Reactions of Tetracyanoethylene with Aliphatic and Aromatic Amines and Hydrazines and Chemical Transformations of Tetracyanoethylene Derivatives
Abstract
1. Introduction
2. Unusual Chemical Reactions with TCNE
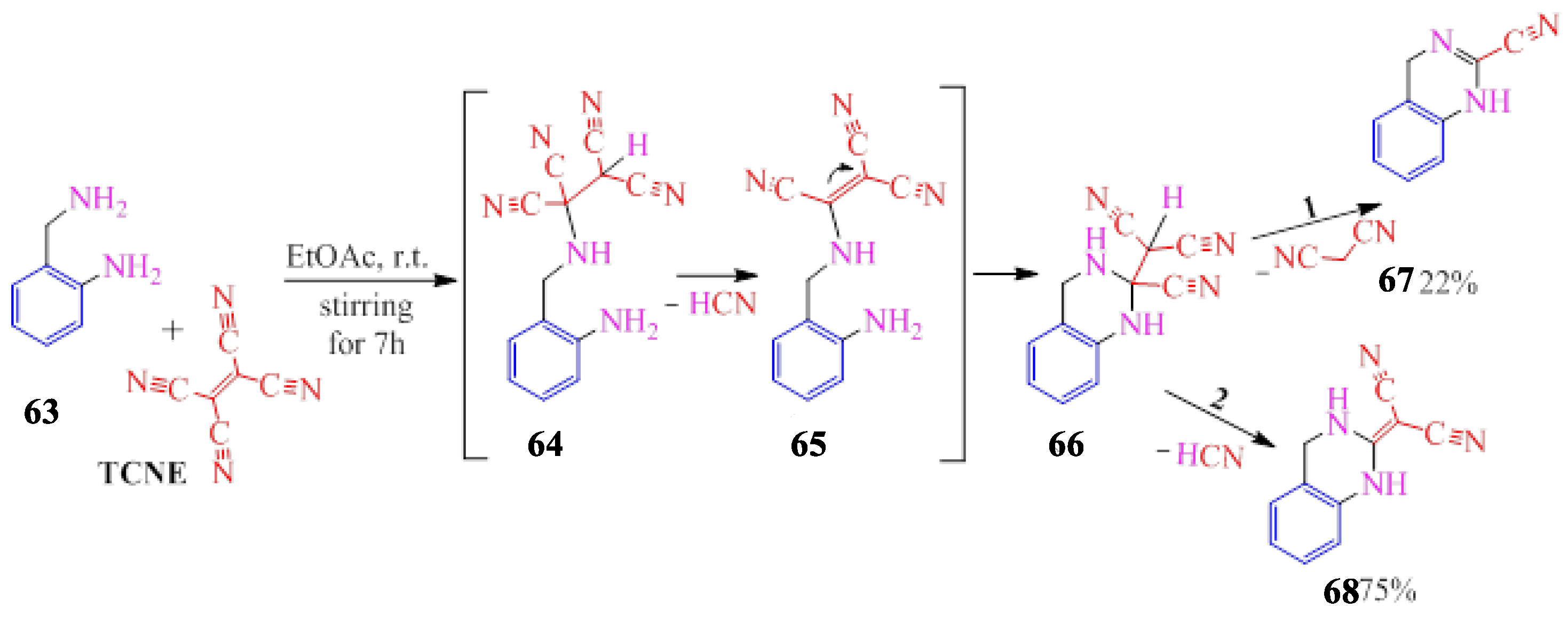
3. Heterocyclic Derivatives via Tricyanovinyl Intermediates
4. Heterocyclic Derivatives via Tricyanovinyl Intermediates
5. Synthesis of Optically Active Compounds via Pericyclic Reactions with TCNE
6. Molecular Research
- Glycoside, which is used for the treatment of type 2 diabetes through blood glucose control [74];
- Papaverine hydrochloride, which aims to treat renal colic as well as gastrointestinal, bile duct, and ureteral spasms [75];
- Pilocaprine hydrochloride, which pharmacologically stimulates exocrine glands that promote sweating, salivation, lacrimation, and gastric and pancreatic secretion. Additionally, this drug has been used for a long time to treat glaucoma [76];
- Procaine hydrochloride, which reduces pain from intramuscular injections of penicillin and is used in dentistry [77];
- Aminoantipyrine, which finds application in pharmacological, biological, biochemical, and analytical studies, and can reduce bleeding and denature bovine hemoglobin [78];
- Sulfamethoxazole, which is a cheap and effective synthetic antibiotic used against most Gram-positive and Gram-negative bacteria [79];
- Sulfathiazole, which has the same characteristics as Sulfamethoxazole [80];
- Simvastathathione, which aims to reduce cholesterol levels and the risks of atherosclerosis and myocardial infarction, additionally possessing anti-inflammatory effects on the skin and crack healing [81].
7. Conclusions
- -
- TCNE undergoes a [3+2]-cycloaddition with subsequent rearrangement and C-C bond cleavage when reacting with triazenes;
- -
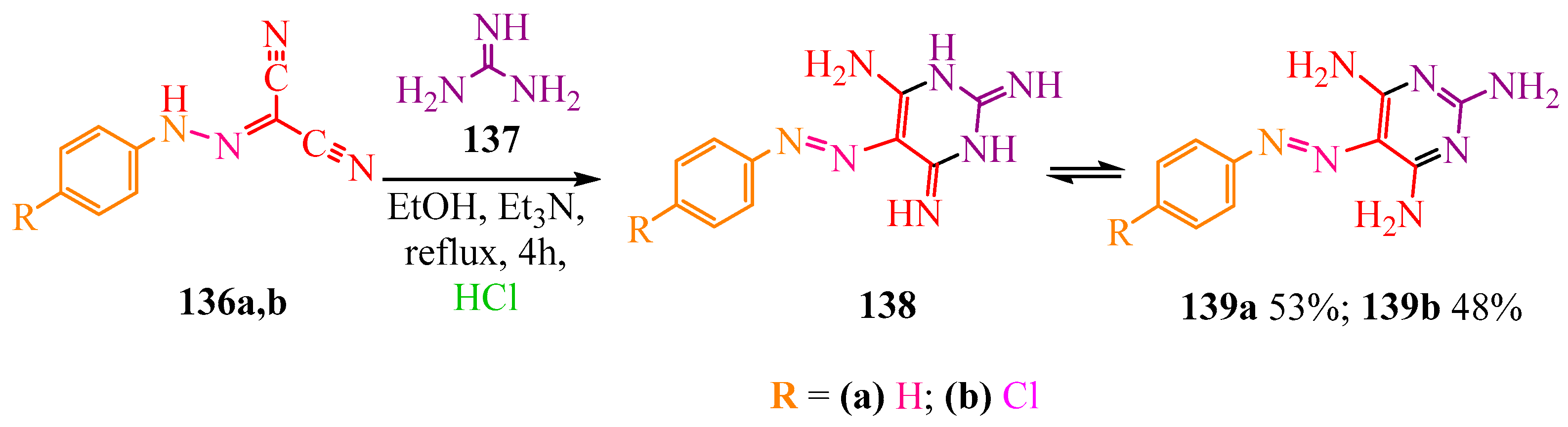
- Addition of TCNE to 2-amino-N-benzamidine occurs through multiple reaction centers, followed by intramolecular cyclization. One instance suggests the elimination of both hydrogen cyanide and malononitrile;
- -
- Tricyanovinylation selectively proceeds with primary arylamines such as 2-aminobenzylamine and anthranilic acid hydrazide. In these cases, TCNE adds to benzylamine and to the terminal nitrogen of the hydrazide, respectively;
- -
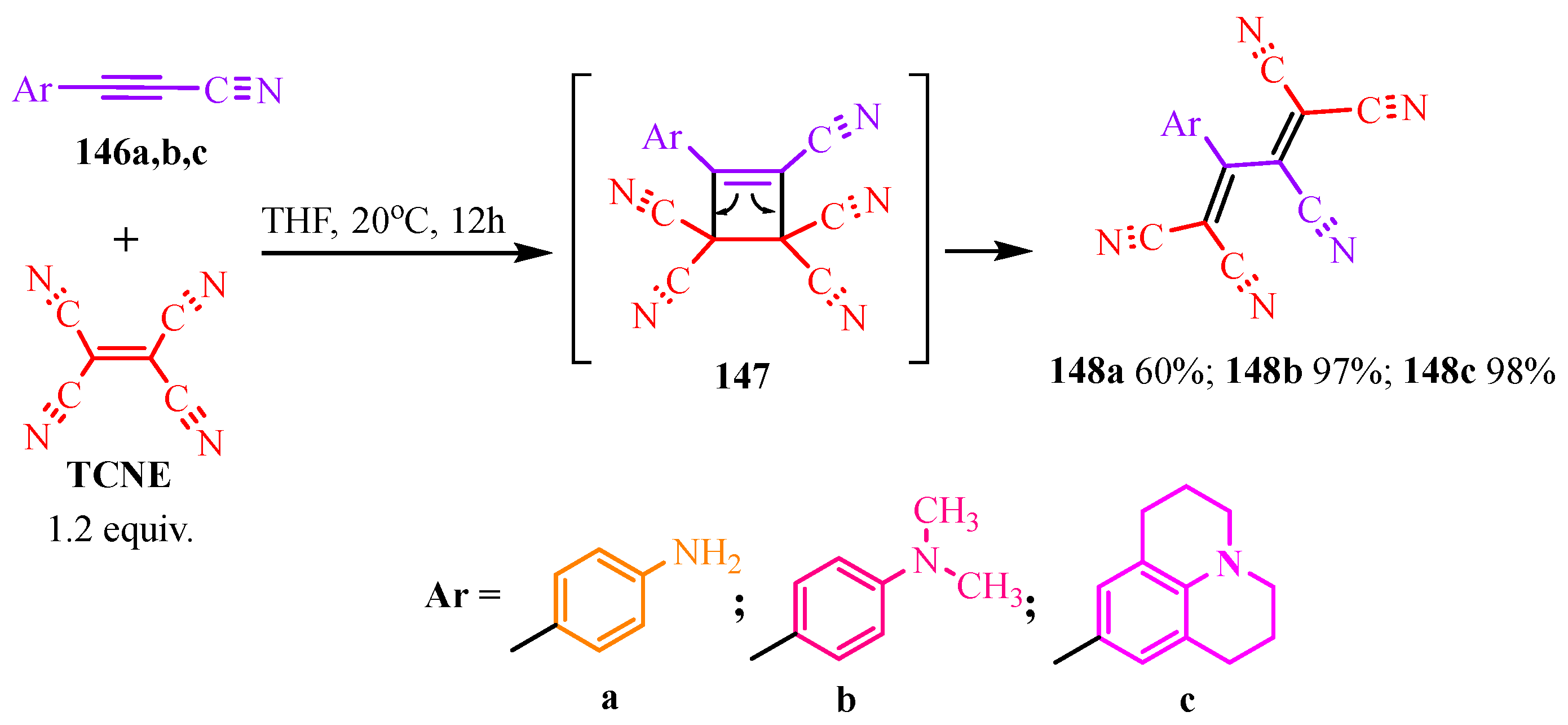
- Aromatic amino groups in compounds containing alkynes, butadiene moieties, and nitroso groups do not participate in the reaction with TCNE uniformly. For instance, disubstituted alkyne derivatives undergo [2+2]-cycloaddition followed by cyclobutene cleavage, whereas compounds with butadiene moieties undergo [2+4]-cycloaddition to form stable six-membered cycles. Certain arylamine molecules containing both amino and nitroso groups add to TCNE, leading to N-N bond cleavage and formation of malononitrile derivatives.
Supplementary Materials
Author Contributions
Funding
Institutional Review Board Statement
Informed Consent Statement
Data Availability Statement
Acknowledgments
Conflicts of Interest
References
- Cairns, T.L.; Carboni, R.A.; Coffman, D.D.; Engelhardt, V.A.; Heckert, R.E.; Little, E.L.; McGeer Edith, G.; Kusick, B.C.; Middleton, W.J.; Scribner, R.M.; et al. Cyanocarbon Chemistry. I. Preparation and Reactions of Tetracyanoethylene. J. Am. Chem. Soc. 1958, 80, 2775–2778. [Google Scholar] [CrossRef]
- Carboni, R.A. Tetracyanoethylene. Org. Synth. 1959, 39, 64. [Google Scholar]
- McKusick, B.C.; Heckert, R.E.; Cairns, T.L.; Coffman, D.D.; Mower, H.F. Cyanocarbon Chemistry. VI.1 Tricyanovinylamines. J. Am. Chem. Soc. 1958, 80, 2806–2815. [Google Scholar] [CrossRef]
- Zhang, H.; Wang, S.; Li, Y.; Zhang, B.; Du, C.; Wan, X.; Chen, Y. Synthesis, characterization, and electroluminescent properties of star shaped donor–acceptor dendrimers with carbazole dendrons as peripheral branches and heterotriangulene as central core. Tetrahedron 2009, 65, 4455–4463. [Google Scholar] [CrossRef]
- El-Nahass, M.M.; Zeyada, H.M.; Abd-El-Rahman, K.F.; Farag, A.A.M.; Darwish, A.A.A. Fourier-transform infrared and optical absorption spectra of 4-tricyanovinyl-N,N-diethylaniline thin films. Spectrochim. Acta Part A 2008, 69, 205–210. [Google Scholar] [CrossRef] [PubMed]
- El-Nahass, M.M.; Abd-El-Rahman, K.F.; Darwish, A.A.A. Optical properties of organic thin films of 4-tricyanovinyl-N, N-diethylaniline. Eur. Phys. J. Appl. Phys. 2009, 48, 20402. [Google Scholar] [CrossRef]
- Deshpande, A.V.; Beidoun, A.; Penzkofer, A.; Wagenblast, G. Absorption and emission spectroscopic investigation of cyanovinyldiethylaniline dye vapors. Chem. Phys. 1990, 142, 123–131. [Google Scholar] [CrossRef]
- Al-Sehemi, G.A.; Irfan, A.; Asiri, M.A.; Ammar, A.Y. Synthesis, characterization and density functional theory study of low cost hydrazone sensitizers. Bull. Chem. Soc. Ethiop. 2015, 29, 137. [Google Scholar] [CrossRef]
- Kreutzberger, A.; Daus, S. Antivirale Wirkstoffe, 30. Mitt. (Halogenanilino)ethentricarbonitrile. Arch. Pharm. 1987, 320, 37–42. [Google Scholar] [CrossRef]
- Kreutzberger, A.; Daus, S. Antibakterielle wirkstoffe, XII [1] (trifluormethylanilino)ethentricarbonitrile. J. Fluor. Chem. 1987, 36, 461–470. [Google Scholar] [CrossRef]
- Kreutzberger, A.; Daus, S. Trichomonazide Wirkstoffe, 5. Mitt. (Dichloranilino)ethentricarbonitrile. Arch. Pharm. 1986, 319, 1143–1145. [Google Scholar] [CrossRef] [PubMed]
- AlGarni, S.E.; Darwish, A. Nanostructured dye films of 4-tricyanvinyl-N,N-diethylaniline (TCVA) for optoelectronic applications: Changing the microstructure and improving electrical conductivity under the influence of UV radiation. Phys. Scr. 2019, 95, 045806. [Google Scholar] [CrossRef]
- Robergs, R.A.; Ghiasvand, F.; Parker, D. Biochemistry of exercise-induced metabolic acidosis. Am. J. Physiol. 2004, 287, R502–R516. [Google Scholar] [CrossRef] [PubMed]
- Podhradský, D.; Paulíková, H.; Imrich, J. Reactions of N-tricyanovinylamines with thiols in aqueous solutions. Collect. Czech. Chem. Commun. 1990, 55, 1630–1634. [Google Scholar] [CrossRef]
- El-Shayeb, K.M.; Hopf, H.; Jones, P.G.Z. Synthesis of 2-(2-Aminophenyl)-4-arylquinazoline Derivatives by Reaction of 2-Aminoarylbenzimidamides with Isatoic Anhydride. Naturforsch. B J. Chem. Sci. 2009, 64, 858–864. [Google Scholar] [CrossRef]
- El-Shayeb, K.M.; Jones, P.G. Chemical and structural properties of 2-aminobenzylamine derivatives. Z. Med. Phys. 2013, 68, 913–923. [Google Scholar] [CrossRef][Green Version]
- Rewcastle, G.W. Pyrimidines and their Benzo Derivatives. Compr. Heterocycl. Chem. III 2008, 8, 117–272. [Google Scholar]
- Wissner, A.; Fraser, H.L.; Ingalls, C.L.; Dushin, R.G.; Floyd, M.B.; Cheung, K.; Loganzo, F. Dual irreversible kinase inhibitors: Quinazoline-based inhibitors incorporating two independent reactive centers with each targeting different cysteine residues in the kinase domains of EGFR and VEGFR-2. Bioorg. Med. Chem. 2007, 15, 3635–3648. [Google Scholar] [CrossRef]
- Hassan, A.A.; Aly, A.A.; Mohamed, N.K.; Mourad, A.-F.E. Diimine-Tetracyanoethylene Donor-Acceptor Interactions: Synthesis of Pyrroles, Imidazolidines and Quinolines. J. Chem. Res. 1996, 4, 208–209. [Google Scholar] [CrossRef]
- Middleton, W.J.; Little, E.L.; Coffman, D.D.; Engelhardt, V.A. Cyanocarbon Chemistry. V.1 Cyanocarbon Acids and their Salts. J. Am. Chem. Soc. 1958, 80, 2795–2806. [Google Scholar] [CrossRef]
- Menezes da Silva, V.H.; Monezi, N.M.; Ando, R.A.; Braga, A.A.C. New insights into the electrophilic aromatic substitution mechanism of tricyanovinylation reaction involving tetracyanoethylene and N,N-dimethylaniline: An interpretation based on density functional theory calculations. J. Mol. Struct. 2017, 1142, 58–65. [Google Scholar] [CrossRef]
- Sanap, A.K.; Shankarling, G.S. Eco-friendly and recyclable media for rapid synthesis of tricyanovinylated aromatics using biocatalyst and deep eutectic solvent. Catal. Commun. 2014, 49, 58–62. [Google Scholar] [CrossRef]
- Sharma, R.; Chisti, Y.; Banerjee, U.C. Production, purification, characterization, and applications of lipases. Biotechnol. Adv. 2001, 19, 627–662. [Google Scholar] [CrossRef] [PubMed]
- López-Otín, C.; Bond, J.S. Proteases: Multifunctional Enzymes in Life and Disease. J. Biol. Chem. 2008, 283, 30433–30437. [Google Scholar] [CrossRef]
- Gurkan, B.; Squire, H.; Pentzer, E.B. Metal-Free Deep Eutectic Solvents: Preparation, Physical Properties, and Significance. J. Phys. Chem. Lett. 2019, 10, 7956–7964. [Google Scholar] [CrossRef]
- Lipilin, D.L.; Churakov, A.M.; Ioffe, S.L.; Strelenko, Y.A.; Tartakovsky, V.A. Formation of nitron in the reaction of para-nitroso-N,N-dimethylaniline with tetracyanoethylene. Russ. Chem. Bull. 1997, 46, 596–598. [Google Scholar] [CrossRef]
- Lee, P.H.; Lee, K. Intermolecular tandem Pd-catalyzed cross-coupling/[4+4] and [4+2] Cycloaddition: One-component five-component assembly of bicyclos [6.4.0] dodecans. Angew. Chem. Int. Ed. 2005, 44, 3253–3256. [Google Scholar] [CrossRef] [PubMed]
- Adam, A.M.A.; Refat, M.S.; Hegab, M.S.; Saad, H.A. Spectrophotometric and thermodynamic studies on the 1:1 charge transfer interaction of several clinically important drugs with tetracyanoethylene in solution-state: Part one. J. Mol. Liq. 2016, 224, 311–321. [Google Scholar] [CrossRef]
- Mirallai, S.I.; Manoli, M.; Koutentis, P.A. The reaction of 2-amino-N′-arylbenzamidines with tetracyanoethene reinvestigated: Routes to imidazoles, quinazolines and quinolino [2′,3′:4,5]imidazo [1,2-c]quinazoline-8-carbonitrile. Tetrahedron 2015, 71, 8766–8780. [Google Scholar] [CrossRef]
- Hauguel, C.; Ducellier, S.; Provot, O.; Ibrahim, N.; Lamaa, D.; Balcerowiak, C.; Letribot, B.; Nascimento, M.; Blanchard, V.; Askenatzis, L.; et al. Design, synthesis and biological evaluation of quinoline-2-carbonitrile-based hydroxamic acids as dual tubulin polymerization and histone deacetylases inhibitors. Eur. J. Med. Chem. 2022, 240, 114573. [Google Scholar] [CrossRef] [PubMed]
- Vincent, P.W.; Bridges, A.J.; Dykes, D.J.; Fry, D.W.; Leopold, W.R.; Patmore, S.J.; Elliott, W.L. Anticancer efficacy of the irreversible EGFr tyrosine kinase inhibitor PD 0169414 against human tumor xenografts. Cancer Chemother. Pharmacol. 2000, 45, 231–238. [Google Scholar] [CrossRef] [PubMed]
- Bridges, A.J.; Zhou, H.; Cody, D.R.; Rewcastle, G.W.; McMichael, A.; Showalter, H.D.H.; Denny, W.A. Tyrosine Kinase Inhibitors. 8. An Unusually Steep Structure−Activity Relationship for Analogues of 4-(3-Bromoanilino)-6,7-dimethoxyquinazoline (PD 153035), a Potent Inhibitor of the Epidermal Growth Factor Receptor. J. Med. Chem. 1996, 39, 267–276. [Google Scholar] [CrossRef] [PubMed]
- Rewcastle, G.W.; Denny, W.A.; Bridges, A.J.; Zhou, H.; Cody, D.R.; McMichael, A.; Fry, D.W. Tyrosine kinase inhibitors. 5. Synthesis and structure-activity relationships for 4-[(phenylmethyl)amino]- and 4-(phenylamino)quinazolines as potent adenosine 5′-triphosphate binding site inhibitors of the tyrosine kinase domain of the epidermal growth factor receptor. J. Med. Chem. 1995, 38, 3482–3487. [Google Scholar] [PubMed]
- Palmer, B.D.; Trumpp-Kallmeyer, S.; Fry, D.W.; Nelson, J.M.; Showalter, H.D.H.; Denny, W.A. Tyrosine Kinase Inhibitors. 11. Soluble Analogues of Pyrrolo- and Pyrazoloquinazolines as Epidermal Growth Factor Receptor Inhibitors: Synthesis, Biological Evaluation, and Modeling of the Mode of Binding. J. Med. Chem. 1997, 40, 1519–1529. [Google Scholar] [CrossRef] [PubMed]
- Shi, W.; Shen, Q.; Kong, W.; Ye, B. QSAR analysis of tyrosine kinase inhibitor using modified ant colony optimization and multiple linear regression. Eur. J. Med. Chem. 2007, 42, 81–86. [Google Scholar] [CrossRef] [PubMed]
- Kurup, A.; Garg, R.; Hansch, C. Comparative QSAR Study of Tyrosine Kinase Inhibitors. Chem. Rev. 2001, 101, 2573–2600. [Google Scholar] [CrossRef]
- Krapf, M.K.; Gallus, J.; Spindler, A.; Wiese, M. Synthesis and biological evaluation of quinazoline derivatives—A SAR study of novel inhibitors of ABCG2. Eur. J. Med. Chem. 2018, 161, 506–525. [Google Scholar] [CrossRef] [PubMed]
- Costantino, G.; Macchiarulo, A.; Camaioni, E.; Pellicciari, R. Modeling of Poly(ADP-ribose)polymerase (PARP) Inhibitors. Docking of Ligands and Quantitative Structure−Activity Relationship Analysis. J. Med. Chem. 2001, 44, 3786–3794. [Google Scholar] [CrossRef]
- Bozdag, M.; Alafeefy, A.M.; Altamimi, A.M.; Vullo, D.; Carta, F.; Supuran, C.T. Coumarins and other fused bicyclic heterocycles with selective tumor-associated carbonic anhydrase isoforms inhibitory activity. Bioorg. Med. Chem. 2017, 25, 677–683. [Google Scholar] [CrossRef] [PubMed]
- Castellani, B.; Diamanti, E.; Pizzirani, D.; Tardia, P.; Maccesi, M.; Realini, N.; Piomelli, D. Synthesis and characterization of the first inhibitor of N-acylphosphatidylethanolamine phospholipase D (NAPE-PLD). Chem. Commun. 2017, 53, 12814–12817. [Google Scholar] [CrossRef] [PubMed]
- Ferreira-Ramos, A.S.; Li, C.; Eydoux, C.; Contreras, J.M.; Morice, C.; Quérat, G.; Coutard, B. Approved drugs screening against the nsP1 capping enzyme of Venezuelan equine encephalitis virus using an immuno-based assay. Antivir. Res. 2019, 163, 59–69. [Google Scholar] [CrossRef] [PubMed]
- Bellocchi, D.; Macchiarulo, A.; Costantino, G.; Pellicciari, R. Docking studies on PARP-1 inhibitors: Insights into the role of a binding pocket water molecule. Bioorg. Med. Chem. 2005, 13, 1151–1157. [Google Scholar] [CrossRef] [PubMed]
- Castro, A.; Jerez, M.J.; Gil, C.; Calderón, F.; Doménech, T.; Nueda, A.; Martínez, A. CODES, a novel procedure for ligand-based virtual screening: PDE7 inhibitors as an application example. Eur. J. Med. Chem. 2008, 43, 1349–1359. [Google Scholar] [CrossRef] [PubMed]
- Morikawa, T.; Manse, Y.; Luo, F.; Fukui, H.; Inoue, Y.; Kaieda, T.; Ninomiya, K.; Muraoka, O.; Yoshikawa, M. Indole Glycosides from Calanthe discolor with Proliferative Activity on Human Hair Follicle Dermal Papilla Cells. Chem. Pharm. Bull. 2021, 69, 464–471. [Google Scholar] [CrossRef]
- Liao, B.-L.; Pan, Y.-J.; Zhang, W.; Pan, L.-W. Four Natural Compounds Separated from Folium Isatidis: Crystal Structures and Antibacterial Activity. Chem. Biodivers. 2018, 15, e1800152. [Google Scholar] [CrossRef] [PubMed]
- Guan, Z.-B.; Liang, Y.-Q.; Lin, J.-L.; Liao, X.-J.; Xu, S.-H.; Zhao, B.-X. Two new pyrrolidine alkaloids from the red alga Acanthophora spicifera. Nat. Prod. Res. 2020, 35, 3824–3829. [Google Scholar] [CrossRef]
- Hecht, S.M.; Werner, D.; Traficante, D.D.; Sundaralingam, M.; Prusiner, P.; Ito, T.; Sakurai, T. Structure determination of the N-methyl isomers of 5-amino-3,4-dicyanopyrazole and certain related pyrazolo [3,4-d]pyrimidines. J. Org. Chem. 1975, 40, 1815–1822. [Google Scholar] [CrossRef]
- Ivanova, E.S.; Nasakin, O.E.; Maryasov, M.A.; Andreeva, V.V.; Romashov, N.P.; Lodochnikova, O.A. Reactions of tetracyanoethylene with dimethyl/arylhydrazines and arylamines. Mendeleev Commun. 2023, 33, 853–855. [Google Scholar] [CrossRef]
- Hassan, A.A.; El-Shaieb, K.M.A.; Mohamed, N.K.; Tawfeek, H.N.; Bräse, S.; Nieger, M. A novel and facile synthesis of mesoionic 1,2,4-triazolium-3-thiolate derivatives. Tetrahedron Lett. 2014, 55, 2385–2388. [Google Scholar] [CrossRef]
- Hassan, A.A.; Aly, A.A.; Mohamed, N.K.; El-Haleem, L.E.A.; Bräse, S.; Nieger, M. Tetracyanoethylene as a building block in the facile synthesis of heteroyl-tetrasubstituted thiazoles. Monatsh. Chem. 2020, 151, 1425–1431. [Google Scholar] [CrossRef]
- El-Shayeb, K.M.; Amen, M.A.; Abdel-Latif, F.F.; Mohamed, A.H. Synthesis of 1,2,4-triazepine and 1,2,5-triazocine derivatives from the reaction of 2-aminobenzohydrazide with π-acceptors. J. Chem. Res. 2012, 36, 528–531. [Google Scholar] [CrossRef]
- Verardo, G.; Toniutti, N.; Giumanini, A.G. 1-Substituted 1,4,5,6-tetrahydropyridazines and 1-(N-substituted)-aminopyrrolidines from hydrazines and 2, 5-dimethoxytetrahydrofuran. Tetrahedron 1997, 53, 3707–3722. [Google Scholar]
- Elattar, K.M.; Abozeid, M.A.; Mousa, I.A.; El-Mekabaty, A. ChemInform Abstract: Advances in 1,2,4-Triazepines Chemistry. Chem. Inform. 2016, 47, 106710–106753. [Google Scholar] [CrossRef]
- Sladowska, H.; Bodetko, M.; Sieklucka-Dziuba, M.; Rajtar, G.; Zółkowska, D.; Kleinrok, Z. Transformation of some pyrido [2,3-d]pyrimidine derivatives into other di- and triheterocyclic systems. Farmaco 1997, 52, 657–662. Available online: https://pubmed.ncbi.nlm.nih.gov/9550090/ (accessed on 1 November 1997). [CrossRef] [PubMed]
- Mitsuhashi, T. Mechanism of reaction of 1,3-diaryltriazenes with tetracyanoethylene in the presence of acetic acid. J. Chem. Soc. Perkin Trans. 2 1986, 2, 1495–1499. [Google Scholar] [CrossRef]
- Antalik, M.; Sturdík, E.; Sulo, P.; Propperová, A.; Mihalovová, E.; Podhradský, D.; Dzurila, M. Uncoupling effect of protonophoric and nonprotonophoric analogs of carbonyl cyanide phenylhydrazone on mitochondrial oxidative phosphorylation. Gen. Physiol. Biophys. 1988, 7, 517–528. [Google Scholar] [PubMed]
- Silva, D.; Mendes, E.; Summers, E.J.; Neca, A.; Jacinto, A.C.; Reis, T.; Carreiras, M.C. Synthesis, biological evaluation, and molecular modeling of nitrile-containing compounds: Exploring multiple activities as anti-Alzheimer agents. Drug Dev. Res. 2019, 1–17. [Google Scholar] [CrossRef]
- Devidas, P.; Sunil, G.; Sonali, K.; Priya, G.; Milind, G.; Bhaskar, D. Design, Synthesis, Docking and Biological Study of Pyrazole-3,5-diamine Derivatives with Potent Antitubercular Activity. Chem. Methodol. 2022, 6, 677–690. [Google Scholar]
- Elnagdy, H.M.F.; Chetia, T.; Dehingia, N.; Chetia, B.; Dutta, P.; Sarma, D. Sensing and optical activities of new pyrazole containing polymeric analogues. Bull. Mater. Sci. 2022, 45, 86. [Google Scholar] [CrossRef]
- Braud, E.; Le Corre, L.; Dasso Lang, M.; Garbay, C.; Gravier-Pelletier, C.; Busca, P.; Ethève-Quelquejeu, M. Synthesis of Multifunctionalized 2-Iminothiazolidin-4-ones and Their 2-Arylimino Derivatives. Synthesis 2016, 48, 4569–4579. [Google Scholar] [CrossRef]
- Fichez, J.; Soulie, C.; Le Corre, L.; Sayon, S.; Priet, S.; Alvarez, K.; Busca, P. Discovery, SAR study and ADME properties of methyl 4-amino-3-cyano-1-(2-benzyloxyphenyl)-1H-pyrazole-5-carboxylate as an HIV-1 replication inhibitor. RSC Med. Chem. 2020, 11, 577–582. [Google Scholar] [CrossRef]
- Belskaya, N.P.; Gavlik, K.D.; Naumenkova, P.O. Reaction of arylhydrazonoacetamidines with carbonyl compounds, Novel synthetic route to 2,3-dihydro-1,2,4-triazines. Russ. Chem. Bull. 2014, 63, 1584–1589. [Google Scholar] [CrossRef]
- AlHazmi, H.A.; Albratty, M.M.; El-Sharkawy, K.A. Design, synthesis and biological evaluation of pyrimidine-based derivatives as antitumor agents. Rev. Roum. Chim. 2020, 65, 227–238. [Google Scholar]
- Hampshire, J.; Hebborn, P.; Triggle, A.M.; Triggle, D.J.; Vickers, S. Potential Folic Acid Antagonists. I. The Antitumor and Folic Acid Reductase Inhibitory Properties of 6-Substituted 2,4-Diamino-5-arylazopyrimidines1. J. Med. Chem. 1965, 8, 745–749. [Google Scholar] [CrossRef] [PubMed]
- Jaffe, J.J.; McCormack, J.J., Jr. Dihydrofolate reductase from Trypanosoma equiperdum. I. Isolation, partial purification, and properties. Mol. Pharmacol. 1967, 3, 359–369. [Google Scholar] [PubMed]
- Bowden, K.; Harris, N.V.; Watson, C.A. Structure-Activity Relationships of Dihydrofolate Reductase Inhibitors. J. Chemother. 1993, 5, 377–388. [Google Scholar] [CrossRef] [PubMed]
- Barbaro, G.; Battaglia, A.; Giorgianni, P. Periselectivity in cycloadditions to vinylmethylketene and structurally related vinylketene imines. Am. J. Org. Chem. 1987, 52, 3289–3296. [Google Scholar] [CrossRef]
- Battaglia, A.; Barbaro, G.; Giorgianni, P. Synthesis and Reactivity of N-Mesitylcyclopropylideneazomethine. J. Org. Chem. 1985, 50, 5368–5370. [Google Scholar] [CrossRef]
- Lacy, A.R.; Vogt, A.; Boudon, C.; Gisselbrecht, J.-P.; Schweizer, W.B.; Diederich, F. Post-Cycloaddition-Retroelectrocyclization Transformations of Polycyanobutadienes. Eur. J. Org. Chem. 2012, 2013, 869–879. [Google Scholar] [CrossRef]
- Michinobu, T. Click-Type Reaction of Aromatic Polyamines for Improvement of Thermal and Optoelectronic Properties. J. Am. Chem. Soc. 2008, 130, 14074–14075. [Google Scholar] [CrossRef]
- Shoji, T.; Higashi, J.; Ito, S.; Okujima, T.; Yasunami, M.; Morita, N. Synthesis of Redox-Active, Intramolecular Charge-Transfer Chromophores by the [2+2] Cycloaddition of Ethynylated 2H-Cyclohepta[b]furan-2-ones with Tetracyanoethylene. Chem.-Eur. J. 2011, 17, 5116–5129. [Google Scholar] [CrossRef] [PubMed]
- Nhu Pham, Q.N.; Silpcharu, K.; Vchirawongkwin, V.; Sukwattanasinitt, M.; Rashatasakhon, P. 2,3-Diaryl-1,1,4,4-tetracyanobutadienes as Colorimetric Sensors for Sulfide Ion in Aqueous Media. Synlett 2022, 33, 1335–1340. [Google Scholar]
- Reutenauer, P.; Kivala, M.; Jarowski, P.D.; Boudon, C.; Gisselbrecht, J.-P.; Gross, M.; Diederich, F. New strong organic acceptors by cycloaddition of TCNE and TCNQ to donor-substituted cyanoalkines. Chem. Commun. 2007, 46, 4898. [Google Scholar] [CrossRef] [PubMed]
- Shimoyama, T.; Yamaguchi, S.; Takahashi, K.; Katsuta, H.; Ito, E.; Seki, H.; Ishida, H. Gliclazide protects 3T3L1 adipocytes against insulin resistance induced by hydrogen peroxide with restoration of GLUT4 translocation. Metabolism 2006, 55, 722–730. [Google Scholar] [CrossRef] [PubMed]
- Liu, J.K.; Couldwell, W.T. Intra-Arterial Papaverine Infusions for the Treatment of Cerebral Vasospasm Induced by Aneurysmal Subarachnoid Hemorrhage. Neurocrit. Care 2005, 2, 124–132. [Google Scholar] [CrossRef]
- Mian, P.; Maurer, J.M.; Touw, D.J.; Vos, M.J.; Rottier, B.L. Pharmacy compounded pilocarpine: An adequate solution to overcome shortage of pilogel discs for sweat testing in patients with cystic fibrosis. J. Cyst. Fibros. 2024, 23, 126–131. [Google Scholar] [CrossRef] [PubMed]
- Ruetsch, Y.; Boni, T.; Borgeat, A. From Cocaine to Ropivacaine: The History of Local Anesthetic Drugs. Curr. Top. Med. Chem. 2001, 1, 175–182. [Google Scholar] [CrossRef] [PubMed]
- Bailey, D.N. The Unusual Occurrence of 4-Aminoantipyrine (4-Aminophenazone) in Human Biological Fluids. J. Anal. Toxicol. 1983, 7, 76–78. [Google Scholar] [CrossRef]
- Boreen, A.L.; Arnold, W.A.; McNeill, K. Photochemical fate of sulfa drugs in the aquatic environment: Sulfa drugs containing five-membered heterocyclic groups. Environ. Sci. Technol. 2004, 38, 3933–3940. [Google Scholar] [CrossRef]
- Rouf, A.; Tanyeli, C. Bioactive thiazole and benzothiazole derivatives. Eur. J. Med. Chem. 2015, 97, 911–927. [Google Scholar] [CrossRef]
- Caldwell, S.H.; Hespenheide, E.E.; van Bortsel, G. Myositis, microvesicular hepatitis and progression to cirrhosis from troglitazone added to simvastatin. Dig. Dis. Sci. 2001, 46, 376–378. [Google Scholar] [CrossRef]
- Sağlık, B.N.; Kaya Çavuşoğlu, B.; Osmaniye, D.; Levent, S.; Acar Çevik, U.; Ilgın, S.; Öztürk, Y. In Vitro and in silico evaluation of new thiazole compounds as monoamine oxidase inhibitors. Bioorg. Chem. 2019, 85, 97–108. [Google Scholar] [CrossRef] [PubMed]
- Chen, J.L.; Steele, T.W.J.; Stuckey, D.C. Modeling and Application of a Rapid Fluorescence-Based Assay for Biotoxicity in Anaerobic Digestion. Environ. Sci. Technol. 2015, 49, 13463–13471. [Google Scholar] [CrossRef] [PubMed]
- Coppeta, J.; Rogers, C. Dual emission laser induced fluorescence for direct planar scalar behavior measurements. Exp. Fluids 1998, 25, 1–15. [Google Scholar] [CrossRef]



























| Original Compounds | Products | Lipase | DES | Protease |
|---|---|---|---|---|
| Yield %, (min) | Yield %, (min) | Yield %, (min) | ||
![]() 33a | ![]() 34a | 80, (5) | 89, (5) | 79, (5) |
![]() 33b | ![]() 34b | 84, (5) | 89, (5) | 74, (5) |
![]() 33c | ![]() 34c | 85, (5) | 87, (5) | 84, (5) |
![]() 33d | ![]() 34d | 70, (10) | 74, (10) | 68, (10) |
![]() 33e | ![]() 34e | 75, (7) | 84, (5) | 74, (7) |
33f | ![]() 34f | 78, (5) | 87, (5) | 75, (5) |
![]() 33g | ![]() 34g | 83, (10) | 80, (10) | 79, (10) |
![]() 33h | ![]() 34h | 75, (12) | 82, (12) | 73, (15) |
![]() 35i | ![]() 36i | 75, (25) | 75, (15) | 72, (20) |
![]() 35j | ![]() 36j | 78, (20) | 87, (15) | 80, (15) |
![]() 35k | ![]() 36k | 76, (15) | 81, (15) | 75, (15) |
![]() 35l | ![]() 36l | 80, (15) | 85, (10) | 80, (15) |
| Catalyst | Time (min) | Yield (%) |
|---|---|---|
| ChCl–malonic acid | 25 | 70 |
| ChCl–oxalic acid | 15 | 70 |
| ChCl–urea | 5 | 89 |
| Glycerol | 30 | 80 |
| Urea | 60 | 20 |
| ChCl | 50 | 50 |
| ChCl–ethanol | 60 | 40 |
| ChCl–H2O | 60 | 75 |
| ChCl–DCM | 60 | 80 |
| ChCl–urea–ethanol | 60 | 10 |
| ChCl–urea–DCM | 10 | 85 |
| 5% Protease | 5 | 60 |
| 10% Protease | 5 | 68 |
| 15% Protease | 5 | 79 |
| 20% Protease | 5 | 76 |
| 5% Lipase | 5 | 66 |
| 10% Lipase | 5 | 75 |
| 15% Lipase | 5 | 80 |
| 20% Lipase | 5 | 80 |
| Reagents | Target Products | Yields (%) |
|---|---|---|
![]() 47a | ![]() 50a | 97 |
![]() 47b | ![]() 50b | 98 |
![]() 47c | ![]() 50c | 97 |
![]() 47d | ![]() 50d | 98 |
![]() 47e | ![]() 50e | 95 |
![]() 47f | ![]() 50f | 97 |
![]() 47g | ![]() 50g | 93 |
| Conditions | Original Hydrazine | Product and Yield (%) | ||
|---|---|---|---|---|
| A | 1. H2O, 0 °C, stirring 1 h; 2. Reflux, 40–100 °C 45 min | ![]() 69a | ![]() 73a, 27% | ![]() 78a, 53% |
| B | MeOH, r.t. | ![]() 69b | ![]() 73a, 91% | |
![]() 69c | ![]() 73c, 89% | |||
| Structure | Yield 88a–f, % | ||||
|---|---|---|---|---|---|
| THF | CH2Cl2 | Benzene | CH3CN | 1,4-Dioxane | |
![]() 98a | 79 | 36 | 33 | 40 | 56 |
![]() 98b | 71 | 29 | 30 | 38 | 53 |
![]() 98c | 74 | 34 | 31 | 39 | 54 |
![]() 98d | 68 | 28 | 27 | 37 | 51 |
![]() 98e | 77 | 34 | 31 | 39 | 54 |
![]() 98f | 70 | 28 | 27 | 36 | 51 |
| Reagents 77a–c | Schiff’s Bases 82a,b | Yields (%) | Hydrazones 83a,b | Yields (%) |
|---|---|---|---|---|
![]() 102a | ![]() 107a | 85 | ![]() 108a | 88 |
![]() 102b | ![]() 107b | 89 | ![]() 108b | 89 |
![]() 102c | ![]() 107a | 33 | ![]() 108b | 36 |
![]() 102c | ![]() 107b | 58 | ![]() 108a | 58 |
| Reagents 119a–h | Target Products 126a–h | Yield, % |
|---|---|---|
![]() 119a | ![]() 126a | 55 |
![]() 119b | ![]() 126b | 70 |
![]() 119c | ![]() 126c | 67 |
![]() 119d | ![]() 126d | 49 |
![]() 119e | ![]() 126e | 72 |
![]() 119f | ![]() 126f | 49 |
![]() 119g | ![]() 126g | 49 |
![]() 119h | ![]() 126h | 74 |
| Reagents 127a–d | Reagents 128a–e | Reagents 132a,b | Target Products 135a–i | Yields (%) |
|---|---|---|---|---|
![]() 127a | ![]() 128a | ![]() 132a | ![]() 135a | 40 |
![]() 127a | ![]() 128b | ![]() 132a | ![]() 135b | 70 |
![]() 127a | ![]() 128a | ![]() 132b | ![]() 135c | 81 |
![]() 127b | ![]() 128a | ![]() 132b | ![]() 135d | 81 |
![]() 127c | ![]() 128a | ![]() 132b | ![]() 135e | 67 |
![]() 127d | ![]() 128a | ![]() 132b | ![]() 135f | 73 |
![]() 127b | ![]() 128c | ![]() 132b | ![]() 135g | 80 |
![]() 127d | ![]() 128d | ![]() 132b | ![]() 135i | 52 |
| Compound | Hexane (λabs) | Toluene (λabs) | DCM (λabs) | MeOH (λabs) | DMF (λabs) | DMSO (λabs) |
|---|---|---|---|---|---|---|
![]() | 462 | 483 | 494 | 502 | 514 | 519 |
![]() | 458 | 511 | 519 | 514 | 525 | 531 |
![]() | 461 | 488 | 527 | 520 | 531 | 536 |
![]() | 448 | 488 | 501 | 509 | 520 | 526 |
![]() | 464 | 486 | 499 | 508 | 518 | 524 |
![]() | 486 | 487 | 499 | 507 | 535 | 537 |
![]() | 462 | 512 | 529 | 521 | 535 | 538 |
![]() | 463 | 490 | 501 | 510 | 533 | 528 |
![]() | 465 | 460 | 462 | 464 | 523 | 474 |
![]() | 486 | 474 | 480 | 472 | 522 | 478 |
![]() | 478 | 471 | 483 | 469 | 477 | 476 |
![]() | 457 | 474 | 480 | 472 | 475 | 478 |
| Abbreviation | Drug, Weight (g/mol) | Complex | ∆H* (JK−1 mol−1) | ∆S* (JK−1 mol−1) | ∆G* (JK−1 mol−1) |
|---|---|---|---|---|---|
| Drug 1 | ![]() Glicazide, 323.41 | ![]() | −20.483 | −49.30 | −57.92 |
| Drug 2 | ![]() Papaverine HCl, 375.86 | ![]() | −8392 | −67.26 | 11.715 |
| Drug 3 | ![]() Pilocaprine HCl, 244.72 | ![]() | −69.344 | 113.07 | −103.039 |
| Drug 4 | ![]() Procaine HCl, 272.78 | ![]() | −93.675 | 196.38 | 152.196 |
| Drug 5 | ![]() 4-Aminoantipyrine, 203.24 | ![]() | −2874 | −106.75 | 28.938 |
| Drug 6 | ![]() Sulfamethoxazole, 253.28 | ![]() | −2783 | −92.19 | 24.690 |
| Drug 7 | ![]() Sulfathiazole, 255.32 | ![]() | −2157 | −108.66 | 30.224 |
| Drug 8 | ![]() Simvastation, 255.32 | ![]() | −4485 | −90.96 | −22.621 |
| Type A Non-Splitting Interaction | Type B, Splitting Interaction |
|---|---|
![]() Drug 1 | ![]() Drug 2 |
![]() Drug 4 | ![]() Drug 3 |
![]() Drug 5 | ![]() Drug 6 |
![]() Drug 7 | ![]() Drug 8 |
| Compound | ![]() | ![]() |
| GI50 HCT 16 (nm) | 1.5 ± 2.2 | 1.5 ± 0.07 |
| Compound | ![]() | ![]() | ![]() | ![]() | ![]() |
| hMAO IC50 mkM | 1.65 ± 0.17 | 10.7 ± 3.79 | 11.4 ± 6.79 | 9.57 ± 3.60 | 43.5 ± 18.5 |
| Compounds | GI50 (mkmol/L) | |||
|---|---|---|---|---|
| MCF-7 | NCI-H460 | SF-268 | WI-38 | |
![]() | 34.6 ± 5.2 | 33.1 ± 5.7 | 40.3 ± 7.5 | 65.5 ± 11.7 |
![]() | 42.2 ± 8.2 | 44.4 ± 7.3 | 40.1 ± 7.3 | na |
![]() Doxorubicin | 0.03 ± 0.008 | 0.07 ± 0.008 | 0.09 ± 0.007 | >100 |
Disclaimer/Publisher’s Note: The statements, opinions and data contained in all publications are solely those of the individual author(s) and contributor(s) and not of MDPI and/or the editor(s). MDPI and/or the editor(s) disclaim responsibility for any injury to people or property resulting from any ideas, methods, instructions or products referred to in the content. |
© 2024 by the authors. Licensee MDPI, Basel, Switzerland. This article is an open access article distributed under the terms and conditions of the Creative Commons Attribution (CC BY) license (https://creativecommons.org/licenses/by/4.0/).
Share and Cite
Ivanova, E.; Osipova, M.; Kadyrov, Y.; Karpov, S.; Markova, S.; Zazhivihina, E.; Umanova, L.; Vasilieva, T.; Mitrasov, Y.; Smolkina, Y.; et al. Reactions of Tetracyanoethylene with Aliphatic and Aromatic Amines and Hydrazines and Chemical Transformations of Tetracyanoethylene Derivatives. Molecules 2024, 29, 4727. https://doi.org/10.3390/molecules29194727
Ivanova E, Osipova M, Kadyrov Y, Karpov S, Markova S, Zazhivihina E, Umanova L, Vasilieva T, Mitrasov Y, Smolkina Y, et al. Reactions of Tetracyanoethylene with Aliphatic and Aromatic Amines and Hydrazines and Chemical Transformations of Tetracyanoethylene Derivatives. Molecules. 2024; 29(19):4727. https://doi.org/10.3390/molecules29194727
Chicago/Turabian StyleIvanova, Elizaveta, Margarita Osipova, Yhtyyar Kadyrov, Sergey Karpov, Svetlana Markova, Ekaterina Zazhivihina, Lubov Umanova, Tatyana Vasilieva, Yurii Mitrasov, Yulia Smolkina, and et al. 2024. "Reactions of Tetracyanoethylene with Aliphatic and Aromatic Amines and Hydrazines and Chemical Transformations of Tetracyanoethylene Derivatives" Molecules 29, no. 19: 4727. https://doi.org/10.3390/molecules29194727
APA StyleIvanova, E., Osipova, M., Kadyrov, Y., Karpov, S., Markova, S., Zazhivihina, E., Umanova, L., Vasilieva, T., Mitrasov, Y., Smolkina, Y., & Nasakin, O. (2024). Reactions of Tetracyanoethylene with Aliphatic and Aromatic Amines and Hydrazines and Chemical Transformations of Tetracyanoethylene Derivatives. Molecules, 29(19), 4727. https://doi.org/10.3390/molecules29194727






























































































































































