Effective Removal of Boron from Aqueous Solutions by Inorganic Adsorbents: A Review
Abstract
:1. Introduction
1.1. Boron Sources and Related Problems
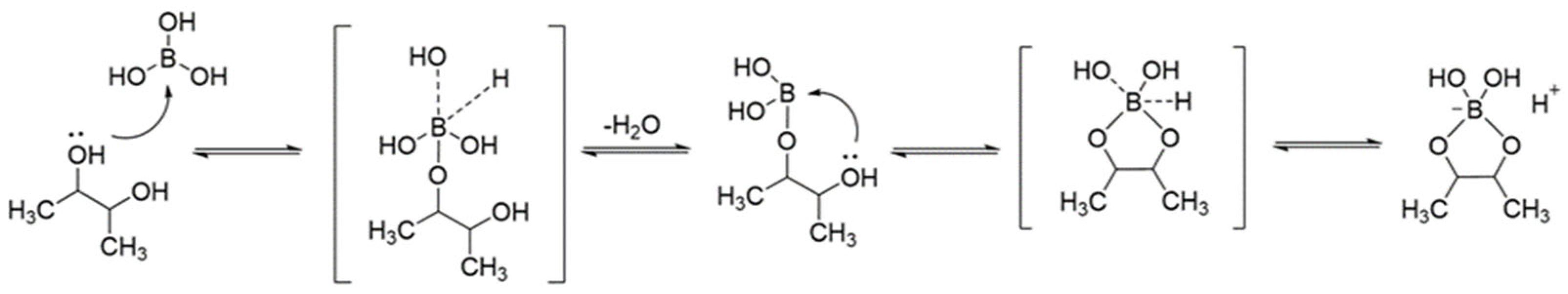
1.2. Chemistry of Boron in Aqueous Solution
1.3. Boron Removal Methods
2. Inorganic Adsorbents for Boron Removal
2.1. Aluminum Oxide
2.2. Iron Oxide
2.3. Magnesium Oxide
2.4. Mixed Oxides
3. Modification of the Inorganic Boron Adsorbent
3.1. Functional Groups Used for Boron Adsorbent Modification
3.2. Methodologies Used for Boron Adsorbent Modification
4. Challenges and Perspectives
Author Contributions
Funding
Institutional Review Board Statement
Informed Consent Statement
Data Availability Statement
Conflicts of Interest
References
- Wu, L.; Wei, Y.; Zhou, W.B.; Zhang, Y.S.; Chen, Q.H.; Liu, M.X.; Zhu, Z.P.; Zhou, J.; Yang, L.H.; Wang, H.M.; et al. Gene Expression Alterations of Human Liver Cancer Cells Following Borax Exposure. Oncol. Rep. 2019, 42, 115–130. [Google Scholar] [CrossRef] [PubMed]
- Ulatowska, J.; Polowczyk, I.; Bastrzyk, A.; Koźlecki, T.; Sawiński, W. Fly Ash as a Sorbent for Boron Removal from Aqueous Solutions: Equilibrium and Thermodynamic Studies. Sep. Sci. Technol. 2020, 55, 2149–2157. [Google Scholar] [CrossRef]
- Rodriguez-Espinosa, P.F.; Sabarathinam, C.; Ochoa-Guerrero, K.M.; Martínez-Tavera, E.; Panda, B. Geochemical Evolution and Boron Sources of the Groundwater Affected by Urban and Volcanic Activities of Puebla Valley, South Central Mexico. J. Hydrol. 2020, 584, 124613. [Google Scholar] [CrossRef]
- Liu, M.; Guo, Q.; Luo, L.; He, T. Environmental Impacts of Geothermal Waters with Extremely High Boron Concentrations: Insight from a Case Study in Tibet, China. J. Volcanol. Geotherm. Res. 2020, 397, 106887. [Google Scholar] [CrossRef]
- Bhagyaraj, S.; Al-Ghouti, M.A.; Kasak, P.; Krupa, I. An Updated Review on Boron Removal from Water through Adsorption Processes. Emergent Mater. 2021, 4, 1167–1186. [Google Scholar] [CrossRef]
- Bolan, S.; Wijesekara, H.; Amarasiri, D.; Zhang, T.; Ragályi, P.; Brdar-Jokanović, M.; Rékási, M.; Lin, J.-Y.; Padhye, L.P.; Zhao, H.; et al. Boron Contamination and Its Risk Management in Terrestrial and Aquatic Environmental Settings. Sci. Total Environ. 2023, 894, 164744. [Google Scholar] [CrossRef] [PubMed]
- Stein, S.; Sivan, O.; Yechieli, Y.; Kasher, R.; Nir, O. An Advantage for Desalination of Coastal Saline Groundwater over Seawater in View of Boron Removal Requirements. Environ. Sci. Water Res. Technol. 2021, 7, 2241–2254. [Google Scholar] [CrossRef]
- Kayaci, S.; Tantekin-Ersolmaz, S.B.; Ahunbay, M.G.; Krantz, W.B. Technical and Economic Feasibility of the Concurrent Desalination and Boron Removal (CDBR) Process. Desalination 2020, 486, 114474. [Google Scholar] [CrossRef]
- Zhang, X.; Luo, X.; Jiao, J.J.; Li, H.; Lian, E.; Yang, S.; Kong, F.; Kuang, X.; Zuo, J. Hydrogeochemistry and Fractionation of Boron Isotopes in the Inter-Dune Aquifer System of Badain Jaran Desert, China. J. Hydrol. 2021, 595, 125984. [Google Scholar] [CrossRef]
- Kadam, A.; Wagh, V.; Umrikar, B.; Sankhua, R. An Implication of Boron and Fluoride Contamination and Its Exposure Risk in Groundwater Resources in Semi-Arid Region, Western India. Environ. Dev. Sustain. 2020, 22, 7033–7056. [Google Scholar] [CrossRef]
- Mao, H.-R.; Liu, C.-Q.; Zhao, Z.-Q. Source and Evolution of Dissolved Boron in Rivers: Insights from Boron Isotope Signatures of End-Members and Model of Boron Isotopes during Weathering Processes. Earth-Sci. Rev. 2019, 190, 439–459. [Google Scholar] [CrossRef]
- Lee, H.W.; Yoo, K.J.; Tran, M.T.; Moon, I.Y.; Oh, Y.S.; Kang, S.H.; Kim, D.K. Effect of Quenching Tempering-Postweld Heat Treatment on the Microstructure and Mechanical Properties of Laser-Arc Hybrid-Welded Boron Steel. Materials 2019, 12, 2862. [Google Scholar] [CrossRef] [PubMed]
- Neochoritis, C.G.; Shaabani, S.; Ahmadianmoghaddam, M.; Zarganes-Tzitzikas, T.; Gao, L.; Novotná, M.; Mitríková, T.; Romero, A.R.; Irianti, M.I.; Xu, R.; et al. Rapid Approach to Complex Boronic Acids. Sci. Adv. 2019, 5, eaaw4607. [Google Scholar] [CrossRef] [PubMed]
- Alkhudhiri, A.; Bin Darwish, N.; Hakami, M.W.; Abdullah, A.; Alsadun, A.; Abu Homod, H. Boron Removal by Membrane Distillation: A Comparison Study. Membranes 2020, 10, 263. [Google Scholar] [CrossRef] [PubMed]
- Dai, L.; Wei, Y.; Xu, X.; Wu, P.; Zhang, M.; Wang, C.; Li, H.; Zhang, Q.; Li, H.; Zhu, W. Boron and Nitride Dual Vacancies on Metal-Free Oxygen Doping Boron Nitride as Initiating Sites for Deep Aerobic Oxidative Desulfurization. ChemCatChem 2020, 12, 1734–1742. [Google Scholar] [CrossRef]
- Chen, D.; Chen, D.; Xue, R.; Long, J.; Lin, X.; Lin, Y.; Jia, L.; Zeng, R.; Song, Y. Effects of Boron, Silicon and Their Interactions on Cadmium Accumulation and Toxicity in Rice Plants. J. Hazards Mater. 2019, 367, 447–455. [Google Scholar] [CrossRef]
- Brdar-Jokanović, M. Boron Toxicity and Deficiency in Agricultural Plants. Int. J. Mol. Sci. 2020, 21, 1424. [Google Scholar] [CrossRef]
- Jarma, Y.A.; Karaoğlu, A.; Tekin, Ö.; Baba, A.; Ökten, H.E.; Tomaszewska, B.; Bostancı, K.; Arda, M.; Kabay, N. Assessment of Different Nanofiltration and Reverse Osmosis Membranes for Simultaneous Removal of Arsenic and Boron from Spent Geothermal Water. J. Hazard. Mater. 2021, 405, 124129. [Google Scholar] [CrossRef]
- Guan, Z.; Lv, J.; Bai, P.; Guo, X. Boron Removal from Aqueous Solutions by Adsorption—A Review. Desalination 2016, 383, 29–37. [Google Scholar] [CrossRef]
- Hussain, A.; Sharma, R.; Minier-Matar, J.; Hirani, Z.; Adham, S. Application of Emerging Ion Exchange Resin for Boron Removal from Saline Groundwater. J. Water Process Eng. 2019, 32, 100906. [Google Scholar] [CrossRef]
- Ingri, N.; Kakolowicz, W.; Sillén, L.G.; Warnqvist, B. High-Speed Computers as a Supplement to Graphical Methods—V1Haltafall, a General Program for Calculating the Composition of Equilibrium Mixtures. Talanta 1967, 14, 1261–1286. [Google Scholar] [CrossRef] [PubMed]
- Eriksson, G. An Algorithm for the Computation of Aqueous Multi-Component, Multiphase Equilibria. Anal. Chim. Acta 1979, 112, 375–383. [Google Scholar] [CrossRef]
- Li, D.; Zhou, G.; Gu, S.; Zhang, T.; Meng, L.; Guo, Y.; Deng, T. Thermodynamic and Dynamic Modeling of the Boron Species in Aqueous Potassium Borate Solution. ACS Omega 2020, 5, 15835–15842. [Google Scholar] [CrossRef] [PubMed]
- Mehanathan, S.; Jaafar, J.; Nasir, A.M.; Rahman, R.A.; Ismail, A.F.; Illias, R.M.; Othman, M.H.D.; A Rahman, M.; Bilad, M.R.; Naseer, M.N. Adsorptive Membrane for Boron Removal: Challenges and Future Prospects. Membranes 2022, 12, 798. [Google Scholar] [CrossRef] [PubMed]
- Chen, T.; Lyu, J.; Wang, Q.; Bai, P.; Wu, Y.; Guo, X. Mechanistic Study on Boron Adsorption and Isotopic Separation with Magnetic Magnetite Nanoparticles. J. Mater. Sci. 2021, 56, 4624–4640. [Google Scholar] [CrossRef]
- Wang, Z.; Jia, Y.; Song, W.; Li, X.; Xu, K.; Wang, Z. Optimization of Boron Adsorption from Desalinated Seawater onto UiO-66-NH2/GO Composite Adsorbent Using Response Surface Methodology. J. Clean. Prod. 2021, 300, 126974. [Google Scholar] [CrossRef]
- Najid, N.; Fellaou, S.; Kouzbour, S.; Gourich, B.; Ruiz-García, A. Energy and Environmental Issues of Seawater Reverse Osmosis Desalination Considering Boron Rejection: A Comprehensive Review and a Case Study of Exergy Analysis. Process Saf. Environ. Prot. 2021, 156, 373–390. [Google Scholar] [CrossRef]
- Yang-Zhou, C.-H.; Cao, J.-X.; Dong, S.-S.; Chen, S.-H.; Michael, R.N. Phosphorus Co-Existing in Water: A New Mechanism to Boost Boron Removal by Calcined Oyster Shell Powder. Molecules 2021, 27, 54. [Google Scholar] [CrossRef]
- Almustafa, G.; Sulaiman, R.; Kumar, M.; Adeyemi, I.; Arafat, H.A.; AlNashef, I. Boron Extraction from Aqueous Medium Using Novel Hydrophobic Deep Eutectic Solvents. Chem. Eng. J. 2020, 395, 125173. [Google Scholar] [CrossRef]
- Çermikli, E.; Şen, F.; Altıok, E.; Wolska, J.; Cyganowski, P.; Kabay, N.; Bryjak, M.; Arda, M.; Yüksel, M. Performances of Novel Chelating Ion Exchange Resins for Boron and Arsenic Removal from Saline Geothermal Water Using Adsorption-Membrane Filtration Hybrid Process. Desalination 2020, 491, 114504. [Google Scholar] [CrossRef]
- Pinotti, C.N.; de Souza, L.M.; Marques, W.P.; Proveti, J.R.C.; Jesus, H.C.; Freitas, J.C.C.; Porto, P.S.S.; Muniz, E.P.; Passamani, E.C. A New Magnetic Composite with Potential Application in Boron Adsorption: Development, Characterization, and Removal Tests. Mater. Chem. Phys. 2022, 277, 125368. [Google Scholar] [CrossRef]
- Seval, K.; Onac, C.; Kaya, A.; Akdogan, A. Separation of Boron from Geothermal Waters with Membrane System. Membranes 2021, 11, 291. [Google Scholar] [CrossRef] [PubMed]
- Karthikeyan, P.; Elanchezhiyan, S.S.D.; Preethi, J.; Meenakshi, S.; Park, C.M. Mechanistic Performance of Polyaniline-Substituted Hexagonal Boron Nitride Composite as a Highly Efficient Adsorbent for the Removal of Phosphate, Nitrate, and Hexavalent Chromium Ions from an Aqueous Environment. Appl. Surf. Sci. 2020, 511, 145543. [Google Scholar] [CrossRef]
- Baransi-Karkaby, K.; Bass, M.; Freger, V. In Situ Modification of Reverse Osmosis Membrane Elements for Enhanced Removal of Multiple Micropollutants. Membranes 2019, 9, 28. [Google Scholar] [CrossRef] [PubMed]
- Figueira, M.; Reig, M.; Fernández de Labastida, M.; Cortina, J.L.; Valderrama, C. Boron Recovery from Desalination Seawater Brines by Selective Ion Exchange Resins. J. Environ. Manag. 2022, 314, 114984. [Google Scholar] [CrossRef] [PubMed]
- Lyu, J.; Zeng, Z.; Zhang, N.; Liu, H.; Bai, P.; Guo, X. Pyrocatechol-Modified Resins for Boron Recovery from Water: Synthesis, Adsorption and Isotopic Separation Studies. React. Funct. Polym. 2017, 112, 1–8. [Google Scholar] [CrossRef]
- Luo, Q.; Zeng, M.; Wang, X.; Huang, H.; Wang, X.; Liu, N.; Huang, X. Glycidol-Functionalized Macroporous Polymer for Boron Removal from Aqueous Solution. React. Funct. Polym. 2020, 150, 104543. [Google Scholar] [CrossRef]
- Chen, Y.; Lyu, J.; Wang, Y.; Chen, T.; Tian, Y.; Bai, P.; Guo, X. Synthesis, Characterization, Adsorption, and Isotopic Separation Studies of Pyrocatechol-Modified MCM-41 for Efficient Boron Removal. Ind. Eng. Chem. Res. 2019, 58, 3282–3292. [Google Scholar] [CrossRef]
- Bai, S.; Han, J.; Du, C.; Li, J.; Ding, W. Removal of Boron and Silicon by a Modified Resin and Their Competitive Adsorption Mechanisms. Environ. Sci. Pollut. Res. 2020, 27, 30275–30284. [Google Scholar] [CrossRef]
- Jung, J.; Choi, H.; Hong, S.; Yoon, S.J.; Kim, T.H.; Lee, J.Y.; Hong, Y.T.; So, S. Surface-Initiated ATRP of Glycidyl Methacrylate in the Presence of Divinylbenzene on Porous Polystyrene-Based Resins for Boron Adsorption. Desalination 2020, 473, 114166. [Google Scholar] [CrossRef]
- Kluczka, J.; Pudło, W.; Krukiewicz, K. Boron Adsorption Removal by Commercial and Modified Activated Carbons. Chem. Eng. Res. Des. 2019, 147, 30–42. [Google Scholar] [CrossRef]
- Ismanto, A.E.; Liu, J.C. Enhanced Boron Adsorption Using PVA-Modified Carbonaceous Materials. Compos. Interfaces 2014, 21, 639–650. [Google Scholar] [CrossRef]
- Cai, L.; Zhang, Y.; Peng, X.; Guo, F.; Ji, L.; Li, L. Preparation of Layered Double Hydroxide Intercalated by Gallic Acid for Boron Adsorption. J. Water Process Eng. 2021, 44, 102394. [Google Scholar] [CrossRef]
- Song, T.; Luo, Q.; Gao, F.; Zhao, B.; Hao, X.; Liu, Z. Adsorption and Electro-Assisted Method Removal of Boron in Aqueous Solution by Nickel Hydroxide. J. Ind. Eng. Chem. 2023, 118, 372–382. [Google Scholar] [CrossRef]
- Kumar, A.; Gangawane, K.M. Synthesis and Effect on the Surface Morphology & Magnetic Properties of Ferrimagnetic Nanoparticles by Different Wet Chemical Synthesis Methods. Powder Technol. 2022, 410, 117867. [Google Scholar] [CrossRef]
- Konstantinou, M.; Kasseta, G.; Pashalidis, I. Boron Adsorption on Alumina (Al2O3) and Magnesia (MgO) in Aqueous Solutions: A Comparative Study. Int. J. Environ. Technol. Manag. 2006, 6, 466. [Google Scholar] [CrossRef]
- Bouguerra, W.; Mnif, A.; Hamrouni, B.; Dhahbi, M. Boron Removal by Adsorption onto Activated Alumina and by Reverse Osmosis. Desalination 2008, 223, 31–37. [Google Scholar] [CrossRef]
- Lou, X.-Y.; Boada, R.; Yohai, L.; Valiente, M. Outstanding Performance of Hierarchical Alumina Microspheres for Boron Removal in the Presence of Competing Ions. J. Water Process Eng. 2023, 55, 104218. [Google Scholar] [CrossRef]
- Demetriou, A.; Pashalidis, I. Competitive Adsorption of Boric Acid and Chromate onto Alumina in Aqueous Solutions. Water Sci. Technol. 2014, 69, 378–384. [Google Scholar] [CrossRef]
- Demey, H.; Barron-Zambrano, J.; Mhadhbi, T.; Miloudi, H.; Yang, Z.; Ruiz, M.; Sastre, A.M. Boron Removal from Aqueous Solutions by Using a Novel Alginate-Based Sorbent: Comparison with Al2O3 Particles. Polymers 2019, 11, 1509. [Google Scholar] [CrossRef]
- Al-Ghouti, M.A.; Khan, M.; Malik, A.; Khraisheh, M.; Hijazi, D.; Mohamed, S.; Alsorour, S.; Eltayeb, R.; Al Mahmoud, F.; Alahmad, J. Development of Novel Nano-γ-Al2O3 Adsorbent from Waste Aluminum Foil for the Removal of Boron and Bromide from Aqueous Solution. J. Water Process Eng. 2022, 50, 103312. [Google Scholar] [CrossRef]
- Demetriou, A.; Pashalidis, I. Adsorption of Boron on Iron-Oxide in Aqueous Solutions. Desalination Water Treat. 2012, 37, 315–320. [Google Scholar] [CrossRef]
- Liu, H.; Qing, B.; Ye, X.; Li, Q.; Lee, K.; Wu, Z. Boron Adsorption by Composite Magnetic Particles. Chem. Eng. J. 2009, 151, 235–240. [Google Scholar] [CrossRef]
- Chen, T.; Wang, Q.; Lyu, J.; Bai, P.; Guo, X. Boron Removal and Reclamation by Magnetic Magnetite (Fe3O4) Nanoparticle: An Adsorption and Isotopic Separation Study. Sep. Purif. Technol. 2020, 231, 115930. [Google Scholar] [CrossRef]
- Kameda, T.; Yamamoto, Y.; Kumagai, S.; Yoshioka, T. Mechanism and Kinetics of Aqueous Boron Removal Using MgO. J. Water Process Eng. 2018, 26, 237–241. [Google Scholar] [CrossRef]
- Li, P.; Liu, C.; Zhang, L.; Zheng, S.; Zhang, Y. Enhanced Boron Adsorption onto Synthesized MgO Nanosheets by Ultrasonic Method. Ultrason. Sonochem. 2017, 34, 938–946. [Google Scholar] [CrossRef] [PubMed]
- Masindi, V.; Gitari, M.W. Removal of Boron from Aqueous Solution Using Cryptocrystalline Magnesite. J. Water Reuse Desalination 2017, 7, 205–213. [Google Scholar] [CrossRef]
- de la Fuente García-Soto, M.M.; Muñoz Camacho, E. Boron Removal by Means of Adsorption Processes with Magnesium Oxide-Modelization and Mechanism. Desalination 2009, 249, 626–634. [Google Scholar] [CrossRef]
- Fukuda, H.; Tsuchiya, K.; Toba, Y.; Eguchi, M.; Tokoro, C. Rapid Boron Removal from Wastewater Using Low-Crystalline Magnesium Oxide. J. Environ. Chem. Eng. 2020, 8, 104171. [Google Scholar] [CrossRef]
- Song, T.; Gao, F.; Du, X.; Hao, X.; Liu, Z. Removal of Boron in Aqueous Solution by Magnesium Oxide with the Hydration Process. Colloids Surfaces A Physicochem. Eng. Asp. 2023, 665, 131211. [Google Scholar] [CrossRef]
- Gao, Z.; Xie, S.; Zhang, B.; Qiu, X.; Chen, F. Ultrathin Mg-Al Layered Double Hydroxide Prepared by Ionothermal Synthesis in a Deep Eutectic Solvent for Highly Effective Boron Removal. Chem. Eng. J. 2017, 319, 108–118. [Google Scholar] [CrossRef]
- Liu, J.; Guo, X.; Yuan, J. Synthesis of Mg/Al Double-Layered Hydroxides for Boron Removal. Desalination Water Treat. 2014, 52, 1919–1927. [Google Scholar] [CrossRef]
- Kentjono, L.; Liu, J.C.; Chang, W.C.; Irawan, C. Removal of Boron and Iodine from Optoelectronic Wastewater Using Mg–Al (NO3) Layered Double Hydroxide. Desalination 2010, 262, 280–283. [Google Scholar] [CrossRef]
- Kurashina, M.; Inoue, T.; Tajima, C.; Kanezaki, E. Removal of Borate by Coprecipitation with Mg / Al Layered Double Hydroxide. Mod. Phys. Lett. B 2015, 29, 1540031. [Google Scholar] [CrossRef]
- Kameda, T.; Oba, J.; Yoshioka, T. New Treatment Method for Boron in Aqueous Solutions Using Mg–Al Layered Double Hydroxide: Kinetics and Equilibrium Studies. J. Hazard. Mater. 2015, 293, 54–63. [Google Scholar] [CrossRef] [PubMed]
- Irawan, C.; Liu, J.C.; Wu, C.-C. Removal of Boron Using Aluminum-Based Water Treatment Residuals (Al-WTRs). Desalination 2011, 276, 322–327. [Google Scholar] [CrossRef]
- Said, S.; Mikhail, S.; Riad, M. Recent Progress in Preparations and Applications of Meso-Porous Alumina. Mater. Sci. Energy Technol. 2019, 2, 288–297. [Google Scholar] [CrossRef]
- Demetriou, A.; Pashalidis, I.; Nicolaides, A.V.; Kumke, M.U. Surface Mechanism of the Boron Adsorption on Alumina in Aqueous Solutions. Desalination Water Treat. 2013, 51, 6130–6136. [Google Scholar] [CrossRef]
- Zeebe, R.E.; Sanyal, A.; Ortiz, J.D.; Wolf-Gladrow, D.A. A Theoretical Study of the Kinetics of the Boric Acid-Borate Equilibrium in Seawater. Mar. Chem. 2001, 73, 113–124. [Google Scholar] [CrossRef]
- Wang, B.; Guo, X.; Bai, P. Removal Technology of Boron Dissolved in Aqueous Solutions—A Review. Colloids Surfaces A Physicochem. Eng. Asp. 2014, 444, 338–344. [Google Scholar] [CrossRef]
- Mohapatra, M.; Anand, S. Synthesis and Applications of Nano-Structured Iron Oxides/Hydroxides—A Review. Int. J. Eng. Sci. Technol. 2011, 2, 127–146. [Google Scholar] [CrossRef]
- Lou, X.-Y.; Boada, R.; Verdugo, V.; Simonelli, L.; Pérez, G.; Valiente, M. Decoupling the Adsorption Mechanisms of Arsenate at Molecular Level on Modified Cube-Shaped Sponge Loaded Superparamagnetic Iron Oxide Nanoparticles. J. Environ. Sci. 2022, 121, 1–12. [Google Scholar] [CrossRef] [PubMed]
- Kharissova, O.V.; Dias, H.V.R.; Kharisov, B.I. Magnetic Adsorbents Based on Micro- and Nano-Structured Materials. RSC Adv. 2015, 5, 6695–6719. [Google Scholar] [CrossRef]
- Díez, A.G.; Rincón-Iglesias, M.; Lanceros-Méndez, S.; Reguera, J.; Lizundia, E. Multicomponent Magnetic Nanoparticle Engineering: The Role of Structure-Property Relationship in Advanced Applications. Mater. Today Chem. 2022, 26, 101220. [Google Scholar] [CrossRef]
- Glasgow, W.; Fellows, B.; Qi, B.; Darroudi, T.; Kitchens, C.; Ye, L.; Crawford, T.M.; Mefford, O.T. Continuous Synthesis of Iron Oxide (Fe3O4) Nanoparticles via Thermal Decomposition. Particuology 2016, 26, 47–53. [Google Scholar] [CrossRef]
- Yetgin, A.G.; Dündar, O.A.; Çakmakçı, E.; Arar, Ö. Removal of Boron from Aqueous Solution by Modified Cellulose. Biomass Convers. Biorefinery 2023, 13, 13081–13090. [Google Scholar] [CrossRef]
- Falyouna, O.; Bensaida, K.; Maamoun, I.; Ashik, U.P.M.; Tahara, A.; Tanaka, K.; Aoyagi, N.; Sugihara, Y.; Eljamal, O. Synthesis of Hybrid Magnesium Hydroxide/Magnesium Oxide Nanorods [Mg(OH)2/MgO] for Prompt and Efficient Adsorption of Ciprofloxacin from Aqueous Solutions. J. Clean. Prod. 2022, 342, 130949. [Google Scholar] [CrossRef]
- Heredia, A.C.; de la Fuente García-Soto, M.M.; Narros Sierra, A.; Mendoza, S.M.; Gómez Avila, J.; Crivello, M.E. Boron Removal from Aqueous Solutions by Synthetic MgAlFe Mixed Oxides. Ind. Eng. Chem. Res. 2019, 58, 9931–9939. [Google Scholar] [CrossRef]
- Akdağ, S.; Keyikoğlu, R.; Karagunduz, A.; Keskinler, B.; Khataee, A.; Yoon, Y. Recent Advances in Boron Species Removal and Recovery Using Layered Double Hydroxides. Appl. Clay Sci. 2023, 233, 106814. [Google Scholar] [CrossRef]
- Korkmaz, M.; Özmetin, C.; Özmetin, E.; Süzen, Y. Modelling of Boron Removal from Solutions by Ion Exchange for Column Reactor Design in Boron Mine Wastewater Treatment. Desalination Water Treat. 2020, 179, 63–74. [Google Scholar] [CrossRef]
- Torunoglu, T.G.; Burak, K.; Erdem, Y.; Bahire Filiz, S. A New Multi-Hydroxyl Methacrylate Based Adsorbent for Boron Removal from Aqueous Solutions. Sep. Sci. Technol. 2022, 57, 1702–1713. [Google Scholar] [CrossRef]
- Duran, H.; Yavuz, E.; Sismanoglu, T.; Senkal, B.F. Functionalization of Gum Arabic Including Glycoprotein and Polysaccharides for the Removal of Boron. Carbohydr. Polym. 2019, 225, 115139. [Google Scholar] [CrossRef] [PubMed]
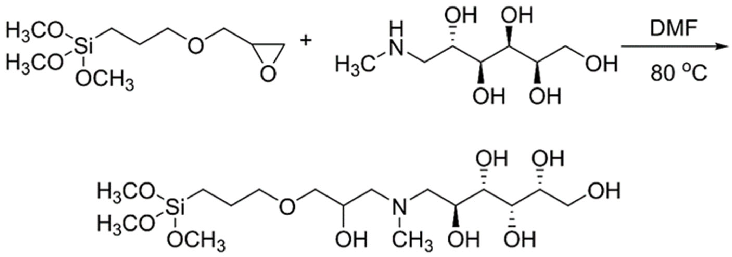
- Zhang, Y.; Liang, X.; Jiang, T.; Chen, Z.; Ji, X. Removal of Boron from Aqueous Solutions by N-Methyl-D-Glucamine@γ-Glycidoxypropyl-Trimethoxysilane with Nonwoven Basalt Fibers Support. Mater. Today Commun. 2022, 31, 103611. [Google Scholar] [CrossRef]
- Ke, Q.; Ulbricht, M. In Situ Reactive Coating of Porous Filtration Membranes with Functional Polymer Layers to Integrate Boron Adsorber Property. J. Memb. Sci. 2022, 660, 120851. [Google Scholar] [CrossRef]
- Manjunatha Reddy, G.N.; Gerbec, J.A.; Shimizu, F.; Chmelka, B.F. Nanoscale Surface Compositions and Structures Influence Boron Adsorption Properties of Anion Exchange Resins. Langmuir 2019, 35, 15661–15673. [Google Scholar] [CrossRef]
- Tural, S.; Ece, M.Ş.; Tural, B. Synthesis of Novel Magnetic Nano-Sorbent Functionalized with N-Methyl-D-Glucamine by Click Chemistry and Removal of Boron with Magnetic Separation Method. Ecotoxicol. Environ. Saf. 2018, 162, 245–252. [Google Scholar] [CrossRef]
- Oladipo, A.A.; Gazi, M. Hydroxyl-Enhanced Magnetic Chitosan Microbeads for Boron Adsorption: Parameter Optimization and Selectivity in Saline Water. React. Funct. Polym. 2016, 109, 23–32. [Google Scholar] [CrossRef]
- Oladipo, A.A.; Gazi, M. High Boron Removal by Functionalized Magnesium Ferrite Nanopowders. Environ. Chem. Lett. 2016, 14, 373–379. [Google Scholar] [CrossRef]
- Sanfeliu, C.; Martínez-Máñez, R.; Sancenón, F.; Soto, J.; Amorós, P.; Azaïs, T.; Marcos, M.D. 11B-MAS NMR Approach to the Boron Adsorption Mechanism on a Glucose-Functionalised Mesoporous Silica Matrix. Microporous Mesoporous Mater. 2018, 266, 232–241. [Google Scholar] [CrossRef]
- Tang, Y.P.; Chung, T.S.; Weber, M.; Maletzko, C. Development of Novel Diol-Functionalized Silica Particles toward Fast and Efficient Boron Removal. Ind. Eng. Chem. Res. 2017, 56, 11618–11627. [Google Scholar] [CrossRef]
- Tural, B. Separation and Preconcentration of Boron with a Glucamine Modified Novel Magnetic Sorbent. Clean-Soil Air Water 2010, 38, 321–327. [Google Scholar] [CrossRef]
- Xu, L.; Liu, Y.; Hu, H.; Wu, Z.; Chen, Q. Synthesis, Characterization and Application of a Novel Silica Based Adsorbent for Boron Removal. Desalination 2012, 294, 1–7. [Google Scholar] [CrossRef]
- Wang, J.; Bao, Z.; Xing, H.; Su, B.; Zhang, Z.; Yang, Q.; Yang, Y.; Ren, Q.; Chen, B. Incorporation of N-Methyl-d-Glucamine Functionalized Oligomer into MIL-101(Cr) for Highly Efficient Removal of Boric Acid from Water. Chem.-A Eur. J. 2016, 22, 15290–15297. [Google Scholar] [CrossRef] [PubMed]
- Li, X.; Liu, R.; Wu, S.; Liu, J.; Cai, S.; Chen, D. Efficient Removal of Boron Acid by N-Methyl-d-Glucamine Functionalized Silica-Polyallylamine Composites and Its Adsorption Mechanism. J. Colloid Interface Sci. 2011, 361, 232–237. [Google Scholar] [CrossRef]
- Zhang, X.; Wang, J.; Chen, S.; Bao, Z.; Xing, H.; Zhang, Z.; Su, B.; Yang, Q.; Yang, Y.; Ren, Q. A Spherical N-Methyl-D-Glucamine-Based Hybrid Adsorbent for Highly Efficient Adsorption of Boric Acid from Water. Sep. Purif. Technol. 2017, 172, 43–50. [Google Scholar] [CrossRef]
- Moorthy, M.S.; Seo, D.-J.; Song, H.-J.; Park, S.S.; Ha, C.-S. Magnetic Mesoporous Silica Hybrid Nanoparticles for Highly Selective Boron Adsorption. J. Mater. Chem. A 2013, 1, 12485. [Google Scholar] [CrossRef]
- Hong, M.; Li, D.; Wang, B.; Zhang, J.; Peng, B.; Xu, X.; Wang, Y.; Bao, C.; Chen, J.; Zhang, Q. Cellulose-Derived Polyols as High-Capacity Adsorbents for Rapid Boron and Organic Pollutants Removal from Water. J. Hazard. Mater. 2021, 419, 126503. [Google Scholar] [CrossRef] [PubMed]
- Luo, Q.; Wang, Y.; Li, L.; Huang, X.; Cheng, Z.; Wang, X.; He, L. Hydrothermal Synthesis of Hydroxyl Terminated Polymer Boron Adsorbents. J. Solid State Chem. 2021, 296, 121977. [Google Scholar] [CrossRef]
- Cyganowski, P.; Şen, F.; Altıok, E.; Wolska, J.; Bryjak, M.; Kabay, N.; Arda, M.; Yüksel, M. Surface-Activated Chelating Resins Containing N-Methyl-D-Glucamine Functional Groups for Desalination of Geothermal Water Aimed for Removal of Boron and Arsenic. Solvent Extr. Ion Exch. 2021, 39, 584–603. [Google Scholar] [CrossRef]
- Liao, X.; Zhang, Q. Mesoporous Polymer Nanosponges Immobilized with Functional Polyols for Rapid Removal of Boric Acid and Organic Micropollutants. ACS Appl. Polym. Mater. 2019, 1, 2089–2098. [Google Scholar] [CrossRef]
- Wu, Q.; Liu, M.; Wang, X. A Novel Chitosan Based Adsorbent for Boron Separation. Sep. Purif. Technol. 2019, 211, 162–169. [Google Scholar] [CrossRef]




| Adsorbents | Adsorption Capacity (mg/g) | Particle Size (μm) | Reference |
|---|---|---|---|
| CL-RESIN | 8.4 | 722–855 | [36] |
| NCL-RESIN | 8.6 | 710–845 | [36] |
| IRA 743-RESIN | 10.9 | 550–700 | [36] |
| P(GMA-co-TRIM)-EN-PG | 29.2 | <241 | [37] |
| P(GMA-co-TRIM)-TETA-PG | 23.3 | <273 | [37] |
| CL-MCM-41 | 19.5 | - | [38] |
| NCL-MCM-41 | 16.7 | - | [38] |
| T-RESIN | 21.3 | - | [39] |
| Adsorbent | Surface Area (m2/g) | Adsorption Capacity (mg/g) | Temperature (°C) | Contact Time (h) | pH | Ref. |
|---|---|---|---|---|---|---|
| Al2O3 | 150 | 0.35 at 15 mg/L B concentration | 25 | 72 | 8 | [46] |
| - | 0.65 at 50 mg/L B concentration | 25 | 0.5 | 8–8.5 | [47] | |
| 250 | 138.50 * | 25 | 2 | 8.0 | [48] | |
| 169 | 0.43 * | 22 ± 3 | 8.5 | [49] | ||
| - | 6.38 * | 20 | 72 | 8 | [50] | |
| 150 | 25.86 * | 35 | 24 | 10 | [51] | |
| Fe(O)OH | - | 0.32 * | 22 | 72 | 8 | [52] |
| Fe3O4 | - | 0.26 at 21,622 mg/L B concentration | 22 | 48 | 6 | [53] |
| 107 | 49.41 at 7567.7 mg/L B concentration | 45 | 1.5 | 7 | [54] | |
| MgO | 4.8 | 232.44 * | 60 | 24 | <8 | [55] |
| 168 | 87.03 * | 90 | 3 | 10 | [56] | |
| 15 | 5.4 * | RT | 0.5 | <8 | [57] | |
| - | 54.2 * | RT | 48 | 9.5–10.5 | [58] | |
| 165 | 27.3 at 500 mg/L B concentration | - | 1 | 7 | [59] | |
| 280 | 202.43 * | 25 | 6 | 9 | [60] | |
| Mixed oxides | 213 | 77.84 * | 25 | - | 7 | [61] |
| - | 33 at 21,622 mg/L B concentration | 90 | 3 | 9 | [62] | |
| 10 | 37.90 * | RT | 4 | 9 | [63] | |
| - | 25 * | - | - | 10 | [64] | |
| - | 41.08 * | 30 | 2 | 10 | [65] | |
| 40.5 | 0.98 * | RT | 24 | 8.2–8.5 | [66] | |
| 34.6 | 0.70 * | |||||
| 14.5 | 0.19 * |
| Adsorbents | Adsorption Capacity (mg/g) | Isotherm and Adsorption Kinetic Models | Ref. |
|---|---|---|---|
| Magnetic nanoparticles attached to NMDG | 13.4 * | Langmuir, pseudo-second-order | [86] |
| Glycidol-modified magnetic chitosan beads (MCG) | 128.5 * | Redlich–Peterson, pseudo-second-order | [87] |
| Magnesium ferrite magnetic with polyvinyl alcohol | 45.5 at 100 mg/L | - | [88] |
| Magnesium ferrite magnetic with glycidol | 68.9 at 100 mg/L | - | [88] |
| Alginate–alumina (CAAl) | 56.2 * | Langmuir, pseudo-second-order | [50] |
| Silica matrix with gluconamide moieties | 20.0 * | Langmuir–Freundlich model | [89] |
| Diol-functionalized silica particles | 57.09 * | Sips, pseudo-second-order | [90] |
| NMDG-modified magnetic microparticles | 0.02 at 0.9 mg/L | - | [91] |
| Silica-supported NMDG | 16.7 * | Freundlich, pseudo-second-order | [92] |
| Poly(Si-NMDG)@MIL-101(Cr) | 24.8 * | Langmuir | [93] |
| Silica–polyallylamine composites grafting NMDG | 16.8 * | Freundlich, chemical reaction | [94] |
| N-methyl-d-glucamine-based hybrid | 21.8 * | Langmuir | [95] |
| Fe3O4@SiO2 functionalized with glycidol | 25.6 * | Langmuir | [96] |
Disclaimer/Publisher’s Note: The statements, opinions and data contained in all publications are solely those of the individual author(s) and contributor(s) and not of MDPI and/or the editor(s). MDPI and/or the editor(s) disclaim responsibility for any injury to people or property resulting from any ideas, methods, instructions or products referred to in the content. |
© 2023 by the authors. Licensee MDPI, Basel, Switzerland. This article is an open access article distributed under the terms and conditions of the Creative Commons Attribution (CC BY) license (https://creativecommons.org/licenses/by/4.0/).
Share and Cite
Lou, X.-Y.; Yohai, L.; Boada, R.; Resina-Gallego, M.; Han, D.; Valiente, M. Effective Removal of Boron from Aqueous Solutions by Inorganic Adsorbents: A Review. Molecules 2024, 29, 59. https://doi.org/10.3390/molecules29010059
Lou X-Y, Yohai L, Boada R, Resina-Gallego M, Han D, Valiente M. Effective Removal of Boron from Aqueous Solutions by Inorganic Adsorbents: A Review. Molecules. 2024; 29(1):59. https://doi.org/10.3390/molecules29010059
Chicago/Turabian StyleLou, Xiang-Yang, Lucia Yohai, Roberto Boada, Montserrat Resina-Gallego, Dong Han, and Manuel Valiente. 2024. "Effective Removal of Boron from Aqueous Solutions by Inorganic Adsorbents: A Review" Molecules 29, no. 1: 59. https://doi.org/10.3390/molecules29010059
APA StyleLou, X.-Y., Yohai, L., Boada, R., Resina-Gallego, M., Han, D., & Valiente, M. (2024). Effective Removal of Boron from Aqueous Solutions by Inorganic Adsorbents: A Review. Molecules, 29(1), 59. https://doi.org/10.3390/molecules29010059

