Pullulan-Graft-Polyoxazoline: Approaches from Chemistry and Physics
Abstract
:1. Introduction
2. Results and Discussion
2.1. Poly(2-methyl-2-oxazoline)
2.2. Pullulan
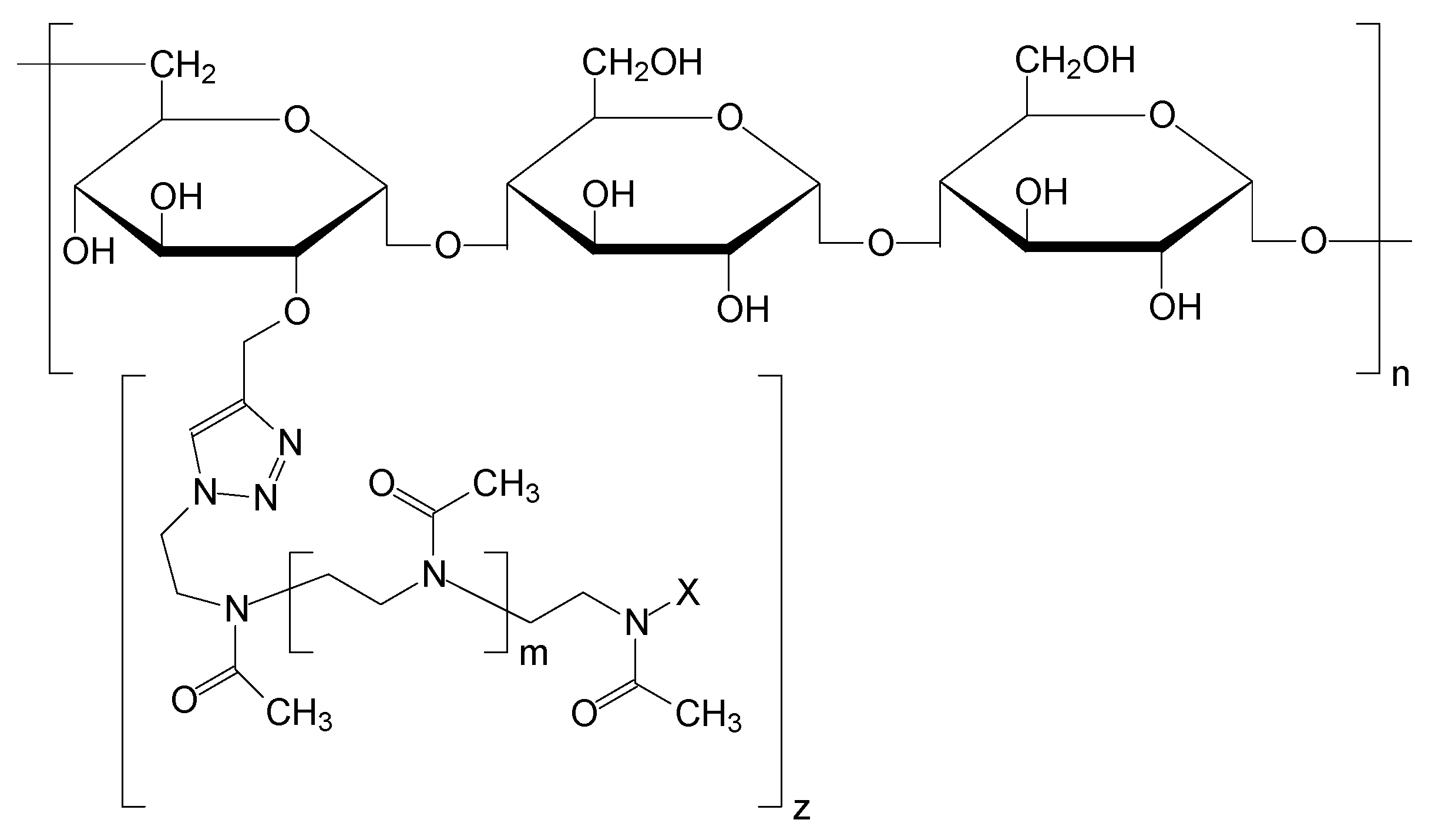
2.3. Pullulan-Graft-Poly(2-methyl-2-oxazoline)
3. Materials and Methods
3.1. Materials
3.2. Methods
3.2.1. Nuclear Magnetic Resonance (NMR) Spectroscopy
3.2.2. Densitometry
3.2.3. Viscometry
3.2.4. Size Exclusion Chromatography/Gel Permeation Chromatography (SEC/GPC)
3.2.5. Analytical Ultracentrifugation (AUC)
3.2.6. Dynamic Light Scattering (DLS)
3.3. Synthesis of Precursor Polymers and Graft Copolymers
3.3.1. Azide-Terminated Poly(2-methyl-2-oxazoline)
3.3.2. Phenyloxy Poly(2-methyl-2-oxazoline), Naphthyloxy Poly(2-methyl-2-oxazoline) (PMeOx-Ph, PMeOx-Napht)
3.3.3. Propargyl Pullulan (Pu-Pr)
3.3.4. Benzyl Pullulan
3.3.5. Pullulan-Graft-Poly(2-methyl-2-oxazoline)
4. Conclusions
Supplementary Materials
Author Contributions
Funding
Institutional Review Board Statement
Informed Consent Statement
Data Availability Statement
Acknowledgments
Conflicts of Interest
References
- Bauer, R. Physiology of Dematium Pullulans de Bary. Zentralbl Bacteriol Parasitenkd Infekt. Hyg. Abt2 1938, 98, 133–167. [Google Scholar]
- Bernier, B. The Production of Polysaccharides by Fungi Active in the Decomposition of Wood and Forest Litter. Can. J. Microbiol. 1958, 4, 195–204. [Google Scholar] [CrossRef] [PubMed]
- Oğuzhan Yildiz, P.; Yangılar, F. Pullulan: Production and Usage in Food Industry. Afr. Food Sci. Technol. 2013, 4, 57–63. [Google Scholar]
- Farris, S.; Unalan, I.U.; Introzzi, L.; Fuentes-Alventosa, J.M.; Cozzolino, C.A. Pullulan-based Films and Coatings for Food Packaging: Present Applications, Emerging Opportunities, and Future Challenges. J. Appl. Polym. Sci. 2014, 131, app.40539. [Google Scholar] [CrossRef]
- Jindal, N.; Singh Khattar, J. Microbial Polysaccharides in Food Industry. In Handbook of Food Bioengineering, Biopolymers for Food Design; Elsevier: Amsterdam, The Netherlands, 2018; pp. 95–123. [Google Scholar]
- Singh, R.S.; Saini, G.K. Biosynthesis of Pullulan and Its Applications in Food and Pharmaceutical Industry. In Microorganisms in Sustainable Agriculture and Biotechnology; Satyanarayana, T., Johri, B.N., Anil Prakash, Eds.; Springer: Dordrecht, The Netherlands, 2012; pp. 509–553. [Google Scholar]
- Singh, R.S.; Kaur, N.; Singh, D.; Purewal, S.S.; Kennedy, J.F. Pullulan in Pharmaceutical and Cosmeceutical Formulations: A Review. Int. J. Biol. Macromol. 2023, 231, 123353. [Google Scholar] [CrossRef] [PubMed]
- Izutsu, Y.; Sogo, K.; Okamoto, S.; Tanaka, T. Pullulan and Sugar Coated Pharmaceutical Composition. US4650666A, 17 March 1987. Available online: https://patents.google.com/patent/US4650666A/en (accessed on 6 November 2023).
- Lončarević, B.; Lješević, M.; Marković, M.; Anđelković, I.; Gojgić-Cvijović, G.; Jakovljević, D.; Beškoski, V. Microbial Levan and Pullulan as Potential Protective Agents for Reducing Adverse Effects of Copper on Daphnia Magna and Vibrio Fischeri. Ecotoxicol. Environ. Saf. 2019, 181, 187–193. [Google Scholar] [CrossRef] [PubMed]
- Ganie, S.A.; Mir, T.A.; Ali, A.; Li, Q. Pullulan: Properties and Applications, Book chapter. In Pullulan: Processing, Properties, and Applications; Jenny Stanford Publishing Pte. Ltd.: New York, NY, USA, 2020; p. 300. [Google Scholar]
- Ganie, S.A.; Rather, L.J.; Li, Q. A Review on Anticancer Applications of Pullulan and Pullulan Derivative Nanoparticles. Carbohydr. Polym. Technol. Appl. 2021, 2, 100115. [Google Scholar] [CrossRef]
- Wang, Y.; Liu, Y.; Liu, Y.; Wang, Y.; Wu, J.; Li, R.; Yang, J.; Zhang, N. pH-Sensitive Pullulan-Based Nanoparticles for Intracellular Drug Delivery. Polym. Chem. 2014, 5, 423–432. [Google Scholar] [CrossRef]
- Grenha, A.; Rodrigues, S. Pullulan-Based Nanoparticles: Future Therapeutic Applications in Transmucosal Protein Delivery. Ther. Deliv. 2013, 4, 1339–1341. [Google Scholar] [CrossRef]
- Teixeira, M.; Marinho, E.; Silva, C.; Antunes, J.; Felgueiras, H. Pullulan Hydrogels as Drug Release Platforms in Biomedicine. J. Drug Deliv. Sci. Technol. 2023, 89, 105066. [Google Scholar] [CrossRef]
- Selvakumar, G.; Lonchin, S. Bioactive functional collagen-oxidized pullulan scaffold loaded with polydatin for treating chronic wounds. Biomater. Adv. 2022, 140, 213078. [Google Scholar] [CrossRef] [PubMed]
- Agrawal, S.; Budhwani, D.; Gurjar, P.; Telange, D.; Lambole, V. Pullulan Based Derivatives: Synthesis, Enhanced Physicochemical Properties, and Applications. Drug Deliv. 2022, 29, 3328–3339. [Google Scholar] [CrossRef] [PubMed]
- Cheng, H.; Zhang, X.; Cui, Z.; Mao, S. Grafted Polysaccharides as Advanced Pharmaceutical Excipients. In Advances and Challenges in Pharmaceutical Technology; Elsevier: Amsterdam, The Netherlands, 2021; pp. 75–129. [Google Scholar]
- Carvalho, L.T.; Moraes, R.M.; Alves, G.M.; Lacerda, T.M.; Santos, J.C.; Santos, A.M.; Medeiros, S.F. Synthesis of Amphiphilic Pullulan-Graft-Poly(ε-Caprolactone) via Click Chemistry. Int. J. Biol. Macromol. 2020, 145, 701–711. [Google Scholar] [CrossRef] [PubMed]
- Mert, H.; Özkahraman, B.; Damar, H. A Novel Wound Dressing Material: Pullulan Grafted Copolymer Hydrogel via UV Copolymerization and Crosslinking. J. Drug Deliv. Sci. Technol. 2020, 60, 101962. [Google Scholar] [CrossRef]
- Dionísio, M.; Cordeiro, C.; Remuñán-López, C.; Seijo, B.; Rosa Da Costa, A.M.; Grenha, A. Pullulan-Based Nanoparticles as Carriers for Transmucosal Protein Delivery. Eur. J. Pharm. Sci. 2013, 50, 102–113. [Google Scholar] [CrossRef]
- Bostanudin, M.F.; Barbu, E.; Liew, K.B. Hydrophobically Grafted Pullulan Nanocarriers for Percutaneous Delivery: Preparation and Preliminary In Vitro Characterisation. Polymers 2021, 13, 2852. [Google Scholar] [CrossRef]
- Lu, D.; Wen, X.; Liang, J.; Gu, Z.; Zhang, X.; Fan, Y. A pH-sensitive Nano Drug Delivery System Derived from Pullulan/Doxorubicin Conjugate. J. Biomed. Mater. Res. 2009, 89, 177–183. [Google Scholar] [CrossRef]
- Singh, R.S.; Kaur, N.; Kennedy, J.F. Pullulan and Pullulan Derivatives as Promising Biomolecules for Drug and Gene Targeting. Carbohydr. Polym. 2015, 123, 190–207. [Google Scholar] [CrossRef]
- Hoogenboom, R. The Future of Poly(2-Oxazoline)s. Eur. Polym. J. 2022, 179, 111521. [Google Scholar] [CrossRef]
- Zahoranová, A.; Luxenhofer, R. Poly(2-oxazoline)- and Poly(2-oxazine)-Based Self-Assemblies, Polyplexes, and Drug Nanoformulations—An Update. Adv. Healthc. Mater. 2021, 10, 2001382. [Google Scholar] [CrossRef]
- Lorson, T.; Lübtow, M.M.; Wegener, E.; Haider, M.S.; Borova, S.; Nahm, D.; Jordan, R.; Sokolski-Papkov, M.; Kabanov, A.V.; Luxenhofer, R. Poly(2-Oxazoline)s Based Biomaterials: A Comprehensive and Critical Update. Biomaterials 2018, 178, 204–280. [Google Scholar] [CrossRef] [PubMed]
- Novy, Z.; Lobaz, V.; Vlk, M.; Kozempel, J.; Stepanek, P.; Popper, M.; Vrbkova, J.; Hajduch, M.; Hruby, M.; Petrik, M. Head-To-Head Comparison of Biological Behavior of Biocompatible Polymers Poly(Ethylene Oxide), Poly(2-Ethyl-2-Oxazoline) and Poly[N-(2-Hydroxypropyl)Methacrylamide] as Coating Materials for Hydroxyapatite Nanoparticles in Animal Solid Tumor Model. Nanomaterials 2020, 10, 1690. [Google Scholar] [CrossRef] [PubMed]
- de la Rosa, V.R.; Bulcke, A.V.D.; Hoogenboom, R. Poly(2-Oxazoline)s: The Versatile Polymer Platform for Biomedicine. Mater. Matters 2016, 11, 75–79. [Google Scholar]
- Le, D.; Wagner, F.; Takamiya, M.; Hsiao, I.L.; Gil Alvaradejo, G.; Strähle, U.; Weiss, C.; Delaittre, G. Straightforward access to biocompatible poly(2-oxazoline)-coated nanomaterials by polymerization-induced self-assembly. Chem. Commun. 2019, 55, 3741–3744. [Google Scholar] [CrossRef] [PubMed]
- Clinical Safety and Performance of GATT-Patch in Open Liver Surgery|Clinical Research Trial Listing (Intraoperative Hemorrhage) (NCT04819945). Available online: https://www.centerwatch.com/clinical-trials/listings/272975/clinical-safety-and-performance-of-gatt-patch-in-open-liver-surgery/?&radius=10&query=LIVER%20DISEASE&smt=true (accessed on 6 November 2023).
- Olanow, C.W.; Standaert, D.G.; Kieburtz, K.; Viegas, T.X.; Moreadith, R. Once-Weekly Subcutaneous Delivery of Polymer-Linked Rotigotine (SER-214) Provides Continuous Plasma Levels in Parkinson’s Disease Patients. Mov. Disord. 2020, 35, 1055–1061. [Google Scholar] [CrossRef] [PubMed]
- Boerman, M.A.; Roozen, E.; Sánchez-Fernández, M.J.; Keereweer, A.R.; Félix Lanao, R.P.; Bender, J.C.M.E.; Hoogenboom, R.; Leeuwenburgh, S.C.; Jansen, J.A.; Van Goor, H.; et al. Next Generation Hemostatic Materials Based on NHS-Ester Functionalized Poly(2-oxazoline)s. Biomacromolecules 2017, 18, 2529–2538. [Google Scholar] [CrossRef] [PubMed]
- Svoboda, J.; Sedláček, O.; Riedel, T.; Hrubý, M.; Pop-Georgievski, O. Poly(2-oxazoline)s One-Pot Polymerization and Surface Coating: From Synthesis to Antifouling Properties Out-Performing Poly(ethylene oxide). Biomacromolecules 2019, 20, 3453–3463. [Google Scholar] [CrossRef] [PubMed]
- Sedlacek, O.; Van Driessche, A.; Uvyn, A.; De Geest, B.G.; Hoogenboom, R. Poly(2-methyl-2-oxazoline) conjugates with doxorubicin: From synthesis of high drug loading water-soluble constructs to in vitro anti-cancer properties. J. Control Release 2020, 326, 53–62. [Google Scholar] [CrossRef]
- Chistyakov, E.M.; Filatov, S.N.; Sulyanova, E.A.; Volkov, V.V. Determination of the Degree of Crystallinity of Poly(2-Methyl-2-Oxazoline). Polymers 2021, 13, 4356. [Google Scholar] [CrossRef]
- Gubarev, A.S.; Lezov, A.A.; Podsevalnikova, A.N.; Mikusheva, N.G.; Fetin, P.A.; Zorin, I.M.; Aseyev, V.O.; Sedlacek, O.; Hoogenboom, R.; Tsvetkov, N.V. Conformational Parameters and Hydrodynamic Behavior of Poly(2-Methyl-2-Oxazoline) in a Broad Molar Mass Range. Polymers 2023, 15, 623. [Google Scholar] [CrossRef]
- Hong, L.; Wang, Z.; Wei, X.; Shi, J.; Li, C. Antibodies against polyethylene glycol in human blood: A literature review. J. Pharmacol. Toxicol. Methods 2020, 102, 106678. [Google Scholar] [CrossRef]
- Kozma, G.T.; Shimizu, T.; Ishida, T.; Szebeni, J. Anti-PEG Antibodies: Properties, Formation, Testing and Role in Adverse Immune Reactions to PEGylated Nano-Biopharmaceuticals. Adv. Drug Deliv. Rev. 2020, 154–155, 163–175. [Google Scholar] [CrossRef]
- Ju, Y.; Lee, W.S.; Pilkington, E.H.; Kelly, H.G.; Li, S.; Selva, K.J.; Wragg, K.M.; Subbarao, K.; Nguyen, T.H.O.; Rowntree, L.C.; et al. Anti-PEG Antibodies Boosted in Humans by SARS-CoV-2 Lipid Nanoparticle mRNA Vaccine. ACS Nano 2022, 16, 11769–11780. [Google Scholar] [CrossRef]
- Willersinn, J.; Schmidt, B.V.K.J. Aqueous Self-assembly of Pullulan-b-poly(2-ethyl-2-oxazoline) Double Hydrophilic Block Copolymers. J. Polym. Sci. Part A Polym. Chem. 2017, 55, 3757–3766. [Google Scholar] [CrossRef]
- Plucinski, A.; Willersinn, J.; Lira, R.B.; Dimova, R.; Schmidt, B.V.K.J. Aggregation and Crosslinking of Poly(N,N-dimethylacrylamide)-b-pullulan Double Hydrophilic Block Copolymers. Macro Chem. Phys. 2020, 221, 2000053. [Google Scholar] [CrossRef]
- Lai, S.K.; Wang, Y.-Y.; Hanes, J. Mucus-Penetrating Nanoparticles for Drug and Gene Delivery to Mucosal Tissues. Adv. Drug Deliv. Rev. 2009, 61, 158–171. [Google Scholar] [CrossRef]
- Chen, D.; Liu, J.; Wu, J.; Suk, J.S. Enhancing Nanoparticle Penetration through Airway Mucus to Improve Drug Delivery Efficacy in the Lung. Expert Opin. Drug Deliv. 2021, 18, 595–606. [Google Scholar] [CrossRef]
- Ways, T.M.M.; Ng, K.W.; Lau, W.M.; Khutoryanskiy, V.V. Silica Nanoparticles in Transmucosal Drug Delivery. Pharmaceutics 2020, 12, 751. [Google Scholar] [CrossRef]
- Mansfield, E.D.H.; de la Rosa, V.R.; Kowalczyk, R.M.; Grillo, I.; Hoogenboom, R.; Sillence, K.; Hole, P.; Williams, A.C.; Khutoryanskiy, V.V. Side chain variations radically alter the diffusion of poly(2-alkyl-2-oxazoline) functionalised nanoparticles through a mucosal barrier. Biomater. Sci. 2016, 4, 1318–1327. [Google Scholar] [CrossRef]
- Lavikainen, J.; Dauletbekova, M.; Toleutay, G.; Kaliva, M.; Chatzinikolaidou, M.; Kudaibergenov, S.E.; Tenkovtsev, A.; Khutoryanskiy, V.V.; Vamvakaki, M.; Aseyev, V. Poly(2-ethyl-2-oxazoline) grafted gellan gum for potential application in transmucosal drug delivery. Polym. Adv. Technol. 2021, 32, 2770–2780. [Google Scholar] [CrossRef]
- Madau, M.; Morandi, G.; Rihouey, C.; Lapinte, V.; Oulyadi, H.; Le Cerf, D.; Dulong, V.; Picton, L. A Mild and Straightforward One-Pot Hyaluronic Acid Functionalization through Termination of Poly-(2-Alkyl-2-Oxazoline). Polymer 2021, 230, 124059. [Google Scholar] [CrossRef]
- Ways, T.M.M.; Filippov, S.K.; Maji, S.; Glassner, M.; Cegłowski, M.; Hoogenboom, R.; King, S.; Lau, W.M.; Khutoryanskiy, V.V. Mucus-Penetrating Nanoparticles Based on Chitosan Grafted with Various Non-Ionic Polymers: Synthesis, Structural Characterisation and Diffusion Studies. J. Colloid Interface Sci. 2022, 626, 251–264. [Google Scholar] [CrossRef]
- Cook, M.T.; Khutoryanskiy, V.V. Mucoadhesion and Mucosa-Mimetic Materials—A Mini-Review. Int. J. Pharm. 2015, 495, 991–998. [Google Scholar] [CrossRef]
- Tsvetkov, V.N.; Lavrenko, P.N.; Bushin, S.V. Hydrodynamic Invariant of Polymer Molecules. J. Polym. Sci. Polym. Chem. Ed. 1984, 22, 3447–3486. [Google Scholar] [CrossRef]
- Tsvetkov, V.N. Rigid-Chain Polymers; Consultants Bureau Plenum: London, UK, 1989. [Google Scholar]
- Grube, M.; Leiske, M.N.; Schubert, U.S.; Nischang, I. POx as an Alternative to PEG? A Hydrodynamic and Light Scattering Study. Macromolecules 2018, 51, 1905–1916. [Google Scholar] [CrossRef]
- Biochemical and Molecular Characterization of a New Pullulan Producer Rhodosporidium Paludigenum PUPY-06. J. Appl. Biol. Biotech. 2018, 6, 28–37.
- Grischenko, L.A.; Parshina, L.N.; Kanitskaya, L.V.; Larina, L.I.; Novikova, L.N.; Trofimov, B.A. Propargylation of Arabinogalactan with Propargyl Halides—A Facile Route to New Functionalized Biopolymers. Carbohydr. Res. 2013, 376, 7–14. [Google Scholar] [CrossRef]
- Fry, S.C. Oxidative Scission of Plant Cell Wall Polysaccharides by Ascorbate-Induced Hydroxyl Radicals. Biochem. J. 1998, 332, 507–515. [Google Scholar] [CrossRef]
- Kratky, O.; Leopold, H.; Stabinger, H. The determination of the partial specific volume of proteins by the mechanical oscillator technique. Methods Enzymol. 1973, 27, 98–110. [Google Scholar]
- Pamies, R.; Hernandez Cifre, J.G.; Lopez Martinez, M.d.C.; Garcia de la Torre, J. Determination of intrinsic viscosities of macromolecules and nanoparticles. Comparison of single-point and dilution procedures. Colloid Polym. Sci. 2008, 286, 1223–1231. [Google Scholar] [CrossRef]
- Huggins, M.L. The viscosity of dilute solutions of long-chain molecules. I. J. Phys. Chem. 1938, 42, 911–920. [Google Scholar] [CrossRef]
- Kraemer, E.O. Molecular Weights of Celluloses and Cellulose Derivates. Ind. Eng. Chem. 1938, 30, 1200–1203. [Google Scholar] [CrossRef]
- Schuck, P. Size-distribution analysis of macromolecules by sedimentation velocity ultracentrifugation and Lamm equation modeling. Biophys. J. 2000, 78, 1606–1619. [Google Scholar] [CrossRef]
- Lamm, O. Die differentialgleichung der ultrazentrifugierung. Ark. Mat. Astr. Fys. 1929, 21B, 1–4. [Google Scholar]
- Pike, E.R. Photon Correlation and Light Beating Spectroscopy, 1st ed.; Springer: New York, NY, USA, 1974; p. 504. [Google Scholar]
- Schärtl, W. Light Scattering from Polymer Solutions and Nanoparticle Dispersions, 1st ed.; Springer: Berlin/Heidelberg, Germany, 2007; p. 191. [Google Scholar]
- Berne, B.J.; Pecora, R. Dynamic Light Scattering: With Applications to Chemistry, Biology, and Physics; John Wiley: Hoboken, NJ, USA, 1976; p. 376. [Google Scholar]








| Sample | Mn (NMR), g/mol | Mn (GPC), g/mol | Mw (GPC), g/mol | MsD, g/mol | 
|---|---|---|---|---|
| PMeOx-1 | 11,700 | 7800 | 11,000 | 10,100 | 
| PMeOx-2 | 6800 | 6200 | 7800 | 4600 | 
| Sample | ῡ, cm3/g | s0, S | f/f0 | [η], dL/g | D0 × 107, cm2/s | MsD, g/mol | A0 × 1010, g cm2/(s2K mol1/3) | 
|---|---|---|---|---|---|---|---|
| PMeOx-1-Napht | 0.805 | 0.70 | 1.66 | 0.14 | 8.70 | 10,100 | 2.92 | 
| PMeOx-2 | 0.797 | 0.55 | 1.40 | 0.10 | 14.4 | 4600 | 3.36 | 
| Sample | ῡ, cm3/g | s, S | f/f0 | Msf, g/mol | 
|---|---|---|---|---|
| initial Pu | 0.65 | 6.3 | 2.1 | 119,000 | 
| Pu after KOH | 0.62 | 5.1 | 3.02 | 129,000 | 
| Pu-Pr | 0.62 | 5.01 | 2.68 | 105,000 | 
| Sample | PU/PMeOx * | ῡ, cm3/g | s, S | f/f0 | Msf, g/mol | [η], dL/g | A0 × 1010, g cm2/(s2K mol1/3) | 
|---|---|---|---|---|---|---|---|
| Pu-1-Bz | - | 0.67 | 5.3 | 1.9 | 65,000 | 0.33 | 4.1 | 
| Pu-1-PMeOx-2 | 1/50 | 0.72 | 5.7 | 2.1 | 110,000 | 0.42 | 4.0 | 
| Pu-1-PMeOx-2 | 1/3.4 | 0.804 | 6.5 | 1.8 | 160,000 | 0.30 | 3.9 | 
| Pu-1-PMeOx-1 | 1/10 | 0.79 | 5.3 | 1.8 | 116,000 | 0.27 | 3.9 | 
| Pu-2-Bz | - | 0.65 | 3.5 | 2.1 | 37,000 | 0.35 | 3.9 | 
| Pu-2-PMeOx-1 | 1/5 | 0.804 | 3.3 | 1.8 | 61,000 | 0.165 | 3.3 | 
| Disclaimer/Publisher’s Note: The statements, opinions and data contained in all publications are solely those of the individual author(s) and contributor(s) and not of MDPI and/or the editor(s). MDPI and/or the editor(s) disclaim responsibility for any injury to people or property resulting from any ideas, methods, instructions or products referred to in the content. | 
© 2023 by the authors. Licensee MDPI, Basel, Switzerland. This article is an open access article distributed under the terms and conditions of the Creative Commons Attribution (CC BY) license (https://creativecommons.org/licenses/by/4.0/).
Share and Cite
Zorin, I.M.; Fetin, P.A.; Mikusheva, N.G.; Lezov, A.A.; Perevyazko, I.; Gubarev, A.S.; Podsevalnikova, A.N.; Polushin, S.G.; Tsvetkov, N.V. Pullulan-Graft-Polyoxazoline: Approaches from Chemistry and Physics. Molecules 2024, 29, 26. https://doi.org/10.3390/molecules29010026
Zorin IM, Fetin PA, Mikusheva NG, Lezov AA, Perevyazko I, Gubarev AS, Podsevalnikova AN, Polushin SG, Tsvetkov NV. Pullulan-Graft-Polyoxazoline: Approaches from Chemistry and Physics. Molecules. 2024; 29(1):26. https://doi.org/10.3390/molecules29010026
Chicago/Turabian StyleZorin, Ivan M., Petr A. Fetin, Nina G. Mikusheva, Alexey A. Lezov, Igor Perevyazko, Alexander S. Gubarev, Anna N. Podsevalnikova, Sergey G. Polushin, and Nikolai V. Tsvetkov. 2024. "Pullulan-Graft-Polyoxazoline: Approaches from Chemistry and Physics" Molecules 29, no. 1: 26. https://doi.org/10.3390/molecules29010026
APA StyleZorin, I. M., Fetin, P. A., Mikusheva, N. G., Lezov, A. A., Perevyazko, I., Gubarev, A. S., Podsevalnikova, A. N., Polushin, S. G., & Tsvetkov, N. V. (2024). Pullulan-Graft-Polyoxazoline: Approaches from Chemistry and Physics. Molecules, 29(1), 26. https://doi.org/10.3390/molecules29010026
 
        







 
       