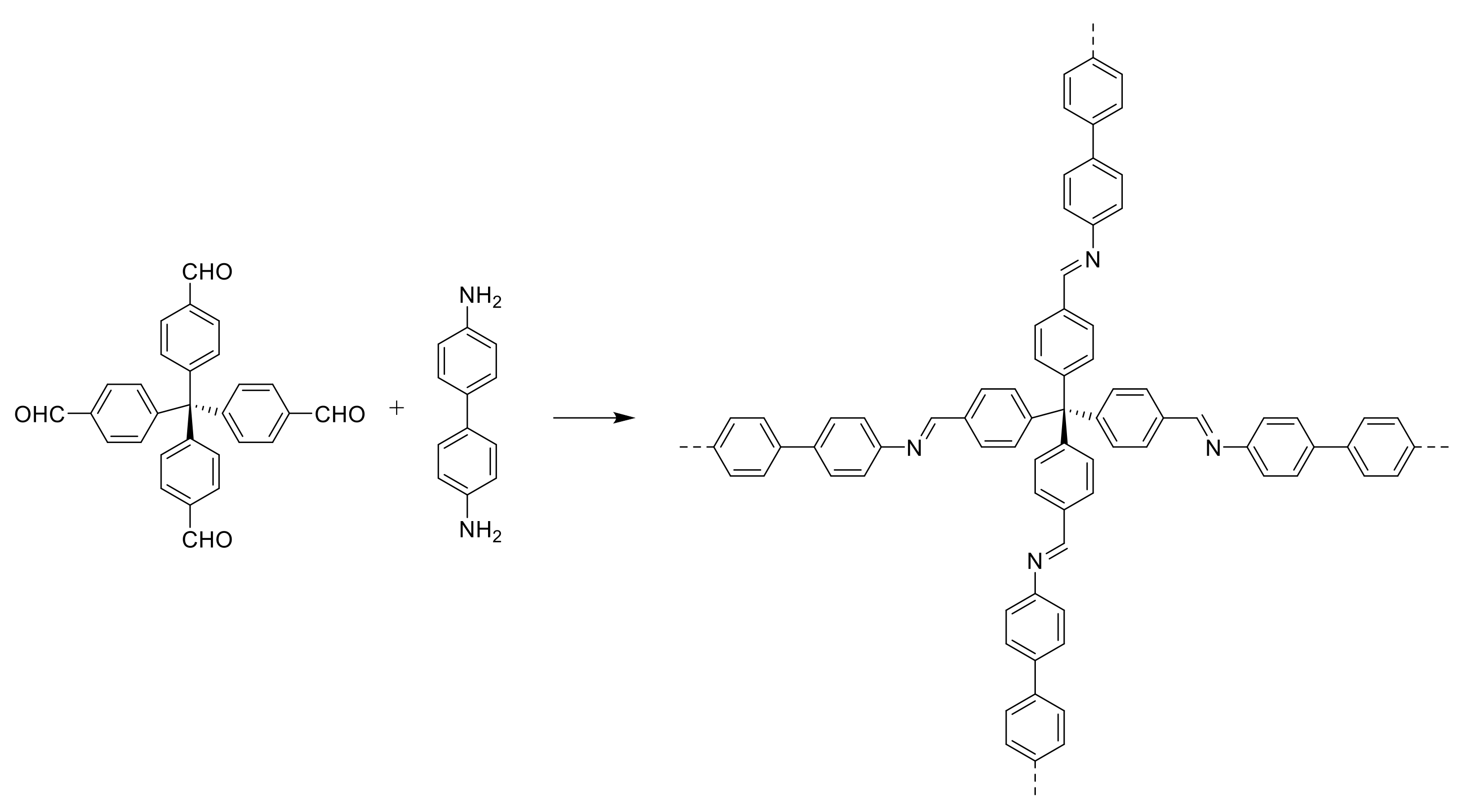
2.1. Synthesis and Characterization of Imine-Based 3D COP
2.2. Optimization of SPE
2.2.1. Effect of Eluent
2.2.2. Effect of Flow Velocity and pH of Loading Sample Solution
2.2.3. Effect of Salinity of Water Sample
2.3. Methodological Investigation
2.4. Reusability of 3D COP
2.5. Proposed Enrichment Mechanism
2.6. Comparison with Previous Reports
3. Materials and Methods
3.1. Chemicals
3.2. Instruments and Chromatographic Conditions
3.3. Synthesis of Imine-Based 3D COP
3.4. SPE Procedure
4. Conclusions
Supplementary Materials
Author Contributions
Funding
Institutional Review Board Statement
Informed Consent Statement
Data Availability Statement
Conflicts of Interest
Sample Availability
References
- Pongs, O. Mechanism of Action of Antibacterial Agents; Springer: Verlag, Germany, 1979; pp. 26–42. [Google Scholar]
- Festing, M.F.W.; Diamanti, P.; Turton, J.A. Strain differences in haematological response to chloramphenicol succinate in mice: Implications for toxicological research. Food Chem. Toxicol. 2001, 39, 375–383. [Google Scholar] [CrossRef]
- Holt, D.E.; Andrews, C.M.; Payne, J.P.; Williams, T.C.; Turton, J.A. The myelotoxicity of chloramphenicol: In vitro and in vivo studies: II: In vivo myelotoxicity in the B6C3F1 mouse. Hum. Exp. Toxicol. 1998, 17, 8–17. [Google Scholar] [CrossRef]
- Epstein, R.L.; Henry, C.; Holland, K.P.; Dreas, J. International validation study for the determination of chloramphenicol in bovine muscle. J. AOAC Int. 1994, 77, 570–576. [Google Scholar] [CrossRef] [PubMed]
- European Commission. European Commission Regulation (EC) no. 1430/94 of 22 June 1994 amending Annexes I, II, III and IV of Council Regulation (EEC) No. 2377/90 laying down a Community procedure for the establishment of maximum residue limits of veterinary medicinal products in foodstuffs of animal origin. Off. J. Eur. Commun. 1994, 156, 6–8. [Google Scholar]
- European Commission. Commission decision 2003/181/EC of 13 March 2003 amending decision 2002/657/EC as regards the setting of minimum required performance limits (MRPLs) for certain residues in food of animal origin. Off. J. Eur. Commun. 2003, 71, 17–18. [Google Scholar]
- Xiao, Z.; Song, R.; Rao, Z.; Wei, S.; Jia, Z.; Suo, D.; Fan, X. Development of a subcritical water extraction approach for trace analysis of chloramphenicol, thiamphenicol, florfenicol, and florfenicol amine in poultry tissues. J. Chromatogr. A 2015, 1418, 29–35. [Google Scholar] [CrossRef] [PubMed]
- Xie, X.; Wang, B.; Pang, M.; Zhao, X.; Xie, K.; Zhang, Y.; Wang, Y.; Guo, Y.; Liu, C.; Bu, X.; et al. Quantitative analysis of chloramphenicol, thiamphenicol, florfenicol and florfenicol amine in eggs via liquid chromatography-electrospray ionization tandem mass spectrometry. Food Chem. 2018, 269, 542–548. [Google Scholar] [CrossRef]
- Aldeek, F.; Hsieh, K.C.; Ugochukwu, O.N.; Gerard, G.; Hammack, W. Accurate quantitation and analysis of nitrofuran metabolites, chloramphenicol, and florfenicol in seafood by ultrahigh-performance liquid chromatography-tandem mass spectrometry: Method validation and regulatory samples. J. Agric. Food Chem. 2018, 66, 5018–5030. [Google Scholar] [CrossRef]
- Liu, W.L.; Lee, R.J.; Lee, M.R. Supercritical fluid extraction in situ derivatization for simultaneous determination of chloramphenicol, florfenicol and thiamphenicol in shrimp. Food Chem. 2010, 121, 797–802. [Google Scholar] [CrossRef]
- Li, P.; Qiu, Y.; Cai, H.; Kong, Y.; Tang, Y.; Wang, D.; Xie, M. Simultaneous determination of chloramphenicol, thiamphenicol, and florfenicol residues in animal tissues by gas chromatography/mass spectrometry. Chin. J. Chromatogr. 2006, 24, 14–18. [Google Scholar] [CrossRef] [PubMed]
- Shen, H.Y.; Jiang, H.L. Screening, determination and confirmation of chloramphenicol in seafood, meat and honey using ELISA, HPLC-UVD, GC-ECD, GC-MS-EI-SIM and GCMS-NCI-SIM methods. Anal. Chim. Acta 2005, 535, 33–41. [Google Scholar] [CrossRef]
- Tao, X.; He, Z.; Cao, X.; Jiang, H.; Li, H. Approaches for the determination of florfenicol and thiamphenicol in pork using a chemiluminescent ELISA. Anal. Methods 2015, 7, 8386–8392. [Google Scholar] [CrossRef]
- Fodey, T.L.; George, S.E.; Traynor, I.M.; Delahaut, P.; Kennedy, D.G.; Elliott, C.T.; Crooks, S.R.H. Approaches for the simultaneous detection of thiamphenicol, florfenicol and florfenicol amine using immunochemical techniques. J. Immunol. Methods 2013, 393, 30–37. [Google Scholar] [CrossRef] [PubMed]
- Sadeghi, S.; Jahani, M. Selective solid-phase extraction using molecular imprinted polymer sorbent for the analysis of Florfenicol in food samples. Food Chem. 2013, 141, 1242–1251. [Google Scholar] [CrossRef]
- Pan, X.; Wu, P.; Jiang, W.; Ma, B. Determination of chloramphenicol, thiamphenicol, and florfenicol in fish muscle by matrix solid-phase dispersion extraction (MSPD) and ultra-high pressure liquid chromatography tandem mass spectrometry. Food Control 2015, 52, 34–38. [Google Scholar] [CrossRef]
- Rejtharová, M.; Rejthar, L. Determination of chloramphenicol in urine, feed water, milk and honey samples using molecular imprinted polymer clean-up. J. Chromatogr. A 2009, 1216, 8246–8253. [Google Scholar] [CrossRef] [PubMed]
- Shen, J.; Xia, X.; Jiang, H.; Li, C.; Li, J.; Li, X.; Ding, S. Determination of chloramphenicol, thiamphenicol, florfenicol, and florfenicol amine in poultry and porcine muscle and liver by gas chromatography-negative chemical ionization mass spectrometry. J. Chromatogr. B 2009, 877, 1523–1529. [Google Scholar] [CrossRef]
- Chen, L.; Li, B. Magnetic molecularly imprinted polymer extraction of chloramphenicol from honey. Food Chem. 2013, 141, 23–28. [Google Scholar] [CrossRef]
- Liu, H.Y.; Lin, S.L.; Fuh, M.R. Determination of chloramphenicol, thiamphenicol and florfenicol in milk and honey using modified QuEChERS extraction coupled with polymeric monolith-based capillary liquid chromatography tandem mass pectrometry. Talanta 2016, 150, 233–239. [Google Scholar] [CrossRef]
- Veach, B.T.; Anglin, R.; Mudalige, T.K.; Barnes, P.J. Quantitation and confirmation of chloramphenicol, florfenicol, and nitrofuran metabolites in honey using LC-MS/MS. J. AOAC Int. 2018, 101, 897–903. [Google Scholar] [CrossRef]
- Teixeira, S.; Delerue-Matos, C.; Alves, A.; Santos, L. Fast screening procedure for antibiotics in waste waters by direct HPLC-DAD analysis. J. Sep. Sci. 2008, 31, 2924–2931. [Google Scholar] [CrossRef] [PubMed]
- Aresta, A.; Bianchi, D.; Calvano, C.D.; Zambonin, C.G. Solid phase microextraction-Liquid chromatography (SPME-LC) determination of chloramphenicol in urine and environmental water samples. J. Pharm. Biomed. Anal. 2010, 53, 440–444. [Google Scholar] [CrossRef]
- Peng, X.; Tan, J.; Tang, C.; Yu, Y.; Wang, Z. Multiresidue determination of fluoroquinolone, sulfonamide, trimethoprim, and chloramphenicol antibiotics in urban waters in China. Environ. Toxicol. Chem. 2008, 27, 73–79. [Google Scholar] [CrossRef]
- Poole, C.F. New trends in solid-phase extraction. Trends Anal. Chem. 2003, 22, 362–373. [Google Scholar] [CrossRef]
- Wen, Y.; Chen, L.; Li, J.; Liu, D.; Chen, L. Recent advances in solid-phase sorbents for sample preparation prior to chromatographic analysis. Trends Anal. Chem. 2014, 59, 26–41. [Google Scholar] [CrossRef]
- Chen, L.; Xu, S.; Li, J. Recent advances in molecular imprinting technology: Current status, challenges and highlighted applications. Chem. Soc. Rev. 2011, 40, 2922–2942. [Google Scholar] [CrossRef]
- Liu, J.; Chen, H.; Lin, Z.; Lin, J.M. Preparation of surface imprinting polymer capped Mn-doped ZnS quantum dots and their application for chemiluminescence detection of 4-nitrophenol in tap water. Anal. Chem. 2010, 82, 7380–7386. [Google Scholar] [CrossRef] [PubMed]
- Lucena, R.; Simonet, B.M.; Cárdenas, S.; Valcárcel, M. Potential of nanoparticles in sample preparation. J. Chromatogr. A 2011, 1218, 620–637. [Google Scholar] [CrossRef]
- Jiménez-Soto, M.J.; Cárdenas, S.; Valcárcel, M. Evaluation of carbon nanocones/disks as sorbent material for solid-phase extraction. J. Chromatogr. A 2009, 1216, 5626–5633. [Google Scholar] [CrossRef]
- Chen, L.; Wang, T.; Tong, J. Application of derivatized magnetic materials to the separation and the preconcentration of pollutants in water samples. Trends Anal. Chem. 2011, 30, 1095–1108. [Google Scholar] [CrossRef]
- Jiang, C.; Sun, Y.; Yu, X.; Gao, Y.; Zhang, L.; Wang, Y.; Zhang, H.; Song, D. Liquid-solid extraction coupled with magnetic solid-phase extraction for determination of pyrethroid residues in vegetable samples by ultrafast liquid chromatography. Talanta 2013, 114, 167–175. [Google Scholar] [CrossRef]
- Chang, N.; Yan, X.P. Exploring reverse shape selectivity and molecular sieving effect of metal-organic framework UIO-66 coated capillary column for gas chromatographic separation. J. Chromatogr. A 2012, 1257, 116–124. [Google Scholar] [CrossRef]
- Huang, H.; Lin, C.; Wu, C.; Cheng, Y.; Lin, C. Metal organic framework-organic polymer monolith stationary phases for capillary electrochromatography and nano-liquid chromatography. Anal. Chim. Acta 2013, 779, 96–103. [Google Scholar] [CrossRef]
- Yang, D.; Tao, Y.; Ding, X.; Han, B. Porous organic polymers for electrocatalysis. Chem. Soc. Rev. 2022, 51, 761–791. [Google Scholar] [CrossRef]
- Hao, Q.; Tao, Y.; Ding, X.; Yang, Y.; Feng, J.; Wang, R.-L.; Chen, X.-M.; Chen, G.-L.; Li, X.; OuYang, H.; et al. Porous organic polymers: A progress report in China. Sci. China Chem. 2023, 66, 620–682. [Google Scholar] [CrossRef]
- Tian, Y.; Zhu, G. Porous aromatic frameworks (PAFs). Chem. Rev. 2020, 120, 8934–8986. [Google Scholar] [CrossRef] [PubMed]
- Yuan, Y.; Yang, Y.; Zhu, G. Multifunctional porous aromatic frameworks: State of the art and opportunities. EnergyChem 2020, 2, 100037. [Google Scholar] [CrossRef]
- Lee, J.; Cooper, A. Advances in conjugated microporous polymers. Chem. Rev. 2020, 120, 2171–2214. [Google Scholar] [CrossRef] [PubMed]
- Xu, Y.; Jin, S.; Xu, H.; Nagai, A.; Jiang, D. Conjugated microporous polymers: Design, synthesis and application. Chem. Soc. Rev. 2013, 42, 8012–8031. [Google Scholar] [CrossRef] [PubMed]
- Castaldo, R.; Gentile, G.; Avella, M.; Carfagna, C.; Ambrogi, V. Microporous hyper-crosslinked polystyrenes and nanocomposites with high adsorption properties: A review. Polymers 2017, 9, 651. [Google Scholar] [CrossRef] [PubMed]
- Fu, Z.; Jia, J.; Li, J.; Liu, C. Transforming waste expanded polystyrene foam into hyper-crosslinked polymers for carbon dioxide capture and separation. Chem. Eng. J. 2017, 323, 557–564. [Google Scholar] [CrossRef]
- Côté, A.P.; Benin, A.I.; Ockwig, N.W.; O’Keeffe, M.; Matzger, A.J.; Yaghi, O.M. Porous, crystalline, covalent organic frameworks. Science 2005, 310, 1166–1170. [Google Scholar] [CrossRef]
- Dalapati, S.; Jin, E.; Addicoat, M.; Heine, T.; Jiang, D. Highly emissive covalent organic frameworks. J. Am. Chem. Soc. 2016, 138, 5797–5800. [Google Scholar] [CrossRef] [PubMed]
- Xu, H.; Gao, J.; Jiang, D. Stable, crystalline, porous, covalent organic frameworks as a platform for chiral organocatalysts. Nat. Chem. 2015, 7, 905–912. [Google Scholar] [CrossRef] [PubMed]
- Huang, N.; Wang, P.; Jiang, D. Covalent organic frameworks: A materials platform for structural and functional designs. Nat. Rev. Mater. 2016, 1, 16068. [Google Scholar] [CrossRef]
- Li, Z.; Li, H.; Guan, X.; Tang, J.; Yusran, Y.; Li, Z.; Xue, M.; Fang, Q.; Yan, Y.; Valtchev, V.; et al. Three-dimensional ionic covalent organic frameworks for rapid, reversible, and selective ion exchange. J. Am. Chem. Soc. 2017, 139, 17771–17774. [Google Scholar] [CrossRef]
- Guan, X.; Ma, Y.; Li, H.; Yusran, Y.; Xue, M.; Fang, Q.; Yan, Y.; Valtchev, V.; Qiu, S. Fast, Ambient temperature and pressure ionothermal synthesis of three-dimensional covalent organic frameworks. J. Am. Chem. Soc. 2016, 138, 14783–14788. [Google Scholar] [CrossRef]
- Uribe-Romo, F.J.; Hunt, J.R.; Furukawa, H.; Klöck, C.; O’Keeffe, M.; Yaghi, O.M. A Crystalline imine-linked 3D porous covalent organic framework. J. Am. Chem. Soc. 2009, 131, 4570–4571. [Google Scholar] [CrossRef]
- Dawson, R.; Cooper, A.I.; Adams, D.J. Nanoporous organic polymer networks. Prog. Polym. Sci. 2012, 37, 530–563. [Google Scholar] [CrossRef]
- Asadi Tashvigh, A.; Benes, N.E. Covalent organic polymers for aqueous and organic solvent nanofiltration. Sep. Purif. Technol. 2022, 298, 121589. [Google Scholar] [CrossRef]
- Shi, Y.; Fu, Q.; Li, J.; Liu, H.; Zhang, Z.; Liu, T.; Liu, Z. Covalent organic polymer as a carborane carrier for imaging-facilitated boron neutron capture therapy. ACS Appl. Mater. Interfaces 2020, 12, 55564–55573. [Google Scholar] [CrossRef]
- Subodh; Prakash, K.; Chaudhary, K.; Masram, D. A new triazine-cored covalent organic polymer for catalytic applications. Appl. Catal. A Gen. 2020, 593, 117411. [Google Scholar] [CrossRef]
- Hong, Y.; Rozyyev, V.; Yavuz, C. Alkyl-linked porphyrin porous polymers for gas capture and precious metal adsorption. Small Sci. 2021, 1, 2000078. [Google Scholar] [CrossRef]
- Preet, K.; Gupta, G.; Kotal, M.; Kansal, S.K.; Salunke, D.B.; Sharma, H.K.; Sahoo, S.C.; Voort, P.V.D.; Roy, S. Mechanochemical synthesis of a new triptycene-based imine-linked covalent organic polymer for degradation of organic dye. Cryst. Growth Des. 2019, 19, 2525–2530. [Google Scholar] [CrossRef]
- Li, W.; Zhao, Z.; Hu, W.; Cheng, Q.; Yang, L.; Hu, Z.; Liu, Y.A.; Wen, K.; Yang, H. Design of thiazolo[5,4-d]thiazole-bridged ionic covalent organic polymer for highly selective oxygen reduction to H2O2. Chem. Mater. 2020, 32, 8553–8560. [Google Scholar] [CrossRef]
- Zhou, T.; Ding, J.; He, Z.; Li, J.; Liang, Z.; Li, C.; Li, Y.; Chen, Y.; Ding, L. Preparation of magnetic superhydrophilic molecularly imprinted composite resin based on multi-walled carbon nanotubes to detect triazines in environmental water. Chem. Eng. J. 2018, 334, 2293–2302. [Google Scholar] [CrossRef]
- Liu, L.; Meng, W.; Zhou, Y.; Wang, X.; Xu, G.; Wang, M.; Lin, J.; Zhao, R. β-Ketoenamine-linked covalent organic framework coating for ultra-high performance solid-phase microextraction of polybrominated diphenyl ethers from environmental samples. Chem. Eng. J. 2019, 356, 926–933. [Google Scholar] [CrossRef]







| Analytes | Liner Range (ng/mL) | R2 | LOD (ng/mL) | LOQ (ng/mL) | Precision (%, n = 3) | Reproducibility (RSD, n = 3, %) | |
|---|---|---|---|---|---|---|---|
| Intra Day | Inter Day | ||||||
| CAP | 0.1–200 | 0.9939 | 0.01 | 0.04 | 1.72 | 4.38 | 3.6 |
| FF | 0.3–200 | 0.9991 | 0.03 | 0.10 | 3.15 | 3.70 | 4.1 |
| TAP | 0.3–200 | 0.9993 | 0.03 | 0.10 | 2.95 | 4.87 | 5.3 |
| Added (ng mL−1) | Recovery (%) | ||
|---|---|---|---|
| CAP | FF | TAP | |
| 0.5 | 101.73 ± 3.1 | 85.92 ± 5.2 | 86.14 ± 3.4 |
| 10 | 98.9 ± 2.9 | 100.02 ± 4.7 | 83.98 ± 5.2 |
| 100 | 104.3 ± 4.6 | 109.12 ± 6.8 | 110.7 ± 3.6 |
| 150 | 88.65 ± 6.3 | 94.23 ± 2.6 | 106.45 ± 3.9 |
| Pretreatment Method | Analytical Method | Number of Analytes | Linearity (ng/mL) | LOD (ng/mL) | Recovery (%) | Ref. |
|---|---|---|---|---|---|---|
| Without pretreatment | HPLC-DAD | 5 | 40–400 | 13 | 90–109 | [24] |
| Fiber-SPME | LC-UV | 1 | 0.1–10 | 0.1 | Not report | [25] |
| Resin-SPE | HPLC-UV | 4 | 0.2–50 | 0.25 | 63–126 | [26] |
| 3D COP-SPE | HPLC-DAD | 3 | 0.1–200 | 0.01–0.03 | 83.98–110.7 | This work |
Disclaimer/Publisher’s Note: The statements, opinions and data contained in all publications are solely those of the individual author(s) and contributor(s) and not of MDPI and/or the editor(s). MDPI and/or the editor(s) disclaim responsibility for any injury to people or property resulting from any ideas, methods, instructions or products referred to in the content. |
© 2023 by the authors. Licensee MDPI, Basel, Switzerland. This article is an open access article distributed under the terms and conditions of the Creative Commons Attribution (CC BY) license (https://creativecommons.org/licenses/by/4.0/).
Share and Cite
Wei, J.; Chen, L.; Zhang, R.; Yu, Y.; Ji, W.; Hou, Z.; Chen, Y.; Zhang, Z. An Imine-Based Porous 3D Covalent Organic Polymer as a New Sorbent for the Solid-Phase Extraction of Amphenicols from Water Sample. Molecules 2023, 28, 3301. https://doi.org/10.3390/molecules28083301
Wei J, Chen L, Zhang R, Yu Y, Ji W, Hou Z, Chen Y, Zhang Z. An Imine-Based Porous 3D Covalent Organic Polymer as a New Sorbent for the Solid-Phase Extraction of Amphenicols from Water Sample. Molecules. 2023; 28(8):3301. https://doi.org/10.3390/molecules28083301
Chicago/Turabian StyleWei, Jinjian, Lengbing Chen, Rui Zhang, Yi Yu, Wenhua Ji, Zhaosheng Hou, Yuqin Chen, and Zhide Zhang. 2023. "An Imine-Based Porous 3D Covalent Organic Polymer as a New Sorbent for the Solid-Phase Extraction of Amphenicols from Water Sample" Molecules 28, no. 8: 3301. https://doi.org/10.3390/molecules28083301
APA StyleWei, J., Chen, L., Zhang, R., Yu, Y., Ji, W., Hou, Z., Chen, Y., & Zhang, Z. (2023). An Imine-Based Porous 3D Covalent Organic Polymer as a New Sorbent for the Solid-Phase Extraction of Amphenicols from Water Sample. Molecules, 28(8), 3301. https://doi.org/10.3390/molecules28083301

