Recycled Jute Non-Woven Material Coated with Polyaniline/TiO2 Nanocomposite for Removal of Heavy Metal Ions from Water
Abstract
1. Introduction
2. Results and Discussion
2.1. Chemical, Morphological and Electrokinetic Characterization of Sorbents
2.2. The Influence of Contact Time on the Sorption of Metal Ions
2.3. Adsorption Isotherms
2.4. The Influence of Initial Concentration on the Sorption of Metal Ions
2.5. The Influence of pH on the Sorption of Metal Ions
2.6. The Influence of Temperature on the Sorption of Metal Ions
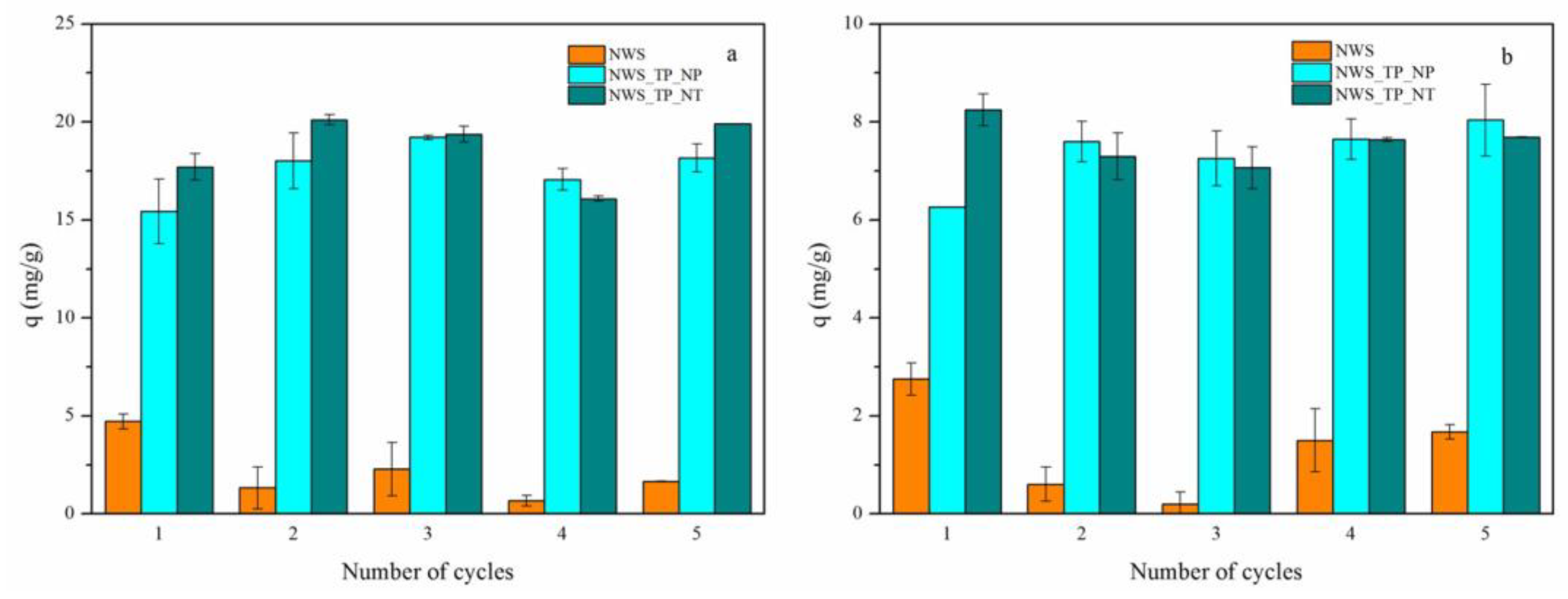
2.7. Reusability of Sorbents
3. Materials and Methods
3.1. Materials
3.2. In Situ Polymerization of PANI in the Presence of TiO2 NPs/NTs
3.3. Characterization of Sorbents
3.4. Evaluation of NWS, NWS_TP_NP, and NWS_TP_NT Sorption Performance
3.5. Mathematical Models
4. Conclusions
Supplementary Materials
Author Contributions
Funding
Institutional Review Board Statement
Informed Consent Statement
Data Availability Statement
Acknowledgments
Conflicts of Interest
References
- Ellen MacArthur Foundation. A New Textiles Economy: Redesigning Fashion’s Future. Available online: https://www.ellenmacarthurfoundation.org/a-new-textiles-economy (accessed on 15 August 2024).
- EU Strategy for Sustainable and Circular Textiles. Communication from the Commision to the European Parliament, the Council, the European Economic and Social Committee and Committee of the Regions. Available online: http://eur-lex.europa.eu/resource.html?uri=cellar:9d2e47d1-b0f3-11ec-83e1-01aa75ed71a1.0001.02/DOC_1&format=PDF (accessed on 15 August 2024).
- Dissanayake, D.G.K.; Weerasinghe, D.U.; Thebuwanage, L.M.; Bandara, U.A.A.N. An environmentally friendly sound insulation material from post-industrial textile waste and natural rubber. J. Build. Eng. 2021, 33, 101606. [Google Scholar] [CrossRef]
- Rehman, K.; Fatima, F.; Waheed, I.; Akash, M.S.H. Prevalence of exposure of heavy metals and their impact on health consequences. J. Cell. Biochem. 2019, 119, 157–184. [Google Scholar] [CrossRef] [PubMed]
- Gupta, V.K.; Carrott, P.J.M.; Ribeiro Carrott, M.M.L.; Suhas. Low-cost adsorbents: Growing approach to wastewater treatment—A review. Crit. Rev. Environ. Sci. Technol. 2009, 39, 783–842. [Google Scholar] [CrossRef]
- Znad, H.; Awual, M.d.R.; Martini, S. The utilization of algae and seaweed biomass for bioremediation of heavy metal-contaminated wastewater. Molecules 2022, 27, 1275. [Google Scholar] [CrossRef] [PubMed]
- Manna, S.; Saha, P.; Roy, D.; Sen, R.; Adhikari, B. Defluoridation potential of jute fibers grafted with fatty acyl chain. Appl. Surf. Sci. 2015, 356, 30–38. [Google Scholar] [CrossRef]
- Afolabi, F.O.; Musonge, P. Synthesis, Characterization, and biosorption of Pb2+ and Cu2+ ions from an aqueous solution using biochar derived from orange peels. Molecules 2023, 28, 7050. [Google Scholar] [CrossRef]
- Zhang, S.; Xin, L.; Li, M.; Fan, F.; Long, H.; Gao, X. Synthesis of Amino-protected Chitosan by Tripolyphosphate and Epichlorohydrin Modification: Cr(VI) Adsorption and Reaction Mechanism. J. Polym. Environ. 2024, 32, 703–717. [Google Scholar] [CrossRef]
- Abdelkhalek, A.; Ali, S.S.M.; Sheng, Z.; Zheng, L.; Hasain, M. Lead removal from aqueous solution by green solid film based on cellulosic fiber extracted from banana tree doped in polyacrylamide. Fiber. Polym. 2022, 23, 1171–1181. [Google Scholar] [CrossRef]
- Vukicevic, M.; Pejic, B.; Lausevic, M.; Pajic-Lijakovic, I.; Kostic, M. Influence of chemically modified short hemp fiber structure on biosorption process of Zn2+ ions from waste water. Fiber. Polym. 2014, 15, 687. [Google Scholar] [CrossRef]
- Kumar, P.A.; Chakraborty, S.; Ray, M. Removal and recovery of chromium from wastewater using short chain polyaniline synthesized on jute fiber. Chem. Eng. J. 2008, 141, 130–140. [Google Scholar] [CrossRef]
- Kumar, P.A.; Chakraborty, S. Fixed-bed column study for hexavalent chromium removal and recovery by short-chain polyaniline synthesized on jute fiber. J. Hazard. Mater. 2009, 162, 1086–1098. [Google Scholar] [CrossRef] [PubMed]
- Huang, Q.; Hu, D.; Chen, M.; Bao, C.; Jin, X. Sequential removal of aniline and heavy metal ions by jute fiber biosorbents: A practical design of modifying adsorbent with reactive adsorbate. J. Mol. Liq. 2019, 285, 288–298. [Google Scholar] [CrossRef]
- Samadi, A.; Wang, Z.; Wang, S.; Nataraj, S.K.; Kong, L.; Zhao, S. Polyaniline-based adsorbents for water treatment: Roles of low-cost materials and 2D materials. Chem. Eng. J. 2023, 478, 147506. [Google Scholar] [CrossRef]
- Mansour, M.S.; Ossman, M.E.; Farag, H.A. Removal of Cd (II) ion from waste water by adsorption onto polyaniline coated on sawdust. Desalination 2011, 272, 301–305. [Google Scholar] [CrossRef]
- Zheng, Y.; Wang, W.; Huang, D.; Wang, A. Kapok fiber oriented-polyaniline nanofibers for efficient Cr(VI) removal. Chem. Eng. J. 2012, 191, 154–161. [Google Scholar] [CrossRef]
- Karthik, R.; Meenakshi, S. Removal of Cr(VI) ions by adsorption onto sodium alginate-polyaniline nanofibers. Int. J. Biol. Macromol. 2015, 72, 711–717. [Google Scholar] [CrossRef]
- Karthik, R.; Meenakshi, S. Removal of Pb(II) and Cd(II) ions from aqueous solution using polyaniline grafted chitosan. Chem. Eng. J. 2015, 263, 168–177. [Google Scholar] [CrossRef]
- Radoičić, M.B.; Milošević, M.V.; Miličević, D.S.; Suljovrujić, E.H.; Ćirić-Marjanović, G.N.; Radetić, M.M.; Šaponjić, Z.V. Influence of TiO2 nanoparticles on formation mechanism of PANI/TiO2 nanocomposite coating on PET fabric and its structural and electrical properties. Surf. Coat. Technol. 2015, 278, 38–47. [Google Scholar] [CrossRef]
- Radoičić, M.; Ćirić-Marjanović, G.; Spasojević, V.; Ahrenkiel, P.; Mitrić, M.; Novaković, T.; Šaponjić, Z. Superior photocatalytic properties of carbonized PANI/TiO2 nanocomposites. Appl. Catal. B Environ. 2017, 213, 155–166. [Google Scholar] [CrossRef]
- Wang, J.; Zhao, B.; Zhao, L.; Zhang, X.; Zhao, D. Preparation, characterization and application of a novel silane-bridged polyaniline/cotton fiber composite. Synth. Met. 2015, 204, 10–16. [Google Scholar] [CrossRef]
- Álvarez-Murillo, A.; Sabio, E.; Ledesma, B.; Román, S.; González-García, C.M. Generation of biofuel from hydrothermal carbonization of cellulose, Kinetics modelling. Energy 2016, 94, 600–608. [Google Scholar] [CrossRef]
- Dong, A.; Fan, X.; Wang, Q.; Yu, Y.; Wang, P.; Yuan, J.; Cavaco-Paulo, A. Changes on content, structure and surface distribution of lignin in jute fibers after laccase treatment. J. Nat. Fibers 2018, 15, 384–395. [Google Scholar] [CrossRef]
- Chung, C.; Lee, M.; Choe, E.K. Characterization of cotton fabric scouring by FT-IR ATR spectroscopy. Carbohydr. Polym. 2004, 58, 417–420. [Google Scholar] [CrossRef]
- Ciolacu, D.; Ciolacu, F.; Popa, V.I. Amorphous cellulose—Structure and characterization. Cellul. Chem. Technol. 2011, 45, 13–21. [Google Scholar]
- Wang, J.; Zhang, K.; Zhao, L. Sono-assisted synthesis of nanostructured polyaniline for adsorption of aqueous Cr(VI): Effect of protonic acids. Chem. Eng. J. 2014, 239, 123–131. [Google Scholar] [CrossRef]
- Kang, E.T.; Neoh, K.G.; Tan, K.L. Polyaniline: A polymer with many interesting intrinsic redox states. Prog. Polym. Sci. 1998, 23, 277–324. [Google Scholar] [CrossRef]
- Chen, J.; Wang, N.; Liu, Y.; Zhu, J.; Feng, J.; Yan, W. Synergetic effect in a self-doping polyaniline/TiO2 composite for selective adsorption of heavy metal ions. Synth. Met. 2018, 245, 32–41. [Google Scholar] [CrossRef]
- Stojanović, G.M.; Radetić, M.M.; Šaponjić, Z.V.; Radoičić, M.B.; Radovanović, M.R.; Popović, Ž.V.; Vukmirović, S.N. A textile-based microfluidic platform for the detection of cytostatic drug concentration in sweat samples. Appl. Sci. 2020, 10, 4392. [Google Scholar] [CrossRef]
- Kavkler, K.; Demšar, A. Examination of cellulose textile fibres in historical objects by micro-Raman spectroscopy. Spectrochim. Acta Part A Mol. Biomol. Spectrosc. 2011, 78, 740–746. [Google Scholar] [CrossRef]
- Szymańska-Chargot, M.; Cybulska, J.; Zdunek, A. Sensing the structural differences in cellulose from apple and bacterial cell wall materials by Raman and FT-IR Spectroscopy. Sensors 2011, 11, 5543–5560. [Google Scholar] [CrossRef]
- Atalla, R.H.; Agarwal, U.P.; Bond, J.S. Raman Spectroscopy. In Methods in Lignin Chemistry, 1st ed.; Lin, S.Y., Dence, C.W., Eds.; Springer Series in Wood Science; Springer: Berlin/Heidelberg, Germany, 1992; pp. 162–176. [Google Scholar]
- Ćirić-Marjanović, G.; Trchova, M.; Stejskal, J. The chemical oxidative polymerization of aniline in water: Raman spectroscopy. J. Raman Spectrosc. 2008, 39, 1375–1387. [Google Scholar] [CrossRef]
- Trchová, M.; Morávková, Z.; Bláha, M.; Stejskal, J. Raman spectroscopy of polyaniline and oligoaniline thin films. Electrochim. Acta 2014, 122, 28–38. [Google Scholar] [CrossRef]
- Krishnan, K.B.; Doraiswamy, I.; Chellamani, K.P. Jute. In Bast and Other Plant Fibres, 1st ed.; Franck, R.E., Ed.; Woodhead Publishing; CRC Press LLC: Cambridge, UK, 2005; pp. 24–93. [Google Scholar]
- Radoičić, M.; Ćirić-Marjanović, G.; Šaponjić, Z.V.; Mitrić, M.; Konstantinović, Z.; Stoiljković, M.; Nedeljković, J.M. Structural and magnetic properties of nanocomposites based on nanostructured polyaniline and titania nanotubes. J. Mater. Sci. 2013, 48, 5776–5787. [Google Scholar] [CrossRef]
- Bismarck, A.; Springer, J.; Mohanty, A.K.; Hinrichsen, G.; Khan, M.A. Characterization of several modified jute fibers using zeta-potential measurements. Colloid Polym. Sci. 2000, 278, 229–235. [Google Scholar] [CrossRef]
- Bellmann, C.; Caspari, A.; Albrecht, V.; Loan Doan, T.T.; Mäder, E.; Luxbacher, T.; Kohl, R. Electrokinetic properties of natural fibres, Colloids Surfaces A Physicochem. Eng. Asp. 2005, 267, 19–23. [Google Scholar] [CrossRef]
- Stana-Kleinschek, K.; Strnad, S.; Ribitsch, V. Surface characterisation and adsorption abilities of cellulose fibers. Polym. Eng. Sci. 1999, 39, 1412–1424. [Google Scholar] [CrossRef]
- Luxbacher, T. The Zeta Potential for Solid Surface Analysis: A Practical Guide to Streaming Potential Measurement, 3rd ed.; Anton Paar GmbH: Graz, Austria, 2014; pp. 9–123. [Google Scholar]
- Dutta, D.; Dubey, R.; Borah, J.P.; Puzari, A. Smart pH-responsive polyaniline-coated hollow polymethylmethacrylate microspheres: A potential pH neutralizer for water purification systems. ACS Omega 2021, 6, 10095–10105. [Google Scholar] [CrossRef]
- Soltani, H.; Belmokhtar, A.; Zeggai, F.Z.; Benyoucef, A.; Bousalem, S.; Bachari, K. Copper(II) removal from aqueous solutions by PANI-clay hybrid material: Fabrication, characterization, adsorption and kinetics study. J. Inorg. Organomet. Polym. Mater. 2019, 29, 841–850. [Google Scholar] [CrossRef]
- Anwar, J.; Shafique, U.; Waheed, Z.; Salman, M.; Dar, A.; Anwar, S. Removal of Pb(II) and Cd(II) from water by adsorption on peels of banana. Bioresour. Technol. 2010, 101, 1752–1755. [Google Scholar] [CrossRef]
- Božić, D.; Gorgievski, M.; Stanković, V.; Štrbac, N.; Šerbula, S.; Petrović, N. Adsorption of heavy metal ions by beech sawdust—Kinetics, mechanism and equilibrium of the process. Ecol. Eng. 2013, 58, 202–206. [Google Scholar] [CrossRef]
- Putra, W.P.; Kamari, A.; Yusoff, S.N.M.; Ishak, C.F.; Mohamed, A.; Hashim, N.; Isa, I.M. Biosorption of Cu (II), Pb (II) and Zn (II) ions from aqueous solutions using selected waste materials. J. Encapsulation Adsorpt. Sci. 2014, 4, 741. [Google Scholar]
- Tasar, S.; Kaya, F.; Özer, A. Biosorption of lead (II) ions from aqueous solution by peanut shells: Equilibrium, thermodynamic and kinetic studies. J. Environ. Chem. Eng. 2014, 2, 1018–1026. [Google Scholar] [CrossRef]
- Asuquo, E.D.; Martin, A.D. Sorption of cadmium (II) ion from aqueous solution onto sweet potato (Ipomoea batatas L.) peel adsorbent: Characterisation, kinetic and isotherm studies. J. Environ. Chem. Eng. 2016, 4, 4207–4228. [Google Scholar] [CrossRef]
- Abbar, B.; Alem, A.; Marcotte, S.; Pantet, A.; Ahfir, N.D.; Bizet, L.; Duriatti, D. Experimental investigation on removal of heavy metals (Cu2+, Pb2+, and Zn2+) from aqueous solution by flax fibres. Process Saf. Environ. Prot. 2017, 109, 639–647. [Google Scholar] [CrossRef]
- Prithwiraj, D.; Mahapatra, B.S.; Juyal, V.K.; Pramanick, B.; Negi, M.S.; Paul, J.; Singh, S.P. Flax processing waste—A low-cost, potential biosorbent for treatment of heavy metal, dye and organic matter contaminated industrial wastewater. Ind. Crops Prod. 2021, 174, 114195. [Google Scholar]
- Bennacer, L.; Benmammar, D.; Ahfir, N.D.; Alem, A.; Mignot, M.; Pantet, A.; El Maana, S. Potential of using Alfa grass fibers (Stipa tenacissima L.) to remove Pb2+, Cu2+, and Zn2+ from an aqueous solution. Environ. Technol. 2022, 45, 1651–1667. [Google Scholar] [CrossRef]
- Yirga, A.; Yadav, O.P.; Dey, T. Waste Orange Peel Adsorbent for Heavy Metal Removal from Water. Pollution 2022, 8, 553–566. [Google Scholar]
- Ahmad, T.; Danish, M. A review of avocado waste-derived adsorbents: Characterizations, adsorption characteristics, and surface mechanism. Chemosphere 2022, 296, 134036. [Google Scholar] [CrossRef]
- Chen, H.; Zhang, R.; Qu, X.; Yuan, Y.; Zhu, B.; Zhao, S.; Jiang, T. Adsorption Properties and Mechanism of Copper Ions from Wastewater by Lessonia nigrescens and Lessonia nigrescens Residue. Separations 2023, 10, 559. [Google Scholar] [CrossRef]
- Mongioví, C.; Jaillet, M.; Lacalamita, D.; Morin-Crini, N.; Lecourt, M.; Tapin-Lingua, S.; Crini, G. A Strategy to Valorize a By-Product of PineWood (Pinus pinaster) for Copper Removal from Aqueous Solutions. Molecules 2023, 28, 6436. [Google Scholar] [CrossRef]
- Singh, M.; Rayaz, M.; Rao, A. Application of novel phytosorbent to sequester chromium(VI) and lead(II) from aqueous phase: Optimization, equilibrium and kinetics. Environ. Prog. Sustain. Energy 2024, 43, e14266. [Google Scholar] [CrossRef]
- Sieber, A.; Jelic, L.R.; Kremser, K.; Guebitz, G.M. Spent brewer’s yeast as a selective biosorbent for metal recovery from polymetallic waste streams. Front. Bioeng. Biotechnol. 2024, 12, 1345112. [Google Scholar] [CrossRef] [PubMed]
- Tan, W.; Zhang, L.; Fu, F.; Bowman, S.; Wang, P.; Li, Y.; Zhang, Y. The heavy metal adsorption and plant cultivation performance of grafting modified plant medium made with recycled fibers. J. Clean. Prod. 2021, 329, 129788. [Google Scholar] [CrossRef]
- Kajeiou, M.; Alem, A.; Mezghich, S.; Ahfir, N.D.; Mignot, M.; Devouge-Boyer, C.; Pantet, A. Competitive and non-competitive zinc, copper and lead biosorption from aqueous solutions onto flax fibers. Chemosphere 2020, 260, 127505. [Google Scholar] [CrossRef] [PubMed]
- Du, Z.; Zheng, T.; Wang, P.; Hao, L.; Wang, Y. Fast microwave-assisted preparation of a low-cost and recyclable carboxyl modified lignocellulose-biomass jute fiber for enhanced heavy metal removal from water. Bioresour. Technol. 2016, 201, 41–49. [Google Scholar] [CrossRef] [PubMed]
- Igberase, E.; Osifo, P. Equilibrium, kinetic, thermodynamic and desorption studies of cadmium and lead by polyaniline grafted cross-linked chitosan beads from aqueous solution. J. Ind. Eng. Chem. 2015, 26, 340–347. [Google Scholar] [CrossRef]
- Shukla, S.R.; Pai, R.S. Adsorption of Cu(II), Ni(II) and Zn(II) on modified jute fibres. Bioresour. Technol. 2005, 96, 1430–1438. [Google Scholar] [CrossRef]
- SRPS F.S2.022/1:2018; Textiles—Determination of Fabrics Resistance against Bursting. Institute for Standardization of Serbia: Belgrade, Serbia, 2018.
- ISO 1833-11; Textiles—Quantitative Chemical Analysis-Part 11: Mixtures of Certain Cellulose Fibres with Certain Other Fibres (Method Using Sulfuric Acid). ISO: Geneva, Switzerland, 2017.
- Mihailović, D.; Šaponjić, Z.; Radoičić, M.; Radetić, T.; Jovančić, P.; Nedeljković, J.; Radetić, M. Functionalization of polyester fabrics with alginates and TiO2 nanoparticles. Carbohydr. Polym. 2010, 79, 526–532. [Google Scholar] [CrossRef]
- Kasuga, T.; Hiramatsu, M.; Hoson, A.; Sekino, T.; Niihara, K. Titania nanotubes prepared by chemical processing. Adv. Mater. 1999, 11, 1307–1311. [Google Scholar] [CrossRef]
- Vranješ, M.; Kuljanin Jakovljević, J.; Konstantinović, Z.; Pomar, A.; Stoiljković, M.; Mitrić, M.; Radetić, T.; Šaponjić, Z. Shaped Co2+ doped TiO2 nanocrystals synthesized from nanotubular precursor: Structure and ferromagnetic behavior. J. Adv. Ceram. 2017, 6, 220–229. [Google Scholar] [CrossRef]






| Sorbent | Sorption Capacity (mg/g) | Reference | |
|---|---|---|---|
| Pb2+ | Cu2+ | ||
| Banana peel | 2.18 | Not studied | [44] |
| Beech sawdust | Not studied | 4.5 | [45] |
| Coconut tree seadust | 25 | 3.9 | [46] |
| Peanut shells | 39 | Not studied | [47] |
| Sweet poatato peel | 18 | Not studied | [48] |
| Flex fiber | 10.7 | 9.9 | [49] |
| Flex processing waste | 13.4 | 8.3 | [50] |
| Alfa grass fibers | 14.49 | 11.90 | [51] |
| Dried orange peel | Not studied | 2.78 | [52] |
| Avocado peel | 4.93 | Not studied | [53] |
| L. nigrescens | Not studied | 12.15 | [54] |
| Seaweed residue | 9.09 | ||
| Washed pine wood fibers | Not studied | 2.06 | [55] |
| Pine wood fibers activated by sodium carbonate | 4.26 | ||
| Prosopis cineraria leaf powder | 10.238 | Not studied | [56] |
| Waste yeastbiomass | Not studied | 4.24 | [57] |
| NWS | 5.06 | 2.83 | Current study |
| NWS_TP_NP | 18.94 | 5.62 | |
| NWS_TP_NT | 17.11 | 5.77 | |
| Sample | Pb2+ | Cu2+ | ||||||
|---|---|---|---|---|---|---|---|---|
| qexp(mg/g) | qe(mg/g) | k2(g/mg·min) | R2 | qexp(mg/g) | qe(mg/g) | k2(g/mg·min) | R2 | |
| NWS | 5.06 | 5.07 | 0.22 | 0.99998 | 2.83 | 2.91 | 0.015 | 0.99675 |
| NWS_TP_NP | 18.94 | 18.92 | 0.003 | 0.9988 | 5.62 | 5.67 | 0.011 | 0.99982 |
| NWS_TP_NT | 17.11 | 17.08 | 0.62 | 0.99991 | 5.77 | 5.79 | 0.012 | 0.99856 |
| Sample | Pb2+ | Cu2+ | ||||
|---|---|---|---|---|---|---|
| qmax(mg/g) | KL(L/g) | R2 | qmax(mg/g) | KL(L/g) | R2 | |
| NWS | 5.823 | 0.520 | 0.993 | 2.593 | 0.0123 | 0.548 |
| NWS_TP_NP | 14.503 | 4.389 | 0.999 | 5.555 | 0.290 | 0.996 |
| NWS_TP_NT | 17.976 | 0.352 | 0.997 | 6.139 | 0.399 | 0.999 |
Disclaimer/Publisher’s Note: The statements, opinions and data contained in all publications are solely those of the individual author(s) and contributor(s) and not of MDPI and/or the editor(s). MDPI and/or the editor(s) disclaim responsibility for any injury to people or property resulting from any ideas, methods, instructions or products referred to in the content. |
© 2024 by the authors. Licensee MDPI, Basel, Switzerland. This article is an open access article distributed under the terms and conditions of the Creative Commons Attribution (CC BY) license (https://creativecommons.org/licenses/by/4.0/).
Share and Cite
Kovačević, A.; Radoičić, M.; Marković, D.; Šaponjić, Z.; Radetić, M. Recycled Jute Non-Woven Material Coated with Polyaniline/TiO2 Nanocomposite for Removal of Heavy Metal Ions from Water. Molecules 2024, 29, 4366. https://doi.org/10.3390/molecules29184366
Kovačević A, Radoičić M, Marković D, Šaponjić Z, Radetić M. Recycled Jute Non-Woven Material Coated with Polyaniline/TiO2 Nanocomposite for Removal of Heavy Metal Ions from Water. Molecules. 2024; 29(18):4366. https://doi.org/10.3390/molecules29184366
Chicago/Turabian StyleKovačević, Aleksandar, Marija Radoičić, Darka Marković, Zoran Šaponjić, and Maja Radetić. 2024. "Recycled Jute Non-Woven Material Coated with Polyaniline/TiO2 Nanocomposite for Removal of Heavy Metal Ions from Water" Molecules 29, no. 18: 4366. https://doi.org/10.3390/molecules29184366
APA StyleKovačević, A., Radoičić, M., Marković, D., Šaponjić, Z., & Radetić, M. (2024). Recycled Jute Non-Woven Material Coated with Polyaniline/TiO2 Nanocomposite for Removal of Heavy Metal Ions from Water. Molecules, 29(18), 4366. https://doi.org/10.3390/molecules29184366

