Thieno-Thiazolostilbenes, Thienobenzo-Thiazoles, and Naphtho-Oxazoles: Computational Study and Cholinesterase Inhibitory Activity
Abstract
1. Introduction
2. Results and Discussion
2.1. Synthesis and Spectroscopic Characterization of New Thiazolostilbenes 1a–10a and Thienobenzo-Thiazoles 1–5, 7, and 9
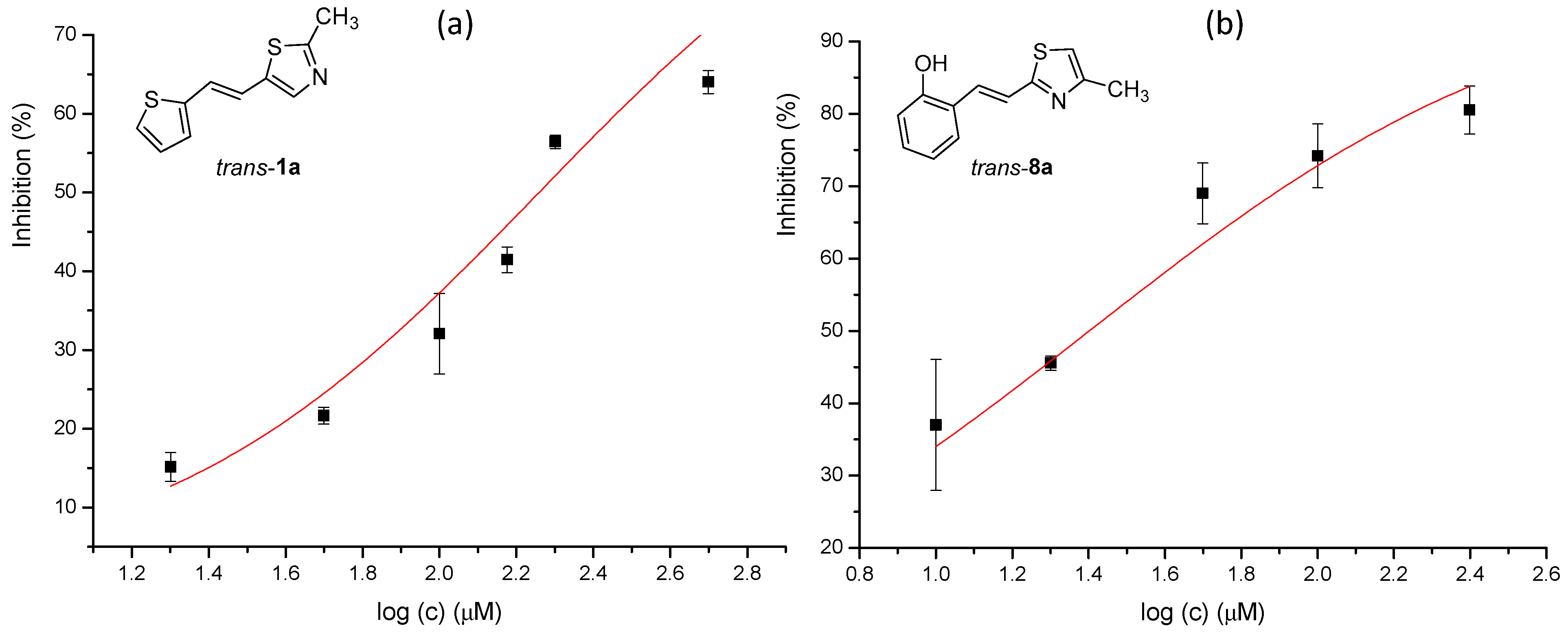
2.2. Inhibitory Activity of Thiazolostilbenes, Thienobenzo-Thiazoles, and Naphtho-Oxazoles toward Enzymes Cholinesterases
2.3. Molecular Docking
3. Materials and Methods
3.1. General Remarks
3.2. General Procedure for the Synthesis of the 2-Thiophene Phosphonium Salt
3.3. General Procedure for the Synthesis of New Thiazolostilbenes 1a–10a









3.4. General Procedure for the Synthesis of the Electrocyclization Photoproducts 1–10


3.5. Cholinesterase Inhibition Activity Measurements
3.6. Computational Study
4. Conclusions
Supplementary Materials
Author Contributions
Funding
Institutional Review Board Statement
Informed Consent Statement
Data Availability Statement
Conflicts of Interest
Sample Availability
References
- Parekh, N.M.; Juddhawala, K.V.; Rawal, B.M. Antimicrobial activity of thiazolyl benzenesulfonamide-condensed 2,4-thiazolidinediones derivatives. Med. Chem. Res. 2013, 22, 2737–2745. [Google Scholar] [CrossRef]
- Rostom, S.A.; El-Ashmawy, I.M.; AbdElRazik, H.A.; Badr, M.H.; Ashour, H.M. Design and synthesis of some thiazolyl and thiadiazolyl derivatives of antipyrine as potential non-acidic anti-inflammatory, analgesic and antimicrobial agents. Bioorg. Med. Chem. 2009, 17, 882–895. [Google Scholar] [CrossRef] [PubMed]
- Haroun, M.; Tratrat, C.; Tsolaki, E.; Geronikaki, A. Thiazole-based thiazolidinones as potent antimicrobial agents. Design, synthesis and biological evaluation. Comb. Chem. High Throughput Screen 2016, 19, 51–57. [Google Scholar] [CrossRef] [PubMed]
- Luzina, E.L.; Popov, A.V. Synthesis and anticancer activity of N-bis(trifluoromethyl) alkyl-N0-thiazolyl and N-bis(trifluoromethyl)alkyl-N0-benzothiazolyl ureas. Eur. J. Med. Chem. 2009, 44, 4944–4953. [Google Scholar] [CrossRef]
- Zablotskaya, A.; Segal, I.; Germane, S.; Shestakova, I.; Domracheva, I.; Nesterova, A.; Geronikaki, A.; Lukevics, E. Silyl modification of biologically active compounds. Trimethylsilyl ethers of hydroxyl-containing thiazole derivatives. Chem. Heterocycl. Compd. 2002, 38, 859–866. [Google Scholar] [CrossRef]
- Britschgi, M.; Greyerz, S.; Burkhart, C.; Pichler, W.J. Molecular aspects of drug recognition by specific T cells. Curr. Drug Targets 2003, 4, 1–11. [Google Scholar] [CrossRef]
- Turan-Zitouni, G.; Chevallet, P.; Kilic, F.S.; Erol, K. Synthesis of some thiazolyl-pyrazoline derivatives and preliminary investigation of their hypotensive activity. Eur. J. Med. Chem. 2000, 35, 635–641. [Google Scholar] [CrossRef]
- Mohsen, U.A.; Kaplancikli, Z.A.; Ozkay, Y.; Yurttas, E.L. Synthesis and evaluation of anti-acetylcholinesterase activity of some benzothiazole based new piperazine-dithiocarbamate derivatives. Drug Res. 2015, 65, 176–183. [Google Scholar] [CrossRef]
- Yin, L.; Cheng, F.C.; Li, Q.X.; Liu, W.W.; Liu, X.J.; Cao, Z.L.; Shi, D.H. Synthesis and biological evaluation of novel C1-glycosyl thiazole derivatives as acetylcholinesterase inhibitors. J. Chem. Res. 2016, 40, 545–548. [Google Scholar] [CrossRef]
- Wang, Y.X.; Liu, S.H.; Shao, Z.B.; Cao, L.G.; Jiang, K.J.; Lu, X.; Wang, L.; Liu, W.W.; Shi, D.H.; Cao, Z.L. Synthesis and anti-acetylcholinesterase activities of novel glycosyl coumarylthiazole derivatives. J. Chem. Res. 2021, 2021, 359–364. [Google Scholar] [CrossRef]
- Ibrar, A.; Zaib, S.; Khan, I.; Jabeen, F.; Iqbal, J.; Saeed, A. Facile and expedient access to bis-coumarin–iminothiazole hybrids by molecular hybridization approach: Synthesis, molecular modelling and assessment of alkaline phosphatase inhibition, anticancer and antileishmanial potential. RSC Adv. 2015, 5, 89919–89931. [Google Scholar] [CrossRef]
- Haroon, M.; Khalid, M.; Shahzadi, K.; Akhtar, T.; Saba, S.; Rafique, J.; Ali, S.; Irfan, M.; Alam, M.M.; Imran, M. Alkyl 2-(2-(arylidene) alkylhydrazinyl) thiazole-4-carboxylates: Synthesis, acetyl cholinesterase inhibition and docking studies. J. Mol. Struct. 2021, 1245, 131063. [Google Scholar] [CrossRef]
- Chhabria, M.; Patel, S.; Modi, P.; Brahmkshatriya, P. Thiazole: A review on chemistry, synthesis and therapeutic importance of its derivatives. Curr. Top. Med. Chem. 2016, 16, 2841–2862. [Google Scholar] [CrossRef] [PubMed]
- Zhang, Z.H.; Wu, H.M.; Deng, S.N.; Cai, X.Y.; Yao, Y.; Mwenda, M.C.; Wang, J.Y.; Cai, D.; Chen, Y. Design, synthesis, and anticancer activities of novel 2-amino-4-phenylthiazole scaffold containing amide moieties. J. Chem. 2018, 2018, 4301910. [Google Scholar] [CrossRef]
- Elsadek, M.F.; Ahmed, B.M.; Farahat, M.F. An overview on synthetic 2-aminothiazole-based compounds associated with four biological activities. Molecules 2021, 26, 1449. [Google Scholar] [CrossRef] [PubMed]
- Lu, Q.; Yu, Q.; Zhu, Y.B.; Weng, J.Q.; Yuan, J.; Hu, D.X.; Chen, J.; Liu, X.H.; Tan, C.X. Novel stilbene analogues containing thiazole moiety: Synthesis, biological evaluation and docking study. J. Mol. Struct. 2019, 1180, 780–786. [Google Scholar] [CrossRef]
- Liu, J.C.; Chen, B.; Yang, J.L.; Weng, J.Q.; Yu, Q.; Hu, D.X. Design, synthesis and cytotoxicity of thiazole-based stilbene analogs as novel DNA topoisomerase I.B. inhibitors. Molecules 2022, 27, 1009. [Google Scholar] [CrossRef]
- Hussain, R.; Ullah, H.; Rahim, F.; Sarfraz, M.; Taha, M.; Iqbal, R.; Rehman, W.; Khan, S.; Ali Shah, S.A.; Hyder, S.; et al. Multipotent cholinesterase inhibitors for the treatment of Alzheimer’s disease: Synthesis, biological analysis and molecular docking study of benzimidazole-based thiazole derivatives. Molecules 2022, 27, 6087. [Google Scholar] [CrossRef]
- Sharma, P.C.; Sinhmar, A.; Sharma, A.; Rajak, H.; Pal Pathak, D. Medicinal significance of benzothiazole scaffold: An insight view. J. Enzyme Inhib. Med. Chem. 2013, 28, 240–266. [Google Scholar] [CrossRef]
- Tariq, S.; Kamboj, P.; Amir, M. Therapeutic advancement of benzothiazole derivatives in the last decennial period. Arch Pharm. Chem. Life Sci. 2019, 352, 1800170. [Google Scholar] [CrossRef]
- Majo, V.J.; Prabhakaran, J.; Mann, J.J.; Kumar, J.S.D. An efficient palladium catalyzed synthesis of 2-arylbenzothiazoles. Tetrahedron Lett. 2003, 44, 8535–8537. [Google Scholar] [CrossRef]
- Byeon, S.R.; Jin, Y.J.; Lim, S.J.; Lee, J.H.; Yoo, K.H.; Shin, K.J.; Oh, S.J.; Kim, D.J. Ferulic acid and benzothiazole dimer derivatives with high binding affinity to beta–amyloid fibrils. Bioorg. Med. Chem. Lett. 2007, 17, 4022–4025. [Google Scholar] [CrossRef]
- Mlakić, M.; Faraho, I.; Odak, I.; Talić, S.; Vukovinski, A.; Raspudić, A.; Bosnar, M.; Zadravec, R.; Ratković, A.; Lasić, K.; et al. Synthesis, photochemistry and computational study of novel 1,2,3-triazole heterostilbenes: Expressed biological activity of their electrocyclization photoproducts. Bioorg. Chem. 2022, 121, 105701. [Google Scholar] [CrossRef]
- Mlakić, M.; Odak, I.; Faraho, I.; Talić, S.; Bosnar, M.; Lasić, K.; Barić, D.; Škorić, I. New naphtho/thienobenzo-triazoles with interconnected anti-inflammatory and cholinesterase inhibitory activity. Eur. J. Med. Chem. 2022, 241, 114616. [Google Scholar] [CrossRef] [PubMed]
- Mlakić, M.; Selec, I.; Ćaleta, I.; Odak, I.; Barić, D.; Ratković, A.; Molčanov, K.; Škorić, I. New thienobenzo/naphtha-triazoles as butyrylcholinesterase inhibitors: Design, synthesis and computational study. Int. J. Mol. Sci. 2023, 24, 5879. [Google Scholar] [CrossRef] [PubMed]
- Massoulie, J.; Pezzementi, L.; Bon, S.; Krejci, E.; Vallette, F.M. Molecular and cellular biology of cholinesterases. Prog. Neurobiol. 1993, 41, 31–91. [Google Scholar] [CrossRef]
- Mushtaq, G.; Greig, N.H.; Khan, J.A.; Kamal, M.A. Status of acetylcholinesterase and butyrylcholinesterase in Alzheimer’s disease and type 2 diabetes mellitus. CNS Neurol. Disord. Drug Targets 2014, 13, 1432–1439. [Google Scholar] [CrossRef] [PubMed]
- Šagud, I.; Šindler-Kulyk, M.; Škorić, I.; Kelava, V.; Marinić, Ž. Synthesis of naphthoxazoles by photocyclization of 4-/5-(phenylethenyl)oxazoles. Eur. J. Org. Chem. 2018, 2018, 3326–3335. [Google Scholar] [CrossRef]
- Horspool, W.M.; Song, P.S. CRC Handbook of Organic Photochemistry and Photobiology; CRC Press: Boca Raton, FL, USA, 1995. [Google Scholar]
- Griesbeck, A.; Oelgemӧller, M.; Ghetti, F. CRC Handbook of Organic Photochemistry and Photobiology, 3rd ed.; CRC Press: Boca Raton, FL, USA, 2012. [Google Scholar]
- Runge, E.; Gross, E.K.U. Density-functional theory for time-dependent systems. Phys. Rev. Lett. 1984, 52, 997–1000. [Google Scholar] [CrossRef]
- Mlakić, M.; Fodor, L.; Odak, I.; Horváth, O.; Lovrić, M.J.; Barić, D.; Milašinović, V.; Molčanov, K.; Marinić, Ž.; Lasić, Z.; et al. Resveratrol-maltol and resveratrol-thiophene hybrids as cholinesterase inhibitors and antioxidants: Synthesis, biometal chelating capability and crystal structure. Molecules 2022, 27, 6379. [Google Scholar] [CrossRef]
- Mlakić, M.; Odak, I.; Faraho, I.; Bosnar, M.; Banjanac, M.; Lasić, Z.; Marinić, Ž.; Barić, D.; Škorić, I. Synthesis, photochemistry, computational study and potential application of new styryl-thiophene and naphtha-thiophene benzylamines. Int. J. Mol. Sci. 2023, 24, 610. [Google Scholar] [CrossRef] [PubMed]
- Šagud, I.; Škorić, I.; Burčul, F. Naphthoxazoles and heterobenzoxazoles: Cholinesterase inhibition and antioxidant activity. Turk. J. Chem. 2019, 43, 118–124. [Google Scholar] [CrossRef]
- Siegbahn, P.E.M.; Himo, F. The quantum chemical cluster approach for modeling enzyme reactions. Comput. Mol. Sci. 2011, 1, 323–336. [Google Scholar] [CrossRef]
- Ellman, G.L.; Courtnex, K.D.; Andres, V.; Featherstone, R.M. A new and rapid colorimetric determination of acetylcholinesterase activity. Biochem. Pharmacol. 1961, 7, 88–95. [Google Scholar] [CrossRef] [PubMed]
- Frisch, M.J.; Trucks, G.W.; Schlegel, H.B.; Scuseria, G.E.; Robb, M.A.; Cheeseman, J.R.; Scalmani, G.; Barone, V.; Petersson, G.A.; Nakatsuji, H.; et al. Gaussian 16; Revision C.01; Gaussian, Inc.: Wallingford, CT, USA, 2016. [Google Scholar]
- Cossi, M.; Rega, N.; Scalmani, G.; Barone, V. Energies, structures, and electronic properties of molecules in solution with the CPCM solvation model. J. Comp. Chem. 2003, 24, 669–681. [Google Scholar] [CrossRef]
- Morris, G.M.; Huey, R.; Lindstrom, W.; Sanner, M.F.; Belew, R.K.; Goodsell, D.S.; Olson, A.J. AutoDock4 and AutoDock-823 Tools4: Automated docking with selective receptor flexibility. J. Comput. Chem. 2009, 16, 2785–2791. [Google Scholar] [CrossRef] [PubMed]
- Coquelle, N.; Colletier, J.P. Crystal Structure of Human Butyrylcholinesterase in Complex with 2-{1-[4-(12-Amino-3-chloro-6,7,10,11-tetrahydro-7,11-methanocycloocta[b]quinolin-9-yl)butyl]-1H-1,2,3-triazol-4-yl}-N-[4-hydroxy-3-methoxybenzyl]acetamide. Available online: https://www.wwpdb.org/pdb?id=pdb_00007aiy (accessed on 17 April 2023). [CrossRef]













| Molecule | λmax/nm (exp) | λmax/nm (calc) | Assignment |
|---|---|---|---|
| trans-2a | 318 | 328 | H → L |
| trans-3a | 342 | 357 | H → L |
| trans-10a | 373 | 384 | H → L |
| cis-1a | 315 | 323 | H → L |
| trans-1a | 320 | 349 | H → L |
| 1 | 249 | 245 | H − 1→ L H → L + 1 |
| 2 | 251 | 242 | H − 1→ L H − 1→ L + 1 |
| 3 | 214 | 203 | H − 1→ L + 4 |
| 4 | 213 | 204 | H − 1→ L + 3 |
| 5 | 221 | 211 | H − 1→ L + 2 |
| Comp. Number | Structure | IC50 (μM) BChE | Inhibition (%) (a) | Comp. Number | Structure | IC50 (μM) BChE | Inhibition (%) (a) |
|---|---|---|---|---|---|---|---|
| 1 | ![]() | 107.3 | 79.1 (500) | 11 | ![]() | - | 0.9 (188.0) |
| 2 | ![]() | - | 46.8 (200) | 12 | ![]() | - | 40.9 (176.0) |
| 3 | ![]() | 51.1 | 75.4 (250) | 13 | ![]() | 350.7 | 57.8 (396.8) |
| 4 | ![]() | 41.9 | 70.8 (200) | 14 | ![]() | 154.7 | 63.3 (173.6) |
| 5 | ![]() | - | 24.9 (250) | 15 | ![]() | 44.4 | 98.3 (368.6) |
| cis-1a | ![]() | - | 36.4 (500) | 16 | ![]() | 137.4 | 64.9 (201.7) |
| trans-1a | ![]() | 181.4 | 64.0 (500) | 17 | ![]() | - | 16.8 (159.5) |
| cis-2a | ![]() | - | 45.5 (250) | 18 | ![]() | - | 38.0 (273.6) |
| trans-2a | ![]() | - | 45.8 (250) | 19 | ![]() | 170.2 | 81.9 (405.2) |
| trans-3a | ![]() | - | 10.0 (250) | 20 | ![]() | 183.9 | 82.2 (364.2) |
| 5a | ![]() | - | 30.6 (250) | 21 | ![]() | - | 32.6 (312.3) |
| trans-8a | ![]() | 25.2 | 80.5 (250) | 22 | ![]() | 127.7 | 69.9 (315.8) |
| trans-9a | ![]() | - (b) | 47.7 (100) | 23 | ![]() | - | 20.6 (297.5) |
| trans-10a | ![]() | - (b) | 25.3 (100) | Huperzine A | 53.4 |
Disclaimer/Publisher’s Note: The statements, opinions and data contained in all publications are solely those of the individual author(s) and contributor(s) and not of MDPI and/or the editor(s). MDPI and/or the editor(s) disclaim responsibility for any injury to people or property resulting from any ideas, methods, instructions or products referred to in the content. |
© 2023 by the authors. Licensee MDPI, Basel, Switzerland. This article is an open access article distributed under the terms and conditions of the Creative Commons Attribution (CC BY) license (https://creativecommons.org/licenses/by/4.0/).
Share and Cite
Mlakić, M.; Đurčević, E.; Odak, I.; Barić, D.; Juričević, I.; Šagud, I.; Burčul, F.; Lasić, Z.; Marinić, Ž.; Škorić, I. Thieno-Thiazolostilbenes, Thienobenzo-Thiazoles, and Naphtho-Oxazoles: Computational Study and Cholinesterase Inhibitory Activity. Molecules 2023, 28, 3781. https://doi.org/10.3390/molecules28093781
Mlakić M, Đurčević E, Odak I, Barić D, Juričević I, Šagud I, Burčul F, Lasić Z, Marinić Ž, Škorić I. Thieno-Thiazolostilbenes, Thienobenzo-Thiazoles, and Naphtho-Oxazoles: Computational Study and Cholinesterase Inhibitory Activity. Molecules. 2023; 28(9):3781. https://doi.org/10.3390/molecules28093781
Chicago/Turabian StyleMlakić, Milena, Ema Đurčević, Ilijana Odak, Danijela Barić, Ines Juričević, Ivana Šagud, Franko Burčul, Zlata Lasić, Željko Marinić, and Irena Škorić. 2023. "Thieno-Thiazolostilbenes, Thienobenzo-Thiazoles, and Naphtho-Oxazoles: Computational Study and Cholinesterase Inhibitory Activity" Molecules 28, no. 9: 3781. https://doi.org/10.3390/molecules28093781
APA StyleMlakić, M., Đurčević, E., Odak, I., Barić, D., Juričević, I., Šagud, I., Burčul, F., Lasić, Z., Marinić, Ž., & Škorić, I. (2023). Thieno-Thiazolostilbenes, Thienobenzo-Thiazoles, and Naphtho-Oxazoles: Computational Study and Cholinesterase Inhibitory Activity. Molecules, 28(9), 3781. https://doi.org/10.3390/molecules28093781




























