Next Article in Journal
Interfacial Rheological Investigation of Modified Silica Nanoparticles with Different Alkyl Chain Lengths at the n-Octane/Water Interface
Previous Article in Journal
Spatial Mapping of Bioactive Metabolites in the Roots of Three Bupleurum Species by Matrix-Assisted Laser Desorption/Ionization Mass Spectrometry Imaging
Previous Article in Special Issue
Adsorption of Bichromate and Arsenate Anions by a Sorbent Based on Bentonite Clay Modified with Polyhydroxocations of Iron and Aluminum by the “Co-Precipitation” Method
 
 
Font Type:
Arial Georgia Verdana
Font Size:
Aa Aa Aa
Line Spacing:
Column Width:
Background:
Article

Engineering In-Co3O4/H-SSZ-39(OA) Catalyst for CH4-SCR of NOx: Mild Oxalic Acid (OA) Leaching and Co3O4 Modification

1
State Key Laboratory of Urban Water Resource and Environment, Shenzhen Key Laboratory of Organic Pollution and Control, School of Civil and Environmental Engineering, Harbin Institute of Technology, Shenzhen 518055, China
2
Guangdong Provincial Key Laboratory of Nano-Micro Materials Research, School of Advanced Materials, Peking University Shenzhen Graduate School (PKUSZ), Shenzhen 518055, China
*
Authors to whom correspondence should be addressed.
These authors contributed equally to this work.
Molecules 2024, 29(16), 3747; https://doi.org/10.3390/molecules29163747
Submission received: 15 June 2024 / Revised: 24 July 2024 / Accepted: 5 August 2024 / Published: 7 August 2024
(This article belongs to the Special Issue Zeolites and Porous Materials: Synthesis, Properties and Applications)

Abstract

Zeolite-based catalysts efficiently catalyze the selective catalytic reduction of NOx with methane (CH4-SCR) for the environmentally friendly removal of nitrogen oxides, but suffer severe deactivation in high-temperature SO2- and H2O-containing flue gas. In this work, SSZ-39 zeolite (AEI topology) with high hydrothermal stability is reported for preparing CH4-SCR catalysts. Mild acid leaching with oxalic acid (OA) not only modulates the Si/Al ratio of commercial SSZ-39 to a suitable value, but also removes some extra-framework Al atoms, introducing a small number of mesopores into the zeolite that alleviate diffusion limitation. Additional Co3O4 modification during indium exchange further enhances the catalytic activity of the resulting In-Co3O4/H-SSZ-39(OA). The optimized sample exhibits remarkable performance in CH4-SCR under a gas hourly space velocity (GHSV) of 24,000 h−1 and in the presence of 5 vol% H2O. Even under harsh SO2- and H2O-containing high-temperature conditions, it shows satisfactory stability. Catalysts containing Co3O4 components demonstrate much higher CH4 conversion. The strong mutual interaction between Co3O4 and Brønsted acid sites, confirmed by the temperature-programmed desorption of NO (NO-TPD), enables more stable NxOy species to be retained in In-Co3O4/H-SSZ-39(OA) to supply further reactions at high temperatures.

1. Introduction

The selective catalytic reduction of NOx with CH4 (CH4-SCR) has attracted considerable interest because it is capable of simultaneously abating harmful NOx and unburned CH4 emissions from vehicle and power plant exhaust [1]. Metal-exchanged zeolite catalysts with relatively high catalytic activity over a wide temperature range are extensively studied in the CH4-SCR reaction. However, they suffer from poor hydrothermal stability, exhibiting a considerable activity decrease in the presence of high-temperature water vapor, especially those that are Al-rich and have large pores [2,3,4,5,6,7,8,9,10]. In the NH3-SCR field where ammonia is employed as a reducing agent, Cu-exchanged small-pore SSZ-13 zeolites (CHA topology) have been implemented as a new-generation catalyst in diesel after-treatment systems due to their high deNOx activity and good hydrothermal stability [11]. Recently, an alternative small-pore SSZ-39 zeolite (AEI topology), which has a different connection mode of neighboring double six-ring (d6r), demonstrated even better hydrothermal stability in NH3-SCR reactions [12]. Superior hydrothermal stability is a crucial requirement for a favorable CH4-SCR reaction, as it usually occurs at a relatively high temperature and the real exhaust always contains a certain amount of water vapor, exposing the catalyst to hydrothermal conditions during operation [13].
In our previous studies, we synthesized indium-exchanged zeolites for CH4-SCR and discovered that the framework type [14] and Si/Al ratio [15] of zeolites affected deNOx performance. The Si/Al ratio of a zeolite remarkably affects its acidity and stability. Zeolites with low Si/Al ratios possess abundant Brønsted acid sites (BASs, formed by protons compensating the negatively charged O atoms induced by the substitution of Si atoms by AlIV atoms in the framework) serving as ion-exchange/active sites, but are more susceptible to dealumination under high-temperature hydrothermal conditions [12,16,17,18]. Steaming and/or acid leaching is an effective method for the selective extraction of Al atoms from the zeolite framework, enabling the convenient decrease of excessive acid densities and the modulation of Si/Al ratios [19]. Maintaining sufficiently enough exchangeable sites and zeolite integrity, however, needs to be considered in the dealumination treatment. Thus, carefully manipulating the mild dealumination of Al-rich zeolite is highly desirable so as to simultaneously achieve medium acidity and the preferred durability.
In the present work, commercial Al-rich H-SSZ-39 was dealuminated with oxalic acid (OA) and ion-exchanged with an indium nitrate aqueous solution to obtain In/H-SSZ-39(OA), exhibiting excellent deNOx activity in a dry CH4-SCR reaction. Although the Pristine SSZ-39 showed negligible deNOx activity after In exchange, the introduction of mild dealumination via weak acid etching prior to In exchange greatly improved the catalytic performance in the CH4-SCR reaction. Moreover, introducing a small amount of Co3O4 fine powder into the indium nitrate solution further enhanced the deNOx activity of the resulting In-Co3O4/H-SSZ-39(OA) catalysts. The efficacy of mild acid etching post-treatment and Co3O4 modification was tentatively illustrated based on comprehensive catalyst structure and reaction pathway analysis. 27Al and 29Si NMR, XRD, and N2 adsorption–desorption were conducted to characterize the zeolite framework structure changes. Microscopy, XPS, NH3-TPD, and NO-TPD were used to investigate the In/Co distributions, surface acid sites, and active intermediate NxOy species.

2. Results and Discussion

2.1. Catalytic Activity

2.1.1. CH4-SCR Activity of In/H-SSZ-39(OA) Catalysts

The catalytic activity of In-exchanged Pristine H-SSZ-39 (In/H-SSZ-39) and a series of In/H-SSZ-39(OA) catalysts in CH4-SCR reaction was investigated. In-free Pristine H-SSZ-39 and H-SSZ-39(OA) samples were also tested for CH4-SCR reaction; however, they showed quite low deNOx activity (Figure S1a), indicating that the introduced indium species acted as the active component of the catalysts. As shown in Figure 1a, In/H-SSZ-39 without acid pretreatment exhibited very limited activity with <15% NOx conversion at 550 °C, while In/H-SSZ-39(OA) catalysts demonstrated considerably enhanced activity with >40% NOx conversion at 550 °C. Among them, the catalyst sample made from H-SSZ-39 etched with 1.0 M OA solution showed the highest NOx conversion (∼60% at 550 °C). Elevating the reaction temperature above 550 °C declined NOx conversion due to the non-selective oxidation of CH4, evidenced by the significantly enhanced CH4 conversion above 550 °C in Figure 1d–f and the dramatic difference between the CH4 selectivities at 550 °C and 600 °C in Figure 1g–i. Too low or high a concentration of OA led to an insignificant or excessive etching effect, detrimental to the CH4-SCR activity. Thus, the OA concentration in the SSZ-39 dealumination step was fixed at 1.0 M, and the effects of etching time and etching temperature were further investigated. As for the etching time, 4 h was found to be optimal (Figure 1b,e). The etching time of 2 h only slightly enhanced the deNOx activity of the catalyst. Extending the etching time to more than 4 h led to a gradual decrease in catalytic activity, and at the extreme of 10 h, the extensive etching yielded a low-efficiency catalyst that showed even more inferior performance than the In/H-SSZ-39 sample without etching pretreatment. A reasonable explanation could be that as etching proceeded, massive dealumination resulted in reduced exchangeable sites for In species in SSZ-39 zeolite and collapsed the zeolite framework. Compared to the significant effect of etching time, the etching temperature only have a minor effect on the catalytic activity, with the sample etched at 80 °C being slightly better than the others (Figure 1c,f).

2.1.2. CH4-SCR Activity of In-Co3O4/H-SSZ-39(OA) Catalysts

Previous studies have demonstrated that introducing small amounts of metal oxides (especially, Co3O4) into In-exchanged zeolite catalytic systems can improve CH4-SCR activity under harsh SO2- and H2O-containing conditions [20,21]. Therefore, small amounts of Co3O4 were dispersed during the In-exchange process on optimally acid-etched H-SSZ-39, with pretreatment using 1.0 M of OA at 80 °C for 4 h. The Co3O4-modifying amount for preparing In/H-SSZ-39(OA) catalysts (denoted as In-Co3O4/H-SSZ-39(OA)) in wet CH4-SCR reaction was investigated, as shown in the comparative catalytic activities (Figure 2a,b). Modification with trace amounts of Co3O4 (Co3O4 to zeolite mass ratio between 1/30–1/50) significantly boosted the highest NOx conversion to >70% and facilitated CH4 conversion even in the presence of 5 vol% H2O. The In-free sample of Co3O4/H-SSZ-39(OA) demonstrated boosted CH4 conversion compared to H-SSZ-39(OA) (Figure S1b), further proving that Co3O4 could promote CH4 conversion. Moreover, its negligible CH4-SCR activity (Figure S1a) signified that Co3O4 did not serve as a second active center responsible for NOx reduction but rather acted as a promoter. The highest NOx conversion over In/H-SSZ-39(OA) occurred at higher temperatures (∼600 °C), and the optimal amount of Co3O4 was determined to be 30:1, for this sample exhibited the highest NOx conversion of ∼83% (Figure 2a). The Co3O4-modified catalysts demonstrated higher NOx and CH4 conversion compared to Co3O4-free sample. Elevating the Co3O4 amount with a masszeolite: mass e r r o r t y p e c e C o 3 O 4 ratio from 1:50 to 1:30 greatly enhanced NOx and CH4 conversions. A further increase in Co3O4 amount obviously lowered the NOx conversion. The CH4 conversions over In-Co3O4/H-SSZ-39(OA) catalysts under wet conditions were even higher than those of Co3O4-free ones under dry conditions (Figure 1d–f). The sample modified by the largest amount of Co3O4 (5:1) exhibited the highest CH4 conversion at 400–650 °C, but demonstrated the worst NOx conversion at a temperature range of 550–650 °C in CH4-SCR reaction, which was presumably related to the non-selective oxidation of methane catalyzed by excessive Co3O4 (Figure S2).
An In-Co3O4/H-SSZ-39(OA) catalyst prepared using the optimized OA etching conditions (0.1 M OA, 80 °C, 4 h) and Co3O4 dosage (Co3O4: H-SSZ-39(OA) mass ratio of 1:30) was tested under different CH4-SCR reaction conditions, as shown in Figure S3. Operation parameters including O2 concentration, CH4/NO ratio, H2O concentration, and GHSV all affected NOx and CH4 conversions as well as CH4 selectivity, with the effect of GHSV being most significant. Under a GHSV of 12,000 h−1, the highest NOx conversion of ∼88% occurred at 600 °C. The deNOx activity and CH4 selectivity roughly showed an increasing and then decreasing trend with O2 concentration, with the turning point occurring at an O2 concentration of 10 vol%. Higher CH4/NO ratios resulted in declined CH4 selectivity but slightly improved deNOx activity. The high concentration of water vapor adversely affected the catalyst, as evidenced by the continuously decreasing NOx conversion and CH4 selectivity with higher water vapor concentrations, while the CH4 conversion was largely unaffected. The tolerance to SO2 was also tested, and the In-Co3O4/H-SSZ-39(OA) catalyst maintained its high activity when the SO2 concentration was 50 ppm and 5 vol% water vapor was present (Figure S4). Therefore, even being operated under SO2- and H2O-containing conditions, the In-Co3O4/H-SSZ-39(OA) catalyst demonstrated excellent recyclability. The maximum NOx conversion of the catalyst in the third TPSR test was ∼50%, which was only ∼20% lower than that in the first test (Figure 2c). The catalyst also showed high stability, as shown in Figure 2d, the NOx conversion over the In-Co3O4/H-SSZ-39(OA) catalyst showed a slow downward trend for the first four hours and then gradually stabilized afterwards (∼55% at 600 °C). SO2 poisoning is mostly associated with the formation of sulphate species under oxidizing conditions [22], whereas H2O vapor usually led to the aggregation and sintering of active sites in the zeolite-based catalysts, forming weakly active or inactive metal oxide clusters [23,24].

2.2. Catalyst Characterization

2.2.1. Microscopy

In the SEM images of Pristine H-SSZ-39 (Figure 3a), cuboid particles with a mean size of ∼1 μ m could be observed. Pristine SSZ-39 generally appeared as intact crystals with smooth surfaces and distinct edges. After acid etching and In exchange, the resulting In/H-SSZ-39(OA) exhibited mostly integrated crystals but partly with missing edges or surface depressions, suggesting that etching might start from the crystal periphery (Figure 3b). Elemental compositions determined by ICP-OES and elemental distributions of samples at different preparation stages were shown in Table 1 and Figures S5–S10. In species were uniformly distributed in In/H-SSZ-39(OA), without large indium oxide particles being observed (Figures S7 and S9); whereas for In-Co3O4/H-SSZ-39(OA), a few large indium and cobalt oxide particles were present (Figure 3c, S8, and S10). In a representative HRTEM image of In/H-SSZ-39(OA) (Figure 3e), some nanoparticles attached to the zeolite surface with a lattice spacing of ∼0.293 nm assigned to the cubic In2O3 (c-In2O3) (222) crystal plane could be observed. Meanwhile, some mesopores appeared in the In/H-SSZ-39(OA) zeolite (Figure S11b), which contrasted with the Pristine SSZ-39 (Figure 3d and S11a). In-Co3O4/H-SSZ-39(OA) contained apparently broken crystal fragments with irregular shapes and a more obvious mesopore structure (Figure 3f and S11c). As shown in Figure 3f, c-In2O3, rhombohedral In2O3 (rh-In2O3), and Co3O4 nanoparticles were distributed on In-Co3O4/H-SSZ-39(OA), as confirmed by lattice fringes attributed to c-In2O3 (222) (d = 0.292 nm), c-In2O3 (400) (d = 0.252 nm), rh-In2O3 (104) (d = 0.289 nm), and Co3O4 (220) (d = 0.285 nm). The zeolite framework, with lattice fringes (d = 0.911 nm) assigned to AEI (110) or (002) crystal planes were the bulk phase, as shown in Figure S11c.

2.2.2. Crystalline Properties

As observed from Figure 3g, PXRD patterns demonstrated that Pristine H-SSZ-39 was a phase-pure AEI zeolite that matched well with the simulated structure. After acid leaching, the diffraction peaks slightly shifted toward higher 2 θ values, suggesting a lattice contraction as a result of a change in the chemical composition, that was an extraction of Al from the unit cell of SSZ-39 (Figure S12a). Accordingly, the relative crystallinity slightly decreased to 92.5% after OA leaching. Indium exchange introduced In atoms that are larger than the host atoms, leading to lattice expansion, and thus the diffraction peaks slightly shifted toward lower 2 θ values. Modification with Co3O4 did not result in any shift in the diffraction peaks, signifying that Co3O4 might not incorporate into the interior of SSZ-39 zeolite. It had been reported that the migration of In species would have an impact on the zeolite channel structure [25], which might contribute to the decrease in relative crystallinity after In exchange (Table 1). In species (e.g., In2O3) were undetectable by XRD for In/H-SSZ-39(OA), likely because of their low loading, small size, and highly dispersed distribution, consistent with the EDS mapping results (Figures S7 and S9). Distinct characteristic diffraction peaks of c-In2O3 and rh-In2O3 could be observed from the PXRD pattern of In-Co3O4/H-SSZ-39(OA) (Figure 3g, S12c,d, and S13b), which might be attributed to the reduced exchangeable sites in the partly amorphized structure of this sample (relative crystallinity = 33.4%, Table 1). In species that exceeded the exchange capacity of zeolites with reduced crystallinity formed extra-zeolite In2O3 particles during calcination, which were typically inactive in the catalyzing CH4-SCR reaction [26,27]. Moreover, diffraction peaks attributed to Co3O4 were found for In-Co3O4/H-SSZ-39(OA) in Figure S12b, even though some of the diffraction peaks of multiple components overlapped each other and those from the Co3O4 component were very weak. No detectable indium oxides and cobalt oxides by XRD other than In2O3 and Co3O4 were present (Figure S13), which corresponded well with HRTEM observation.

2.2.3. Textural Properties

The samples were characterized by N2 adsorption–desorption isotherm measurements at 77 K (Figure 3h), and their textural properties including non-local density functional theory (NLDFT) pore size distributions (PSD) are shown in Table 1 and Figure 3i. Pristine H-SSZ-39 exhibited a typical type I isotherm, characterized by a sharp rise in N2 adsorption at low pressure (p/p0 < 0.01) followed by a saturation plateau, indicating the predominance of microporosity. No obvious hysteresis loop was observed, corresponding to its negligible mesoporosity (Table 1 and Figure 3i). The condensation of N2 molecules in interparticle voids contributed to a minor increase in adsorption at p/p0 ≈ 1.0. Acid etching and In exchange slightly decreased the microporosity while increasing the mesoporosity, indicating that a small number of neighboring micropores merged to form mesopores during Al extraction and In migration. In/H-SSZ-39(OA) had a similar type I isotherm but a more pronounced condensation of N2 molecules, which might be associated the increased mesoporosity in the zeolite (Figure 3i inset and Table 1). This phenomenon was most noticeable in In-Co3O4/H-SSZ-39(OA), and further amorphorized zeolite fragments might also make a contribution, consistent with the microscopy observation and PXRD measurement. In addition, In-Co3O4/H-SSZ-39(OA) had the lowest low-pressure N2 adsorption capacity, corresponding to its smallest micropore volume (0.202 cm3 g−1). As shown in Figure 3i, the mesopores in In/H-SSZ-39(OA) and In-Co3O4/H-SSZ-39(OA) were mainly distributed in 20–50 nm. The constructed hierarchical structure might contribute to the enhanced catalytic activity through enhanced mass transfer.

2.2.4. Coordination Environment of T-Atoms

Figure 4a depicted 27Al MAS SSNMR spectra of Pristine H-SSZ-39 and In/H-SSZ-39(OA). For Pristine H-SSZ-39, the sharp signal at ∼60 ppm was associated with tetrahedra framework Al (FAl) sites, designated as Al(IV)-1. In addition, a broad peak centered at ∼52 ppm was attributed to the partially coordinated FAl atoms with hydroxyl groups ( ( SiO ) 4 n −Al(OH) n , n = 1–3), commonly known as Al(IV)-2, which usually resulted from synthesis and post-treatment processes [28,29,30,31]. Another signal at ∼0 ppm was ascribed to octahedrally coordinated Al (denoted as Al(VI)), namely extra-framework Al (EFAl) [32]. Acid etching dramatically changed the Al coordination environment of H-SSZ-39(OA), with Al(IV)-1 becoming the dominant component (∼48.7%) and the proportions of Al(IV)-2 and Al(VI) atoms decreased (Figure S14a). This provided direct evidence for the preferential interaction of OA with Al−OH groups and EFAl. For In/H-SSZ-39(OA), Al(IV)-2 again became the dominant component (∼36.3%), with a concomitant increase in Al(VI) and a decrease in Al(IV)-1. The migration of In species likely affected the zeolite pore structure that was accompanied by FAl-to-EFAl conversion [25]. In the 29Si MAS SSNMR (Figure 4b), the signals at 111 , 105 , and 99 ppm could be assigned to Si(0Al), Si(1Al), and Si(2Al), respectively. In addition, a signal positioned between Si(1Al) and Si(2Al) was identified as Si−OH groups [31]. The 29Si MAS SSNMR spectra were used to estimate the Si/Al ratio in the zeolite framework (abbreviated as Si/Alf) [33] according to Equation (1). The calculated Si/Alf followed a sequence of 13.8 for H-SSZ-39(OA) > 9.46 for In/H-SSZ-39(OA) > 8.5 for Pristine H-SSZ-39 (Figure 4b and S14b). The framework Si/Alf ratios were higher compared to their bulk Si/Al ratios, also signifying the presence of EFAl, consistent with the 27Al MAS NMR measurements. The increased Si/Alf ratio after acid etching indicated the selective extraction of FAl by OA; whereas the decreased Si/Alf ratio after In exchange could be related to the migration of In species.

2.2.5. Surface Chemical State

The chemical states of the catalyst surface components were examined using XPS. The In content on the In/H-SSZ-39(OA) surface measured by XPS (∼5.98 wt%, Figure S15a) was higher than that in the bulk phase determined by ICP (∼4.40 wt%, Table 1). For In-Co3O4/H-SSZ-39(OA), the surface enrichment of In and Co was also observed (Figure S15b and Table 1), consistent with the formation of In/Co oxides on the surface as observed by HRTEM. As shown in Figure 5a, In 3d spectral peaks of both In/H-SSZ-39(OA) and In-Co3O4/H-SSZ-39(OA) broadened with respect to those of reference In2O3, indicating the presence of a second In species that was commonly recognized as InO+ [25,34,35]. It was reported that InO+ species were the principal active centers in In-exchanged zeolitic CH4-SCR catalysts responsible for CH4 activation and active NxOy formation [15,25,36]. The percentage of InO+ species (InO+/In all ) in the In/H-SSZ-39(OA) catalyst was 5.7%. With Co3O4 modification, the percentage of InO+ species in In-Co3O4/H-SSZ-39(OA) increased to 12.6%, which could contribute to the high CH4-SCR activity of the In-Co3O4/H-SSZ-39(OA) catalyst. Figure 5b depicted the high-resolution Co 2p spectra of reference Co3O4 and In-Co3O4/H-SSZ-39(OA). After deconvolution, it could be concluded that Co(II) oxide and Co(III) oxide coexisted on the In-Co3O4/H-SSZ-39(OA) surface according to the distinguishable characteristic satellite peaks of Co2+ (BE ≈ 787.0 eV) and Co3+ (BE ≈ 790.9 eV). Additionally, no detectable cobalt oxides other than Co3O4 were observed in the XRD analysis (Figure S13a), further indicating the presence of Co3O4 on the In-Co3O4/H-SSZ-39(OA) surface.

2.2.6. Surface Acidity

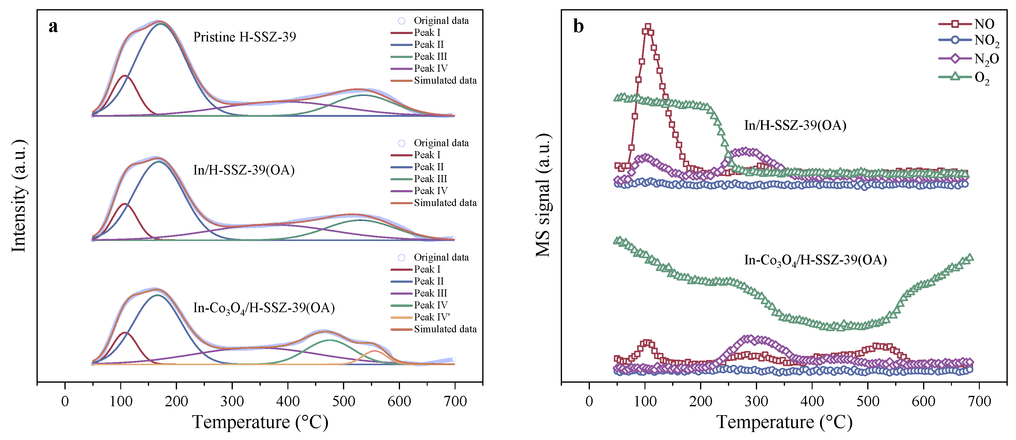
NH3-TPD measurements were performed to assess the quantity and strength of surface acid sites of samples. As depicted in Figure 6a, the NH3-TPD profile of the Pristine H-SSZ-39 could be deconvoluted with the Gaussian algorithm to four distinct NH3 desorption peaks within the temperature range of 50–700 °C. Peak I (∼107 °C) was assigned to surface hydroxyl groups, such as Si−OH and Al−OH [25]. Peak II (∼172 °C) and Peak III (∼390 °C) were associated with the desorption of NH3 bound to weak and strong Lewis acid sites (LAS, such as EFAl), respectively. Peak IV (∼536 °C) corresponded to NH3 desorption from strong Brønsted acid sites (BAS, Si−OH−Al) [9,33,37,38]. In/H-SSZ-39(OA) exhibited a similar NH3-TPD profile, but the total acid quantity (1.276 mmol g−1) was reduced compared to H-SSZ-39 (1.366 mmol g−1), as presented in Table 2. Specifically, the quantity of weak LAS and strong BAS decreased, consistent with the expected results of acid etching [39]. The acid-etching dealumination might preferentially take place from EFAl compared to FAl, considering the presence of FAl-to-EFAl conversion during dealumination as well as the consumption of BAS during In exchange, which was consistent with the 27Al MAS SSNMR results. On the other hand, the introduced In species apparently contributed to the increased strong LAS density. For In-Co3O4/H-SSZ-39(OA), the similar NH3 desorption peaks could be observed at low temperatures (∼108 °C and ∼166 °C) with further decreased intensity, which might be associated with the partial coverage of the zeolite surface by In2O3 and Co3O4 nanoparticles. The peak assigned to NH3 desorption from BAS, however, was split into two peaks (denoted as Peak IV and Peak IV’) in In-Co3O4/H-SSZ-39(OA); one was at ∼475 °C and the other one was at ∼556 °C. It was reported that the NH3 desorption peak for pure Co3O4 was lower than 220 °C with a much smaller NH3 desorption amount than those from parent zeolites or Co/zeolites [40]. The strong NH3 desorption at ∼556 °C over In-Co3O4/H-SSZ-39(OA) suggested a probable synergistic interaction between Co species and the support acid sites. Similar phenomena had been observed in Co/Beta and Co/ZSM-5 zeolite [41].

2.2.7. NxOy Intermediates during Reaction

NO could be adsorbed on H-SSZ-39 in the form of NxOy species via the interaction with acidic hydroxyl groups in the zeolite [6]. Thus, NO-TPD was an effective tool to provide insights into possible surface NxOy species and their stability during SCR reactions over catalysts. As shown in Figure 6b, the vast majority of NxOy species escape from In/H-SSZ-39(OA) below 350 °C, with NO and N2O detected as major desorption and/or decomposition products; whereas at higher temperatures, only a weak NO desorption peak centered at ∼580 °C was observed. Obviously, these weakly bound NxOy species with low decomposition temperatures could not persist at the active temperature (400–650 °C) for the CH4-SCR reaction. Therefore, lacking available intermediate species, the CH4-SCR activity of In/H-SSZ-39(OA) was relatively low. On the contrary, for In-Co3O4/H-SSZ-39(OA), both a weak NO desorption peak at ∼104 °C and a strong NO desorption peak at ∼525 °C were observed. In addition, N2O was detected as a desorption and/or decomposition product at high temperatures, indicating that it might also be an available active NxOy species to serve as intermediates for CH4-SCR. It was tentatively concluded that a small amount of Co3O4 rendered In-Co3O4/H-SSZ-39(OA) with more strong adsorption sites to enrich stable NxOy species reserves at high temperatures, thus boosting the CH4-SCR activity of the catalyst.

3. Materials and Methods

3.1. Acid Etching

One gram of commercial H-SSZ-39 zeolite (Si/Al = 4.72, Dalian Huayizhongxin New Material Co., Ltd., Dalian, China) was ultrasonically dispersed in 25 mL of 1 M oxalic acid (oxalic acid dihydrate, AR, Damao Chemical Reagent Factory, Tianjin, China) aqueous solution. After stirring at 80 °C for 4 h, the etched H-SSZ-39 was recovered by suction filtration and washed with ultrapure water several times until the pH of the filtrate was approximately neutral. The filter cake was dried at 80 °C overnight followed by grinding and calcination in a muffle furnace at 500 °C for 3 h to obtain OA-etched H-SSZ-39, denoted as H-SSZ-39(OA).

3.2. Indium Exchange

A total of 0.3 g of H-SSZ-39(OA) zeolites were dispersed in 10 mL of 0.066 M indium nitrate (indium nitrate hydrate, 99.99% metals basis, Shanghai Aladdin Biochemical Technology Co., Ltd., Shanghai, China) aqueous solution and the suspension was stirred at 85 °C for 8 h. In-containing H-SSZ-39(OA) was recovered by centrifugation and washed twice with ultrapure water. After drying at 80 °C overnight, the sample was calcined in a muffle furnace at 500 °C for 3 h to obtain In/H-SSZ-39(OA). In-Co3O4/H-SSZ-39(OA) was prepared by the same process as that for In/H-SSZ-39(OA), except that a certain amount of Co3O4 fine powder (cobalt oxide, 99.9% metals basis, Shanghai Aladdin Biochemical Technology Co., Ltd., Shanghai, China) was suspended in the indium nitrate aqueous solution with the Co3O4: H-SSZ-39(OA) mass ratios of 1:5, 1:10, 1:20, 1: 30, 1:40, and 1:50.

3.3. Catalyst Characterizations

The microstructures of samples were observed with a JEOL JSM-7800F (Tokyo, Japan) field emission scanning electron microscope (FESEM) equipped with X-MaxN Falcon (Oxford Instruments, Abingdon, UK) energy dispersive X-ray spectroscopy (EDS) at 5 kV (15 kV for EDS mapping measurement) and a Talos F200X G2 (Thermo Fisher Scientific, Norristown, PA, USA) scanning transmission electron microscope ((S)TEM) equipped with Super-X G2 (Thermo Fisher Scientific) EDS at 200 kV. In, Co contents, and bulk Si/Al ratios of samples were measured using inductively coupled plasma optical emission spectroscopy (ICP-OES) on an Agilent 720ES (Santa Clara, CA, USA) instrument. N2 adsorption–desorption isotherms measured at 77 K (Micromeritics ASAP2460, Norcross, GA, USA) were used to analyze specific surface areas and pore size distributions of the catalysts. The samples were degassed at 300 °C for 8 h before measurement. Powder X-ray diffraction (PXRD) patterns of samples were recorded by a Rigaku D/Max-2200 PC diffractometer (Tokyo, Japan) in the diffraction angle range of 2 θ = 5–60° with Cu K α radiation ( λ = 1.5418 Å) at 40 kV and 50 mA. X-ray photoelectron spectra (XPS) were recorded by a Thermo Scientific K-Alpha instrument (America) with a monochromatic Al K α (1486.6 eV) as an X-ray source. The binding energy values were calibrated using the C 1s peak at 284.8 eV for adventitious carbon. Solid-state nuclear magnetic resonance (SSNMR) experiments were performed on a Bruker 400M spectrometer (Bremen, Germany). The deconvolutions of spectra were performed with the ssNake v1.4 software [42]. The single-pulse 29Si magic angle spinning (MAS) SSNMR spectra were acquired on a 7 mm probe with a spinning rate of 5 kHz, a pulse width of 5.6 μ s, a relaxation delay of 5 s, and 256 scans. The 29Si chemical shifts were referenced to tetramethylsilane (TMS) at 0 ppm, and the framework Si/Alf ratios were estimated using the following Equation (1).
Si / Al f = n = 0 4 I Si ( n Al ) n = 0 4 0.25 n I Si ( n Al )
where I Si ( n Al ) was the signal intensity of Si with different numbers of incorporated Al atoms (n = 0–4) in its first Si(OT)4 (T representing framework Si and Al atoms) coordination shell. The single-pulse 27Al MAS SSNMR were acquired on a 4 mm probe with a spinning rate of 10 kHz, a pulse width of 1.48 μ s, a relaxation delay of 0.1 s, and 2048 scans. The 27Al chemical shifts were referenced to NaAlO2 at 65 ppm. Ammonia temperature-programmed desorption (NH3-TPD) was carried out on a Micromeritics AutoChem II 2920 chemisorption analyzer (America). A total of 100 mg of sample was loaded into a quartz reactor and pretreated in air at 500 °C for 60 min. After cooling to 50 °C, 10% NH3/He was introduced at a flow rate of 50 mL min−1 for 60 min to saturate the sample with NH3, followed by introducing He flow as purge gas. The NH3-TPD profile was then recorded by a thermal conductivity detector (TCD) across the temperature range of 50 °C to 700 °C at a ramping rate of 10 °C min−1. Nitric oxide temperature-programmed desorption (NO-TPD) analysis was performed on a TP-5080-B instrument (Tianjin, China) equipped with a Hiden DECRA mass spectrometer (Warrington, UK). A total of 100 mg of sample was loaded into a quartz reactor and pretreated in a He stream (30 mL min−1) at 500 °C for 60 min. After cooling to 50 °C, the He flow was switched to a 10% NO/He gas mixture at a flow rate of 30 mL min−1. The weakly physically adsorbed NO was removed by purging with He gas flow (30 mL min−1) for 60 min before programmed warming at 10 °C min−1. The following mass fragments sensible to the system perturbation were monitored on-line in the temperature range of 50–660 °C: NO (m/z = 30), O2 (m/z = 32), N2O (m/z = 44), and NO2 (m/z = 46).

3.4. Catalytic Activity Test

CH4-SCR activity was tested at atmospheric pressure using a certain mass of 40–60 mesh catalyst loaded in a fixed-bed quartz reactor [21]. A gas mixture composed of 400 ppm CH4, 600 ppm NO, 10 vol% O2, and 5 vol% H2O (optional) with an Ar balance at a flow rate of 100 mL min−1 was introduced into the reactor, corresponding to a gas hourly space velocity (GHSV) of ∼24,000 h−1 for 0.1 g of catalyst. The concentrations of NOx were monitored by a nitrogen oxide analyzer (Teledyne Model T200H, Thousand Oaks, CA, USA), while CH4, CO, and CO2 concentrations were analyzed by a gas chromatograph (Fuli GC9790II, Taizhou, China) equipped with a Porapak-Q column (Agilent, America) and a flame ionization detector (FID). The NOx and CH4 conversions as well as CH4 selectivity were calculated using Equations (2)–(4), respectively.
NO x conversion ( % ) = [ NO x ] in [ NO x ] out [ NO x ] in × 100 %
CH 4 conversion ( % ) = [ CH 4 ] in [ CH 4 ] out [ CH 4 ] in × 100 %
CH 4 selectivity ( % ) = 0.5 × [ NO x ] in [ NO x ] out [ CH 4 ] in [ CH 4 ] out × 100 %
where NOx represents NO and NO2; the subscripts “in” and “out” represent inlet and outlet, respectively.

4. Conclusions

In summary, In-Co3O4/H-SSZ-39(OA) has been successfully constructed and applied as a robust catalyst in CH4-SCR reaction under harsh conditions. Specifically, the NO conversion of ∼80% could be achieved at ∼600 °C under a GHSV of 24,000 h−1 and in the presence of 5 vol% H2O, significantly outperforming the In/H-SSZ-39 without acid etching pretreatment and the In/H-SSZ-39(OA) without Co3O4 modification. Moreover, good stability was achieved on In-Co3O4/H-SSZ-39(OA) and <15% activity loss could be observed within 7 h at 600 °C. The mild acid leaching with OA delicately tuned the Si/Al ratio of SSZ-39 zeolite. During this process, OA was found to preferentially interact with Al−OH and EFAl, with some mesopores introduced while maintaining relative high crystallinity. A small amount of Co3O4 greatly improved the catalytic activity of the catalyst despite causing the severely decreased the crystallinity of SSZ-39 zeolite. Co3O4 could promote CH4 conversion and render a much higher storage of stable NxOy species available at high temperatures.

Supplementary Materials

The following supporting information can be downloaded at: https://www.mdpi.com/article/10.3390/molecules29163747/s1, Figure S1: The CH4-SCR deNOx performance of Pristine H-SSZ-39, H-SSZ-39(OA), and Co3O4/H-SSZ-39(OA) under dry conditions; Figure S2: The effect of the Co3O4 to H-SSZ-39(OA) mass ratio on the CH4 selectivity of the resulting catalysts under wet conditions; Figure S3: The CH4-SCR deNOx performance of In-Co3O4/H-SSZ-39(OA) at different O2 concentrations, CH4/NO ratios, water vapor concentrations and GHSVs; Figure S4: The CH4-SCR deNOx performance of In-Co3O4/H-SSZ-39(OA) at different SO2 concentrations and in the presence of 5 vol% H2O; Figures S5–S8: SEM-EDS mapping of Pristine H-SSZ-39, H-SSZ-39(OA), In/H-SSZ-39(OA), and In-Co3O4/H-SSZ-39(OA); Figures S9 and S10: HAADF-STEM and elemental mapping images of In/H-SSZ-39(OA) and In-Co3O4/H-SSZ-39(OA); Figure S11: HRTEM images of Pristine H-SSZ-39, In/H-SSZ-39(OA), and In-Co3O4/H-SSZ-39(OA); Figure S12: Locally enlarged PXRD patterns in the ranges of 7.5–15.0°, 18.0–20.0°, 34.0–36.0°, and 57.0–59.0° of Pristine H-SSZ-39, H-SSZ-39(OA), In/H-SSZ-39(OA), and In-Co3O4/H-SSZ-39(OA); Figure S13: PXRD patterns of In-Co3O4/H-SSZ-39(OA) in comparison with standard PXRD patterns of cobalt oxides and indium oxides; Figure S14: 27Al MAS SSNMR and 29Si MAS SSNMR spectra of H-SSZ-39(OA); Figure S15: XPS survey spectra and corresponding surface element contents of In/H-SSZ-39(OA) and In-Co3O4/H-SSZ-39(OA).

Author Contributions

Conceptualization, R.Z. and M.H.; methodology, G.C., W.Z., Y.C. and M.Z.; software, G.C.; validation, R.Z. and M.H.; formal analysis, G.C.; investigation, W.Z.; resources, R.Z. and M.H.; data curation, W.Z.; writing—original draft preparation, G.C.; writing—review and editing, G.C., R.Z. and M.H.; visualization, G.C.; supervision, R.Z. and M.H.; project administration, R.Z. and M.H.; funding acquisition, R.Z. and M.H. All authors have read and agreed to the published version of the manuscript.

Funding

This research was funded by the Special Project for Sustainable Development Science Technology in Shenzhen [KCXFZ20201221173000001]; and the Guangdong Science and Technology Program [2023A0505010018].

Institutional Review Board Statement

Not applicable.

Informed Consent Statement

Not applicable.

Data Availability Statement

Dataset available on request from the authors.

Conflicts of Interest

The authors declare no conflicts of interest.

References

  1. Xu, Y.; Wang, X.; Qin, M.; Li, Q. Selective catalytic reduction of NOx with CH4 over zeolite catalysts: Research progress, challenges and perspectives. J. Environ. Chem. Eng. 2022, 10, 107270. [Google Scholar] [CrossRef]
  2. Li, Y.; Armor, J. Catalytic reduction of nitrogen oxides with methane in the presence of excess oxygen. Appl. Catal. B 1992, 1, L31–L40. [Google Scholar] [CrossRef]
  3. Ramallo-López, J.; Requejo, F.; Gutierrez, L.; Miró, E. EXAFS, TDPAC and TPR characterization of PtInFerrierite: The role of surface species in the SCR of NOx with CH4. Appl. Catal. B 2001, 29, 35–46. [Google Scholar] [CrossRef]
  4. Bustamante, F.; Córdoba, F.; Yates, M.; Montes de Correa, C. The promotion of cobalt mordenite by palladium for the lean CH4-SCR of NOx in moist streams. Appl. Catal. A 2002, 234, 127–136. [Google Scholar] [CrossRef]
  5. Anunziata, O.A.; Beltramone, A.R.; Requejo, F.G. In-containing BEA zeolite for selective catalytic reduction of NOx: Part I: Synthesis, characterization and catalytic activity. J. Mol. Catal. A Chem. 2007, 267, 194–201. [Google Scholar] [CrossRef]
  6. Yang, J.; Chang, Y.; Dai, W.; Wu, G.; Guan, N.; Li, L. Ru-In/H-SSZ-13 for the selective reduction of nitric oxide by methane: Insights from temperature-programmed desorption studies. Appl. Catal. B 2018, 236, 404–412. [Google Scholar] [CrossRef]
  7. Yang, J.; Chang, Y.; Dai, W.; Wu, G.; Guan, N.; Li, L. Bimetallic Cr-In/H-SSZ-13 for selective catalytic reduction of nitric oxide by methane. Chin. J. Catal. 2018, 39, 1004–1011. [Google Scholar] [CrossRef]
  8. Zhao, J.; Dong, L.; Wang, Y.; Zhang, J.; Zhu, R.; Li, C.; Hong, M. Amino-acid modulated hierarchical In/H-Beta zeolites for selective catalytic reduction of NO with CH4 in the presence of H2O and SO2. Nanoscale 2022, 14, 5915–5928. [Google Scholar] [CrossRef] [PubMed]
  9. Wang, C.; Lv, G.; Li, Y.; Liu, Y.; Song, C. Selective catalytic reduction of NOX with CH4 over In/SSZ-13 zeolites: The enhancement of high-temperature catalytic activity by Ce modification. J. Environ. Chem. Eng. 2024, 12, 111830. [Google Scholar] [CrossRef]
  10. Wang, X.; Ge, W.; Liu, Y.; Miao, B.; Qin, M.; Ji, C.; Li, Q. Boosting the activity of In-H-SSZ-13 via tuning acid sites for synergistic abatement of NOx and CH4. Fuel 2024, 359, 130466. [Google Scholar] [CrossRef]
  11. Jabłońska, M. Review of the application of Cu-containing SSZ-13 in NH3-SCR-DeNOx and NH3-SCO. RSC Adv. 2022, 12, 25240–25261. [Google Scholar] [CrossRef] [PubMed]
  12. Shan, Y.; Shan, W.; Shi, X.; Du, J.; Yu, Y.; He, H. A comparative study of the activity and hydrothermal stability of Al-rich Cu-SSZ-39 and Cu-SSZ-13. Appl. Catal. B 2020, 264, 118511. [Google Scholar] [CrossRef]
  13. Gui, R.; Yan, Q.; Xue, T.; Gao, Y.; Li, Y.; Zhu, T.; Wang, Q. The promoting/inhibiting effect of water vapor on the selective catalytic reduction of NOx. J. Hazard. Mater. 2022, 439, 129665. [Google Scholar] [CrossRef] [PubMed]
  14. Zhao, J.; Zhang, G.; He, J.; Wen, Z.; Li, Z.; Gu, T.; Ding, R.; Zhu, Y.; Zhu, R. Effect of preparation and reaction conditions on the performance of In/H-Beta for selective catalytic reduction of NOx with CH4. Chemosphere 2020, 252, 126458. [Google Scholar] [CrossRef] [PubMed]
  15. Zhao, J.; Li, Z.; Zhu, R.; Zhang, J.; Ding, R.; Wen, Z.; Zhu, Y.; Zhang, G.; Chen, B. Mechanism of the selective catalytic reduction of NOx with CH4 on In/H-beta. Catal. Sci. Technol. 2021, 11, 5050–5061. [Google Scholar] [CrossRef]
  16. Sun, Y.; Fu, Y.; Shan, Y.; Du, J.; Liu, Z.; Gao, M.; Shi, X.; He, G.; Xue, S.; Han, X.; et al. Si/Al Ratio Determines the SCR Performance of Cu-SSZ-13 Catalysts in the Presence of NO2. Environ. Sci. Technol. 2022, 56, 17946–17954. [Google Scholar] [CrossRef] [PubMed]
  17. Wang, Z.; Jiang, Y.; Lafon, O.; Trébosc, J.; Duk Kim, K.; Stampfl, C.; Baiker, A.; Amoureux, J.P.; Huang, J. Brønsted acid sites based on penta-coordinated aluminum species. Nat. Commun. 2016, 7, 13820. [Google Scholar] [CrossRef] [PubMed]
  18. Liu, C.; Malta, G.; Kubota, H.; Toyao, T.; Maeno, Z.; Shimizu, K.i. Mechanism of NH3–Selective Catalytic Reduction (SCR) of NO/NO2 (Fast SCR) over Cu-CHA Zeolites Studied by In Situ/Operando Infrared Spectroscopy and Density Functional Theory. J. Phys. Chem. C 2021, 125, 21975–21987. [Google Scholar] [CrossRef]
  19. Chen, G.; Zhao, N.; Chen, Y.; Zhao, J.; Zhu, R.; Hong, M. Recent advances in synthetic strategies and physicochemical modifications of SSZ-13 zeolites: A review. Mater. Today Catal. 2024, 4, 100037. [Google Scholar] [CrossRef]
  20. Zhao, J.; Wen, Z.; Zhu, R.; Li, Z.; Ding, R.; Zhu, Y.; Gu, T.; Yang, R.; Zhu, Z. In/H-Beta modified by Co3O4 and its superior performance in the presence of H2O and SO2 for selective catalytic reduction of NOx with CH4. Chem. Eng. J. Adv. 2020, 3, 100029. [Google Scholar] [CrossRef]
  21. Zhao, M.; Zhao, J.; Ding, R.; Zhu, R.; Li, H.; Li, Z.; Zhang, J.; Zhu, Y.; Li, H. Insights into the superior resistance of In-Co3O4-Ga2O3/H-Beta to SO2 and H2O in the selective catalytic reduction of NOx by CH4. J. Colloid Interface Sci. 2022, 626, 89–100. [Google Scholar] [CrossRef] [PubMed]
  22. Pieterse, J.; Top, H.; Vollink, F.; Hoving, K.; van den Brink, R. Selective catalytic reduction of NOx in real exhaust gas of gas engines using unburned gas: Catalyst deactivation and advances toward long-term stability. Chem. Eng. J. 2006, 120, 17–23. [Google Scholar] [CrossRef]
  23. Li, Z.; Flytzani-Stephanopoulos, M. Effects of water vapor and sulfur dioxide on the performance of Ce–Ag-ZSM-5 for the SCR of NO with CH4. Appl. Catal. B 1999, 22, 35–47. [Google Scholar] [CrossRef]
  24. Zhao, J.; Chen, Y.; Wang, Y.; Li, Z.; Nkinahamira, F.; Zhu, R.; Zhang, J.; Sun, S.; Zhu, Y.; Li, H.; et al. The poisoning mechanism of H2O/SO2 to In/H-Beta for selective catalytic reduction of NOx with methane. Appl. Catal. A 2023, 649, 118973. [Google Scholar] [CrossRef]
  25. Zhang, C.; Xu, G.; Zhang, Y.; Chang, C.; Jiang, M.; Ruan, L.; Xiao, M.; Yan, Z.; Yu, Y.; He, H. Designing a Ce/In-CHA OXZEO catalyst for high-efficient selective catalytic reduction of nitrogen oxide with methane. Appl. Catal. B 2024, 348, 123820. [Google Scholar] [CrossRef]
  26. Kikuchi, E.; Ogura, M.; Terasaki, I.; Goto, Y. Selective Reduction of Nitric Oxide with Methane on Gallium and Indium Containing H-ZSM-5 Catalysts: Formation of Active Sites by Solid-State Ion Exchange. J. Catal. 1996, 161, 465–470. [Google Scholar] [CrossRef]
  27. Jing, G.; Li, J.; Yang, D.; Hao, J. Promotional mechanism of tungstation on selective catalytic reduction of NOx by methane over In/WO3/ZrO2. Appl. Catal. B 2009, 91, 123–134. [Google Scholar] [CrossRef]
  28. Chen, K.; Horstmeier, S.; Nguyen, V.T.; Wang, B.; Crossley, S.P.; Pham, T.; Gan, Z.; Hung, I.; White, J.L. Structure and Catalytic Characterization of a Second Framework Al(IV) Site in Zeolite Catalysts Revealed by NMR at 35.2 T. J. Am. Chem. Soc. 2020, 142, 7514–7523. [Google Scholar] [CrossRef] [PubMed]
  29. Chen, K.; Gan, Z.; Horstmeier, S.; White, J.L. Distribution of Aluminum Species in Zeolite Catalysts: 27Al NMR of Framework, Partially-Coordinated Framework, and Non-Framework Moieties. J. Am. Chem. Soc. 2021, 143, 6669–6680. [Google Scholar] [CrossRef]
  30. Fan, B.; Zhu, D.; Wang, L.; Xu, S.; Wei, Y.; Liu, Z. Dynamic evolution of Al species in the hydrothermal dealumination process of CHA zeolites. Inorg. Chem. Front. 2022, 9, 3609–3618. [Google Scholar] [CrossRef]
  31. Xing, Y.; Li, G.; Lin, Z.; Xu, Z.; Huang, H.; Zhu, Y.; Tsang, S.C.E.; Li, M.M.J. In situ hierarchical pore engineering in small pore zeolite via methanol-mediated NH4F etching. J. Mater. Chem. A 2023, 11, 14058–14066. [Google Scholar] [CrossRef]
  32. Gao, F.; Washton, N.M.; Wang, Y.; Kollár, M.; Szanyi, J.; Peden, C.H. Effects of Si/Al ratio on Cu/SSZ-13 NH3-SCR catalysts: Implications for the active Cu species and the roles of Brønsted acidity. J. Catal. 2015, 331, 25–38. [Google Scholar] [CrossRef]
  33. Ma, Y.; Ding, J.; Yang, L.; Wu, X.; Gao, Y.; Ran, R.; Weng, D. Flexible Al Coordination with H2O Explaining the Deviation of Strong Acid Amount from the Framework Al Content in Al-Rich SSZ-13. J. Phys. Chem. C 2023, 127, 16598–16606. [Google Scholar] [CrossRef]
  34. Schmidt, C.; Sowade, T.; Löffler, E.; Birkner, A.; Grünert, W. Preparation and Structure of In-ZSM-5 Catalysts for the Selective Reduction of NO by Hydrocarbons. J. Phys. Chem. B 2002, 106, 4085–4097. [Google Scholar] [CrossRef]
  35. Gabrienko, A.A.; Arzumanov, S.S.; Moroz, I.B.; Prosvirin, I.P.; Toktarev, A.V.; Wang, W.; Stepanov, A.G. Methane Activation on In-Modified ZSM-5: The State of Indium in the Zeolite and Pathways of Methane Transformation to Surface Species. J. Phys. Chem. C 2014, 118, 8034–8043. [Google Scholar] [CrossRef]
  36. Maunula, T.; Ahola, J.; Hamada, H. Reaction mechanism and kinetics of NOx reduction by methane on In/ZSM-5 under lean conditions. Appl. Catal. B 2006, 64, 13–24. [Google Scholar] [CrossRef]
  37. Wang, D.; Gao, F.; Peden, C.H.F.; Li, J.; Kamasamudram, K.; Epling, W.S. Selective Catalytic Reduction of NOx with NH3 over a Cu-SSZ-13 Catalyst Prepared by a Solid-State Ion-Exchange Method. ChemCatChem 2014, 6, 1579–1583. [Google Scholar] [CrossRef]
  38. Nasser, G.A.; Muraza, O.; Nishitoba, T.; Malaibari, Z.; Al-Shammari, T.K.; Yokoi, T. OSDA-free chabazite (CHA) zeolite synthesized in the presence of fluoride for selective methanol-to-olefins. Microporous Mesoporous Mater. 2019, 274, 277–285. [Google Scholar] [CrossRef]
  39. Meng, X.; Lian, Z.; Wang, X.; Shi, L.; Liu, N. Effect of dealumination of HZSM-5 by acid treatment on catalytic properties in non-hydrocracking of diesel. Fuel 2020, 270, 117426. [Google Scholar] [CrossRef]
  40. Resini, C.; Montanari, T.; Nappi, L.; Bagnasco, G.; Turco, M.; Busca, G.; Bregani, F.; Notaro, M.; Rocchini, G. Selective catalytic reduction of NOx by methane over Co-H-MFI and Co-H-FER zeolite catalysts: Characterisation and catalytic activity. J. Catal. 2003, 214, 179–190. [Google Scholar] [CrossRef]
  41. Shen, Q.; Li, L.; He, C.; Zhang, X.; Hao, Z.; Xu, Z. Cobalt zeolites: Preparation, characterization and catalytic properties for N2O decomposition. Asia-Pac. J. Chem. Eng. 2012, 7, 502–509. [Google Scholar] [CrossRef]
  42. van Meerten, S.; Franssen, W.; Kentgens, A. ssNake: A cross-platform open-source NMR data processing and fitting application. J. Magn. Reson. 2019, 301, 56–66. [Google Scholar] [CrossRef] [PubMed]
Figure 1. Effects of oxalic acid concentration, etching time, and etching temperature in acid etching post-treatment on the (ac) NOx conversion, (df) CH4 conversion, and (gi) CH4 selectivity of the resulting catalysts for dry CH4-SCR. Reaction conditions: [NO] = 400 ppm, [CH4] = 600 ppm, [O2] = 10 vol%, Ar balance, GHSV = 24,000 h−1.
Figure 1. Effects of oxalic acid concentration, etching time, and etching temperature in acid etching post-treatment on the (ac) NOx conversion, (df) CH4 conversion, and (gi) CH4 selectivity of the resulting catalysts for dry CH4-SCR. Reaction conditions: [NO] = 400 ppm, [CH4] = 600 ppm, [O2] = 10 vol%, Ar balance, GHSV = 24,000 h−1.
Molecules 29 03747 g001
Figure 2. Effect of the Co3O4 to H-SSZ-39(OA) mass ratio on the (a) NOx conversion and (b) CH4 conversion of the resulting catalysts under wet conditions. Reaction conditions: [NO] = 400 ppm, [CH4] = 600 ppm, [O2] = 10 vol%, [H2O] = 5 vol%, Ar balance, GHSV = 24,000 h−1. (c) Recyclability test of In-Co3O4/H-SSZ-39(OA) under harsh H2O- and SO2-containing conditions. Reaction conditions: [NO] = 400 ppm, [CH4] = 600 ppm, [O2] = 10 vol%, [H2O] = 5 vol%, [SO2] = 50 ppm, Ar balance, GHSV = 12,000 h−1. (d) Stability test of In-Co3O4/H-SSZ-39(OA) under harsh H2O- and SO2-containing conditions. Reaction conditions: [NO] = 400 ppm, [CH4] = 600 ppm, [O2] = 10 vol%, [H2O] = 5 vol%, [SO2] = 50 ppm, Ar balance, GHSV = 12,000 h−1, T = 600 °C.
Figure 2. Effect of the Co3O4 to H-SSZ-39(OA) mass ratio on the (a) NOx conversion and (b) CH4 conversion of the resulting catalysts under wet conditions. Reaction conditions: [NO] = 400 ppm, [CH4] = 600 ppm, [O2] = 10 vol%, [H2O] = 5 vol%, Ar balance, GHSV = 24,000 h−1. (c) Recyclability test of In-Co3O4/H-SSZ-39(OA) under harsh H2O- and SO2-containing conditions. Reaction conditions: [NO] = 400 ppm, [CH4] = 600 ppm, [O2] = 10 vol%, [H2O] = 5 vol%, [SO2] = 50 ppm, Ar balance, GHSV = 12,000 h−1. (d) Stability test of In-Co3O4/H-SSZ-39(OA) under harsh H2O- and SO2-containing conditions. Reaction conditions: [NO] = 400 ppm, [CH4] = 600 ppm, [O2] = 10 vol%, [H2O] = 5 vol%, [SO2] = 50 ppm, Ar balance, GHSV = 12,000 h−1, T = 600 °C.
Molecules 29 03747 g002
Figure 3. SEM images of (a) Pristine H-SSZ-39, (b) In/H-SSZ-39(OA), and (c) In-Co3O4/H-SSZ-39(OA). HRTEM images of (d) Pristine H-SSZ-39, (e) In/H-SSZ-39(OA), and (f) In-Co3O4/H-SSZ-39(OA). (g) PXRD patterns, (h) N2 adsorption–desorption isotherms, and (i) NLDFT PSD curves of samples.
Figure 3. SEM images of (a) Pristine H-SSZ-39, (b) In/H-SSZ-39(OA), and (c) In-Co3O4/H-SSZ-39(OA). HRTEM images of (d) Pristine H-SSZ-39, (e) In/H-SSZ-39(OA), and (f) In-Co3O4/H-SSZ-39(OA). (g) PXRD patterns, (h) N2 adsorption–desorption isotherms, and (i) NLDFT PSD curves of samples.
Molecules 29 03747 g003
Figure 4. (a) 27Al MAS SSNMR and (b) 29Si MAS SSNMR of Pristine H-SSZ-39 and In/H-SSZ-39(OA).
Figure 4. (a) 27Al MAS SSNMR and (b) 29Si MAS SSNMR of Pristine H-SSZ-39 and In/H-SSZ-39(OA).
Molecules 29 03747 g004
Figure 5. High-resolution XPS spectra of (a) In 3d region and (b) Co 2p region.
Figure 5. High-resolution XPS spectra of (a) In 3d region and (b) Co 2p region.
Molecules 29 03747 g005
Figure 6. (a) NH3-TPD profiles and (b) NO-TPD profiles of samples.
Figure 6. (a) NH3-TPD profiles and (b) NO-TPD profiles of samples.
Molecules 29 03747 g006
Table 1. Physicochemical parameters of Pristine H-SSZ-39, In/H-SSZ-39(OA), and In-Co3O4/H-SSZ-39(OA).
Table 1. Physicochemical parameters of Pristine H-SSZ-39, In/H-SSZ-39(OA), and In-Co3O4/H-SSZ-39(OA).
SampleRelative Crystallinity a (%)SBET b (m2 g−1)Vtot c (cm3 g−1)Vmicro d (cm3 g−1)Vmeso e (cm3 g−1)Si/Al Bulk fIn Content f (wt%)Co Content f (wt%)
Pristine H-SSZ-39100.0746.70.2930.2780.0154.72//
In/H-SSZ-39(OA)72.0699.50.3030.2420.0606.794.40/
In-Co3O4/H-SSZ-39(OA)33.4566.60.2720.2020.0706.867.171.14
a Calculated from the sum of the integral areas of diffraction peaks ascribed to (111), (200), (113), (310), (132), (133), and (025) crystal planes. b Calculated by the Brunauer–Emmett–Teller (BET) model. c Calculated from the adsorption amount at a relative pressure (P/P0) close to 1. d Calculated using the t-plot method. e Calculated as the difference between Vtot and Vmicro. f Determined by ICP-OES.
Table 2. The strength and quantity of surface acid sites of samples based on NH3-TPD measurements.
Table 2. The strength and quantity of surface acid sites of samples based on NH3-TPD measurements.
SamplePeak IPeak IIPeak IIIPeak IV
T (°C)Q
(mmol g−1)
T
(°C)
Q
(mmol g−1)
T
(°C)
Q
(mmol g−1)
T
(°C)
Q
(mmol g−1)
Pristine H-SSZ-39107.40.160171.80.737390.40.199535.70.269
In/H-SSZ-39(OA)107.20.141168.10.615370.30.301530.10.219
In-Co3O4/H-SSZ-39(OA)107.60.127165.90.541343.00.340475.1 + 555.60.190 + 0.053
Disclaimer/Publisher’s Note: The statements, opinions and data contained in all publications are solely those of the individual author(s) and contributor(s) and not of MDPI and/or the editor(s). MDPI and/or the editor(s) disclaim responsibility for any injury to people or property resulting from any ideas, methods, instructions or products referred to in the content.

Share and Cite

MDPI and ACS Style

Chen, G.; Zhang, W.; Zhu, R.; Chen, Y.; Zhao, M.; Hong, M. Engineering In-Co3O4/H-SSZ-39(OA) Catalyst for CH4-SCR of NOx: Mild Oxalic Acid (OA) Leaching and Co3O4 Modification. Molecules 2024, 29, 3747. https://doi.org/10.3390/molecules29163747

AMA Style

Chen G, Zhang W, Zhu R, Chen Y, Zhao M, Hong M. Engineering In-Co3O4/H-SSZ-39(OA) Catalyst for CH4-SCR of NOx: Mild Oxalic Acid (OA) Leaching and Co3O4 Modification. Molecules. 2024; 29(16):3747. https://doi.org/10.3390/molecules29163747

Chicago/Turabian Style

Chen, Guanyu, Weixin Zhang, Rongshu Zhu, Yanpeng Chen, Minghu Zhao, and Mei Hong. 2024. "Engineering In-Co3O4/H-SSZ-39(OA) Catalyst for CH4-SCR of NOx: Mild Oxalic Acid (OA) Leaching and Co3O4 Modification" Molecules 29, no. 16: 3747. https://doi.org/10.3390/molecules29163747

APA Style

Chen, G., Zhang, W., Zhu, R., Chen, Y., Zhao, M., & Hong, M. (2024). Engineering In-Co3O4/H-SSZ-39(OA) Catalyst for CH4-SCR of NOx: Mild Oxalic Acid (OA) Leaching and Co3O4 Modification. Molecules, 29(16), 3747. https://doi.org/10.3390/molecules29163747

Article Metrics

Back to TopTop