Cape Gooseberry (Physalis peruviana L.) Volatile Compounds Determination by Vacuum-Assisted Sorbent Extraction (VASE)—Selected Aspects
Abstract
1. Introduction
2. Results and Discussion
2.1. Influence of Sample Size on Volatile Compounds
2.2. Influence of Extraction Temperature and Time on Volatile Compounds
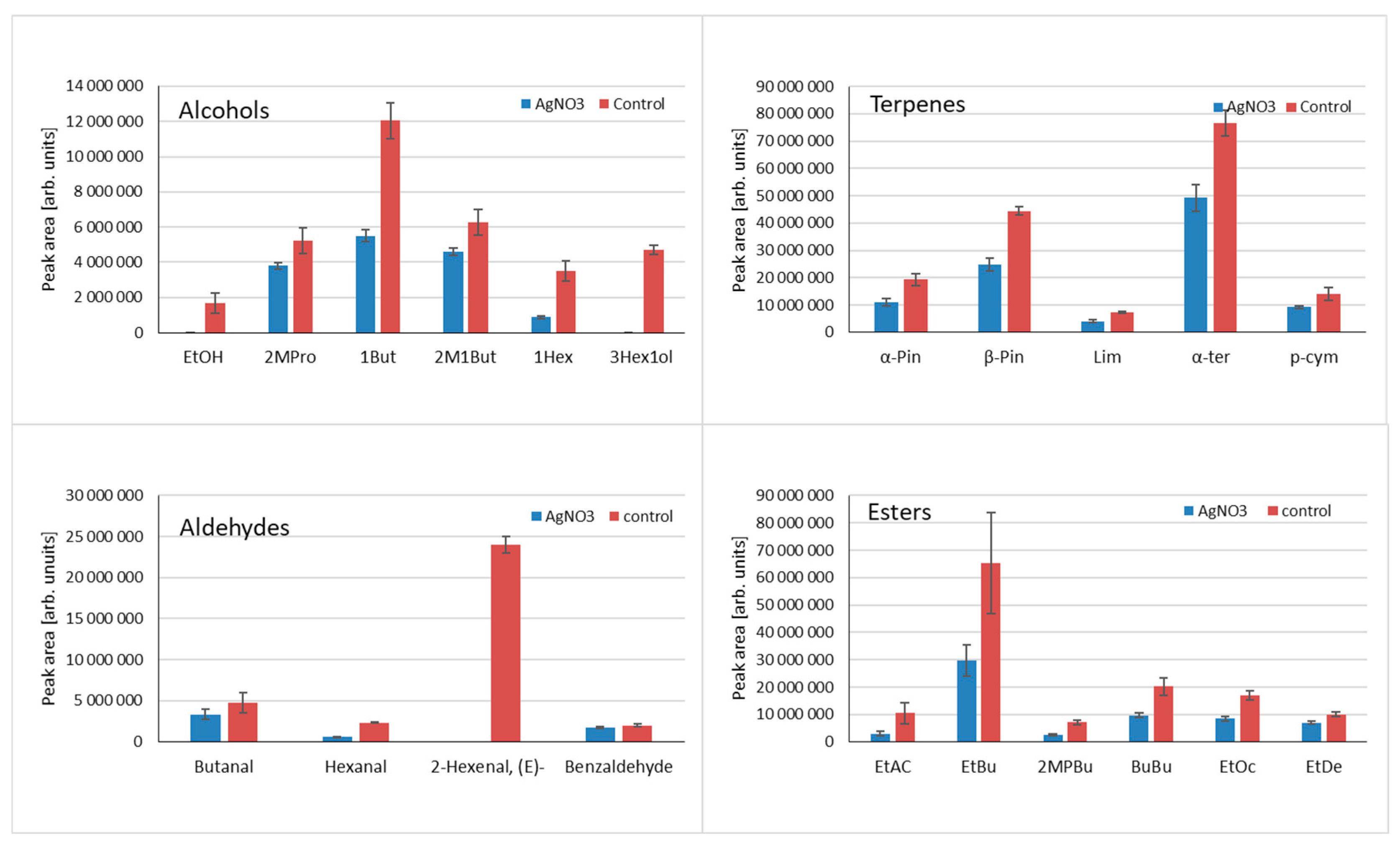
2.3. Influence of Tissue Treatment on Volatile Compounds
2.4. Quantitative Aspects
3. Materials and Methods
3.1. Analytical Equipment
3.2. Sample Preparation and VASE Extraction
4. Conclusions
Author Contributions
Funding
Institutional Review Board Statement
Informed Consent Statement
Data Availability Statement
Conflicts of Interest
References
- Jeleń, H.H.; Gaca, A.; Marcinkowska, M. Use of Sorbent-Based Vacuum Extraction for Determination of Volatile Phenols in Beer. Food Anal. Methods 2018, 11, 3089–3094. [Google Scholar] [CrossRef]
- Jeleń, H.H.; Marcinkowska, M.A.; Marek, M. Determination of volatile terpenes in coriander cold-pressed oil by Vacuum Assisted Sorbent Extraction (VASE). Molecules 2021, 26, 884. [Google Scholar] [CrossRef] [PubMed]
- Trujillo-Rodríguez, M.J.; Anderson, J.L.; Dunham, S.J.B.; Noad, V.L.; Cardin, D.B. Vacuum-assisted sorbent extraction: An analytical methodology for the determination of ultraviolet filters in environmental samples. Talanta 2020, 208, 120390. [Google Scholar] [CrossRef] [PubMed]
- Paiva, A.C.; Crucello, J.; de Aguiar Porto, N.; Hantao, L.W. Fundamentals of and recent advances in sorbent-based headspace extraction. Trends Anal. Chem. 2021, 139, 116252. [Google Scholar] [CrossRef]
- Solomou, N.; Bicchi, C.; Sgorbini, B.; Psillakis, E. Vacuum-assisted headspace sorptive extraction: Theoretical considerations and proof-of-concept extraction of polycyclic aromatic hydrocarbons from water samples. Anal. Chim. Acta 2020, 1096, 100–107. [Google Scholar] [CrossRef] [PubMed]
- Yiantzi, E.; Murtada, K.; Terzidis, K.; Pawliszyn, J.; Psillakis, E. Vacuum-assisted headspace thin-film microextraction: Theoretical formulation and method optimization for the extraction of polycyclic aromatic hydrocarbons from water samples. Anal. Chim Acta 2022, 1189, 339217. [Google Scholar] [CrossRef] [PubMed]
- Puente, L.A.; Pinto-Muñoz, C.A.; Castro, E.S.; Cortés, M. Physalis peruviana Linnaeus, the multiple properties of a highly functional fruit: A review. Food Res. Int. 2011, 44, 1733–1740. [Google Scholar] [CrossRef]
- Olivares-Tenoria, M.-L.; Dekker, M.; Verkerk, R.; van Boekel, M.A.J.S. Health-promoting compounds in cape gooseberry (Physalis peruviana L.): Review from a supply chain perspective. Trends Food Sci. Technol. 2016, 57, 83–92. [Google Scholar] [CrossRef]
- Olivares—Tenorio, M.-L.; Dekker, M.; van Boekel, A.J.S.; Verkerk, R. Evaluating the effect of storage conditions on the shelf life of cape gooseberry (Physalis peruviana L.). LWT—Food Sci. Technol. 2017, 80, 523–530. [Google Scholar] [CrossRef]
- Hassanien, M.F.R. Physalis peruviana: A rich source of bioactive phytochemicals for functional foods and Pharmaceuticals. Food Rev. Int. 2011, 27, 259–273. [Google Scholar] [CrossRef]
- Ramadan, M.F. Bioactive phytochemicals, nutritional value and functional properties of cape gooseberry (Physalis peruviana): An overview. Food Res. Int. 2011, 44, 1830–1836. [Google Scholar] [CrossRef]
- Yildiz, G.; Izli, N.; Unal, H.; Uylaser, V. Physical and chemical characteristics of goldenberry fruit (Physalis peruviana L.). J. Food Sci. Technol. 2015, 52, 2320–2327. [Google Scholar] [CrossRef] [PubMed]
- Llano, S.M.; Muñoz-Jiménez, A.M.; Jiménez-Cartagena, C.; Londoño-Londoño Medina, S. Untargeted metabolomics reveals specific withanolides and fatty acyl glycoside as tentative metabolites to differentiate organic and conventional Physalis peruviana fruits. Food Chem. 2018, 244, 120–127. [Google Scholar] [CrossRef]
- Ballesteros–Vivas, D.; Alvares–Rivera, G.; Ibáñez, E.; Parada-Alfonso, F.; Cifuentes, A. A multi-analytical platform based on pressurized liquid extraction, in vivo assays and liquid chromatography/gas chromatography coupled to high resolution mass spectrometry for food by-products valorization. Part 2: Characterization of bioactive compounds from goldenberry (Physalis peruviana L.) calyx extracts using hyphenated techniques. J. Chromatogr. A 2018, 1584, 144–154. [Google Scholar] [CrossRef]
- Ballesteros–Vivas, D.; Alvares–Rivera, G.; Sanchez–Camargo, A.; Ibáñez, E.; Parada-Alfonso, F.; Cifuentes, A. A multi-analytical platform based on pressurized liquid extraction, in vivo assays and liquid chromatography/gas chromatography coupled to high resolution mass spectrometry for food by-products valorization. Part 1: Withanolides–rich fractions from goldenberry (Physalis peruviana L.) calyces obtained after extraction optimization as case study. J. Chromatogr. A. 2018, 1584, 155–164. [Google Scholar] [CrossRef] [PubMed]
- Wu, S.J.; Ng, L.T.; Lin, D.L.; Wang, S.S.; Lin, C.C. Physalis peruviana extract induces apoptosis in human Hep G2 cells through CD95/CD95L system and the mitochondrial signaling transduction pathway. Cancer Lett. 2004, 215, 199–208. [Google Scholar] [CrossRef] [PubMed]
- Ramadan, M.F.; Moersel, J.T. Impact of enzymatic treatment on chemical composition, physicochemical properties and radical scavenging activity of goldenberry (Physalis peruviana L.) juice. J. Sci. Food Agr. 2007, 87, 452–460. [Google Scholar] [CrossRef]
- Ramadan, M.M.; El-Ghorab, A.H.; Ghanem, K.Z. Volatile compounds, antioxidants, and anticancer activities of Cape gooseberry fruit (Physalis peruviana L.): An in-vitro study. J. Arab Soc. Med. Res. 2015, 10, 56–64. [Google Scholar] [CrossRef]
- Mayorga, H.; Knapp, H.; Winterhalter, P.; Duque, C. Glycosidically bound flavour compounds of cape gooseberry (Physalis peruviana L.). J. Agric. Food Chem. 2001, 49, 1904–1908. [Google Scholar] [CrossRef]
- Berger, R.G.; Drawert, F.; Kollmannsberger, H. The flavour of cape gooseberry (Physalis peruviana L.). Z. Lebensm. Unters. Forsch. 1989, 188, 122–126. [Google Scholar] [CrossRef]
- Yilmaztekin, M. Characterization of potent aroma compounds of cape gooseberry (Physalis Peruviana L.) fruits grown in Antalya through the determination of odor activity values. Int. J. Food Prop. 2014, 17, 469–480. [Google Scholar] [CrossRef][Green Version]
- Yilmaztekin, M. Analysis of volatile components of cape gooseberry (Physalis peruviana L.) grown in Turkey by HS-SPME and GC-MS. Sci. World J. 2014, 2014, 796097. [Google Scholar] [CrossRef] [PubMed]
- Pareda, M.S.B.; Nazareno, M.A.; Viturro, C.I. Volatile compound profile and sensory features of cape gooseberry (Physalis peruviana Linnaeus): Comparative study between cultivated and wild fruits. Eur. Food Res. Technol. 2023, 249, 1007–1021. [Google Scholar] [CrossRef]
- Laaks, J.; Jochmann, A.M.; Schilling, B.; Schmidt, T.C. Optimization strategies of in-tube extraction (ITEX) methods. Anal. Bioanal. Chem. 2015, 407, 6827–6838. [Google Scholar] [CrossRef]
- Kupska, M.; Jeleń, H.H. In-tube extraction for the determination of the main volatile compounds in Physalis peruviana L. J. Sep. Sci. 2017, 40, 532–541. [Google Scholar] [CrossRef]
- Majcher, M.; Scheibe, M.; Jeleń, H.H. Identifcation of odor active compounds in Physalis peruviana L. Molecules 2020, 25, 25020245. [Google Scholar] [CrossRef] [PubMed]
- Sgorbini, B.; Cagliero, C.; Liberto, E.; Rubiolo, P.; Bicchi, C.; Cordero, C. Strategies for accurate quantitation of volatiles from foods and plant-origin materials: A challenging task. J. Agric. Food Chem. 2019, 67, 1619–1630. [Google Scholar] [CrossRef]
- Cordero, C.; Guglietmetti, A.; Sgorbini, B.; Bicchi, C.; Allegrucci, E.; Gobino, G.; Baroux, L.; Merle, P. Odorants quantitation in high-quality cocoa by multiple headspace solid phase microextraction: Adoption of FID-predicted response factors to extend method capabilities and information potential. Anal. Chim. Acta 2019, 1052, 190–201. [Google Scholar] [CrossRef] [PubMed]
- Jeleń, H.H.; Gracka, A. Analysis of black pepper volatiles by solid phase microextraction–gas chromatography: A comparison of terpenes profiles with hydrodistillation. J. Chromatogr. A 2015, 1418, 200–209. [Google Scholar] [CrossRef]
- Wieczorek, M.N.; Pieczywek, P.M.; Cybulska, J.; Zdunek, A.; Jeleń, H.H. Chemical changes in the broccoli volatilome depending on the tissue treatment. Molecules 2022, 27, 500. [Google Scholar] [CrossRef]
- Marcinkowska, M.; Jeleń, H.H. Inactivation of thiolucosidase from Sinapis alba (White mustard) seeds by metal salts. Molecules. 2020, 25, 4363. [Google Scholar] [CrossRef] [PubMed]
- Sarry, J.-E.; Günata, Z. Plant and microbial glucoside hydrolases: Volatile release from glycosidic aroma precursors. Food Chem. 2004, 87, 509–521. [Google Scholar] [CrossRef]
- Winterhalter, P. Bound terpenoids in the juice of purple passion fruit. J. Agric. Food Chem. 1990, 38, 452–455. [Google Scholar] [CrossRef]






| Rt [min.] | Compound | LogP | Linearity [R2] * | RSD ** | Amount [µg/kg] |
|---|---|---|---|---|---|
| 3.057 | 2-methylpropanal | 0.740 | 0.9994 | 14.8 | 117 |
| 7.258 | Pentanal | 1.423 | 0.9971 | 20.4 | 43 |
| 8.151 | α-pinene | 4.830 | 0.9438 | 3.4 | 748 |
| 8.700 | Ethyl butanoate | 1.804 | 0.9995 | 12.9 | 106 |
| 9.702 | Hexanal | 1.780 | 0.9980 | 15.8 | 130 |
| 10.071 | β-pinene | 4.366 | 0.9996 | 7.6 | 28 |
| 10.878 | 1-butanol | 0.880 | 0.9713 | 4.6 | 1881 |
| 11.273 | β-myrcene | 4.170 | 0.9978 | 16.3 | 111 |
| 11.288 | α-phellandrene | 4.408 | 0.9767 | 6.3 | 326 |
| 11.969 | Limonene | 4.380 | 0.9994 | 7.4 | 55 |
| 11.998 | 2-methyl-1-butanol | 1.280 | 0.9970 | 5.9 | 932 |
| 12.134 | Eucalyptol | 2.740 | 0.9987 | 14.9 | 45 |
| 12.569 | Ethyl hexanoate | 2.823 | 0.9910 | 16.5 | 149 |
| 12.841 | Ocimene | 4.700 | 0.9987 | 6.1 | 21 |
| 13.243 | p-cymene | 4.100 | 0.9972 | 11.7 | 58 |
| 13.430 | α-terpinolene | 3.280 | 0.9916 | 13.4 | 152 |
| 14.345 | 1-hexanol | 2.030 | 0.9965 | 11.8 | 234 |
| 15.659 | Ethyl octanoate | 3.842 | 0.9964 | 15.1 | 5.8 |
| 17.005 | Linalool | 2.970 | 0.9929 | 8.4 | 134 |
| 17.094 | Benzaldehyde | 1.480 | 0.9995 | 6.8 | 61 |
| 17.966 | Terpinene-4-ol | 3.260 | 0.9998 | 10.4 | 232 |
| 18.264 | Ethyl decanoate | 4.861 | 0.9920 | 14.5 | 18 |
Disclaimer/Publisher’s Note: The statements, opinions and data contained in all publications are solely those of the individual author(s) and contributor(s) and not of MDPI and/or the editor(s). MDPI and/or the editor(s) disclaim responsibility for any injury to people or property resulting from any ideas, methods, instructions or products referred to in the content. |
© 2024 by the authors. Licensee MDPI, Basel, Switzerland. This article is an open access article distributed under the terms and conditions of the Creative Commons Attribution (CC BY) license (https://creativecommons.org/licenses/by/4.0/).
Share and Cite
Jeleń, H.H.; Marcinkowska, M. Cape Gooseberry (Physalis peruviana L.) Volatile Compounds Determination by Vacuum-Assisted Sorbent Extraction (VASE)—Selected Aspects. Molecules 2024, 29, 3477. https://doi.org/10.3390/molecules29153477
Jeleń HH, Marcinkowska M. Cape Gooseberry (Physalis peruviana L.) Volatile Compounds Determination by Vacuum-Assisted Sorbent Extraction (VASE)—Selected Aspects. Molecules. 2024; 29(15):3477. https://doi.org/10.3390/molecules29153477
Chicago/Turabian StyleJeleń, Henryk H., and Monika Marcinkowska. 2024. "Cape Gooseberry (Physalis peruviana L.) Volatile Compounds Determination by Vacuum-Assisted Sorbent Extraction (VASE)—Selected Aspects" Molecules 29, no. 15: 3477. https://doi.org/10.3390/molecules29153477
APA StyleJeleń, H. H., & Marcinkowska, M. (2024). Cape Gooseberry (Physalis peruviana L.) Volatile Compounds Determination by Vacuum-Assisted Sorbent Extraction (VASE)—Selected Aspects. Molecules, 29(15), 3477. https://doi.org/10.3390/molecules29153477

